[Home page] [General topics, Sources] [Army, Army Air Force] [Navy, Naval Air Force] [Eugen Pinak: contacts, publications] [Jeff Donahoo’s IJN Data Base] [Hiroshi Nishida's IJN Data Base]
Despite its age (published in 1966-1980) Japanese official history of the Second World War in the Pacific: “War History Series”(“Senshi Sosho”in Japanese), is still one of the most important secondary sources about this war.Yet few attempts to translate it into English were made.
That’s why I was so impressed to find out, that Pedro Brandão from Portugal translated the Volume 24 of “Senshi Sosho”, which describes operations of the Imperial Japanese Navy to capture Philippines and Malaya in 1941-1942. This enormous work of the single person truly deserves to be shared amongth other researchers of the Second World War in the Pacific.
So –with the kind permission of the translator –I’ve published it on my web site.
Note, that originally translator formatted his work as a PDF e-book, which is not very sutable for web viewing, so I’ve reformatted it. Authors’and translator’s notes (originally put at the end of pages) are retained in the text, but highlited in grey. Couple of my notes in the text are in brackets and marked with “E.P.”. Also I’ve replaced e-book page numbers with page numbers of the original Japanese edition.
You can download original translation of Volume 24 by Pedro Brandão as a PDF e-book > here.
If you want to know more about “Senshi Sosho”and previous Japanese official histories of the Second World War in the Pacific, please, read my article “Japanese official histories of the Pacific War”.
Eugen Pinak
Kyiv, Ukraine, December 2024.
*************************************************
Office of Defense, Defense Research Institute
Division of War History Asahiyun News Agency
1969
*************************************************
This work was my 1st attempt to translate from the Japanese, the Senshi Sosho Volume nº 24. As a researcher of the Imperial Japanese Navy for more than 30 years, access to Japanese Data was always a problem that, for many years, appeared to be a barrier that could not be overtaken. In the later years, with the digitalization of the Senshi Sosho Volumes by the Japanese National Institute for Defence Studies and the free access to online translators, I felt that there was a way. Knowing too well my setbacks with Japanese and the complexity of several terms related to the Armed Forces, this is not a professional translation.
In this translation, I used for the greater part the online Translator “DeepL”. For Japanese Naval and Army Officers, I had to look online for correct names, mostly in the “Naval data Base” and niehorster.org and with the occasional help of Matthew Jones.
To verify (or understand better) and complete or add some information, I used primarily the websites: combinedfleet.com and the tokusetsukansen.jpn.org; as well as several works like “Fading Victory”, “Japanese Cruisers of the Pacific War” or “Sunburst”. On every occasion, I use other data that is not the original. I make a reference to the source of the data and always in the footnotes and not in the main text.
Being a Historian, it was unthinkable to simply translate and not add more information or a commentary to the text. Along this work, I had more than 700 footnotes with this purpose. As this is most of all a Translation, I found more appropriate the use of footnotes at the end of a page and not a note at the end of the translation.
Alone, I would have not been able to translate Senshi Sosho. Many times, through the “Tully's Port - WWII Naval Discussion of the Pacific Theatre”, I had doubts and questions replied and explained by several members also studying the Imperial Japanese Navy: Anthony Tully, Not Don, Jeff Donahoo, amongst many others. A special mention is to be made for the help of the Historian Filipe Ramires, friend for many years, was a natural listener for the many problems that appeared and had to be overtaken.
This work is for everyone that, like me, have a fascination by the Imperial Japanese Navy and World War II in the Pacific.
Pedro Brandão
Lisboa, December 2022.
*************************************************
More than ten years after the establishment of the Office of Military History, we are finally in the process of publishing some of its results in successive editions, and this book is the 24th in the series. The main purpose of the compilation was to contribute to the education and research of the Self-Defence Forces, and at the same time, consideration was also given to the general public.
At the end of the war, a large number of historical documents were lost and scattered, and there was a ten year gap before the Military History Office was established, making the compilation of military history more difficult than ever before, both at home and abroad. Fortunately, however, the understanding of all concerned and the enthusiastic cooperation of many war veterans made it possible to publish this work, for which we would like to express our deepest gratitude once again.
In describing the information, a few items have been omitted for reasons of space and other reasons. It is also anticipated that further additions and corrections may be necessary as new historical documents become available. We hope for continued cooperation and correction from within and outside the department.
This book is based on the research and collection of Haruki Iki and Tanaka Kenichi, Military History Compilers, in this office, and it was almost completed in a new manuscript by Nagoshi Yuukou, Military History Compiler, when he passed away suddenly and unfortunately. It was finished by Tsunoda Takashi1.
It should be noted that the responsibility for the contents of this book rests solely with the Chief of the Military History Office and the person who completed the writing.
March 1969
Self-Defence Force Director, War History Office
1They were all former Imperial Japanese Navy officers. Commander Haruki Iki (55th Class), Lieutenant Tanaka Kenichi (67th Class), Lieutenant Commander Nagoshi Yuukou (66th Class) and Commander Tsunoda Takashi (or Hitoshi) (55th Class).
As a country lacking in natural resources, Japan was dependent on the US and British spheres of influence for the supply of its material needs. In particular, it relied on imports from the USA for most of its petroleum, which could be called the root of its war potential. However, due to the escalation of the China Incident and political tensions in Europe, in July 1939 the US notified Japan that it was abandoning the Treaty of Commerce and Navigation between Japan and the US and attempted to curb Japan's activities in the Far East by restricting the export of these goods to Japan. Here, Japan tried to seek oil in the south, especially in the Dutch East Indies, which produced enough oil to meet our needs for self-defence. However, the Dutch East Indies were often under the influence of American and British forces, and our request for the supply of oil and other resources was not accepted by the Netherlands Government. During this period, US export restrictions on Japan were being tightened, and Japan was extremely anxious about the prospect of a total ban on US oil exports to Japan. In Japan, in order to overcome this predicament, and partly due to the rapidly changing world situation, there were even proposals to use force against the South to solve the oil and other problems, but these proposals were dropped in favour of a war against the US. However, due to the stalemate in negotiations between Japan and the Netherlands and the sudden change in the international situation, in July 1941, Japan conducted the Southern French Indochina Occupation and set up military bases in strategic points in the south. In response, the US, Britain and the Netherlands retaliated with a freeze on overseas assets and a total embargo on oil. Oil imports to Japan thus came to a complete halt. Moreover, our domestic oil reserves were insufficient for the war effort. Japan's only options for self-existence and self-defence were to use force to the south to obtain the key resource areas, even at the risk of war with the US, or to seek a solution by making major concessions to the Japan-US negotiations, which had been running into difficulties at the time. Therefore, Japan made every effort to overcome the Japan-US negotiations and, at the same time, began full-scale preparations for war in case of emergency. However, despite our efforts, Japan-US relations finally reached a breaking point, and Japan was forced to enter the war on 8 December.
This southern campaign was conducted with the aim of rapidly obtaining the supplies necessary to maintain the growth of Japan's national power and to achieve political stability in the Far East through the establishment of the Greater East Asia Co-prosperity Sphere. This book mainly describes the naval operations conducted at the beginning of the war up to the invasion of the Philippines and the Malay Peninsula, while the Dutch East Indies offensive that followed is given over to a separate volume.
1 - Dates and times are Japan Central Standard Time (GMT+9h) unless otherwise stated. Therefore, local standard time in Philippine is one hour behind our central standard time, and that in Malaya is two hours behind our central standard time.
2 - The time, for example, 1:32pm was set as 1332.
3 - For the distances at land were used Kilometres, Meters, Centimetres and Millimetres.
4 - For the distance at sea was used was the nautical mile and knot for the speed. A nautical mile is a unit of distance of one minute of latitude, or about 1,852 kilometres, and a knot is a unit of speed of one nautical mile per hour2.
5 - Proper names, such as ship units, were written in the kanji characters used at the time. In some proper names, the word 'navy' has been omitted only in cases where there is no particular risk of confusion3.
6 - In the original quotations, difficult-to-read kanji characters, place names, etc., have been furigana-ed where appropriate.4
7 - Numbers in parentheses ( ) indicate the source of historical sources, etc., and are listed collectively at the end of the book.
8 - All the footnotes are made by the translator and are not part of the original document.
9- Malaya Seizure Force (Malaya Koryaku Butai), Philippine Seizure Force (Philippine Koryaku Butai) and Dutch East Indies Seizure Force (Dutch East Indies Koryaku Butai) are not in the Original. These terms were chosen for convenience and because, in the original, the forces are only identified as Malaya or Philippine Units with is very imprecise in terms of actual forces. These terms were chosen in accordance with the Table 7.2 (Tactical Organization of the Forces Involved in the Seizure of the Southern Area) of the Japanese Cruisers of the Pacific War by Lacroix and Wells.
10- For convenience:
Naval Air Forces: The 11th Air Fleet have several Naval Air Flotillas and each Flotilla have several Naval Air Groups. Each Naval Air Group have several Squadrons and each Squadron have several Sections.
Army Air Forces: The 3rd and 5th Army Air Division5 have several Air Army Brigades and each Brigade have several Army Air Groups. Each Army Air Group have several Squadrons and each Squadron have several Sections.
Land Based Attack Aircraft is IJN official name for Bombers. [Dive bombers were called "special bombers" or just "bombers". - E.P.]
2For example, 30 knots is about 55.56 kilometres per hour.
3All the names of the Naval Units were given in Capital Letters: For example, Heavy Cruiser CHOKAI or Auxiliary Transport SAKURA MARU. Lowercase on the Footnotes [Added uppercase here as well. – E.P.] and Tables.
4It’s not reflected on the translation.
5The Air Divisions can also be called as Air Corps.
*************************************************
Introduction - Preparations for the Southern Operation………[1]
Chapter I: Military situation in the South Up to the outbreak of World War II………[1]
1 Our country and the South
2 US-Japan relations and operational concept
Imperial Defence Policy and Concept of Operations against the United States
The Philippine Islands offensive as part of the campaign against the US
Overview of US Far Eastern strategy
3 Anglo-Japanese and Dutch Japanese relations and operational planning
Concept of operations against the UK and the Netherlands
Overview of British strategy in the Far East
Dutch navy in the Far East
Chapter II: Rapid changes in the international situation and the policy of southward expansion………[17]
1 Rise of the southward momentum
US economic pressure and oil problems
Rapid change in international situation and aggressive policy decisions
Government action in accordance with the Outline for Handling the Situation
Occupation of Northern French Indochina
Thailand, the French Indochina conflict and Operation S
2 Southward momentum recedes
US-UK, Together or Alone
Setbacks in time planning and management strategies
3 The Southern French Indochina Occupation and its Impact
Sudden change in international situation and revival of aggressive policy
Southern French Indochina Occupation (Operation "Fu")
Freezing of overseas assets and countermeasure
Chapter III: The development of the Southern Operations Plan………[34]
1 Planning and consideration
Drafting of the proposed plan of operations against the four countries
Decision on simultaneous operations in the Philippines and Malaya
Combined Fleet Exercises in mid-September
Problems in the exercises
11th Air Fleet exercises at the beginning of October
Combined Fleet exercises in mid-October
2 Outline of operational plans, etc
Operational planning issues
Operational plans and the informal decision on the Central Agreement between the Army and Navy
Chapter IV: Determination to go to war and preparations for its outbreak………[55]
1 Determination to go to war and Imperial General Headquarters’ s operational guidance
Determination to go to war
Order to prepare for war and instructions on operational policy
Central Agreement between the Army and Navy
2 The Combined Fleet Operational Plan and the Tokyo Agreement
Combined Fleet Operational Plan
Tokyo Agreement
Chapter V: Operational Readiness and Operational Leadership of the Combined Fleet………[89]
1 Expansion of the Combined Fleet formations
Reorganisation of the Combined Fleet in November 1940
Establishment of the 11th Air Fleet
Establishment of the 1st Air Fleet
Establishment of the 3rd Fleet and its actions
Establishment of the 5th Fleet
Establishment of the Southern Fleet (Independent Fleet)
2 Full-scale war preparations
Order for rapid war preparations
Wartime formation announcement
Decrease in fleet strength due to major personnel changes
3 Launch of preparatory actions for the outbreak of war
Announcement of deployment
Change of Forces in response with the increase in the enemy's strength
4 Operational planning and preparation of southern forces
Allied Force Assessment
Operational planning
Operational readiness
Advance of the main southern force into Mako
Chapter VI: The decision to start war and its announcement………[134]
Decision to start war
The Combined Fleet's announcement for the start of the war
Part I Operation to advance to the Philippine Islands area………[139]
Chapter I: Preparations for Operation Philippine Islands………[139]
1 Outline of the Military Requirements Locations
2 Army-Navy Agreement
Problems with the agreement
Agreement between the 3rd Fleet and the 14th Army
Army-Navy Agreement for Air Operations
3 Operational planning and deployment of the Philippine Seizure Force
Assessment of the situation
Operational Plan
Deployment to war readiness positions
Revised Operational Plan
4 Operational planning and deployment of Philippine Seizure Force air units
Deployment to war readiness positions
Assessment of the Situation
Air operations challenges
Operational plan
Chapter II: Air Battle………[170]
1 Operations just before the outbreak of war
Status of friendly forces
Philippine Seizure Force Air Force
2 1st Strike
Attack plan
Dense fog, delay in launching attack force
Air raid warning issued
Attack on Iba airfield
Attack on Clark Airfield
Other operations
Battle result decisions
3 2nd strike
9 December
10 December, 2nd strike
Operations of the Army 5th Air Division
4 3rd Strike
11 December
12 December, 3rd strike
Operations of the Army 5th Air Division
5 Overview of the air destruction campaign
4th Strike and other operations
Operations of the Army 5th Air Division
Overview of the battle of attrition
Chapter III: Northern Philippines Islands Operation………[196]
1 The Luzon Strait Islands offensive
Preparation for the invasion
The capture of Batan Island
The capture of Camiguin Island
The capture of Calayan Island
2 The Aparri Landings
Preparation for the Operation
Advance of forces
Landing and US counterattack
3 The Vigan landings
Preparation for the Operation
Advance of forces
Landing and US counterattack
Support actions of the Main Body of the Philippine Seizure Force
Chapter IV: Initial Operations in the Central and Southern Philippines Sector………[217]
1 Operational plan
2 Davao air raid
Advance of the Forces
Air Raid
3 Minelaying Operation
Minelaying Operational plan
Minelaying Operation
4 Legaspi Landings
Operational plan
Surprise landings
Eastern Support Force
Palau Base Air Force Operations
Chapter V: Subsequent Air Operations………[237]
1 Operational plan of the 11th Air Fleet Commander
Report
Assessment and judgment of the US Navy and Air Force units
Status of our Air Forces
Operational policy
2 Operations of other Units
Units at Taiwan
The Advance of the KANOYA Naval Air Group Detachment into Palau
Units at Palau
The Legazpi Detachment
Chapter VI: The 14th Army's Main Landing Operation………[251]
1 Operational guidance of the Philippine Seizure Force Commander
Assessment of the Situation and Operation Policy
2nd Configuration of the Philippine Seizure Force
2 Landing at Lingayen Gulf
Plan for the Escort Forces
Plan for Operational Support
Advance and joining of the Convoys
Anchoring and Landing
Enemy counterattack and antisubmarine action
Subsequent Operations
Southern Force and Philippine Seizure Force Support
Escorting the 2nd Landing Force
The End of Operations and Lessons learned
3 Landing at Lamon Bay
Operational Readiness
Progress of the operation
Chapter VII: Davao and Jolo Operation………[279]
1 Operational Plan
Advancing of the date for the Landings
Eastern Support Force
Davao Invasion Force
Jolo Invasion Force
2 Davao Landings
Advance of the force
Landings
Minesweeping and Naval Air Units Redeployment
3 The Jolo Landings
Advance of the Force
Enemy cruiser sightings
Assault on Jolo
Chapter VIII: Conclusion of the Naval Operation in the Philippines Islands………[301]
1 Transition to the 2nd Phase of operations
Announcement of the Combined Fleet's redeployment
Southern Force
Philippine Seizure Force
Southern Force Air Force (11th Air Fleet)
2 Operational Activities of the various forces
Southern Force Air Force (11th Air Fleet)
Southern Force Submarine Force
3 The formation of the 3rd Southern Expeditionary Fleet and the end of the Philippine Campaign
Formation of the 3rd Southern Expeditionary Fleet
Battle results, damage, etc. up to the conclusion of the naval operation
End of the Naval Offensive Operations
Chapter IX: US-Philippine military operations………[329]
1 US strategy in the Far East after the outbreak of World War II
Outbreak of the War and the US
US-Philippine military build-up
2 Operations at the beginning of the war
Deployment of US and US-Philippine forces at the outbreak of war
The war begins
Air forces
Asiatic Fleet
Land Forces
3 Subsequent operations
Army Air Forces
Asiatic Fleet
Land forces
Chapter I: Preparation of the Malaya Seizure Force………[335]
1 Overview of the military geography
2 Army-Navy Agreement and Malaya Seizure Force Operational Plan
Decision to land at Kota Bharu on X day
Army-Navy Agreement
Assessment of the situation
Operational plan
The Malaya Seizure Force at Samah and the decision for the Plan A
3 Operational readiness of each unit
Escort Force
1st Air Force
2nd Air Force
Base Forces
Submarine Force
Minelayer Force
Other units
Chapter II: The 1st Landings at Malaya………[379]
1 Advance to the Malaya Peninsula
Sortie from Samah
Advance
Order to shoot down British aircraft on the 6th
On the 7th, a British aircraft was shot down
The Forces disperses to its respective landing points
2 Landing of the Advance Detachments
Malaya Seizure Force before the start of the landings
Kota Bharu Landings
Landing at Singora
Landing at Pattani and Thepha
Ueno Detachment
Forced Re-Landing at Kota Bharu
Kota Bharu re-landing completed
3 Air Force operations
Air Raids on Singapore
Other operations of the 1st Air Force
2nd Air Force
4 Submarine force operations
4th Submarine Squadron
5th Submarine Squadron
13th Submarine Division
5 Operation of the minelayer force
Chapter III: The Battle of Malaya………[425]
1 The situation before the battle
Malaya Seizure Force Operational Instructions
Situation of the Malaya Seizure Force
Situation of the Main Body of the Southern Force
2 Northward movement of the British fleet
Discovery of British fleet
Delayed first report of the discovery of the British fleet
Plans for a night battle by the Commander of the Malay Seizure Force
The Commander of the Southern Force plans a decisive battle for the following morning
The 1st Air Force commander's decision to launch a night attack
Efforts to lure the British Fleet by the Malaya Seizure Force
Abandoning the efforts to lure the British Fleet by the Malaya Seizure Force
The Commander of the Southern Force gives instructions on the course of attack
3rd Destroyer Squadron, rush up to join forces
Change of Deployment of the Submarine Force
Lost contact with the British fleet
3 Rediscovery of the British fleet and abandonment of the advance of surface forces
Main Bodies of the Malaya Seizure Force and of the Escort Force joins the Southern Force
The British fleet is rediscovered by the Submarine I-58
Abandoning the pursuit by the Surface Forces
4 Air Force Search and attack plan, sinking of the British battleships
Search and attack plan of air force
Launch of the search and attack force
Search planes find the British fleet
The action of each attack force
Attack and sinking 2 Battleships
Attack results and Losses
Battle Report
5 Operations of other units
Submarine forces
Surface Force
6 Combined Fleet Headquarters
7 Announcement of the Imperial Japanese Navy General Staff
8 Operations of the British Eastern Fleet.
9 War Lessons
Sinking of battle ready battleships by air attack
Characteristics of this air strike
Air Battle Lessons learned
Communications
Submarine War Duties
Surface Forces Operations
10 The impact of the Battle
Southern Operations
Tactical philosophy of our navy
Naval Construction Programmes
Chapter IV: The 2nd Malayan Landing and the British Borneo Offensive………[505]
1 Operational plan
Situation after the Battle of Malaya
Operational plan
2 Second landing at Malaya
Departure from Camranh Bay
Advance
Landings
Sinking of a Dutch Submarine
End of Operations
3 Attack on British Borneo
The Landings at Miri
Sinking of the Destroyer SHINONOME
Intensified counterattacks and the postponement of the Kuching landings
The Kuching Campaign and Disruptions
The Battle for Kuching
Chapter V: The 2nd Phase of Operations………[538]
1 Initial Operational Plan
The 2nd Stage Formation of the Southern Force of the Combined Fleet
The deployment to the 2nd Phase Naval Disposition of the Southern Force
Operational Plan for the Execution of the Malayan offensive
Malaya Seizure Force is augmented with new units
Situation at the beginning of the 2nd Phase
Operational problems
2 Kuantan Surprise Landing (Operation Q)
Army-Navy Agreement and Operation Plan.
Operational Readiness
Cancellation of the operation
3 Escort of the 25th Army and the 15th Army Fleet
Operational Preparation
Operational Progress
4 Early Air Operations
Air Base Problems
The 1st Air Force
5 Endau and Mersin Landings (Operation S) and the Capture of Anambas Base
Army and Navy Agreement
Air Operations Agreement
Plan for the capture of the Anambas
Malay Seizure Force's strength
Preparation for Operation S
Launching of air raids
Postponement of Operation S
Appearance of aircraft carriers and battleships and the rescheduling of Operation S
Change of assault landings to material landings
The escort of the convoy with the 18th Division.
Landing of Army Aviation Material at Endau
The Battle of Endau and the end of the landing
Capture of Anambas Base
6 Operations of the submarine force
Operational Strategy of the Southern Force
Submarine Force of the Malaya Seizure Force
Southern Force’s Submarine Force B
7 Late Air Force Activities
1st Air Force
2nd Air Force
Chapter VI: Conclusion of the Malayan Campaign………[610]
1 Transition to the Third Phase of Operations
2 The capture of Bangka and Palembang (Operation L)
3 Early air operations
1st Air Force
2nd Air Force
3rd Air Force
4 The capture of Singapore and the opening of the Straits of Malacca
The capture of Singapore
The end of Operation L and the change of Force’s assignment
Opening of the Singapore Channel and the Malacca Strait
5 End of operations and battle damage
Chapter VII: Allied Forces Operations………[627]
1 The Allied Strategy for the Far East after the Outbreak of the War
Britain's Defence Plan for the Far East
ADA Agreement
ADB Agreement
British Forces Build-up and the Matador Plan
Formation of the new British Eastern Fleet and the advance into Malaya
2 Allied operations in the early stages of the war
Situation just before the outbreak of war
Deployment of Allied Forces at the outbreak of war
Malaya Sector
Sortie and defeat of the Main Body of the Eastern Fleet
Borneo sector
Activities of the Dutch Submarine Force
3 Allied operations after the 2nd Phase of Operation
New edition to ABDA Command Structure
British forces
Conclusion………[645]
Notes and Bibliography………[649]
Appendix Table A: Naval Academy Graduation by Class and Year of Graduation.
Appendix B: List of the Imperial Japanese Navy Officers involved in the operations.
Appendix C: Table of the General Characteristics of the Southern Force Naval Units.
Not in the Original [Added by the translator. - E.P.]
Appendix I: Testimony of the events that led to the sinking of the merchant ship HAFTHOR, 07 December 1941 (Tokyo Time), by several members of her crew after the war.
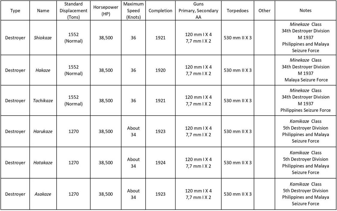
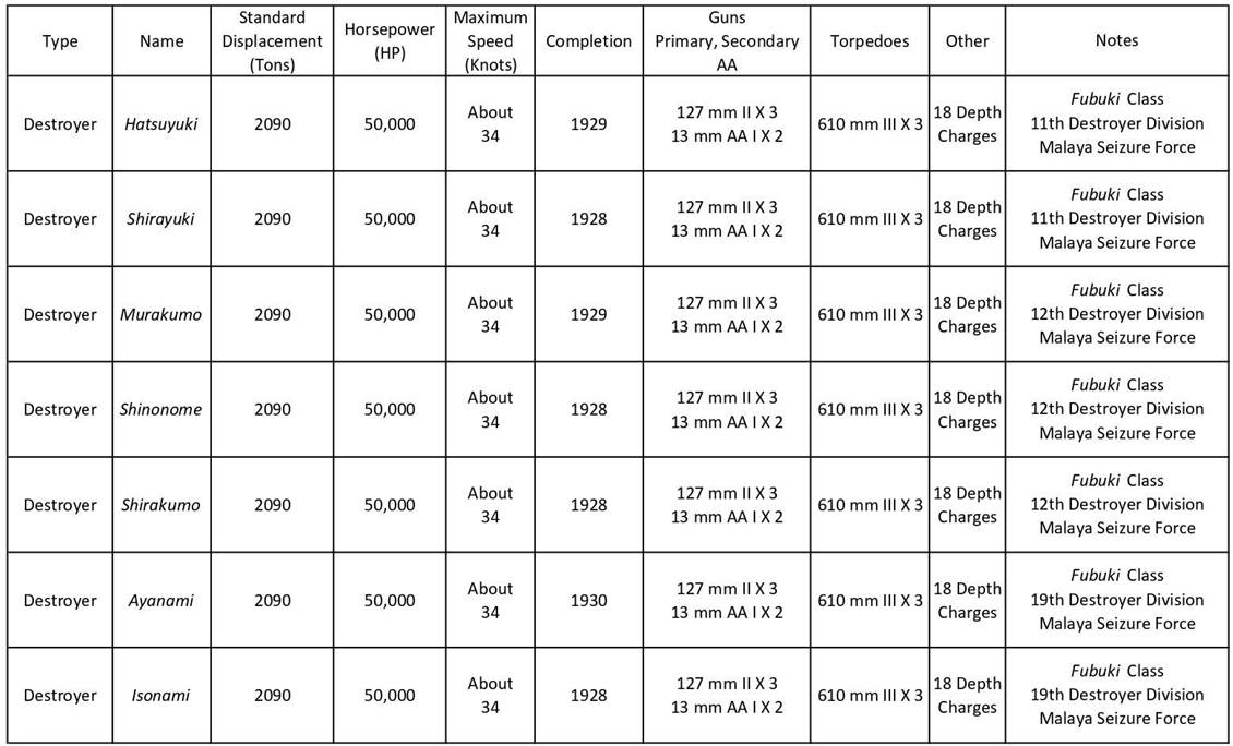
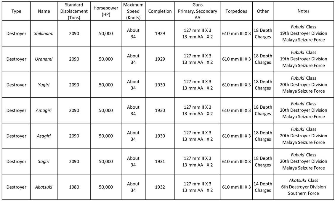
Appendix II: Imperial Japanese Navy Destroyer Squadrons, Divisions and Sections that participated in the Malaya and Philippine Operations
Appendix nº 1: Outline map of the Philippines and Malaya area
Appendix nº 2: Landing operations chart for the Luzon island western side
Appendix nº 3: Initial operations in the Central and Southern Philippine Sector
Appendix nº 4: Davao and Jolo campaign action plan
Appendix nº 5: 1st Malaya Landings Action Chart
Appendix nº 6: 1st Malaya Landings, Air Force Action Chart
Appendix nº 7: Battle of Malaya Action Chart
Appendix nº 8: 2nd Malaya Landings, British Borneo landings Action Chart
Appendix nº 9: Malaya Phase II Operational Action Chart
Introduction
Table 1: Phase 1 Operational Force Structure
Table 1.1: Phase 1, 1st Stage: Offensive Minelaying Implementation
Table 1.2: Phase 1, 2nd Stage: Offensive Minelaying Implementation
Table 2 - List of bases to be defended with mines and anti-submarine nets (standard)
Table 3: Mine and anti-submarine netting replenishment
Table 4: Initial Replenishment of Supply Bases and Special Supply Areas
Table 4.1: Monthly Increases to Supply Bases and Special Supply Areas
Table 5: Standard schedule for the offensive
Table 6: Counterattack and Advance
Table 7: 11th Air Fleet at the time of its establishment (15th of January 1941)
Table 7.1 A: Aircraft used by the 11th Air Fleet at the beginning of the war
Table 7.1 B: Aircraft used by the 11th Air Fleet at the beginning of the war
Table 7.1 C: Aircraft used by the 11th Air Fleet at the beginning of the war
Table 8: Wartime formation at the outbreak of war
Table 9: Comparison of the Allied and Japanese Main Forces
Table 10: Southern Force Operational Forces
Table 11: Supply ships directly under the command of the Southern Force
Table 12: Army Assault Forces – Naval Escort Forces
Table 13: Air Cover during the landings and immediate post-landing operations
Table 14: Philippine Seizure Force 1st Phase Naval Disposition - Original Plan
Table 15: Philippines Seizure Force Supply Ships
Table 16: 11th Air Fleet Assigned Forces to the Philippine Seizure Force
Table 17: Main Units of the attached shipping to the Philippine Seizure Force’s Naval Air
Forces
Table 18: Strength of the United States and Philippines Air Forces
Table 19: Performance of the main US aircraft
Table 20: 1st Phase: Naval Air Formations
Table 20.1: 2nd Phase: Naval Air Formations
Table 21: 11th Air Fleet Attack Plan for the 8th of December 1941
Table 22: 11th Air Fleet Air raids on the 13th of December 1941
Table 23: 4th Surprise Attack Force / Escort Force
Table 24: Legazpi Anchorage Guard
Table 25: Philippine Seizure Force 2nd Phase Naval Disposition
Table 26: 1st, 2nd and 3rd Army Convoys
Table 26.1: Composition of the Imperial Japanese Army Convoys of the 1st Landing Force at Lingayen Gulf
Table 27: Schedule of each Army Convoy
Table 28: Units of the Lingayen 1st Landing Forces
Table 29: Composition of the Imperial Japanese Army Convoys at Lamon Bay
Table 30: Disposition of the Davao and Jolo Forces during the voyage
Table 31: Disposition of the Davao Forces at the anchorage
Table 32: Schedule for the Davao Landings
Table 33: Disposition of the Jolo Forces at the Anchorage
Table 34: KANOYA and 1st Naval Air Groups attacks in support of the 14th Army's attack on Manila
Table 35: 3rd, KANOYA and TOKO Naval Air Groups Operations attacks on Central and Southern Philippines after the 25 of December
Table 36: Unsuccessful US Submarine attacks between the 15th and the 31st of December
Table 37: Deployment and order of Transport of the Army Forces
Table 38: Division of Transport Fleet and Location of Commanding Officers 1
Table 39: Division of Transport Fleet and Location of Commanding Officers 2
Table 40: Army Air Forces for the Malaya Campaign
Table 41: Naval Air Forces for the Malaya Campaign
Table 42: Army and Navy cooperation on the day of landing of the 1st Landing Force
Table 43: Allied Aircraft Strength at the Malaya Sector
Table 44: Allied Aircraft Main Performance
Table 45: Malaya Seizure Force, 1st Phase Naval Disposition A
Table 46: Malaya Seizure Force 1st Air Force
Table 47: 1st Air Force Cooperation with the 1st Landing Party on X Day
Table 48: 2nd Air Force Seaplane Carriers Naval Air Groups
Table 49: Deployment of the 9th Base Force
Table 50: Malaya Seizure Force Minelaying Operations
Table 51: Malaya Seizure Force Supply Ships
Table 52: Landing plan of the Ueno Detachment
Table 53: Naval Battle of Malaya Air Assault Force A Formation
Table 54: Naval Battle of Malaya Air Assault Force B Formation
Table 55: Naval Battle of Malaya Air Assault Force D Formation
Table 56: Attack by the 1st Air Force
Table 57: Results of the bombing attack
Table 58: Results of the torpedo attack
Table 59: Reported Damaged on the Naval Air Groups
Table 60: Land Based Attack Aircraft Crews shot down
Table 61: Pre-War Air Attack Evaluation
Table 62: Relationship between the damage and the torpedoes launch altitude
Table 63: Main characteristics of the Capital Ships
Table 64: Malaya Seizure Force, 1st Phase Naval Disposition B
Table 65: 2nd Landings at Malaya, Escort Formation
Table 66: 2nd Landings at Malaya, Army Auxiliary Transport Echelons
Table 67: Landings at Miri, Auxiliary Transports
Table 68: Malaya Seizure Force, 2nd Phase Naval Disposition – Modified
Table 69: Seaplane Formations
Table 70: Plan for Air Escort of the 3rd Malaya Landings
Table 71: 3rd Malaya Landings, 25th Army Auxiliary Transport Echelons
Table 72: Convoy and Landing Force Units (Operation S)
Table 73: 18th Division Transport from Canton to Camranh Bay
Table 74: Operation S Forces
Table 75: MA Area results
Table 76: 2nd Air Force Operations 24th - 31st of January
Table 77: Minesweeping Operations of the Singapore and Malacca Straits
Table 78: Total sorties of Air Units
Table 79: Air Forces deployed in the Malayan Sector
Illustration nº 1: Overview map for South-West Territories
Illustration nº 2: Luzon Strait Rescue Ships Deployment
Illustration nº 3: Luzon Airfields
Illustration nº 4: Luzon Strait
Illustration nº 5: Aparri Anchorage
Illustration nº 6: Vigan Anchorage
Illustration nº 7: Minelaying Operation
Illustration nº 8: Legaspi Landings
Illustration nº 9: Celebes Sea
Illustration nº 10: Central and Southern Philippines Legazpi Airfield Range
Illustration nº 11: Alert Naval Formation
Illustration nº 12: Anchorage Approach Formation
Illustration nº 13: Lingayen Landings
Illustration nº 14: Lingayen Gulf Anti-Submarine Actions
Illustration nº 15: Lamon Bay Landings
Illustration nº 16: Davao Landings
Illustration nº 17: Jolo Landings
Illustration nº 18: Approximate Distances from Davao and Jolo
Illustration nº 19: Submarine Operations
Illustration nº 20: British Malaya and Borneo's General View
Illustration nº 21: 2nd Air Force Base Mobility Plan to support the initial landings
Illustration nº 22: Diagram of submarine deployment at the outbreak of war
Illustration nº 23: Malaya Seizure Force Minelaying Operation
Illustration nº 24: Initial Alert Formation of the 1st Convoy of the Malaya Seizure Force
Illustration nº 25: British Aircraft Contact
Illustration nº 26: Kota Bharu Landings
Illustration nº 27: Landing at Singora
Illustration nº 28: Landing at Pattani and Thepha
Illustration nº 29: Ueno Detachment Landings
Illustration nº 30: Singapore Island
Illustration nº 31: Malaya Seizure Force Track Chart from 1745 to 2200
Illustration nº 32: 10th of December, the 2nd Air Force Reconnaissance
Illustration nº 33: 1st Air Force Search, 10th of December
Illustration nº 34: Approach of Each Attack Squadron
Illustration nº 35: Air Assault Force A Battle Chart
Illustration nº 36: Takahashi Squadron Battle Chart
Illustration nº 37: Air Assault Force D Battle Chart
Illustration nº 38: Torpedo and bomb hits reported during the Battle of Malaya
Illustration nº 39: 2nd Malaya Landings Anti-Submarine Action
Illustration nº 40: Miri Landings
Illustration nº 41: Kuching Landings
Illustration nº 42: Malaysia Map
Illustration nº 43: 1st Alert Sailing Formation
Illustration nº 44: Anambas Seaplane Base
Illustration nº 45: Formation at Endau Anchorage, just before the battle
Illustration nº 46: Battle of Endau
Illustration nº 47: 2nd Phase submarines movement
Illustration nº 48: 1st Air Force Base Movements
Illustration nº 49: Minesweeping of the Singapore Channel
Preparations for the Southern Operation
1 Our Country and the South
(Illustration nº 1)
On the 8th of December 1941, Japan started war against both the US and the UK. On the same day, the Navy's Southern Command and the Army's Southern Command cooperated to launch an offensive against the Philippines Islands and Malaya, capturing most of the key areas from western New Guinea in the east to Burma in the west over the next five months.

These occupied areas, namely the Philippines Islands, British Malaya and British Borneo (present-day Malaysia and Singapore), Dutch East Indies (present-day Indonesia), Portuguese Timor, Burma, Thailand and French Indochina (present-day Laos), where our troops had already advanced before the war started, were occupied by the Japanese. The waters of North Vietnam, South Vietnam, Cambodia, North Vietnam, South Vietnam and Cambodia and their surrounding waters were referred by the Navy at the time as the 'Southwest Area' and the 'Southern Essentials Area'. The following is a list of the most important factors that have contributed to the development of the Japanese economy and the development of the Japanese people. At that time, the only independent country in the southwest was Thailand, and all the others were colonies or protectorates of the United States, Britain, France, Netherlands and Portugal.
Philippines: Manila hemp, sugar, copra, iron, copper, chrome.
British Malaya and Borneo: rubber, tin, iron, bauxite, petroleum.
Dutch East Indies: Petroleum, tin, iron, nickel, bauxite, rubber, sugar, cinnamon, timber.
French Indochina: Rice, rubber, coal, tin, zinc.
Thailand: Rice, rubber, tin, timber.
Burma: rice, oil, tin, lead, zinc, timber
Japan has pursued a policy of continental expansion in order to guarantee national defence and the nation's economy. This has led to conflicts between Japan and China, as well as Britain, the US, the USSR and other countries with interests on the Chinese continent. In particular, the international situation surrounding Japan became more serious after the Mukden Incident6 , as Japan promoted a broad-based Japan-Manchuria economy and sought to establish a self-sufficiency system in response to changes in the international situation.
However, since the 37 countries could not supply themselves with agricultural and forestry products such as sugar, rubber, Manila hemp, cinnamon and teak, and mineral products such as oil, tin, iron, bauxite, nickel, manganese, zinc and lead, they had to seek all or part of these products outside Japan and Manchuria, especially in the USA and other countries to the south. For this reason, Japan invested in the South, mainly in cultivation, forestry and mining, but the amount of investment was extremely small compared to that of Western countries. (1)
Of the southern resources, the most important for our country at the time was oil. From 1936 to 1937, our country's oil consumption was about 400-600 million litres per year. In contrast, domestic oil production was about 130,000 litres in 1937 (2), and although efforts were made to develop domestic oil fields and produce synthetic oil, the amount produced was onlymodest. Therefore, Japan had to rely on imports for most of its oil. Moreover, as petroleum was more advantageous than coal as an energy source, it was clear that demand would increase further as a fuel for ships and industry.
6On September 18, 1931, elements of the Japanese Army occupy the Chinese town of Mukden and, soon after, this leads to a full invasion of Manchuria by the Japanese Army. Later Japan relinquish this territory to form the puppet state of Manchukuo with the deposed Chinese Emperor as its head.
7The 3rd country must be Korea, at the time a part of the Japanese Empire.
In 1932, the total world oil production was 3.45 billion tonnes, of which the United States produced approximately 62% (2.7 billion tonnes), and the value of production in the southern regions was as follows. (3-4) (note: the specific value of southern crude oil was about 0.95).
Dutch East Indies: 7, 948, 694 tons
Java 840, 950 tons.
Sumatra 5, 320, 325 tons.
Borneo 1, 680, 377 tons.
Seram Island 107, 047 tons.
British Borneo 931, 00 tons.
Miri 174, 00 tons.
Seria 757, 00 tons.
Burma 1, 268, 566 tons.
At that time, Japan imported most of its oil from the USA and some from the South and other countries. According to statistics from 1936, approximately 70% of our country's oil imports were from the USA and 20% from the South. (5)
With the conversion of naval fuels to petroleum, the demand for such fuels increased dramatically. In order to overcome the contradiction that has led the Navy to look to its supposed enemy, the United States, to supply this valuable oil, the Navy has taken the lead in our national oil policy and has promoted measures. These include increasing domestic oil production, storing oil, regulating oil consumption and shifting oil import regions. In particular, as the international situation surrounding Japan worsened with the escalation of the Second Sino-Japanese War, we strengthened the aforementioned measures in preparation for any eventuality, and from around 1938 we seriously planned to acquire oil fields in the south, but negotiations did not progress as expected. Therefore, considering the eventuality of a situation between Japan and the US if things were to continue as they were, Japan was very concerned about the prospects for oil supply and demand.
Southern rubber and tin also accounted for a large proportion of world production. According to 1937 statistics, of the world rubber output of approximately 113,30 thousand tonnes, approximately 469,000 tonnes was produced by British Malaya and 427,000 tonnes by Dutch India. In the same year, British Malaya produced about 7.75 million tonnes of tin, which was about 37% of world production. (4) Bauxite near Bintan Island8 in the Dutch East Indies, nickel from Celebes Island, iron ore, lead, zinc and chrome from various regions were indispensable resources for our industry, and sugar, copra, Manila hemp, cinnamon and teak were also commodities on which we had no choice but to depend on the countries of the South.
As described above, the economic relations between Japan and the countries of the South were deep, and developments in the South had a great influence on Japan. However, most of the countries of the South were under the control of the Western countries, which were gradually deepening their conflict with Japan. Japan tried to acquire the resources of the southern countries through normal trade from beginning to end. This policy remained unchanged even after the Manchurian Incident, when the conflict between Japan and the Western countries intensified.
Apart from the capture of the Philippines as part of the campaign against the US, Japan had never considered operations against the countries of the South until 1935. In view of the expiry of the Naval Disarmament Treaty9 and changes in the international situation after the Manchurian Incident, the UK was added to the list of possible adversaries for the first time in the revised Defence Policy in 1936. Based on this, the Navy also defined operations against the UK from its annual operational plan in 1937. However, this was merely an operational concept and not an action plan based on concrete research. It was not until the middle of 1940 that the Army and Navy began to study southern operations in earnest for the first time. (6)
The only exception is the Philippines. Since the end of the Meiji era, the Navy had been concentrating on researching operations against the US as an assumed enemy, and since World War I it had been researching the Philippine Islands offensive in cooperation with the Army. However, the Japanese Army's attack on the Philippine Islands was mainly researched from operational requirements and was also an attempt to secure a trade line with the south.
This chapter gives an overview of the military situation in the South until September 1939, when the Second World War broke out.
8Biton Island belongs to the Archipelago of Riau that stands in front of Singapore (around 13 nautical miles to the southeast).
9The 1st London Naval Conference held in 1930 and the 5 Power Treaty signed in 1922 during the Washington Naval Conference in 1922, regulated the warship construction and fleet sizes. In 1935, the Empire of Japan gave notice that it was abandoning these treaties (one of the major steps that lead to the construction of the Yamato Class Battleships).
2 US-Japan relations and operational concept
Imperial Defence Policy and Concept of Operations against the United States
Relations between Japan and the US began to cool as a result of Japan's continental expansion following its victory in the Russo-Japanese War and were further aggravated by the passage of the Japanese Immigration Restriction Act in the US in 1907.
In 1907, the 'Imperial Defence Policy' was enacted, setting out the basics of Japan's defence forces, and the accompanying 'Military Force Requirements for National Defence' and 'Military Service Guidelines' were determined. In this Defence Policy, it was decided that the so-called assumed enemy countries were Russia, the US and France. (8) Subsequently, several revisions were made in response to changes in the international situation. As a result, in the last revision of the Defence Policy in 1936 (Showa 11), the United States, China and the United Kingdom were added to the list of assumed enemy states. (6)
Although Japan had thus decided on a number of countries as possible adversaries, it was beyond the limits of our national power to engage them all at the same time, so a policy was adopted of limiting the number of countries with which we could engage to one by means of appropriate diplomatic measures. (8) In addition, it was clear from the strategic posture of both sides and the actual state of their military equipment that the Navy would play the leading role in operations against the US and the Army in operations against the Soviet Union. Therefore, since the end of the Meiji period, the Navy had consistently set its sights on the US, concentrated on research and training for unilateral operations against the US, and endeavoured to enhance its military equipment in response to these operations.
It is beyond our national capability to cross thousands of nautical miles of the Pacific Ocean to advance on the US mainland. On the contrary, it was judged that the US Navy, in the event of an outbreak of war between Japan and the US, would launch an offensive across the Pacific Ocean in order to protect its interests in the Far East, including the Philippines Islands, and to bring Japan to its knees. For this reason, the basis of our navy's concept of operations against the US was to adopt a strategic defensive position and to challenge the incoming US fleet to a decisive battle in the Western Pacific, which was to be called offensive defence. (6-9)
The operational guidelines for operations against the US, which the Japanese Navy had studied and trained for many years, were generally known as 'interceptor operations'. The specific procedures had gradually changed in accordance with the international situation, changes in the strategic forces of the two countries, and the development of naval vessels, aircraft and weaponry. The outline of the operational guidelines around 1937 was as follows: (6-9)
2 Deploy submarines near the launching point of the US main fleet, reconnoitre its sortie, pursue the advancing US fleet, and launch repeated attacks to decimate the enemy forces.
3 As soon as the US fleet enters the range area of the air combat units based in our South Sea Islands, the land air force and the carrier air force will attack the enemy fleet in cooperation.
4 As soon as the enemy fleet enters our projected decisive battlefield, we will conduct a night battle with night battle units (cruiser squadrons and torpedo squadrons consisting of light cruisers and destroyers), including fast battleships.
5 Following this night battle, after daybreak, we will rally all forces based on battleship squadrons to engage the US fleet in a decisive battle and destroy it.
This 'interception strategy' philosophy dominated our navy for many years from start to finish. However, with the development of aircraft and their usage, the value of aircraft in maritime operations increased rapidly. For this reason, from around 1934, people involved in aviation began to advocate the abolition of battleships and the prioritisation of aviation. This was the first time that the idea of “interception operations” based on battleships was openly criticised, but the majority of the Japanese Navy continued to adhere to the idea of “interception operations”. (10-11)
The Philippines Island offensive as part of the campaign against the US (See Appendix I)
In the 1918 revision of our Military Service Guidelines, it was added that at the beginning of the war, the Army and Navy should work together to invade the Philippines Islands. The objectives of the Philippine Islands invasion were as follows:
1 To overthrow the US military bases in the Far East and prevent their activities, and to deprive them of bases for a US counter-offensive and establish control of the Western Pacific to make the rear of our operations against the US safe.
2 To promote the sortie of the US fleet and create an opportunity for an early Japan- US fleet battle.
Japan was planning a defensive operation. Therefore, the start of the US fleet's advance into the Western Pacific, and thus the selection of the moment for a decisive battle between the US and Japanese fleets, was in the hands of the United States, which was on the offensive. Therefore, our navy was at a disadvantage in that it had to prepare for the arrival of the US fleet and wait for it with all-out deployment from start to finish.
In addition, in terms of national strength, our country was not as strong as the US. If Japan and the US started a war, it was clear that a prolonged war would be disadvantageous to Japan since the military strength of the two countries would increase over time. Therefore, it was the general view of our Navy that, in the event of an emergency, we would have no choice but to seek an opportunity for a decisive battle in the early stages of the war when our national power was not yet exhausted and the gap between the forces of the two navies was not so great, and, with the military advantage of having destroyed the US fleet in the background, bring the war to an end through diplomatic means and other means. However, the US Navy would make
sufficient preparations and plan to attack only after it was confident of victory, so opportunities for an early decisive battle could not necessarily be expected as we had hoped.
Therefore, from the point of view of strategy and war guidance, our Navy was most concerned about how to create opportunities for an early decisive battle. As a measure, Japan tried to attack the Philippines Islands at the beginning of the war to force the US fleet to launch an early sortie in order to rescue the island, and to promote the timing of the decisive battle between the US and Japanese fleets.
3 Secure maritime traffic lines between our country and the south.
The goods necessary for the maintenance and development of our national power were largely dependent on imports from the southern regions. The Philippines Islands were at the key point of the maritime transportation routes necessary for the transport of these goods. It was therefore necessary to conquer it at an early stage and remove obstacles to the sea traffic line.
In 1918, the revised Military Service Guidelines added 'the attack on the Philippines at the beginning of the war', so a joint Army-Navy study of the Philippine attack was launched in earnest. The plan at the time was for the Navy to destroy the US Asiatic Fleet and blockade Manila Bay, and for the Army to land its main force with one and a half divisions in Lingayen Bay on the west coast of Luzon Island and part of it in Lamon Bay on the east coast, and capture Manila (12). Later, in 1926, a revolutionary change was made to the plan for the attack on the Philippines. The basic concept was as follows: (13)
1 The decisive battle of the main naval forces was to be expected around April or May after the outbreak of the war, and before that, Manila was to be occupied and the Cavite military port was to be destroyed.
2 Army forces are to be divided into three corps, and the Army invasion force is to land in Lingayen Gulf, Ramon Bay and Batangas Bay to capture Manila. A separate corps will be landed in Subic Bay to occupy Olongapo Naval Base.
3 A detachment of about one battalion of infantry will be landed at Aparri, Laoag, Vigan and Legazpi respectively, and the airfields there will be occupied and maintained, and the air units will be deployed and the advance detachment will be prepared for the landing of the main force.
4 The Corregidor fortress will be blockaded at first, but when the opportunity arises, the Bataan peninsula and the key areas of the Corregidor will be attacked.
5 After the operations described above, key areas in Mindanao and the Visayas will be invaded.
In the early Showa period, the Army began to focus on the capture of the Bataan Peninsula and Corregidor Fortress. The policy of 3 landing corps marching into Manila in a centripetal manner was adhered, but it was stipulated that the US military should capture and destroy it prior to fleeing to the above positions. (14)
Research into the Philippine offensive continued thereafter. Meanwhile, the post- revolutionary recovery of the Soviet Union was surprisingly rapid. After the Manchurian Incident (which broke out in 1931), the Army came into direct conflict with Soviet forces on the Soviet-Manchurian border. Therefore, it was natural that the Army's countermeasures were mainly concentrated in the north, as the Army was responsible for the war against the Soviet Union. Furthermore, from July 1937, Japan and China entered a state of full-scale warfare, and on the Soviet border, following the Lake Khazan Incident in 1938 10 , the Nomonhan Incident11 occurred the following year, and the Army had to continue its efforts to resolve the China Incident as soon as possible while preparing for the Soviet Union. Under these circumstances, it was unavoidable that research into the Philippines Islands offensive was regarded as secondary. Therefore, although the Philippines Islands offensive as part of the campaign against the US was included in the annual Army and Navy operational plans, it was difficult to say that sufficient joint Army and Navy research on the Philippine Islands offensive was conducted until around the middle of 1940, when the southern campaign began to be studied in earnest from around the time of the Manchurian Incident. (6)
10The Chōkohō Jiken Incident (July 29, 1938 – August 11, 1938) was a clash between Japanese / Manchukuo and Soviet Union that occurs as a result of one an attempted military incursion into territory claimed by the Soviet Union. The conflict was resolved diplomatically on August 10, and next day the Japanese / Manchukuotroops return to the original positions. The Soviet troops lost much higher number men and material. (For further information see for example : en.wikipedia.org/wiki/Battle_of_Lake_Khasan ).
11The Nomanhan Incident ( July 02, 1939 – September 15, 1939) was a clash between Japanese / Manchukuo and Soviet Union where a initial incident in Mongolia escalated into a series of engagements where both sides deployed corps-sized forces and where the Soviet Union is able to definitely defeat the Japanese Army. (For further information see for example: en.wikipedia.org/wiki/Battles_of_Khalkhin_Gol ).
Overview of US Far Eastern Strategy (15)
How to defend the Philippines, especially the military bases around Manila Bay, had been a strategic issue for the US Army and Navy since the US took possession of the Philippines in 1898.
In 1904 (Meiji 37), a series of operational planning exercises known as the 'Colour Plans' were initiated. The Colour Plans were operational plans that were named with different colour names for each of the assumed partner countries, and the operational plan against Japan was called the 'Orange Plan'.
With Japan's advance to the continent following victory in the Russo-Japanese War, relations between Japan and the US began to cool. In 1907, Japan-US relations further deteriorated with the passage of the 'Japanese Immigration Restriction Act' in the US. The US Army and Navy examined the Orange Plan and based on its conclusions, recommended to the President that "in the event of an emergency, US forces in the Philippines should defend Subic Bay and promptly dispatch the US fleet to the Philippines Islands". However, the study confirmed that the defence of the Philippines would be difficult and that a major naval base in the Pacific would be necessary. Hawaii and Manila Bay were selected as potential sites for this base. However, the following year, Manila Bay was rejected and Hawaii was chosen as the naval base.
The situation in the Far East after the First World War was greatly changed by the defeat of Germany and the loss of its Pacific territories, the collapse of Imperial Russia due to the Revolution and its turmoil, and the growth of Japanese power in place of Russia, especially the Japanese mandate over the former German territories of the Marshall, Mariana and Caroline Islands. In addition, the Washington Conference on Disarmament, the prohibition of military installations in the Western Pacific Islands and the rapid development of aircraft had a major impact on the military situation in the Far East during the restrictions on the number of mainline vessels and aircraft carriers. In order to respond to this new post-World War I situation, it was decided that the US Fleet would be stationed in the Pacific from 1922.
In 1924, the Orange Plan was finally approved and it was decided that the Manila Bay base should be secured until the arrival of the US fleet. However, the judgement on this possibility was pessimistic. This was because the US forces in the Philippines at the time numbered only 15,000 troops, and the defence facilities in Manila Bay were poor, while the Japanese forces, occupying a geographical advantage, could launch an overwhelming force against the US forces.
The first revision of the Orange Plan was carried out in 1926. The main point of the revision was that the plan had been for reinforcement units to go directly from Hawaii to the Pacific Islands, but it was changed so that they would reach the Pacific Islands after successively attacking the Marshall, Mariana and Caroline Islands. This was a natural step in response to the fact that the islands, which had come under Japanese mandate, were to become a base for naval vessels and aircraft attacking the US fleet as it advanced across the Pacific.
The Orange Plan continued to be discussed. The study pitted a naval proposal for an immediate offensive in the Far East to bring Japan to its knees against an army proposal for US forces to retreat into a so-called strategic triangle linking the Aleutians, Hawaii and Panama. The defensive plan argued that Japan should be brought to its knees by economic pressure and the destruction of maritime traffic. In 1928, the conventional offensive strategy was reaffirmed and the mission of US forces in the Philippines was still to secure the Manila Bay base until the arrival of reinforcements. However, this decision, which acknowledged the difficulties of defending the Philippines while deciding on a strategic offensive in the Far East, clearly contradicted the operational guidance of the US forces.
A bill to grant independence to the Philippines by 1946 (Showa 21) was passed by the US Congress in 1934 (Showa 9). This triggered a renewed debate between the Army and Navy on the defence of the Philippines. The development of weaponry, especially the improved performance of aircraft, made the defence of the Manila Bay base increasingly difficult. It was clear that if the United States was still intent on defending the region after the independence of the Philippines, the Manila Bay base would need to be reinforced. The Army insisted on a
retreat to the Strategic Triangle, but the Navy did not change its insistence on a conventional transoceanic offensive. Eventually, in the revision of the Orange Plan two years later, the mission of US forces in the Philippines was limited to securing Fort Corregidor in Manila Bay. However, the Navy's insistence was accepted and the policy of the transoceanic offensive was maintained.
The Anti-Komintern Pact between Japan, Italy and Germany in 1936, the conflict between Japan and China that began the following year, and the growth of German and Italian power in Europe brought about a new military situation in the Far East. The US Army's main focus was to deal with Germany in Europe, while in the Pacific it insisted on adopting a defensive position. The Navy, however, remained unchanged and insisted on offensive operations against Japan. The Joint Conference sought a compromise between the Army and Navy and decided that the ultimate objective should be Japan's capitulation through offensive operations, but that the strategic posture in the early stages of the war should remain east of the Strategic Triangle.
The revision of the Orange Plan in 1938 (Showa 13) was based on this conclusion. However, there was not a compromise between the Army and Navy claims. The mission of US forces in the Philippines to secure the mouth of Manila Bay was retained, but no measures were adopted to reinforce US forces in the Philippines or to strengthen Manila Bay bases, nor was a time frame set for the arrival of the US Navy. Thus, the revision implicitly acknowledged that US forces in the Philippines would not be able to secure Manila Bay base.
The plan set out the following measures for offensive operations against Japan:
1 Mobilise, if necessary, 750,000 Army personnel, including strategic reserves, to support the Navy.
2 Mobilise naval vessels and increase troop strength to 320,000 (including Marines).
3 Increase the Marine Corps force to 35,000.
4 Other land and naval forces will be increased as necessary.
The revised draft of the Orange Plan was completed and approved by the President in February of the same year. To implement this plan, the Second Vinson Plan12, which aimed at a 20% increase in naval forces, was passed by Congress in May of the same year.
At the end of the same year, the first attempts were made by the US and the UK to formulate a plan for co-operative operations in the Pacific. The negotiators were the US Rear Admiral Ingersoll 13 and British Commodore Tom Phillips (Rear Admiral at the outbreak of war, Commander-in-Chief of the British Eastern Fleet). During these negotiations, the two countries confirmed the following basic policy:
1 In the event of war against Japan, the UK would dispatch its fleet to Singapore and the US would assemble its fleet in Hawaii for operations.
2 The two countries will mutually utilise their operational waters for operations.
12US Naval Act of 1938.
13At the time Royal E Ingersoll is the Navy's Chief of War Plans and had been the USN representative at the 2nd London Naval Conference of 1935 (when the Japanese delegation informed that the Japanese Empire was leaving the Naval Treaties next year).
On the other hand, the alliance of Japan, Germany and Italy across Europe and Asia and the growth of their power meant that the colour plans, which were operational plans for each single hypothetical enemy country, could no longer be adapted. For this reason, from November of the same year, the US Army and Navy began researching on an operational plan in which the US, Britain and France would unite to oppose the three countries of Japan, Germany and Italy. This was the 'First Draft of the Rainbow Plan'. The first draft was eventually completed in July 1934 (1939). The first draft was divided into the following five plans, depending on the applicable circumstances:
Nº 1 Defence of the Western Hemisphere north of latitude 10°N.
Nº 2 Defence of the area under Nº 1 and Allied territories in the Pacific. Nº 3 Defence of the area under Nº 1 and securing the Western Pacific. Nº 4 Defence of the Western Hemisphere and Eastern Pacific.
Nº 5 For the daily accomplishment of Nº 1 and Nº 4, to go out to Europe in coalition with Britain and France and promptly subdue Germany and Italy.
On the 1st of September of 1939, German troops invaded Poland, and on the 3rd of September both Britain and France declared war on Germany. Europe was thrust into the Second World War. President Roosevelt approved the Rainbow Plan a month later, in October.
At the outbreak of World War II, US military forces in the Far East were small, consisting of: Navy (Asiatic Fleet):
2 cruisers.
19 destroyers.
12 submarines.
6 river gunboats. Auxiliary ships.
Army:
About 10,000 men.
Concept of operations against the UK and the Netherlands
At the beginning of the Meiji era (1868-1912), our Navy looked to Britain as a model for the establishment of a navy, and received all kinds of assistance from Britain, including institutions, education, technology and the procurement of ships and weapons, to establish the foundations of our navy. The friendship between the British and Japanese navies was further fostered against the background of the goodwill between the two countries through the Anglo-Japanese Alliance.
The Anglo-Japanese Alliance, which was formed by the common interests of Britain and Japan in the Far East in response to the southward expansion of Russia into Manchuria, would eventually have no choice but to be destroyed by the continental expansion of Japan, which had won the Russo-Japanese War, in place of Russia. Based on the Anglo-Japanese Alliance, Japan took part in the First World War in 1914. The following year, however, Japan made twenty-one demands to China, demanding its special rights and interests in the country. In order to defend self-governing territories and colonies in India, Australia, New Zealand, Malaya, Hong Kong, etc., and to protect British interests in Asia against the growth of Japanese power after the First World War, Britain built a large naval base in Singapore, and in the event of an Anglo-Japanese war, this naval base was to remain there until the arrival of a reinforcement fleet from European waters. The policy was to defend the advance of the Japanese forces by means of a protected base.
In 1922, the Washington Disarmament Treaty was signed, and at the same time the Anglo- Japanese Alliance, which had been in place since 1902, was finally abandoned. However, Japan did not consider operations against the UK until 1936, when the Defence Policy was revised in 1936 to include the UK as a potential enemy. As a result of this revision of the Defence Policy, the Navy was to stipulate operations against the UK from the operational plan for 1937. However, unlike operations against the US, the Navy had conducted little research on operations against the UK until then and had not yet developed sufficient military material for the British territories to the south. For this reason, the operational plan against the British set out in the annual operational plan merely indicated operational concepts, such as securing control of the South China Sea and capturing British bases such as Hong Kong and Singapore and did not go so far as to formulate specific operational procedures. (6)
The Dutch East Indies had deep economic relations with our country. However, since our country had always adopted the policy of importing its goods through normal trade, the Army and Navy had never planned an armed advance or studied its plans in anticipation of a future conflict between Japan and the Netherlands. It was not until the summer of 1940 that the Dutch East Indies Campaign was studied for the first time.
Overview of British strategy in the Far East (16)
As mentioned above, in 1921, the British decided to build a naval base in Singapore, and this construction plan was passed by Parliament the following year. However, the implementation of the plan was delayed due to disagreements within the military over the construction procedures of the base.
In 1932, based on the recommendations of the British Defence Committee's Special Committee on the Defence of Singapore, construction of the base finally commenced in accordance with the following policy:
1 The main deterrent force against an attack on Singapore from the sea would be Artillery.
2 The auxiliary forces will be base air defence fighters and attack aircraft for ship attacks.
3 The first stage of work in the construction of the base will be the development of shore defence guns, air units and airfields, to be completed in 1936 or the following year.
The new tensions in European affairs caused by the growing power of Germany and Italy made it necessary for a large part of the Royal Navy to stand by in European waters. The Royal Navy had originally succeeded in defeating the Spanish, Dutch and other navies, acquiring British overseas territories and securing maritime traffic between its home country and overseas territories, and had followed this tradition for so many years that it was proud to say that "the basis of British prosperity is the Navy". However, it was now anticipated that, depending on developments in Europe, it might not be possible to dispatch the fleet to the Far East. Therefore, the need to strengthen the Singapore base became even greater, and in 1935 a second phase of construction work was set in motion. This involved the construction of a new heavy artillery position and two new airfields, and with this base reinforcement, Singapore was expected to be able to withstand an attack for about 70 days.
The development of aircraft also necessitated a reconsideration of defence plans that had previously been limited to Singapore. In 1937, Major General Dobbie14, Commander-in-Chief of the Malayan Army, stated that "even during the northeast monsoon period (October to March), it is possible to land on the east coast of Malaya, and that the Japanese forces should not attack Singapore directly from the sea front, but should occupy Singora, Pattani (above in southern Thailand) and Kota Bahru (northern Malaya), seize airfields, and then attack Singapore. It is highly probable that the attack will be launched from the north. Singapore's defensive measures should therefore be reconsidered from the perspective of Malaya as a whole", he recommended. No action was taken, however, and the existing construction programme was merely continued.
14Major General William Dobbie was the General Officer Commanding Malaya Command appointed on the 8th of November 1935, holding the post to 1939. In UK, Ireland and a few other nations a General officer commanding (GOC) is the most common title given to a general officer who holds a command appointment.
In 1934 (1939), the Chiefs of Staff Committee of the Three Services, comprising the Chiefs of Staff of the British Army, Navy and Air Force, submitted an operational guidance plan to the Defence Committee. The summary of matters relevant to naval operations in the Far East was as follows:
1 This plan is against Germany but anticipates war in the Far East against Japan.
2 The regions of first importance to the British are the Homeland, second the Mediterranean Sea and third the Far East.
3 The Home Fleet and the Mediterranean Fleet will be deployed in the homeland and the Mediterranean respectively.
4 Protection of maritime commerce across the rest of the world will be handled by the Overseas Fleet and the Autonomous Territorial Navies.
5 The necessity of sending a fleet to deal with Japanese attacks in the Far East is recognised, but there is no surplus capacity for this, and its dispatch will depend on the war situation in Europe.
In July of the same year, the British Defence Committee extended the period of holding Singapore at the outbreak of war to 90 days, and also reinforced one infantry brigade, one field artillery regiment and two bombing companies. While preparing to raise two more bombing companies in September, German troops invaded Poland on 1 September. On 3 September, Britain declared war on Germany, and from then on Britain was forced to devote all its strength to the war against Germany and later also to Italy.
At the outbreak of the Second World War, the British forces in the Far East were roughly as follows:
Navy:
China Surface Fleet:
4 cruisers, 1 aircraft carrier, 10 destroyers, 5 destroyers, 15 submarines,
5 coastal defence ships, 20 river gunboats, 6 torpedo boats and others.
East Indies Fleet:
3 cruisers, 7 destroyers (5 of which are Indian Navy).
Australian Navy:
3 cruisers, 3 destroyers and 2 escorts.
New Zealand Navy:
2 cruisers, 2 destroyers.
Air Force (forces in Malaya):
2 squadrons of bombers (24 aircraft), 2 squadrons of torpedo bombers (24
aircraft), 2 squadrons of flying boats (10 aircraft), total 6 squadrons of 58 aircraft.
Army:
Malay area:
About 23,000.
Hong Kong area:
About 19,000.
Dutch Navy in the Far East (17)
The Netherlands, which had a powerful navy and acquired many overseas colonies in the 16th and 17th centuries, saw its power gradually decline from around the 18th century, and was replaced by British power. However, the Dutch East Indies were an important colony that brought wealth to the Netherlands, and the mission of the Dutch navy in the Far East was to secure the maritime defence of the Dutch East Indies and the maritime traffic between the Dutch East Indies and the Netherlands.
After the Russo-Japanese War, when Japanese power began to grow in the Far East, the Dutch anticipated future conflicts between Japan and the Western powers in the Far East. However, it was judged that in such a case, both the British and US navies would deal with the Japanese navy, and since the Dutch navy did not have battleships to deal with the Japanese navy, its forces of cruisers and smaller vessels had the main task of local defence and the protection of maritime traffic. Therefore, the Netherlands was not capable of defending the Dutch Indies on its own and had no choice but to rely on Britain and the US.
In 1936, the Dutch Government investigated the state of defence of the Dutch East Indies and came to the conclusion that their defence capabilities were weak. For this reason, it requested talks between the UK and the Netherlands on defence measures in the Far East. The British acknowledged the need for joint defence but would not commit to British co-operation in the defence of the Dutch East Indies. However, the two countries stipulated that the Royal Air Force would provide the Dutch East Indies air forces with the technical assistance necessary for co-operative operations.
In 1939, the Dutch East Indies navy was small, based on two cruisers, five or six destroyers, 12 submarines and about 50 aircraft.
1. Rise of the southward momentum
US economic pressure and oil problems
The conflicting national policies of Japan and the US over the Chinese continent had long been a source of constant problems between the two countries, especially after the Manchurian Incident, which intensified for a time but has gradually subsided since then. It was under these circumstances that the Shina Incident broke out in July 1937, and despite our government's policy of non-aggression, the incident continued to escalate and was expected to be protracted. In response, the US led the countries concerned in protest against Japan, and relations between Japan and the US gradually deteriorated. In addition, the Lake Khasan Incident in 1938 and the Nomonhan Incident the following year also caused tension on our northern frontier. Meanwhile, in Europe, the radical policies of the Nazi regime brought the international political situation in Germany to a standstill.
The United States notified Japan of its intention to abandon the Treaty of Commerce and Navigation with the United States of America (six months' notice), which had been anticipated since Japan's statement on the "Construction of a New East Asia Order" in November 1938, using the Tientsin Incident (22 July 1939)15 as a time to implement the treaty. The main aim of this notice was to curb Japan's actions in advance, taking advantage of the turmoil in Europe, by threatening a ban on exports to Japan of the goods it needed most. In other words, Japan depended on imports from the US and British spheres of influence for the majority of its production capacity expansion materials, production raw materials and military supplies. In particular, Japan relied heavily on the US for petroleum and scrap iron, and at the time, for example, it depended on the US for about three-quarters of its petroleum requirements and for all refining technology. Therefore, the Navy, the largest consumer of oil, took the lead in trying to improve our oil policy in order to get out of this disadvantageous position, but the results were extremely inadequate.
As our supply and demand situation was such that the abandonment of the Commerce and Navigation Treaty allowed the US to unilaterally decide to prohibit exports, our country was left with no prospect of obtaining supplies, and the threat posed to it was extremely great. Therefore, Japan had to promote imports, stockpiles and consumption regulations, and also take urgent measures to actively shift import destinations to key areas in the south.
15The Tientsin Incident was an international incident between Japan and the United Kingdom that almost led to an Anglo Japanese War. This incident is out of the scope of this work but for further information see: en.wikipedia.org/wiki/Tientsin_incident.
Fortunately, the southern regions produced enough oil and other resources to meet our demand.
Earlier, in 1936, the Anti-Komintern Agreement between Japan, Germany was concluded, and Italy subsequently joined it. In 1938, there was a proposal to develop this into a military alliance. The Japanese Navy opposed the promotion of this military alliance on the grounds that there was a great risk of progressing to war with the US, and there were also differences of opinion between Japan and Germany, which made these negotiations difficult. In the midst of these negotiations, in late August 1939, Germany suddenly concluded the Treaty of Non- Aggression with the Soviet Union. The issue was therefore dropped.
On the 1st of September, immediately after the conclusion of the Treaty of Non-Aggression between Germany and the Soviet Union, German troops began to advance into Poland, and war finally broke out in Europe. This made it even more difficult for Japan to import military supplies. In fact, in December of the same year, the US banned the export of high-grade volatile oil production equipment and refining technology.
Rapid change in the international situation and aggressive policy decisions
The German Army, which had remained calm for about six months after the occupation of Poland, suddenly went on the offensive in April 1940, sweeping through Norway and Denmark, followed by the Netherlands, Belgium and France, culminating in the retreat of Dunkirk in May. The German army's tremendous advance led Japan to believe that it was inevitable that the Germans would soon land on the British mainland. The British, Dutch and French colonies in the Far East either lost or were about to lose their home countries due to this rapid development of the situation in Europe.
The United States, which had an urgent need to save the lives of its friends in Europe, took the following measures in the Far East in order to hold back the expected southward advance of Japan:
May: Announcement of Pacific Fleet stationed in Hawaii.
June: Export ban on machine tools.
July:
National Defence Act passed - export licensing system for military supplies (except scrap iron and petroleum).
Law on the Oceanic Fleet passed - military plan for a 70% increase in naval vessels and 15,000 aircraft in the fleet.
Scrap iron and petroleum added to export licence list of goods per month.
With the passage of the Defence Act, our country's imports of required military supplies from the US were subject to his increasingly strong restrictions. Therefore, for our country, the availability of southern resources became a critical issue for self-defence. However, the situation in Europe took a sudden turn, so our Government decided on the 'Basic National Policy Outline' at a Cabinet meeting on 26 July, followed by the 'Outline for Handling the Situation in Connection with Changes in the World Situation' at the Imperial General Headquarters and Government Liaison Conference on the following day, 27 July. (19)
This was an aggressive national policy that included an armed advance southwards at an opportune time, based on alliance with Germany and Italy, and marked a major shift in Japan's policy towards the south. The following is a summary of the articles in the Summary of the Temporary Measures that were relevant to the south:
Article 2:
2 As regards foreign policy, the following shall be adopted in general, with a view to promoting the handling of the Chinese Incident and resolving the problems in the south. (Omitted by the author)
3 For French Indochina and Hong Kong16, etc., the following applies:
(A) In regard to French Indochina (including Guangzhou Bay17), ensure that no reinforcements are made and that our troops are quickly allowed to take charge of supply, transit and use of airfields, etc., and endeavour to acquire the resources required by the Empire (omitted by the author).
4 To the Dutch East Indies, endeavour for the time being to secure their vital resources by diplomatic measures.
6 To the other countries in the South, take measures to ensure that they are in sympathy with our operations by taking friendly measures.
Article 3: With regard to armed action against the South, the following shall apply:
1 When the disposal of the China Incident has been generally completed, to seize opportunities and use force as far as the internal and external situation permits in order to resolve the problems in the south.
2 If the Chinese Incident has not yet been resolved, measures shall be taken to the extent that war with a third country does not break out, but if the internal and external situation develops in a particularly favourable way, force shall be used to resolve the problem in the south.
3 The time, scope and method of the use of force referred to in the two preceding paragraphs shall be determined in accordance with the circumstances.
4 In the use of force, efforts shall be made to minimise the number of war partners to the British as much as possible, but even in this case, war with the United States must be avoided, so that no regret should be attached to the preparations for such a war.
16The United Kingdom was allied to France.
17It’s the bay between Macau and Hong Kong.
After the outbreak of the Second Sino-Japanese War, the Navy had been working to promote war reserves in preparation for interference by third countries, but based on this outline decision, it had to re-examine its aim to rapidly complete preparations for war against the US, should a war with the US break out. As a result, it was found that the necessary war preparations could not be put in place unless the mobilisation that should be activated in the event of the outbreak of war were to be launched at the present time.
The Army and Navy Departments at the Main Headquarters also began full-scale research into southern operations for the first time, but had to start with basic research, such as the study of military geographies and the gathering of military intelligence. On 16 August, the first research meeting on the Southern Campaign was held by the chiefs in charge of operational planning in the Army and Navy Departments. At this study group, the Army side submitted a draft of the chiefs' plan for discussion. However, they only discussed basic issues concerning the international situation at the time, such as whether it was possible to separate the US and Britain and limit the engagement to just one country, the UK, or just one country, the Dutch East Indies, and in the end they did not even reach a conclusion. The outline of the draft was as follows: (6-20)
1 Objective of the operation:
Capture of Dutch East Indies and British Malaya.
2 Operational outline:
A) Assault on Dutch East Indies with one army, followed by an attack on British Malaya with one army. Depending on the situation, Dutch East Indies and British Malaya will be attacked simultaneously, or British Malaya will be followed by Dutch East Indies.
B) Hong Kong is to be invaded by troops dispatched from South China after the Anglo-Malaysian campaign. Depending on the situation, Hong Kong will be invaded before the Malayan operation.
C)Bismarck Islands (east of New Guinea, Australian Mandate) is to be captured at the earliest opportunity during the Malayan campaign.
D) If war with the US is inevitable, the islands of the Philippines and Guam will be invaded as soon as possible.
E) The Navy will defeat the British and Dutch navies in the Far East to secure sea and air control.
3 Forces to be employed: Army:
Dutch East Indies: 2 Divisions, Malay, French Indochina and Thailand: 5 Divisions.
Philippines: 3 Divisions and 1 Mixed Brigade, Hong Kong: 2 Divisions Bismarck Islands: 1 Regiment
Air power:
Army: approx. 450, Navy approx. 300
Ships:
Army about 300,000 tons, Navy about 130,000 tons (about 950,000 tons of the then Army and Navy commissioned ships' forces).
4 Premises of the operation:
Relations with the Soviet Union are good and any problem can be dealt by the current Kwantung Army forces.
The plan also provided for the case of a war with the US, but the basic concept was to "seize an opportunity when the British forces had retreated under circumstances that prevented the US from entering the war against Japan as much as possible".
Government action in accordance with the Outline for the Handling of the Situation
Based on the aforementioned time management guidelines, the Government and Imperial Household proceeded with measures. These included the dispatch of Minister of Commerce and Industry Kobayashi Ichizo to the Dutch East Indies, the Japanese occupation of northern French Indochina, and the signing of the Tripartite Treaty of Japan, Germany and Italy. These measures further aggravated the international situation surrounding Japan. The US banned the export of petrol for aircraft on 1 August and iron, copper and scrap iron in late September, but oil exports continued. However, after the third election of President Roosevelt, his attitude towards Japan hardened further and there was a risk of a total ban on exports. Negotiations on oil and other issues in the Dutch East Indies by Minister of Commerce and Industry Kobayashi finally ran into a deadlock as our demands were not accepted due to the hard-line attitude of the Dutch, backed by the US and the UK.
Occupation of Northern French Indochina
For this reason, in May 1940, our government seized the opportunity of the German invasion of France and demanded that France stop the transport of aid supplies, which was approved by France on the 20th of June. In addition, by agreement with the French Government, the Nishihara Delegation (headed by Army Major General Issaku Nishihara) was stationed in Northern French Indochina to monitor the situation. However, not only was the policing by the French Indochina Government not always seen as sincere, but the Nishihara Delegation was also short of staff and could not be expected to carry out thorough monitoring. Therefore, Headquarters acknowledged the need for some troops to be stationed in Northern French Indochina in order to enforce the prohibition of aid and supplies via the Indochina route and to strengthen air operations in the direction of Yunnan Province. Accordingly, the Government requested the French Government for "the passage and stationing of limited Japanese troops in Northern French Indochina and the granting of facilities to the Japanese troops", and these diplomatic negotiations were concluded on the 30th of August. Subsequently, an armed conflict arose between Japan and France due to an incident involving the crossing of Japanese troops near Nanning, but the situation was resolved and Japanese troops were stationed in northern French Indochina from the 23rd of September onwards. In response, the British notified us of the reopening of the Burma route, which had been closed earlier at the request of our Government. The intensification of US economic pressure on our country has already been mentioned.
Thailand, the French Indochina conflict and Operation S
Subsequently, due to the inseparability of the US and UK philosophies on the naval side and the state of development in international affairs, the momentum in Japan to actively pursue measures against the Dutch East Indies and the British gradually began to decline. However, there was still a strong desire for Japan to secure a political, economic and military foothold in Southeast Asia, the key region in the south.
In June 1940, Japan concluded the 'Treaty of Friendship and Amity between Japan and Thailand' and worked to strengthen bilateral relations between the two countries. What Japan wanted from Thailand was a necessary military base as well as the necessary military supplies. However, it was not easy to achieve our demands on Thailand because it was difficult to wipe out the British power that had infiltrated Thailand for many years. The surrender of France to Germany coincidentally triggered a resurgence of the long-standing border issue between Thailand and French Indochina. By seeking mediation between the two countries, Japan intended to secure its leading position in the two countries and to fulfil its long-standing demands to both countries. However, both countries refused to accept our mediation.
In response, the Imperial Liaison Conference of the Imperial Government decided on the 27th of December on "Imperial Measures to be adopted against Thailand and French Indochina", on the 19th of January 1941 on "Outline of Emergency Measures for the Conciliation of Disputes between Thailand and French Indochina", and on the 30th of January 1941 on "Outline of Measures against French Indochina and Thailand". In summary, these series of measures were aimed at eradicating British power from Thailand, bringing Thailand and Japan closer together and developing a military alliance in the future, and at the conclusion of the border dispute with French Indochina as soon as possible to promote closer relations with Japan. As a measure to achieve this, along with diplomatic negotiations, it was decided to take a demonstration action against French Indochina, in essence the use of force. This action consisted of a demonstration by naval units and a duplicate stationing of army units just like the ones already stationed in northern French Indochina. This operation achieved its objective in the following manner and was the first step for Japan to consolidate its position in South East Asia.
The naval forces engaged in Operation S were the following units under the command of Rear Admiral Yorio Sawamoto, Commander of the 2nd China Expeditionary Fleet:
2nd China Expeditionary Fleet:
Flagship Heavy Cruiser ASHIGARA.
5th Destroyer Squadron (5th Destroyer Division missing, 1 Light Cruiser, 4 Destroyers)18.
Escort Ship SHIMUSHU. Subchaser CH-17.
14th Naval Air Group.
1st Fleet:
1st Destroyer Squadron (1 light cruiser, 16 destroyers)19. 7th Seaplane Tender Division (2 seaplane Carriers)20.
2nd Fleet:
7th Cruiser Division (4 heavy cruisers)21, 2nd Aircraft Carrier Division (2 aircraft carriers, 3 destroyers)22.
11th Air Fleet:
TAKAO Naval Air Group (27 Land Base Attack Aircraft, 18 Fighters).
18The Light Cruiser NATORI was the Flagship of the 5th Destroyer Squadron with the 5th and 22nd Destroyer Divisions. Only the NATORI with the destroyers of the 22nd Destroyer Division (Destroyers FUMITSUKI, SATSUKI, NAGATSUKI and MINAZUKI) participate in this operation.
19The Light Cruiser Abukuma was the Flagship of the 1st Destroyer Squadron with the 6th, 17th, 21st and 27th Destroyer Divisions.
20The 7th Seaplane Tender Division only had the Seaplane Carrier MIZUHO, but the Seaplane Carrier / Submarine Tender CHIYODA is also present.
21Heavy Cruisers MOGAMI, MIKUMA, KUMANO and SUZUYA.
22The 2nd Aircraft Carrier Division is composed by the Aircraft Carriers SORYU, HIRYU and the 3 destroyers of 23rd Destroyer Division with the Destroyers KIKUZUKI, UZUKI and the YUZUKI
Details of Operation S are omitted. From the 22nd of January, when a part of the Operation S detachment sailed from Samah and began demonstration operations until around the 11th of March, when the French Indochina-Thailand border dispute was mediated, a large part of the Operation S detachment remained at Samah, with some taking turns to conduct demonstration operations one after the other. The naval vessels that carried out the demonstration moved into Haiphong, Saint Jacques (at the mouth of the Mekong River), Saigon, Kogat Island (off the Thailand and French Indochina borders) and other areas, and also operated along the French Indochina coast to achieve their objectives.
In mid-March, three land attack aircraft temporarily transferred from TAKAO Naval Air Group to the 14th Naval Air Group advanced to Saigon Airfield, while the 17th Destroyer Division23 of the 1st Destroyer Squadron remained in Saigon after the mediation was concluded. The Naval Headquarters had issued a special order to both units to investigate the Southern French Indochina bases and to gather information on the Malay Peninsula and British Borneo. Having accomplished its mission, the 17th Destroyer Division left Saigon on the 4th of April, and the three land-attack aircraft returned to their original units.
23Composed by the Destroyers TANIKAZE, URAKAZE, HAMAKAZE and ISOKAZE.
2.Southward momentum recedes
US-UK, Together or Alone
Even though it is said that the US and Britain are separable, there was no difference of opinion between the Army and Navy on the fact that the basic cooperative relationship between the US and Britain against Japan, Germany and Italy was undeniable and that if the Anglo- Japanese War broke out, it was highly probable that the US would eventually enter the war. The problem lay in the judgement of the international situation at the time as to whether or not to seize the opportunity to deal with the South before the US could enter the war.
Based on the current situation and future prospects of the war in Europe, the domestic situation in the US and its war preparations, the Army judged that the US and Britain could be expected to have a good chance, and also requested that the most strategically desirable situation for the US and Britain to separate themselves should be created from a political strategy point of view. Based on this judgment, the Army drew up the above-mentioned time management plan, and after consultation with the Navy side, submitted it to the Imperial Japanese Army Government Liaison Conference, where it was decided in a single deliberation.
The Navy had long strongly insisted on the indivisibility of the US and UK, but due to the sudden change in world affairs following the rapid development of the war situation in Europe, it agreed with this Army opinion. However, at the end of August, about a month later, after further study, the Navy demanded that the Army unify its interpretation of the purpose of the Time Management Outline and had begun to show difficulty with the concept of an opportune armed southward advance, on the grounds that the US, Britain and the Netherlands were inseparable and a Southern Operation would be at great risk of immediately inviting the US to enter the war.
On the other hand, the Army, which had temporarily been rapidly gaining momentum for the southward advance, did not change its view that the US and Britain were indivisible, but it could not be reassured about the war against the Soviet Union that was to take place during the southern campaign. The confusion that happened to occur in the Northern French Indochina campaign, which occupied much of the Army's time, and the fact that the German landings on the British mainland, which were expected to take place this autumn, were not carried out, the momentum in the Army towards a southward advance gradually began to decline.
However, some in the Navy, which is desperate for a solution to the oil problem, have come to the strong opinion that the oil negotiations have reached an impasse and that the oil problem should be resolved at this time, even if that means using force against the Dutch East Indies. Learning of this, the Commander of the Combined Fleet Admiral Isoroku Yamamoto showed that the use of force against the Dutch East Indies would inevitably lead to an immediate multinational operation, and in order to make these people aware of the recklessness of such an action, he held a Combined Fleet exercise at the Naval War College at the end of November. The background and purpose of this exercise is well described in a letter to Vice Admiral Shigetaro Shimada, Commander of the China Area Fleet. (22) A part of the letter is as follows:
I have therefore heard that there are those at the rank of Chief of the Central Naval Department and below who are boldly saying that now is the time for operations in the south, and I have particularly pressed the Military Command for a demonstration of operations in the south, but they are reluctant to do so because they do not think it will be ready in time, so I have mobilised the Military Command and University College under my own authority to implement the plan.
The purpose of this was to demonstrate the extent of the deficiencies in both the physical and manpower aspects of the operation, and to give the Central Government and Fleet officers a true awareness of the situation.
In short, I am deeply convinced that it would be dangerous for the Navy to trust Lord Konoe and Foreign Minister Matsuoka to keep the Navy off the ground, and that we are truly sorry to His Majesty.
The following is a summary of the findings submitted by Admiral Yamamoto at the request of the Chief of Staff of the Imperial Japanese Navy, Prince Hiroyasu Fushimi, regarding this illustration, according to his letter:
1 Unless the United States war preparations are delayed and Britain's operations against Germany are extremely disadvantageous, an early start of war against the United States is inevitable if the Dutch East Indies campaign is to be launched, with Britain and the United States following suit, and eventually the Dutch East Indies campaign will develop into a campaign against several countries, so if you are not at least prepared and well equipped, you should not launch operations against the south.
2 If the situation is as described above and the war is still unavoidable, then the decision should be made from the outset to launch a campaign against the United States, and the attack on the Pacific Islands should be made first, so as to shorten the line of operations and ensure that the campaign is carried out.
The Dutch East Indies campaign is to acquire resources, and the only way to resolve this by peaceful means is with the backing of the Americans and the British, and if the Americans and the British are unable to stand up to us, the Dutch will comply with our demands.
3 In order to launch operations at the start of the War, the land and naval forces must have a sufficient level of warfare as outlined in this document:
A) Warfare readiness against the United States:
Requires immediate operational deployment in response to operations against the US (explanation omitted by author).
B) Defence against the UK:
The New Britain area must be prepared for the initial phase of the campaign (explanation omitted by author).
C) Operations against the Netherlands:
Preparations for rapid attack and long-term security are necessary (explanation omitted by author).
If war with the United States were to break out, the Navy would be directed to an all- out assault operation, while the Army would be directed to a full-scale assault operation:
1. The Army, not only in the campaign against the Netherlands, but also in the campaign against the United States and Britain, after making a landing, should be able to oppose and preferably overwhelm the air power without waiting for naval assistance.
2. The conquest of the British colonial provinces should be coming as soon as possible and the preparations to launch this operation should be made from the Takao. Therefore, if Japan enters the war, the invasion must begin immediately.
3. Long maritime supply convoys may be temporarily cut off, and considerable loss of forces cannot be avoided before landing land troops.
It is essential that the above be accepted.
4 The Dutch East Indies campaign is to acquire important resources, and it is desirable to occupy the area completely without giving time for the enemy to destroy the resources, but unless a special plan is successful (which is very difficult to achieve), this is an extremely difficult prospect, and therefore, the reconstruction preparations are to be made separately and as necessary but are to be mobilised with the operational forces.
5 The Dutch East Indies operation must not be a lightning strike and must therefore use overwhelming force for a time.
6 The Dutch East Indies campaign is likely to also be a campaign against the United States and Britain, and it would be extremely dangerous to not acquire and start production of the resources of the Dutch East Indies at an early time.
7 The demonstration will use 100% of each force, and the actual warfare will be even more severe, with planes and submarines, in particular, in considerable short supply.
8 As can be seen, the Southern Campaign is different from the China Campaign in that it will be a war of national destiny and a very long war:
A) Make the cause of the military campaign particularly clear.
Unification of national opinion and long-term maintenance of frontline morale is only possible in a just war.
B) Make the objectives and methods of the operation particularly clear.
If war breaks out, a major operation is impossible if there is political tension.
C) The collaboration army must be especially carefully prepared, the central agreement must be clear, and there must be no doubt about the existence of the central agreement, otherwise there will be serious discrepancies.
Setbacks in time planning and management strategies
Japan pursued a hard-line policy towards French Indochina and Thailand in accordance with the Outline for the Handling of the Situation. However, with regard to the Dutch East Indies, since September 1940, Japan dispatched Minister of Commerce and Industry Kobayashi Ichizo and later, as the special envoy of the Prime Minister, Ambassador Yoshizawa Kenkichi to the region to continue diplomatic negotiations on the import of strategic materials, especially oil. However, due to the intransigent attitude of the Dutch, supported by the US and the UK, negotiations were difficult and prospects for a deal were bleak.
Meanwhile, the German landing on the British mainland, which had been expected in Japan, finally did not take place in the autumn of the 15th Year24, and also not at the beginning of 16th, some in the Army still had hopes that it would be carried out in the spring of the same year. However, the prospect of the German landings on the British mainland was also bleak.
24Japanese calendar diverges from the western calendar. It’s based on Eras and each Era represents the reign of each Emperor. For the Reign of Emperor Hirohito (Showa) , 1940 equals to 15th year of the Reign (Starts in 1926). The World War II in the Pacific goes from Showa 16 until Showa 20.
Against the background of these developments in the European war situation, it was gradually accepted among the Army and Navy that Britain and the US were inseparable and that an armed advance southwards at an opportune moment should not be attempted.
Since February 1941, the Army and Navy Departments at the Imperial Japanese Headquarters often discussed this issue. As a result, by March, the view of the inseparability of the US and UK came to prevail at Imperial Japanese Army headquarters:
Participants:
In the logbook of Section 20 of the Army Department at Headquarters (22nd of March), it is stated that:
1 On the basis of the War Equipment data for the assessment of national strength, the Section 20 decides on a ruling regarding the use of force against the South.
Judgment and General Order:
No use of force against the South unless an opportunity presents itself.
2 The Section 20 has been firmly resolved to pass the above verdict.
Meanwhile, the Navy made clear its view that it maintained the indivisible position of the US and the UK and that it had no intention of using force in the South if an opportunity presented itself, even if the UK collapsed. However, it stated that it might use force in the South only if oil imports were totally banned. Here, at last, there was a consensus among the Army and Navy on the idea of the indivisibility of the United States and Britain.
In April, the expected German offensive against Britain was not materialised. On 17 April, the Imperial Japanese Navy decided on the "Outline of Measures against the Southern Powers", which was drafted by the Navy. This outline was to have been proposed to the Imperial Japanese Government Liaison Conference or the Imperial Conference for approval as national policy, but due to the busyness of negotiations with the US, there was no opportunity to do so, and so it was treated as a 'decision by the Imperial Japanese Navy and Navy Department'. The 'Outline of Policies for the Southern Region' was a major step backwards from the previous July's 'Outline for the Handling of the Current Situation'. The essence of it was as follows:
1 In the course of the construction of the Greater East Asia Co-Prosperity Sphere, the aim of the Empire's immediate policy towards the Southern Region is to promptly expand its comprehensive national defence capability for the sake of the Empire's self- existence and self-defence. For this purpose, Japan will establish close military, political and economic relations with French Indochina and Thailand, and close economic relations with the Dutch East Indies.
2 The Empire shall make it a principle to carry out the above objectives through diplomatic measures. In particular, it shall promptly establish military ties with French Indochina and Thailand.
3 The Empire shall use force only when no other remedy is available for self-defence.
4 If the collapse of Britain is predicted to be certain in the European war situation, this policy, especially the Dutch East Indies diplomatic measures, will be strengthened in the summer to achieve the objectives.
5 This outline should replace the 'Outline for the Handling of Situations in Connection with Changes in the World Situation'.
In addition, the following policy on the use of force has been established in preparation for the worst-case scenario.
If any of the following occur in the course of implementing the above measures and no action is taken to overcome the situation, force shall be used for the self-defence of the Empire.
In such cases, the purpose, target, time and method of the use of force shall be determined in consideration of the war situation in Europe at the time and the situation against the 'Soviet Union', unless the time is not suitable:
1 If the British, American or Dutch embargo against Japan threatens the self- preservation of the Empire.
2 If the United States, alone or in conjunction with Great Britain and China, successively increases the siege position against the Empire to such an extent that it becomes unbearable for the defence of the Empire.
The aim of establishing military ties with French Indochina and Thailand in this Outline was to establish our military bases in those countries.
3 The Southern French Indochina Occupation and its Impact
Sudden change in international situation and revival of aggressive policy
In response to the tense international situation, in February 1941 the Government dispatched Admiral Kichisaburo Nomura as Ambassador to the USA to try to break the deadlock in relations with the US, but negotiations were slow to get under way. On the other hand, US
and British assistance to the Chiang Kai-shek regime was still being actively pursued, and because of this, the Chiang Kai-shek regime's heightened awareness of the war against Japan could not be underestimated.
In May of the same year, Japan and French Indochina concluded an economic agreement, but the French Indochina side did not fully implement this agreement and showed a non- cooperative attitude. At the time, our country considered this to be based on the machinations of the US, Britain and the de Gaulle faction of French Indochina.
Since January 1941, Ambassador Yoshizawa had also been negotiating with the Dutch East Indies government on the import of goods (mainly oil), but the negotiations finally broke down in June. As a result, Japan's intention to shift the source of oil from the United States to the Dutch East Indies was frustrated. At the time, however, oil supplies from the US were still continuing.
Meanwhile, the Soviet-Japanese Neutrality Treaty had been concluded with the Soviet Union in April 1941, but on the 22nd of June German troops invaded the Soviet Union, leading to the outbreak of the German-Soviet War. Moreover, the rapid advance of the German army after the invasion led to the expectation that the Soviet Union would not be far away from capitulation.
Around the time of the outbreak of the war between Germany and the USSR, it was observed in Japan that the US had begun to strengthen its economic pressure on Japan again, and that it had begun to strengthen its encirclement of Japan in alliance with the British and Dutch countries in preparation for our advance southwards.
In line with these changes in the international situation, Japan once again became pro-active on the issue of the South, and with the policy of strengthening its political and strategic posture at this time, on the 25th of June it decided on the "Matters Concerning the Promotion of Measures in the South" concerning the establishment of specific military areas and the stationing of troops, in other words, the promotion of military bases, in the southern part of French Indochina. Its contents (extracts and summary) are as follows:
Establish a joint Japan-French Indochina military relationship for the purpose of the stable defence of East Asia against the US and Britain. The following are the requirements for the Empire to be in control:
1 Establishment or use of air bases and naval facilities in specific areas of French Indochina, and stationing of required troops in southern French Indochina.
2 Provision of services for the stationing of imperial troops.
To this end, we will commence diplomatic negotiations, and if our demands are not met, we will strive to carry out our aims, even by the use of force.
Next, on the 2nd of July, an important national policy, the 'Outline of Imperial National Policy in Response to the Changes in the Situation', was decided in response to the situation following the outbreak of war between the German and Soviet Union Republics, including the Southern French Indochina occupation. (24) The outline of the policy was as follows:
1 The policy of building a Greater East Asia Co-prosperity Sphere shall be firmly maintained.
2 The policy of advancing southwards in order to establish a basis for self-defence and to solve the problem of the north in accordance with the situation, while pressing ahead with the handling of the China Incident.
3 To achieve this objectives, any obstacle shall be eliminated.
On the basis of these, our Government started negotiations with the French Indochina Government, while the Departments of the Imperial Japanese Army and Navy prepared the Central Agreement on the Occupation of Southern French Indochina and began preparations for the deployment of army and navy units. Negotiations with the government of French Indochina were subsequently concluded, leading to the peaceful occupation of Southern French Indochina by our forces. In addition, the Army Department greatly strengthened the forces in Guandong25 and Korea in preparation for the north, and the Navy also established the 5th Fleet26, which was responsible for the northern area.
Southern French Indochina Occupation (Operation "Fu") (25)
The naval units involved in this operation were the following, commanded by Rear Admiral Masaichi Niimi, Commander of the 2nd China Expeditionary Fleet:
2nd China Expeditionary Fleet:
15th Cruiser Division (Heavy Cruiser ASHIGARA27, Escort HACHIJO). 34th Destroyer Division (3 destroyers).28
Escort SHIMUSHU, Torpedo Boat HIYODORI.
14th Naval Air Group (11 Naval Fighters, 12 Naval Base Attack Aircraft, 1 Land Base Reconnaissance Aircraft).
2nd Fleet:
7th Cruiser Division (Heavy Cruisers KUMANO, SUZUYA, MIKUMA, MOGAMI).
3rd Fleet:
5th Destroyer Squadron (1 Light Cruiser, 8 Destroyers).29
12th Seaplane Tender Division (Auxiliary Seaplane Carrier KAMIKAWA MARU (42936), Auxiliary Aircraft Transport FUJIKAWA MARU (45067), 16 seaplane reconnaissance).
Most of the 2nd Base Force.30 1st Air Fleet:
2nd Aircraft Carrier Division (Aircraft Carriers SORYU and HIRYU, 23rd Destroyer Division31, Fighter 36, Dive Bomber 36, Torpedo Bomber 18, Total 90).
11th Air Fleet:
23rd Naval Air Flotilla (Headquarters and 3rd Naval Air Group, 27 Land based Attack Aircraft).
Supply Forces:
Repair Ship AKASHI, Naval Fleet Oiler SATA, Navy Auxiliary Oiler TOEN MARU (44350), Navy Auxiliary Transport KASAGISAN MARU (30525), Army Auxiliary Transport ROKKOSAN MARU (99), Navy Auxiliary Transport MINOO MARU (38154), Navy Auxiliary Aircraft Transport KATSURAGI MARU (35218), Navy Auxiliary Stores KOA MARU (46806), Others.
25Historical name for Manchuria. Not to be confused with Guangdong (aka Canton).
26The 5th Fleet was re-established on the 25th of July 1941 and tasked with patrols of northern Japanese waters from the northern portion of Honshu, through Hokkaidō, the Chishima Islands (Kuril Islands), and as far as the Bonin Islands to the east.
27Flagship of the 2nd China Expeditionary Fleet.
28The 34th Destroyers Division was composed by the AKIKAZE, HAKAZE and TACHIKAZE.
29The 5th Destroyer Squadron was composed by the Light Cruiser NATORI (Flagship) and the 5th Destroyer Division (Destroyers HARUKAZE, HATAKAZE, ASAKAZE and MATSUKAZE) and the 22nd Destroyer Division (Destroyers FUMIZUKI, SATSUKI, NAGATSUKI and MINAZUKI).
30At this time the 2nd Base Force is composed by the 11th Minesweeper Division (W-13, W-14, W-15 and W-16), 30th Minesweeper Division (W-17, W-18 and W-19), 2nd Gunboat Division (MANYO MARU (44235), KAMITSU MARU (43455), OKUYO MARU (44396) AND TAIKO MARU (C2281)), 3rd Gunboat Division (ASO MARU (37491), NAMPO MARU (46423) and KISO MARU (37489)), 21st Subchaser Division (CH-4, CH-5 and CH-6), 31st Subchaser Division (CH-10, CH-11 and CH-12), 53rd Subchaser Division (KYO MARU Nº 2 (45132), KYO MARU Nº 11 (45199) and KOREI MARU (45717)), Auxiliary Gunboat/Minelayer SEIAN MARU (K703), Auxiliary Minelayer SHINKO MARU (40512), Auxiliary Netlayer/Subchaser SUMANOURA MARU (47051), Auxiliary Transport KENRYU MARU (41073) and Auxiliary Naval Miscellaneous HAKOZAKI MARU (28858).
At this time the 2nd Base Force have less units than it will have by December.
31The 23rd Destroyer Division was composed by the Destroyers KIKUZUKI, YUZUKI and UZUKI.
32Until the 6th of November when Lieutenant General Tomoyuki Yamashita becomes new the Commanding Officer of the 25th Army.
By 16 July, most of the naval units had advanced to Samah, Hainan Island, with the FUJIKAWA MARU (45067) from the 12th Air Force advancing on 21st of July and the 7th Cruiser Division on 22nd of July.
Commander of the naval forces in Operation FU, Rear Admiral Niimi, made an operational agreement with Commander of the army forces (Commander of the 25th Army (32)), Lieutenant General Shojiro Iida, in Hiroto and signed the agreement on 10 July. From 14 July onwards, army transports left Canton one after another, and by 24 July all ships had finished advancing to Samah, and preparations for Operation Fu were ready.
In the meantime, negotiations with the French Indochina government began on the 14th of July, and on 21st of July the French Indochina government approved our request. Accordingly, on 23rd of July, Imperial General Headquarters ordered a peaceful occupation of Southern French Indochina with Army Order No. 518 and Navy Order No. 287.
On the 25th of July, at 1603, about 50 naval vessels escorting a fleet of 39 ships embarked by the 25th Army sailed from Samah. Also, air units from the base in Samah conducted daily reconnaissance of various parts of French Indochina from 18th of July. The fleet units, which were heavily escorted by sea and air, continued to sail smoothly. The 2nd Escort Force of the Convoy (part of the 2nd Base Force), which escorted three transports with the 25th Army Kou Detachment, anchored at Nha Trang (north of Camranh Bay, southeast of French Indochina) at 0930 on 28 July, and the Kou Detachment began landing at 1000.
At 1000 on the following 29th, the Main Force of the fleet entered the anchorage off Thio Anh, east of Saint Jacques at the mouth of the Mekong River, and the advance detachment of the 25th Army landed there. The main 25th Army convoy, led by naval units, moved up the Saigon River on 30 July and began landing at Saigon from 1330. Other Army and Navy units moved into Camranh Bay and negotiated with the French Indochina side to set up a base.
The advance base personnel of the base air force boarded the SUMANOURA MARU (47051) and advanced to Saigon airfield on the 30th of July, where they began setting up a base in cooperation with the Army air base units. The following day, on the 31st of July, an aircraft squadron (12 naval based attack aircraft, 2 transport aircraft and 3 land based attack aircraft) under the command of Nakase Yoshinobu33, commander of the 14th Naval Air Group, and on the 1st of August, 24 Army aircraft moved into the airfield.
33I do believe that this is a bad translation. According with “Japanese Naval Air Force Fighter Units and their Aces 1932-1945” by Hata, Izawa and Shores, the Commander of the 14th Naval Air Group between April and September 1941 was Captain Gin Nakase.
Recognising the success of the peace occupation of Southern French Indochina, the Imperial General Staff ordered that from the 31st of July, the occupation units were to be demobilised one by one, and each unit reverted to its original formation. On the same day, the Southern Expeditionary Fleet was newly formed and deployed in the South China Sea area. However, until the Commander of the new South Expeditionary Force, Vice Admiral Noboru Hirata, was assigned to the area, Rear Admiral Niimi was ordered to continue in command of the "Fu" Operation Force.
Freezing of overseas assets and countermeasures
The fact that we had established a military base in the southern part of French Indochina, which was staring at this key southern region, strongly provoked the US, Britain and the Netherlands. In retaliation for the notice, the US froze our overseas assets on the 26th of July, followed by the UK and the Netherlands. Furthermore, on the 1st of August, the US imposed a total ban on oil exports to Japan. These retaliatory measures were far more severe than we had anticipated. Since the abandonment of the Treaty of Commerce and Navigation, the United States had been checking our aggressive action by tightening export controls at every opportunity. However, oil exports continued in view of the hardening of Japan's position on the ban. However, the US finally took final measures, including a total embargo on oil. As a result of these measures, Japan's imports of oil and other military supplies from the US, Britain and the Netherlands came to a complete halt.
In this difficult situation, Japan, which did not hold sufficient oil reserves domestically, had only two options: either to make major concessions in the then ongoing negotiations between Japan and the US in order to bring them to a rapid conclusion, or to advance southwards by force to obtain oil and other resources, even if it had to prepare for war. If the decision was delayed, Japan would have to dip into its inadequate stockpiles and, in the unlikely event of a shortage, would lose its war potential. Furthermore, the passage of time would be detrimental to the Japan-US military ratio and to the strengthening of defences in the southern area. In addition, if war was to break out, it would be necessary to start war as soon as possible, because it would be necessary to complete the southern campaign by the time the snow melted to enable northern operations in order to avoid a two-sided north-south campaign, and because the South China Sea would enter the northeast wind season in December, making it difficult to conduct landing operations on the east coast of the Malay Peninsula. Therefore, the Navy began full-scale preparations for contingencies in August. The Army and Navy, after thoroughly examining the situation, requested the Government to decide on a peace plan by early October, so as not to miss the opportunity to start the war. As a result, the 'Guidelines for the Execution of Imperial National Policy' were decided on 6 September. (26) The outline of the guidelines was that, with the determination not to relent in the face of war against the US (Britain and the Netherlands), preparations for war should be completed approximately by the end of October, and in parallel with this, diplomatic efforts should be made to break through negotiations between Japan and the US, with a view to achieving the minimum required level of success. If, by the end of October, there was still no prospect of carrying out our demands, we would immediately resolve to start war against the US (Britain and the Netherlands).
1 Planning and consideration
Drafting of the proposed plan of operations against the four countries
By March 1941, the Imperial Japanese Navy General Staff had finished drafting the operational plan for 1941, which after being submitted was approved in June. However, as in previous years, this was mainly a one-country operational plan for each of the assumed enemy countries. (27)
Following this, around June, the First Section of the Navy General Staff34 started to draw up a four-nation operational plan for China, which was then engaged, plus the US, Britain and the Netherlands. This operational plan was to be implemented in the event of an emergency. The Navy believed that even in a four-nation operation, the main enemy would be the US. Therefore, the basis of the operational strategy of the Four-Power Operation was the concept of operations against the US, which had been studied and prepared by the Navy for a long time, with the addition of operations to capture key areas in the south. (27) In other words, the plan was to attack key areas in the south at the beginning of the war to create a long-term endurance posture, prepare to intercept the US fleet, and when the US fleet arrived, intercept and destroy it to demoralise the enemy.
Meanwhile, the Combined Fleet also worked on the operational plan in liaison with the First Section of the General Staff. Like the First Section, Admiral Yamamoto believed that the main enemy was the US, and in particular the US Navy. However, he saw no chance of victory if he became involved in a protracted war, and his measures to disorientate the enemy differed considerably from those of the First Section. In other words, at the outset of the war, he would surprise the main forces of the US Pacific Fleet with some of his forces and attacked Hawaii, causing the US Navy and the American people to suffer an inescapable loss of morale, and depriving the US Fleet of its ability to manoeuvre in the Western Pacific. At the same time, with a large part of its forces, it would quickly attack key areas in the south and establish a Greater East Asia Co-prosperity Sphere. After that, it would continue with drastic and aggressive operations to give the enemy no time to recover and force him into a defensive position so that he would promptly lose his will to fight. If we succeeded in the surprise attack on Hawaii at the beginning of the war, the enemy soldiers in the southern areas would be demoralised and there would be no fear of an early attack by the main forces of the US fleet, and the operation to capture the key areas in the south could be carried out quickly and reliably. This would also prevent an air raid on our mainland by the US aircraft carriers, which the Chief of the Operations Section35 was strongly concerned about. In turn, it can be said that he thought it would be possible to consolidate our endurance posture. Therefore, it can be inferred that the Chief of the Combined Fleet attached great importance to the surprise attack on Hawaii at the very beginning of the war as an operation that would determine the outcome of the war and judged that it was highly probable that the daily target could be achieved in view of the strength of our air forces and other factors. (28-29-30)
34The Chief of the Navy General Staff was Fleet Admiral Osami Nagano. The First Section Navy General Staff was composed by several departments, but the 1st Department was composed by the First (Operations) and Second (Training) Sections.
35 This was the Captain Sadatoshi Tomioka, Chief of Operations of the First Section.
Based on this policy of Admiral Yamamoto, the Combined Fleet strongly requested that this surprise attack on Hawaii at the beginning of the war be incorporated into the First Section of the Navy General Staff operational plan as a top priority operation. However, the First Section, was not convinced of the success of the operation and had confidence in the US fleet interception operation that had been studied and prepared for many years, opposed the adoption of the Combined Fleet plan. Knowing that, the Combined Fleet pressed the Navy General Staff to adopt the plan at every opportunity. In this negotiation, the reason was that the Southern Operation would take four to five months even if the majority of the Combined Fleet's decisive forces were used, and that considerable wear and tear could be expected. Therefore, even after the southern campaign is over, it will take a considerable amount of time before the Combined Fleet recovers its strength and becomes ready for the operation to intercept the US fleet. In this question, it is absolutely necessary to suppress the arrival of the main force of the US fleet. Also, during the southern campaign, an air raid by the US carrier force on our mainland is conceivable, but this must be prevented by all means. To this end, there is no other way but to surprise Hawaii at the very beginning of the war and hold the US fleet's advance to the Western Pacific. He explained that this operation was admittedly dangerous, but the Combined Fleet judged that the probability of success was high. (27-29)
The Navy General Staff, on the other hand, acknowledged the necessity of the Combined Fleet, but the operation would be extremely dangerous and unlikely to succeed, and if it went badly, would result in the loss of a large number of aircraft carriers in one fell swoop. In addition, if the Pacific Fleet was not in Hawaii that day, or if it was, but could not be attacked due to bad weather, it would leave the carrier force, which was a valuable force, idle at a critical moment in the initial phase of the war. On the other hand, the southern campaign needed to be completed as soon as possible, but air power was deemed insufficient for this purpose. Therefore, the Combined Fleet plan was opposed on the grounds that the Hawaii surprise attack should be cancelled and all aircraft carriers should be deployed in the southern campaign. (27-29)
The rapid change in the situation following the occupation of the southern part of French Indochina by Japan, meant that the Army and Navy had to hasten full-scale preparations for war, including the establishment of operational plans. Therefore, the Combined Fleet dispatched its chief of staff, Captain Kuroshima Kameto36, to the Navy General Staff, and on the 6th and 7th of August he went to the 1st Section, which was in charge of operations, to strongly suggest the adoption of a surprise attack on Hawaii at the very start of the war. The First Section strongly opposed the adoption of the plan, but in the end, it was decided to reconsider the matter at the Combined Fleet's drawing exercise scheduled to be held in mid- September. (27-29)
3644th Class
The 1st Section of the Navy finished drafting the operation plan in late August, but of course the plan did not include the surprise attack on Hawaii at the outbreak of the war. On the other hand, the Combined Fleet also finished drafting its operational plan by the end of August, which, with the approval of the 1st Section of the of the General Staff, included a surprise attack on Hawaii with the main carrier units (1st and 2nd Aircraft Carrier Divisions, four aircraft carriers).
During this period, the Navy General Staff decided with the Army General Staff to conduct simultaneous operations in Philippines and Malaya, and on the 14th , 15th and 23rd of August, the Navy General Staff had the relevant personnel attend the Army General Staff's South Operations Drawing Exercise.
Decision on simultaneous operations in the Philippines and Malaya (31)
In the case of operations against the US, Britain and the Netherlands, there was no disagreement among the Army and Navy that they should first capture key areas in the south to secure important resources and establish a long-term endurance posture. However, the Army and Navy disagreed on the order of attack in the key areas to the south. In other words, in contrast to the Army's plan to attack Malaya first and then reach Dutch East Indies and the Philippines Islands, the Navy insisted on a plan to reach the Dutch East Indies and Malaya from the Philippines Islands.
The Army's argument for attacking Malaya first was that the Malayan landings would be difficult due to the Japanese and British posture, and many obstacles were expected in the Malayan campaign, which would traverse several hundred kilometres across the Malay Peninsula and advance on Singapore. If the Malayan offensive was postponed, it would give the British forces more time to strengthen their defences and make it more difficult to capture the Malayan Peninsula, while the operational forces would be tied up in the south for a long time, creating a deficiency in their defences against the Soviet Union. At the same time, this operational concept was in line with the case of the US-UK split, which the Army had insisted on from the outset of its research into southern operations. At the same time, this operational concept was in line with the case of the US-UK split, which the Army had insisted from the start of research into southern operations. On the 10th of August 1941, Major General Shinichi Tanaka, Chief of the 1st Section of the Army General Staff, wrote at his diary:
In the case of the south," he wrote, "it would be better to attack simultaneous British and American
forces, or even better, to have first the US, and then to attack Malaya, Thailand and Hong Kong.”
The Navy, on the other hand, insisted on a pre-emptive attack on the Philippines for the following reasons:
1 It was considered inevitable that Japan would progress to a war against the US if it made moves on Malaya and Dutch East Indies. If Japan left the Philippines unattended after the outbreak of war, the US forces would rush to build up their forces in the Philippines, which would make it difficult to attack them, and would also hinder operations against the US.
2 As the Philippines lies between Japan and Malaya and Dutch East Indies, it is obvious that the US naval and air forces in the Philippines will attempt to break up our southern traffic lines. Therefore, our operational transport will become difficult, causing hindrance to southern operations and making it difficult to return resources to the south.
The aforementioned note by Admiral Yamamoto also states: “If the war is unavoidable, we should make up our minds from the outset to conduct operations against the US, and attack the Philippines first, so as to shorten the line of operations and ensure the implementation of the campaign”. (22)
In this way, the Army and Navy's claims were at odds, but in the end they reached a consensus to launch operations on the Philippine Islands and Malaya at the same time. One of the reasons for this can be said to be that, in response to the first problem of the Malayan campaign, the air destruction in the initial phase of the campaign, our forces were able to advance an air base in Southern French Indochina at the end of July, allowing the use of Army aircraft with insufficient cruising range.
Combined Fleet exercises in mid-September
The Navy General Staff conducted a comprehensive graphic exercise on the 3rd, 4th and 5th of September (hereafter referred to as a 'graphic exercise') for southern operations, and in conjunction with the Ministry of the Navy, a trade protection graphic exercise was held at the Naval War College on the 8th, 9th and 10th of September. (32)
In mid-September, the Combined Fleet discussed at the Naval War College a draft operational plan. This demonstration was divided into a 'general demonstration' and a 'special demonstration of the surprise attack on Hawaii'. The former was carried out as a Western Pacific control operation (Southern Command, South Sea Forces, advance units, etc.) with the participation of the commanders and staff of the units concerned, while the latter was carried out in strictest confidence by those concerned alone. (33-34) This drawing performance is usually abbreviated as the 'Kaidai Performance'.
The following is a summary of the plans for the Southern Operations in the Kaidai Performance. (33-34) (see Appendix I, Appendix Table I):
1 Enemy assessment:
A) Philippine Sector:
Naval Units: Approximately 60 ships, including 21 cruisers, 14 destroyers, 17 submarines and 4 seaplane carriers.
Aircraft: about 160
Army: Regular Army approx. 40,000 (mobilizable Philippine Army approx. 160,000)
B) Malaya Sector (including Hong Kong)
Naval Units: Approximately 90 ships, including 5 cruisers and 10 destroyers (there is a strong force in the Indian Ocean area, including battleships and aircraft carriers).
Aircraft: Approx. 200 (expected to increase to 300 by the end of the year)
Army: 60,000~70,000 regulars, approx. 20,000 volunteers
C) Dutch East Indies sector
Naval Units: Approximately 90 ships, including 5 cruisers, 8 destroyers and 19 submarines as the core
Aircraft: Approx. 200 (with another 200 in reserve) Army: approx. 70,000
2 Forces (33-35-36)
A) Philippines, Dutch East Indies Sector
Commanding Officer: Commander of the Second Fleet Forces and mission:
Large part of Second Fleet (destruction of naval forces) All power of the Third Fleet (attack on key areas)
A large part of the 11th Air Fleet, the First Fleet and three small aircraft carriers of the First Air Fleet (air operations, reduction of enemy forces at sea)
3 submarine squadrons directly under the command of the Combined Fleet ((1 submarine squadron missing) Submarine Operations) and a few land squadrons (key areas attacked).
B) Malaya Sector
Commander: Commander of the Southern Fleet Forces (strength):
Full strength of the Southern Fleet
Part of the 11th Air Fleet (one each of land attack aircraft (hereafter referred to as land attack) and fighter aviation units)
1 Cruiser Division and 1 Destroyer Squadron each of the First and Second Fleet's
1 small aircraft carrier of the 1st Fleet37
1 submarine squadron of the 6th Submarine Squadron
37The 3rd Aircraft Carrier Division with the Aircraft Carriers HOSHO, and ZUIHO.
Mission:
Naval escorts: Cruiser Divisions, Destroyer Squadrons and small aircraft carriers
Destruction of Naval forces: Cruiser Divisions, Destroyer Squadrons, part of the 11th Air Fleet
Naval search patrol: Part of the 11th Air Fleet 3 Operational strategy.
A) Assuming that the war begins on 16 November, operations are to be launched simultaneously in the Philippines and Malaya. (33)
B) Air power is to be allocated to aim at doubling and tripling the enemy air power in the front. (37)
C) In the Malayan direction, land at Southern Thailand and capture Singapore in approximately 100 days.
D) In the direction of the Philippines, operations will be launched from Taiwan and proceed from Luzon Island to Central and Southern Philippines, capturing Manila in about 45 days. (38)
E) Dutch East Indies operations will be pursued from both the southern part of the Philippines and Sumatra, with the Java offensive targeted to be accomplished in 150 days after the start of the war. (38)
F) The area of attack will generally be the Philippines, British Malaya and Dutch East Indies, with Burma limited to the occupation of parts of the southern part and air operations, depending on the objective of eliminating obstructions to the Malayan campaign.
4 Philippine Operational Strategy (29-33-35-39)
A) At the beginning of the war, an air campaign of destruction will be conducted according to the following guidelines:
1) Forces to be used:
11th Air Fleet (lacking two land attack squadrons and one fighter squadron): approx. 200 aircraft.
5th Army Air Division, approx. 250 aircraft.38
Reference:
The round trip distances indicated as navigation training targets for fighters and bombers of the 5th Air Division are as follows. With this capability, taking into account the operational margins, an advance from bases in Taiwan to the main USAF base in south-central Luzon could not be planned except by heavy bombers. Therefore, Army aircraft could not be expected to engage in an air assault on the Philippines at the outbreak of the war.
Type 97 Fighter 400 kilometres (approx. 220 nautical miles) 39
Type 97 Light Land Based attack Aircraft 500 kilometres (approximately 270 nautical miles) 40
Type 99 Light Land Based attack Aircraft 700 kilometres (about 380 nautical miles)41
Type 97 Heavy Land Based attack Aircraft 900 Kilometres (approx. 490 nautical miles)42
38Imperial Japanese Army Air Force.
39KI-27 (Allied code name: Nate).
40KI-30 (Allied code name:Ann).
41KI-48 (Allied code name:Lily).
42KI-21 (Allied code name:Sally).
2) Naval Air Forces will be responsible for attacking enemy bases south of central Luzon, while Army Air Forces will be responsible for close air destruction and land warfare cooperation.
3) As it is difficult for Zero fighters to attack enemy bases south of central Luzon from Taiwan bases, the 11th Air Fleet Fighter Group will be loaded onto 3 small aircraft carriers and launched near Manila on the opening day of the war, to operate in conjunction with the land attack units.
4) On the opening day of the war, assault and occupy the Aparri and Vigan airfields, and immediately advance the fighter squadrons to ensure a thorough air attack.
B) The strategy for the attack on the Philippines is as follows: (29-38)
1) With the results of the aerial bombardment, approximately 2 main divisions of the invading army will be lifted to Luzon Island in one go from the 10th to 15th day after the outbreak of the war.
2) Successively send air raids to Central and Southern Philippines, and generally capture Davao and Jolo from 20 to 30 days after the outbreak of the war and use them as bases for the Dutch East Indies invasion.
3) The Third Fleet will be in charge of raiding key areas in northern Luzon and escorting the main army forces, while the Central and Southern Philippine sector will be taken care of by the Second Fleet detachment under the 5th Cruiser Division, with the main forces of the Second Fleet assigned to support the entire operation.
5 Malaya Operational Strategy: (29-33-37)
A) The air force to be allocated is part of the 11th Air Fleet (one land attack and one fighter squadron each) with about 100 aircraft and the Army's 3rd Air Division with about 350 aircraft.
B) At the beginning of the war, a pre-emptive air assault will be made with Army and Navy air units against Singapore and northern Malaya.
C) At the same time, a small detachment of Army advance troops escorted by a small number of naval vessels will make surprise landings in key areas in Southern Thailand north of Singora or north of Nakhon to occupy airfields and advance Army air units.
D) The Army Air Forces will push forward the air campaign against Malaya and, pending the outcome of the air campaign, deploy the main Army forces of the invasion (about five Divisions).
E) Air destruction is primarily the responsibility of the Army Air Forces, assisted by the Naval Air Forces. Naval air operations are carried out by naval air units.
F) In the early stages of the war (around X+5 - X day indicates the date of the outbreak of war), a small number of naval units will raid Miri and Kuching in North Borneo, secure the oil fields at Miri, occupy and maintain Kuching airfield, advance naval air units to Malaya to assist in the attack, and be responsible for blocking the rear.
6 Dutch East Indies Operational Strategy ( omitted by the author).
Problems in the exercises
The main problems and their countermeasures in the 'Kaidai Performance' and in the subsequent discussions were as follows:
1 Philippines Island Air Operations: (29-33-35-39)
The deployment of the main naval air units in the 'Kaidai Performance' chart was as follows:
Hawaii Operation:
Main Force of the 1st Air Fleet (Aircraft Carriers AKAGI, KAGA, SORYU and HIRYU).
Philippine Operation:
11th Air Fleet (missing 2 land based attack squadrons and 1 fighter squadron).
3 small aircraft carriers ( Aircraft Carriers RYUJO, ZUIHO and KASUGA MARU).
Malaya Operation:
Part of the 11th Air Fleet (one land attack and one fighter squadron each).
1 small Aircraft Carrier (Aircraft Carrier HOSHO).
One of the Land Based Attack Squadrons, which was removed from the 11th Air Fleet, was assigned to the 4th Fleet and used for operations in the South Sea Islands area. At the time, there were 2 other large aircraft carriers, the Aircraft Carrier SHOKAKU, completed on the 8th of August, and the Aircraft Carrier ZUIKAKU, scheduled for completion in late September, but they were not used in the 'Kaidai Performance' because they could not be trained in time for the outbreak of war.
Other air forces assigned to the Philippine Islands area included the Army's 5th Air Division, but due to the range of the aircraft they used, they could not be expected to be used in the early stages of the war to destroy the enemy air force.
It was determined that the main US Air forces in the Philippines were deployed to bases around Manila. Manila was about 500 nautical miles from Takao, Taiwan. Therefore, the strategy for air attack and suppression was to first attack the enemy air force base in the Manila area, and after this was largely suppressed, air forces were to advance to the captured air bases in northern Luzon to thoroughly fight an air attack and suppression actions. The attack around Manila at the beginning of the war was the responsibility of the Navy, due to the cruising range of the aircraft used. However, the navy's core fighter, the Zero (hereafter referred to as Zero fighter), was considered incapable of reaching a range of 500 nautical miles due to its cruising range. Therefore, the Zero fighters were to be loaded aboard three small aircraft carriers, and on the day the first day of war, the carrier group would advance to a range of 200 nautical miles from Manila to launch the Zero fighters. The Zero squadron was planned to attack the Manila area jointly with the Land Attack Squadron launched from Taiwan Air Base and would return to Taiwan Air Base after the attack (as many young crew members were assigned to the 11th Air Fleet, there was no time to train them to the level of competency to land on small aircraft carriers). According to this procedure, it was difficult for the Zero Squadron and the Land Attack Squadron to join forces, and the Zero Squadron could not take part in air raids after the first attack until the bases north of Luzon were ready, which had the disadvantage that important forces at the beginning of the war could not be used. For this reason, in order to smoothly proceed with the air destruction campaign at the beginning of the war, it was requested that a large carrier force be deployed in the Philippine Operation to conduct a series of attacks from the sea, east of Manila.
The 11th Air Fleet, which was reluctant to engage in the Air Battle for the Philippine, requested that the Army should take thorough responsibility for the air destruction in Malaya Sector and the Navy for the Air Battle for the Philippine and that a large aircraft carrier should be deployed in Philippine Air Operations.
The 11th Air Fleet had two Zero Fighter squadrons. According to the 'Kaidai Performance', one of the two squadrons was assigned to the Malayan sector, and other one (with 54 regular aircraft) to the Philippine Sector. The request was to concentrate these two squadrons in the Philippine area. The 11th Air Fleet had no objection to have the Malayan Squadron as the South China Sea was a unique task for the Navy. In accordance with this request, the Zero Fighter Squadron, which had been allocated to the Malayan area in the 'Kaidai Performance', was later transferred to the Philippine Sector but the allocation of a large aircraft carrier to the Philippine operation was never implemented.
2 Naval Escort Force in the Malayan Sector: (37)
In the 'Kaidai Performance', the HOSHO was allocated to the Malaya Sector for convoy escort, but it was decided to delete this as it would be dangerous to have aircraft carriers operating on the narrow area of the South China Sea. As mentioned above, the Zero Fighter was also to be moved to the Philippine Sector. Therefore, the Army later requested that Zero fighters be deployed in the Malayan area as a fleet over-warning force.
3 Insufficient air power:
The 'Kaidai Performance' showed that by the end of the Dutch East Indies offensive, the 11th Air Fleet would have 160% of fighters and 40% of bombers as combat attrition.(33) Considering that the monthly production of Zero fighters at the time was less than 50 aircraft, and the monthly production of Bombers was around 11 aircraft (40), there was no prospect of replenishment, and the completion of the operation was also in jeopardy. Therefore, at a subsequent meeting, the 1st Section insisted that the Hawaii operation should be cancelled and its forces allocated to the southern campaign. In response, the Combined Fleet argued that because of this situation, it was necessary to carry out the Hawaii operation and hold back the early arrival of the main forces of the US fleet. (29)
At a meeting at the Naval War College, Admiral Yamamoto, who was concerned about the attrition rate of aircraft, asked Vice Admiral Eikichi Katagiri what the current production situation was, having previously requested the maintenance of 1,000 each of the Zero and Bomber planes. In response, Vice Admiral Katagiri changed colour and became upset because he did not know that Admiral Yamamoto had made such a request. (29-41) This request had been submitted in the autumn of the previous year, but Vice
Admiral Katagiri had only arrived at Navy Aviation Bureau a few days earlier and was therefore unaware of it.
On 29 September, Admiral Yamamoto requested the Minister of the Navy43 to rapidly improve the air force, and at that time, based on the results of the 'Kaidai Performance', he stated that the combat attrition in the southern campaign alone was expected to be approximately 650 aircraft (author's note: this is thought to be a mistake). (42)
In addition to the default plan, the Combined Fleet requested 150 more Zero fighters by January next year. However, this figure could not be met by the production capacity of the time, and the Aviation Bureau agreed to suspend production of observation aircraft and land transport aircraft until March the following year in order to increase production of the Zero fighters. (43)
43During the 3rd Government of Prince Fumimaro Kanoe, between the 5th of September 1940 and the 18th of
October 1941, the Navy Minister is Admiral Koshiro Oikawa who is the direct superior of the chief of the Navy Aviation Bureau Vice Admiral Katagiri.
4 Strategy:
The Philippine campaign was conducted in the so-called 'frontal attack' style, starting with an air assault and air attrition, followed by the assault and occupation of forward bases, the advance of air units, and the landing of the main force of the attacking army after the air assault had been completed. The subsequent operation towards the Dutch East Indies also adopted the operational procedure of capturing an air base while conducting air control, and then advancing air forces to the next air base. In response, some participants suggested that Davao and Jolo should be occupied quickly in order to rapidly occupy the oil region in eastern Borneo. (35)
In addition, since the 11th Air Fleet would have to establish 10 air bases in about three months before the start of the attack on Java, it was suggested to avoid going south of the Eastern Operation Line and to head for Bali from the Malayan direction. The Combined Fleet, on the other hand, rejected this opinion, saying that clearing the Philippines was an indispensable condition for the general operation. (29)
Landing operations in the Malayan area could not be carried out in a straightforward manner due to distance and other factors. As a result, differences of opinion arose between the Army and Navy on operational procedures, as described below. The details will be described later, but there was an opinion among the participants at the 'Kaidai Performance' that the landing at Southern Thailand did not necessarily need to be carried out on the opening day of the war. The Combined Fleet also expressed the opinion that it would be appropriate to delay the Southern Thailand landings by one day to X+1 day in order to conceal the plan for a surprise attack on Hawaii. The Combined Fleet should attack Malaya by land from Thailand, and there was no need to attack Singapore by force. It was even thought that if the enemy sea and air forces were destroyed first and the surrounding sea and air bases were seized, the strategic operational objectives could be fully achieved. (29)
5 Schedule of the offensive:
The schedule for the campaign was set at five months, until the end of the Java campaign. The Army was very positive about shortening that schedule, and the Navy also wanted to do so. However, although efforts were made to shorten the schedule in this demonstration, it seems that no opinion was expressed by the study group on shortening the schedule, perhaps because of the enormous drain on base air forces.
Furthermore, there was an opinion from the Third Fleet that the detailed schedule of the invasion, as in the action schedule, was difficult to implement in naval operations, and that the plan should be flexible by dividing the time period in general and allocating operational areas. (33)
6 Chain of command:
In the 'Kaidai Performance', there were three points of command that were problematic: (33)
A) The overall southern operation - command should be unified:
In the 'Kaidai Performance', operations in the Philippine and Dutch East Indies Sectors were commanded by the Commander of the 2nd Fleet, Vice Admiral Nobutake Kondo, while the Malayan area was commanded by of the Southern Fleet Commander, Vice Admiral Noboru Hirata, which often caused difficulties during operations, for example when both commanders made operational agreements with each other. For this reason, the study group agreed that the southern operations should be under a single command structure. However, as Vice Admiral Hirata had been appointed before Vice Admiral Kondo, the Commander of the Southern Fleet became the supreme commander of the southern campaign, which had many inconvenient points. Later, Vice Admiral Jisaburo Ozawa, that succeeded Admiral Kondo, replaced Vice Admiral Hirata, so Vice Admiral Kondo was changed in the chain of command to command all the Southern Operations.
B) The Operation in the Philippines should be under the Commander of the Third Fleet, Vice Admiral Takahashi Ibou:
In the 'Kaidai Performance', the operations in the Northern Philippines were commanded separately by Vice Admiral
Takahashi and the Southern Philippines by Rear Admiral Takeo Takagi, Commander of the 5th Cruiser Division, which was inconvenient for the management of the forces.
C) A unified commander should be placed in charge of the operations of the submarine forces:
In the 'Kaidai Performance', it appears that each submarine unit operated separately.
7 Rapid establishment of air bases:
The southern campaign was planned to reach the final objective (Java) by repeatedly capturing air bases under air control, maintaining them and advancing air units. Therefore, rapid maintenance of the captured air bases was an indispensable requirement for the success or failure of the southern campaign and for shortening the campaign schedule. For this reason, a force was needed to carry out rapid maintenance of these air bases. In the past, our Navy did not have such a unit, and the construction and maintenance of airfields was handled by the Naval Facilities Department, an administrative body. The navy had earlier established a training unit with this task together with a special air base unit (44) just prior to the 'Kaidai Performance' exercise, and the 'Kaidai Performance' also emphasised the need for its immediate formation and training. The Air Base Corps, which was institutionalised at the same time, was a unit whose main mission was the maintenance of air bases.
8 Development of military intelligence: (33)
Although a considerable amount of military intelligence had been collected for the Philippines, particularly for Luzon, very little had been done for Malaya, Dutch East Indies and other islands. For this reason, the inadequacies were strongly pointed out in the 'Kaidai Performance'. However, there was no time to collect sufficient intelligence at a time when the situation was already urgent, and there was no choice but to rely mainly on foreign information, correspondence and interviews with people returning from the south.
11th Air Fleet's exercises at the beginning of October
The Combined Fleet's eagerly awaited surprise attack on Hawaii at the beginning of the war was still not adopted by the 1st Section of the Navy General Staff even after the 'Kaidai Performance'. The Combined Fleet was pressing the 1st Section even harder to adopt it, but the 1st Section still insisted that rather than conducting the Hawaii surprise operation, which it was not certain about, it should invest its forces in the Southern Campaign, which was suffering from a shortage of air power, to ensure the implementation and promote its completion. However, through several meetings between the 1st Section and the Combined
Fleet, the Navy learned of Admiral Yamamoto's strong desire and confidence in the Hawaii surprise operation. In view of this, the 1st Section accepted the request of the Combined Fleet at the end of September and unofficially decided to adopt the Hawaii surprise operation. In other words, the approximate date for the start of the war in the operation plan was extended to the beginning of December, so that the newly formed 5th Aircraft Carrier Division (newly commissioned Aircraft Carriers SHOKAKU and ZUIKAKU) could be expected to be ready for operations at the start of the war. The 1st Section plan was to allocate them to Southern Operations and direct the 1st and 2nd Aircraft Carrier Divisions (a total of four battle carriers) to Hawaii. (27-37)
Meanwhile, within the Combined Fleet, the Commander of the 1st Air Fleet, Vice Admiral Chuichi Nagumo, who was to carry out the Hawaiian surprise attack, was not confident about carrying out this operation, as there were many concerns about the secrecy of the plan and fuel supply during the march. Therefore, as a measure to overcome the fuel problem, the 1st Air Fleet Commander considered a plan to use only the three aircraft carriers with the greatest cruising capacity (KAGA, SHOKAKU and ZUIKAKU) and transfer the aircraft of the 1st and 2nd Air Squadrons, which were currently the most highly skilled, to them. (45-48) According to this plan, Aircraft Carriers 'AKAGI, SORYU and HIRYU' would not participate in the Hawaii operation.
Unconfident about the execution of the Hawaii surprise attack, Vice Admiral Nagumo visited the Commander of the 11th Air Fleet at Kanoya Air Base on the 29th of September and discussed the cancellation of the Hawaii surprise attack operation. The Commander of the 11th Air Fleet, Vice Admiral Tsukahara (36th Class), had long held the view that air operations should be conducted by concentrating overwhelming forces, and was opposed to the Hawaii surprise attack operation that would disperse forces. As a result of the meeting between the two commanders, it was decided to submit an opinion to Admiral Yamamoto to cancel the Hawaii surprise operation, and the two fleet Commanders were dispatched to the Combined Fleet on 3 October, but he did not accept their opinion. (29-32-45)
In early October, the 11th Air Fleet held a demonstration at Kanoya Air Base on the Fleet's southern operations. (46) The main purpose of this was to familiarise the fleet's main officers with the operational plan and to unify their ideas. This presentation was abbreviated as 'Kanoya Performance'. The main differences between this 'Kanoya Performance' and the 'Kaidai Performance' are as follows:
1 The date of the outbreak of war (date X) was assumed to be the 7th of December.
2 One fighter squadron was transferred from the Malaya sector to the Philippine sector to concentrate two fighter squadrons in the Philippines.
3 The Land Air Offensive in the Malaya sector was increased to two squadrons, and the 22nd Naval Air Flotilla (MIHORO and GENZAN Naval Air Groups, 36 each of Type 9644 land attack aircraft) was assigned to it.
44The type 96 Bomber was the G3M2 (Allied code name: Nell).
The 24th Naval Air Flotilla (in charge of the South Sea sector) was removed from the 11th Air Fleet and incorporated into the 4th Fleet (as of the 1st of October), and the KANOYA Naval Air Group was transferred from the South Sea sector to the Philippine sector.
4 The 2nd Aircraft Carrier Division (SORYU and HIRYU) and the AKAGI were used in the Philippine Operation.
5 The invasion of Miri and Kuching was brought forward to X Day.
In the 'Kaidai Performance', the invasion of Miri and Kuching was planned for X+5 days. However, at that study group, it was stressed that the Miri oil field should be occupied before it was destroyed and that the Kuching airfield should be occupied as soon as possible to facilitate air operations against Malaya, and in 'Kanoya Performance', the attack was set for X Day.
6 It was added that on the X Day, Basco Airfield, Batan Island, Luzon Strait (for emergency landing and relay) and Camiguin Island (seaplane base) were to be occupied.
7 The assault and occupation of Aparri and Vigan in Northern Luzon was carried out on X day in both Performance. However, the dominant opinion in the study group of the 'Kanoya Performance' was that it was necessary to delay the landing date by a day or two in order to limit the damage to the attacking convoys.
8 The date of attack on key areas in the Central and Southern Philippines was changed to Davao X day, Legazpi X+2 days and Jolo X+14 days.
In the 'Kanoya Performance', the 2nd Aircraft Carrier Division and the AKAGI conducted the air suppression of the Philippines Islands from the sea east of Luzon, and the land based air force conducted the air suppression of the Philippines in the same manner as in the 'Kaidai Performance'.
The topics of the research after the demonstration were concentrated on the air suppression of the Philippines. Particularly noteworthy was the proposal by the 3rd Naval Air Group for a direct attack by Zero fighters from Taiwan bases to the Manila area (47). This proposal was put forward by Commander Takeo Shibata, the 3rd Naval Air Group flight commander, who saw the inefficient use of fighter squadrons using small aircraft carriers and the difficulty of cooperation between fighters and land attack units. Commander Shibata claimed that the Zero had experience in the Chinese campaign, where it had achieved a range of 430 nautical miles, and that a 500 nautical mile attack from Taiwan to Manila would be possible if the fuel consumption was adjusted appropriately. However, the 11th Air Fleet Headquarters did not adopt this proposal, stating that there were no actual results and that there was insufficient accurate data to alter the operational plan. Therefore, the 3rd Naval Air Group began frantic research into extending the Zero's cruising range.
Combined Fleet Exercises in mid-October (29-32-38-49)
The Combined Fleet took into account the changes in the situation in the month after the 'Kaidai Performance', matters to be coordinated between the Army and Navy Departments and with the 1st Section of the Navy General Staff, and the lessons learnt from the 'Kanoya Performance', and almost completed the draft operational plan. The main purpose of the Combined Fleet was to make this draft plan known to all commanders and staff members at all levels, and to examine the suitability of this draft plan. This is abbreviated as 'Nagato Performance'. Again, the surprise attack on Hawaii was separated from this event, and a separate demonstration was held with only those involved. The differences between this performance and the Kaidai and Kanoya Performances are as follows:
1 X date is assumed to be 8 December.
2 The schedule for the campaign was significantly shortened, with the aim of completing the Dutch East Indies campaign in three months. The start of the Dutch East Indies operation was therefore accelerated by about a month. However, the dates of the Davao, Miri and Kuching landings were postponed from the Kanoya demonstration:
Philippine Sector:
Northern Luzon (Aparri, Vigan) X+1 Day. Legaspi, Davao X+4 Day.
Malaya Sector:
Malaya Advance Detachments X Day. Miri X+1 Day.
Malay Advance Force Main Body X+5 Day. Kuching X+5 Day.
Main Body of the Malayan Invasion Force X+42 Day.
In this schedule, the Malayan landings are divided into advance detachments, advance Force main body and main force of the invasion force.
3 Employment of Force:
A) The Navy Department had informally decided that of our six mainline aircraft carriers, four would be in Hawaii and two in the South. In the 'Nagato Performance', the regiment directed all of them to Hawaii (50-51) and none of them were to be used in the Southern Campaign. The number of carrier ships to be allocated to the Hawaii operation became an issue at the study group after the demonstration, but it was decided by Admiral Yamamoto that the Combined Fleet would proceed with six ships at all costs.
B) The following chain of command and duty assignments were established:
Commander-in-Chief of the Second Fleet: Overall Southern Operations45
Commander of 3rd Fleet: Philippines, Dutch East Indies (excluding Sumatra) campaign46
Commander of the Southern Fleet: Malaya, North Borneo and North- Central Sumatra campaign47
Commander of the 11th Air Fleet: Air operations in the Philippine and Dutch East Indies (excluding Sumatra)48
C) The 11th Air Fleet (21st, 22nd and 23rd Air Flotilla) were all used intensively in the Philippine Operation, with the exception of the 22nd Air Flotilla, which was engaged in the Malaya Operation.
45Vice Admiral Kondo (35th Class).
46Vice Admiral Takahashi (36th Class).
47Vice Admiral Ozawa (37th Class).
48Vice Admiral Tsukahara (36th Class).
In addition, the number of aircraft carriers to be allocated for the Hawaii surprise attack was informally decided to be the full strength (6) of the main carrier force by the decision of the Imperial Japanese Navy Commander-in-Chief Admiral Nagano on 19 October, based on the strong request of the Combined Fleet. (27-29-37)
2 Outline of operational plans
Operational planning issues
1 Date of the approximate start of war in terms of operational planning: (27-29-37-49)
The 'Guidelines for the Implementation of Imperial National Policy' of 6 September stipulated that 'preparations for war should be completed approximately by the end of October'. Based on this and taking into account the time required for the deployment of forces, the Combined Fleet assumed that the war would begin on 16 November in the 'Kaidai Performance'. However, the navy's war potential was severely reduced due to the personnel changes that accompanied the implementation of the full wartime formation, so it became necessary to conduct rapid training to restore the fleet's war potential. Therefore, the Navy was not expected to be ready for war by the end of October. For this reason, as early as around the time of the naval grand design performance, the participants had already requested a postponement of the approximate date of the outbreak of war. At the time, the Army was also unable to prepare in time and requested a postponement of the estimated date of the outbreak of war. In other words, both the Army and Navy were in a dilemma: strategically, they wanted to start the war as soon as possible, but from the standpoint of preparations, it was better to start the war later. (27-29) For this reason, a proposal was made to delay the approximate date of the outbreak of war by about a week, (49) but in the end, as a result of research discussions among the staff officers of the 1st Section, the Combined Fleet, the 1st and 11th Air Fleets in late September, it was decided that it would be appropriate for the Navy to proceed with preparations around December the 7th or 8th. (27-29) The 1st Section adopted this plan and discussed it with the Army Department. The Army Department agreed with the Navy's proposal for around the 7th or 8th of December, judging that around the 7th or 8th December, the northeast shifting winds in the South China Sea would still be in their early stages, so the Malaya Peninsula landings would be possible and preparations could be made in time. (27-37)
Therefore, the 'Kanoya Performance' at the beginning of October set the date of 7th of December, and the 'Nagato Performance' in the middle of the same month set the date of 8th of December as the approximate date for the start of the war.
2 Army-Navy division of air operations: (33-37)
As a result of the 'Kaidai Performance', around the end of September, the 1st Section of the Navy General Staff proposed to the Army Department that the main division of the air campaign should be clearly defined as Philippines for the Navy and Malaya for the Army, and that the Navy's fighter aviation units scheduled for the Malaya sector should be withdrawn to the Philippine sector. The Army Department had no objection in principle, and the Army also decided to move the 10th Air Brigade, which was scheduled for the Philippine Islands campaign, to the Malaya sector. Thus, around 7 October, a draft of the Central Air Agreement was approved between the Army and Navy Departments (37). Here, however, a problem remained: from the perspective of direct air support over the fleet in the vicinity of the landing sites, the Army strongly requested that some naval fighters with greater cruising range be left in the Malayan area. Later, when the prospect of extending the range of the Zero fighters became clear, the Navy discussed the matter with the Combined Fleet and, over the strong opposition of the 11th Air Fleet, in November the Navy decided to transfer 27 Zero fighters from the Philippine sector to the Malayan sector, thus satisfying the Army's request.
3 Aircraft carriers: (27-37)
Around the end of August, the Navy General Staff quietly informed the Army General Staff 's operational staff that the Combined Fleet had requested an attack on Hawaii at the outbreak of the war, and that it might not be possible to allocate the main carrier force for operations in the south. Later, as mentioned above, at the end of
September, the 1st Section, came up with the idea of allocating the 5th Aircraft Carrier Division to the Southern Campaign, and along this line, a draft of the Central Air Agreement was prepared in the upper part of October. However, on the 19th of October, it was informally decided that the entire main carrier force (six ships) would be allocated to the Hawaii surprise attack operation, and the Navy General Staff communicated this to the Army General Staff on the following day (the 20th of October) and revised the draft of the air agreement.
4 Guidelines for landing at Malaya: (27-29-37-52-53)
In the Malaya Peninsula, near the Thailand and British Malaya borders, there were few airfields in Southern Thailand, while the British had developed strong air bases in the British territory. The British also had a strong defence line. On the other hand, our army aircraft, especially fighter aircraft, had little range and it was difficult to attack enemy air bases in British territory from bases in French Indochina. Therefore, the Army thought of landing an advanced and powerful advance corps at Southern Thailand at the beginning of the war to occupy the air bases and use it to advance with the air suppression offensive, secure a solid bridgehead and prepare for an advance to the British defence line. At the same time, there was also the need to take Kota Bharu, a fully equipped air base on the eastern coast near the British border, by surprise at the beginning of the war to shut down its activities and to advance our air forces to strengthen the air suppression offensive.
The 1st Section, on the other hand, stated that it would be dangerous to use a large fleet for a surprise landing at the beginning of the war, and that part of the advance guard should first make a surprise landing at Southern Thailand, occupy the airfield, advance air power and land the main advance guard under its cover. The Navy General Staff opposed the Army General Staff 's proposal for a simultaneous landing at Kota Bharu, on the grounds that Kota Bharu was British territory and therefore would be fully protected on the sea, and that an attack from a major British air base could be expected, so a surprise landing at the beginning of the war would be dangerous.
Later, after the Army General Staff 's earnest insistence and explanations, the Navy General Staff came to agree with the Army's plan around the 20th of October, but they could not agree on the simultaneous landings at Kota Bharu alone. Therefore, the Army Department was forced to retract the Kota Bharu simultaneous landings proposal.
Meanwhile, the 25th Army (Malayan Operations Force) headquarters in Saigon also drew up a plan for the Malayan campaign, and Lieutenant Colonel Masanobu Tsuji, the army's chief operations staff officer, came to Tokyo on the 24th of October with a draft of the plan. This draft plan was based on reliable information from the Malay Peninsula area, and its contents were more advanced and aggressive than the previous Army Department plan, as follows:
1 The air base forces in the British Northern Malaya, centred on Sungei Pattani, Allor Star, Kota Bharu, etc., are well equipped, while those in the Southern
Thailand, such as Singora, Bandung, etc., are poor. Therefore, air attacks from bases in French Indochina and Southern Thailand would be disadvantageous to us. Accordingly, at the beginning of the war, it is necessary to lift the main force of the advance corps (an even larger force than the conventional army plan, i.e., the main force of the 5th Division) at once to Southern Thailand and promptly seize the air bases in the British Northern Malayan territories.
2 Kota Bharu is best occupied as soon as possible to prevent its use by British air forces and to make it available to us. For this purpose, the troops occupying the airfield will be landed before dawn on X Day by several speed boats to avoid attack by enemy air forces.
3 The main force of the advance corps will be landed at Singora and will promptly occupy the airfield and advance the army fighters.
Lieutenant Colonel Tsuji was an enthusiastic advocate of this landing procedure, and the Army Department supported it. The Navy also agreed to this plan in principle but remained opposed to the landing at Kota Bharu on X Day. After discussions, the Army and Navy finally reached a compromise on the idea of 'simultaneous landings on Kota Bharu, depending on the circumstances'. The issue of the Kota Bharu landings was therefore to linger in the future.
5 Extension of the Zero Fighter's range: (39-47)
As already mentioned, at the 'Kanoya Performance', the 3rd Naval Air Group flight commander Shibata claimed that the Zero could advance from an air base in southern Taiwan to the Manila area. In contrast, the TAINAN Naval Air Group, another Zero fighter Group in the fleet49, did not agree with Shibata's proposal. The 11th Air Fleet Command also refused to adopt Shibata's opinion, claiming that the technical basis for the proposal was inadequate.
49Both the 3rd and TAINAN Naval Air Groups belong to the 23rd Naval Air Flotilla.
Therefore, the 3rd Naval Air Group conducted serious research and experiments, mainly by increasing the propeller pitch, reducing the number of revolutions, and reducing the fuel mixture ratio appropriately, in order to reduce fuel consumption. Using this method, the 3rd Naval Air Group conducted aerial combat training after flying about 500 nautical miles, and training to return to base after flying another 500 nautical miles. As a result, the 3rd Naval Air Group was confident that it could make a 500 nautical mile advance with the Zero fighters. The results of the research and experiments were as follows:
1 The fuel consumption of the type 21 Zero Fighter (main capacity: 520, additional capacity: 330) had been about 125 litres per hour at 180 knots cruising and at an altitude of 3,000 metres, and three times that amount was required during air battles. Therefore, if the air battle lasts 30 minutes, the range is about 940 nautical miles, which is limited to an advance from southern Taiwan to the Clark area (about 460 nautical miles), which is insufficient considering weather obstacles and unforeseen circumstances. As a result of research and experimentation, it was found that not only could the right fuel consumption be reduced to 110 litres per hour, but that a further saving of 10% could be achieved by becoming more proficient at adjusting the mixing ratio. Therefore, in this case, if the duration of the air battle is 30 minutes, the range will be about 1,100 nautical miles, and if the duration of the air battle is 20 minutes, the range can be extended by about 100 nautical miles.
2 In an actual attack, fuel consumption will be even lower because the cruising speed will be reduced on the outward journey as it accompanies the land attack force. Furthermore, on the return trip, the aircraft's weight is reduced by the consumption of fuel and ammunition, and air resistance is reduced by the dumping of extra tanks, resulting in a historical fuel saving of 20%.
3 Taking the above into account, an advance of 500 nautical miles is possible with a fuel surplus of about 20%.
The Commander of the 3rd Naval Air Group, Captain Kamei and his staff visited the 11th Air Fleet Headquarters at the end of October to discuss the issue in the presence of the 11th Air Fleet Staff directly under the Command of the 11th Air Fleet Commander, the staff directly under the Command of the 23rd Naval Air Flotilla, and senior officers of the TAINAN Naval Air Group. As a result, the leaders of the 11th Air Fleet acknowledged that a 500 nautical mile attack by Zero fighters was possible and decided to change the operational plan to a direct attack from southern Taiwan to bases around Manila.
The research results of the 3rd Naval Air Group contributed greatly to our subsequent air operations. It can be said that the success of this research was a major factor in the successful air suppression of the Philippines, and the successful advance into Manila. Furthermore, it is worth mentioning that this research was conducted not by an experimental organisation but by an operational unit.
Based on this conclusion, the 11th Air Fleet dispatched Captain Takahashi Chihaya, Staff Officer, to the Combined Fleet Headquarters in Saeki Bay to report the results of this research and request approval for changes to the operation plan. At that time, the Chiefs of Staff of the 3rd and 4th Naval Air Groups accompanied him (39). Upon receiving this report, the Combined Fleet approved the change of the 11th Air Fleet's operational plan. At the same time, the Commander of the 11th Air Fleet, who at that time was in command of the 3rd and 4th Naval Air Groups50, which were conducting landing training for the Zero Squadron, was relieved of his command as of the 5th of November51.
6 Operations with small aircraft carriers: (37-39-54-55)
With the extension of the Zero's cruising range, there was no longer a need to use small aircraft carriers for the air suppression of Luzon. However, it was not feasible at the time to install new aircraft on all three of these carriers due to the actual conditions of the carriers and its crews. Therefore, the Combined Fleet decided to install aircraft, crews and other equipment on the RYUJO of the 4th Aircraft Carrier Division only and use it for operations in the Central and Southern Philippines sectors such as Davao and Legazpi during the initial stages of the war. The RYUJO was equipped with 12 Type 96 fighters52 and 12 Type 9753 carrier based attack aircraft (with some additional planes) for regular use. However, as this decision was made at the beginning of November, the ship did not have enough time to train sufficiently before the outbreak of war.
The Aircraft Carrier KASAUGA MARU, also from the 4th Aircraft Carrier Division was assigned to transport fighters for the 11th Air Fleet, while the ZUIHO from the 3rd Carrier Division was assigned to stand by in the inland sea.
50This must be a mistake. The 23rd Naval Air Flotilla had 2 Naval Air Groups with Zero fighters: the 3rd and the TAINAN Naval Air groups. The 4th Naval Air Group, a formation that used the G4M Bomber (Allied code name: Betty) will only be formed on the 10th of February 1942 and on its core had 2 Squadron of the former TAKAO Naval Air Group also from the 23rd Naval Air Flotilla (probably the mistake had its origin there).
51I was not able to identify this Commander. It’s not the 11th Air Fleet, nor the 23rd Naval Air Flotilla Commanders. I also could not identify a period where the TAINAN and the 3rd Naval Air Groups had the same commander.
52A5M Carrier based Fighter (Allied code name: Claude).
53B5N Carrier based Attack Bomber (Allied code name: Kate).
7 Postponement of the Davao attack date: (34-38)
The timetable for the Davao offensive was set for X Day in the 'Kanoya Performance' but was postponed to X+1 date in the 'Nagato Performance'. However, it was later acknowledged that the air control before the invasion was insufficient, and after gaining success in the air suppression of Luzon Island, part of the Takao base's land attack force was transferred to Palau. The attack was postponed to X+6 days after the air suppression of Davao had been achieved.
8 Around this time, information was frequently received that the British fleet in the Malayan area would be reinforced. Therefore, the Combined Fleet changed its original plan and took measures to incorporate 2 fast battleships (Battleships KONGO and HARUNA, the 2nd Section of the 3rd Battleship Division) into the Southern Force. (29-56)
9 In late October, the Southern Fleet54 requested the following increase of force to the Combined Fleet. Later, the Chief of Staff55 of the Southern Fleet, who attended the Tokyo Agreement (see below), reiterated this request: (29-56)
1 One Land Based Attack Naval Air Group.
2 One Heavy Cruiser as Flagship of the Malaya Main Body
3 One submarine squadron
In response to this request, the Combined Fleet took the measure of assigning the Heavy Cruiser CHOKAI of the 2nd Fleet's 4th Cruiser Division to the Malaya Seizure Force as the Flagship of the Main Body of the Malaya Seizure Force.
The submarine squadrons that the Combined Fleet planned to assign to the Southern Force were the 4th, 5th and 6th Submarine Squadrons. According to the 'Kaidai Performance', one submarine squadron (2 ships) of the 6th Submarine Squadron was to be assigned to the Malaya Seizure Force, and the others to the Philippine Seizure Force. However, due to information of the reinforcement of the British fleet in the Malayan area, the Combined Fleet decided to incorporate the 4th Submarine Squadron into the Malaya Seizure Force at the beginning of November.
The Malayan land based attack squadron was to be assigned to the 22nd Naval Air Flotilla (2 Land Attack Naval Air Groups) after the 'Kanoya Performance'. The request of the Southern Fleet to reinforce one more squadron was not accepted by the Combined Fleet.
54Also known as Southern Expeditionary Fleet.
55The Chief of Staff of the Southern Fleet from the 31st of July 1941 to the 3rd of January 1942: Vice-Admiral Torao Sawada.
Operational plans and the informal decision on the Central Agreement between the Army and Navy
The Navy General Staff , in close contact with the Army General Staff and the Combined Fleet, first finished drafting a plan for operations against the US, Britain and the Dutch East Indies by the end of August. Thereafter, it was consulted for reference in the Navy General Staff 's 'Kaidai Performance' and the Combined Fleet's 'Nagato Performance' and coordinated opinions with the Combined Fleet and the Army General Staff and worked to complete the draft of the naval operation plan in parallel with the draft of the Central Agreement for the Army and Navy. As a result, on the 20th of October, the draft of the naval operational plan was approved by Admiral Nagano.
In October, the draft of the Central Agreement between the Army and Navy was also seriously discussed between the Army and Navy General Staffs of the Imperial Japanese Army and Navy, and an agreement was finally reached in late October. However, the issues mentioned in the preceding section, such as air power to escort convoys in the Malayan area, the
postponement of the Davao offensive, and the dispatch of two battleships to the south, were decided after the 3rd of November, when the Combined Fleet Headquarters came to Tokyo to sign the Army-Navy Agreement. The issue of simultaneous landings at Kota Bharu had not yet been fully agreed between the Army and Navy.
1 Determination to go to war and Imperial General Headquarters’ s operational guidance
Determination to go to war
At the Imperial Conference on 6 September, it had been decided that negotiations with the US would be conducted with all means at our disposal, but that if, by early October, there was still no prospect of our minimal demands being met, then the decision would be made to go to war. There was no progress in the negotiations between Japan and the US, and the US response on the 2nd of October was based solely on the four principles, with no compromise of any kind, and there was no prospect of a breakthrough in the situation at the Japan-US summit that Prime Minister Konoe had planned. The Kanoe Cabinet was unable to reach a decision on peace even by mid-October and resigned on the 16th of October, and the Tojo Cabinet was formed on the 18th of October.
His Majesty's Government instructed the new Prime Minister Tojo, "In deciding on the main policy of the country, do not be bound by the decision of the 6th of September, but consider the situation at home and abroad more deeply and give careful consideration to it". In accordance with this policy, Prime Minister Tojo reversed the 'Guidelines for the Execution of Imperial National Policy' of the 6th of September and held almost daily liaison meetings with the Imperial Japanese Government from the 23rd of October to review the situation from all angles, including diplomatic, military, material, and financial aspects. As a result, the Imperial Conference on the 5th of November decided on the 'Guidelines for the Implementation of Imperial National Policy'. (57)
Guidelines for the Implementation of Imperial National Policy (extract):
1 The Empire shall resolve to go to war against the United States, United Kingdom and the Netherlands and take the following measures in order to overcome the current crisis, to complete self-existence and self-defence and to create a new order in Greater East Asia:
A)The time for the launch of operations is set for early December and the Army and Navy are fully prepared for the operation.
B) Negotiations with the United States will be conducted in accordance with the attached guidelines.
C) Strengthen ties with Germany and Italy.
D) Immediately prior to the launch of the operations, establish close military ties with Thailand.
2 If negotiations with the United States are successful by midnight on the 1st of December, the use of force will be suspended.
The annexes are omitted, but the negotiations with the US were an attempt to break the deadlock by relaxing and modifying the wording of key issues that had been pending in the past. The decision on the date for the start of the war was left to the two General Staffs, as it was an operational matter. The two General Staffs therefore chose 8 December (Sunday in the Western Hemisphere) as the approximate date for the outbreak of war and gave their approval.
This national policy was a de facto decision to start the war, albeit with conditions. Those familiar with the course of previous negotiations between Japan and the US recognised that there was little hope of a breakthrough in the crisis between the two countries in the future, and that an outbreak of war at the beginning of December was now inevitable. Therefore, the two General Staffs, while pinning their hopes on the last diplomatic negotiations, maintained close contact with each other and took steps to ensure that all preparations for the outbreak of war were completed without fail.
In the meantime, the Minister of the Navy56 invited the Commander of the Combined Fleet Admiral Yamamoto to Tokyo on the 3rd of November and informed him of these developments. (58)
Immediately after the 5th of November Imperial Conference to decide on the implementation of national policy, Admiral Nagano and General Sugiyama57 stood in line to present their operational plans for the Navy and Army, respectively, and received approval. On the 7th of November, the Chief of the General Staff transmitted the Imperial Japanese Naval Order nº 1 (59) (dated 5th of November) to Admiral Yamamoto, Commander of the Combined Fleet, who had already been invited to the meeting. With Imperial Japanese Navy Directive nº 1 , he ordered the required units to advance to the standby points before the start of operations in a timely manner, and also directed operational policy, the central agreement between the Army and Navy, and other matters. On the same day, the Chief of the General Staff also instructed the Combined Fleet and others to set the approximate date of the outbreak of war to the 8th of December.
56Admiral Shigetarō Shimada
57General Sugiyama was the Chief of the Army General Staff.
The Imperial Japanese Naval Order nº 1 and Imperial Japanese Navy Directive nº 1 are as follows:
Imperial
Japanese Navy Order nº 1, 5th of November 1941:
Order to Admiral Yamamoto Commander of the Combined Fleet.
1 The Empire has decided to complete all operational preparations in anticipation of the outbreak of war against the United States, the United
Kingdom and the Netherlands in early December for the sake of self- preservation and self-defence.
2 The Commander of the Combined Fleet shall carry out the necessary operational preparations.
3 Instructions are to be given by the Chief of the General Staff of the Imperial Japanese Navy regarding the details.
Imperial
Japanese Navy Directive nº 1, 5th of November 1941:
Instructions sent to Admiral Yamamoto, Commander of the Combined Fleet (Extract):
1 The Commander of the Combined Fleet is to start war against the United States, the United Kingdom and the Netherlands in early December, and to advance the required units at the appropriate time to standby points before the start of operations.
2 The Commander of the Combined Fleet should be on high alert for any unexpected attacks by the United States, British and Dutch forces.
3. The Commander of the Combined Fleet is to carry out only such reconnaissance as is necessary for operations, and to do so in a covert manner.
4 The Commander of the Combined Fleet with the 4th Fleet, shall commence laying mines in the South Sea Mandate Islands 58 in a timely manner in accordance with the joint defence plan.
5 Operational policy is to be complied with in the conduct of the operations and the Central Agreement between the Army and Navy, as per the separate volume.
58The South Sea Mandate were a group of islands that Japan administrated in the Ligue of Nations name. These islands were German colonies conquered by Japan during World War I and comprised the Marshall, Marianas (without Guam) and Caroline archipelagos in the Northern Pacific.
Imperial Japanese Navy Directive nº 1, Supplement nº 1:
Imperial Naval Policy in the War against United States, the United Kingdom and the Netherlands (Extract):
Part I. The War against United States, the United Kingdom and the Netherlands
Operational policy in the event of an outbreak of war (Author's note: see Appendix 1):
Chapter 1: The Essentials:
1 The general policy of the Imperial Navy is to continue to control the coastal areas of China and the waters of the Yangtze River, to destroy the enemy fleet and air power in the Orient at an early date, to occupy and secure key areas in the south, to establish an enduring and undefeatable posture, and to destroy the enemy fleet and, in the end, to break the enemy's will to fight.
Chapter 2: Operation Policy of the Combined Fleet:
Section 1 First Stage Operations:
2 The 2nd Fleet, 3rd Fleet, Southern Fleet and 11th Air Fleet will be used to sweep and destroy enemy vessels in the Philippines, British Malaya and Dutch East Indies in cooperation with the Army forces.
A) Commence operations against British Malaya and Philippines simultaneously, launch pre-emptive air raids against enemy air and naval forces in the same areas, and as quickly as possible land the Army's advance troops in key areas in Malaya and Philippines, advance air units and strengthen air operations.
B) Waiting for the results of the previous operation, the main force of the Army invasion corps shall land in the Philippines and then in Malaya, and quickly invade the Philippines and British Malaya.
C) Occupy key areas in British Borneo in the early stages of the campaign, then rapidly occupy key areas in Dutch Borneo, Celebes and southern Sumatra, or seize key areas in the Moluccas and Timor islands if the opportunity arises and establish the necessary air bases.
D) As soon as the aforementioned air base has been established, successively advance air units to suppress the enemy air forces in the Malayan area.
E) After the capture of Singapore, occupy the key points in northern Sumatra and conduct operations against Burma in a timely manner with the aim of blocking the enemy's supply routes to China.
3 With the Fourth Fleet as the core of the force, take up defensive patrols in the South Sea archipelago and protect the sea lanes, and at the beginning of the war capture the island of Wake and, in cooperation with the Army, capture key areas in the Bismarck Archipelago, including the island of Tarawa and, when the time is right, the Bismarck Archipelago.
Attack and destroy enemy forward bases in the South Pacific at the appropriate time.
4 With a force based on the 5th Fleet, patrol the sea surface east of Japan to prepare for enemy surprise attacks, and be on the alert in the Aleutian Islands area, as well as defending the Ogasawara 59 Islands area and protecting maritime traffic in that area, while also being on the alert against Russia.
5 At the beginning of the war, units of the 6th Fleet will be dispatched to the Hawaiian Islands and the west coast of the United States to scout for enemy ships in the area, conduct surveillance and surprise attacks, and destroy sea traffic lines.
6 At the beginning of the war, use units based on the 1st Air Fleet60 to surprise the enemy fleet in Hawaii and endeavour to reduce their strength, and thereafter, mainly support the operations of the 4th Fleet and the Southern Campaign.
7 The main force of the Combined Fleet will be assigned to support operations in general and will act opportunistically in response to the movements of the enemy fleet.
8 A part of the Combined Fleet shall be assigned to destroy enemy sea traffic lines in the Pacific and Indian Ocean areas at the earliest opportunity.
9 As far as possible, endeavour not to provoke the hostile intentions of the Thailand and French Indochina, and to make them comply with our operations, but if they allow hostile action to be taken, use peaceful military force to ensure that our operations are not disrupted.
(Author omitted hereafter)
59Bonin Islands.
60Also known as the Kido Butai.
Central Agreement between the Army and Navy
The Army and Navy coordination of the policies for operations against the United States, Britain and the Netherlands was signed as the Central Army-Navy Agreement between the two Chiefs of the General Staffs of the Army and Navy on the 5th of November. Among them, the main agreements relating to the Southern Operations were as follows: (34-60)
Central Agreement on Southern Operations Army and Navy
Central Agreement on the Southern Operations Army and Navy Air Operations
Agreement on countermeasures to be taken in the event of an enemy invasion of Thailand or a pre-emptive attack during operational preparations.
Imperial Japanese Navy Directive nº 1, Supplement nº 2
Central Agreement of the Army and Navy for Southern Operations (extract) (Author's note See Appendix I)
Section 1: Objectives of the Operation
Subsection 1: The purpose of the Southern Campaign shall be to overthrow the main bases of the United States, Great Britain and the Netherlands in the East Asia and to secure the occupation of key areas in the South.
Subsection 2: The areas to be occupied in accordance with the preceding subsections shall be the Philippines, Tarawa Island, Hong Kong, British Malaya, Burma, Bismarck, Java, Sumatra, Borneo, Celebes, Timor Island, etc.
Section 2: Operational policy
Subsection 3: The policy of the Southern Campaign shall be to commence operations simultaneously with a pre-emptive raid against Philippines and British Malaya in close co-operation with the Army and Navy, and to endeavour to complete the objectives of the campaign in the shortest possible time.
Subsection 4: Under the preceding Subsection, the operations shall be guided as follows:
1 Launch operations by means of a rapid landing of the advance detachments on Thailand / Malaya (or a pre-emptive air raid, depending on the situation) and a pre-emptive air raid against the US on the Philippines, and use the results of air operations to land the main forces of each attack detachment on Malaya first, then on the Philippines, and quickly capture the Philippines and the British Malaya.
In the early stages of the campaign, occupy the key areas of Tarawa Island, Hong Kong and British Borneo, and secure the stability of Thailand and French Indochina.
In the meantime, quickly occupy the key areas of the Bismarck Archipelago, Dutch Borneo and Celebes, and as the Malaya campaign progresses, the key areas of Sumatra in the south, and prepare for the campaign against Dutch East Indies and secure the key resource areas.
During or after this time, key areas in the "Moluccas" archipelago and "Timor" islands will be occupied.
2. With the development of air bases in the aforementioned key areas, suppress enemy air power and invade Java.
Also, occupy key areas in northern "Sumatra" in a timely manner after the capture of Singapore.
3 During the operations mentioned in the preceding paragraphs In the event that the Combined Fleet is converted to an intercept deployment in response to the movement of the U.S. main fleet, or in the event that the Russians enter the war, it will be ensured that the continuation of the Philippine and Malaya Operations will not be impeded.
In all the aforementioned cases, the operational objective shall be completed as quickly as possible.
4. During the operations described in the above points 1 and 2, take the opportunity to seize air bases in Southern Burma and Cambodia, and conduct operations to deal with Burma and Cambodia as soon as the situation permits after the campaign is generally over.
5 Landing operations are to be carried out against enemy army, navy and air attack and in case of enemy advance warning.
Subsection 5: Preparation of Operations In the event of an enemy invasion of Thailand or a pre-emptive attack, operations shall be as follows:
1 If British troops advance into southern Thailand ahead of us, we will endeavour to gain an air base in the south of the country, with a portion entering by land and sea to secure the Bangkok, without missing an opportunity.
In such a case, if the advance detachment has already left the assembly point, operations will be carried out as planned in accordance with the preceding subsections. If the advance detachment has not left the assembly point, the landing of the main body of the advance detachment will be postponed, and after the general operation has begun, the air operations will be strengthened by diverting part of the naval air forces in the direction of the enemy as soon as possible to make use of their achievements and force the landing.
However, under the circumstances, if enemy conditions permit, operations will be carried out as planned in accordance with the preceding paragraph.
2 In the event of a pre-emptive attack by the United Kingdom, the United States or one of their countries while preparing for operations, the forces at hand shall intercept the enemy at the earliest opportunity and immediately commence an air offensive against the forces of that country and shall generally conduct operations in accordance with Subsection 4, except that landing operations in the Malaya direction shall be conducted in accordance with the preceding paragraph.
In the event of a pre-emptive attack by the United Kingdom, the United States of America or the United Kingdom itself, the action to be taken against the United States of America or the United Kingdom shall be in accordance with the preceding paragraph.
Section 3: Use of Force:
Subsection 6: Force to be used in the operation as follows:
1 Army, Appendix I (author omitted)
2 Navy, Appendix II (same as above, right).
Section 4: Commencement of Operations:
Subsection 7: Commencement of operations shall be in accordance with the following:
1. The decision on the date of commencement of operations (X Day) shall be based on a general order.
2. The operation shall commence on the X Day with a surprise landing on Malaya (or a pre-emptive air raid, depending on the situation) and a pre-emptive air raid against the U.S. on the Philippines and other countries.
In the event that air raids cannot be carried out in both the Philippines and British-Malaya areas on the X Day due to weather conditions, the surprise landings in the Malaya area will be carried out as soon as the sea conditions permit. The landing of the advance detachment in the British-Malaya area will be carried out on the same day as the air operations begin.
3 The attack on Hong Kong will be launched after the landing or air raid on Malaya, and the attack on Guam Island after the first air strike against the United States has been confirmed.
4 In the event of a serious first attack by the enemy on day X, advance operations shall be launched in good time after the order to commence operations has been issued, but before such order has been issued, they shall be carried out in accordance with the order.
Section 5: Operation Procedures:
Subsection 8: Objectives and operational procedures of the operations against the Philippines:
1. The objective of the campaign against the Philippines is to destroy the enemy in the Philippines and to overthrow the main base of the enemy's operations.
2 At the outbreak of war, Army and Navy air units will work together to launch pre-emptive air raids on enemy air forces and naval vessels from Taiwan and Palau, and naval units will raid Batan Island and quickly establish an emergency landing site.
3 The advance detachments will leave their assembly points on the evening of the day before the first air attack against the Philippines, and land in the vicinity of "Aparri", "Vigan", "Legaspi" and "Davao", with the Army and Navy working together, and occupy and maintain the air base first, and then, as soon as possible, occupy and maintain the air base on "Jolo" Island, and defend that island after the occupation. Naval units will replace them as soon as possible.
The Army and Navy Air Forces will accompany the right and promote air bases and continue air operations.
4. By the 15th day of the campaign, at the latest, the main elements of the Fourteenth Army will begin landing near Lingayen Gulf, with a part of the Fourteenth Army near Lamon Bay, and will quickly attack Manila, followed by the occupation of key areas in the archipelago.
5 After the main body of troops has landed, a mixed brigade will advance to Luzon Island in good time, and once the general objective of the operation has been achieved, the 48th Division will be assembled near "Manila" as the Dutch East Indies Invasion Force.
Subsection 9: Objectives and operational procedures of the operation against British Malaya:
1. The objective of the campaign against the British territory of Malaya is to destroy the enemy in that area and to capture key areas, especially Singapore, in order to overthrow the British grounds in the East Asia.
2 The 25th Army, the Army 3rd Air Division and units based on the Southern Expeditionary Force will commence operations against the Malaya area in accordance with the following guidelines:
A) Proposal A (if the situation with the British and the Thailand is such that there is a high probability of a sudden invasion the British).
The advance detachment will enter the port after 0000 on the X Day and make rapid landings in the vicinity of Bandung, Nakhon, Singora and Pattani, and quickly occupy and maintain air bases.
Army and Navy air units began air raids from Southern French Indochina from 0000 onwards, mainly pre-empting enemy air force aircraft in the British Malaya area.
B) Plan B (If the British side is on high alert, and it is acknowledged that the possibility of a sudden landing is at a minimum due to the appearance of powerful British naval vessels in the Gulf of Siam).
Army and Navy air units will cooperate in pre-emptive air raids on enemy air power vessels after 0000 on X day, in accordance with Plan A.
The advance guard will endeavour to launch a small number of surprise landing parties (one or two transports at each landing point) from the west coast of Indochina, and after about the 0000 of the X Day, will endeavour to enter the port in a stealth fashion, make surprise landings in the vicinity of Bandung, Nakhon and, if necessary, Singora and Pattani, and rapidly occupy and maintain the air bases.
The main body of the advance force will begin landing after X+1 day 0000 to extend the results of the raiding force.
C) The main rule is that the operation shall be based on Plan A. If it is based on Plan B, a special order shall be issued by Headquarters before the advance detachment departs from the rendezvous point.
D) After the landing of the advance force on the right, an advance party and airbase maintenance shall, if conditions permit, land on Kota Bharu and occupy and maintain the airbase, preferably in part as quickly as possible.
However, depending on the situation and after consultation with the commanders concerned, a small number of troops may be used to make a simultaneous assault landing with the main landing of the advance corps.
3 Wait for a part of the Naval Escort Force, after escorting the main convoy of the Fourteenth Army to turn around and escort the main force of the Twenty-fifth Army successively in Southern Thailand and expand the capabilities of the advance landing force at Malaya to attack Singapore in succession.
As the operation progresses, a detachment will endeavour to land on the east coast of Southern Malaya when the opportunity arises.
Subsection 10: Objectives and operational procedures for operations against British Borneo:
1 The objective of the campaign against British Borneo is to occupy and secure key resource areas and air bases.
2 At the beginning of the war, raid and occupy Miri with part of the Southern Army and secure the resource centres and air bases.
3 Once 'Miri' is occupied, the naval air force will take over 'Kuching', acquire and improve air bases and promote naval air power.
Subsection 16: Cooperation between Army and Navy Forces:
In the event of local land operations in which Army and Navy land units are to operate in the same direction, they shall, depending on the circumstances, be under unified command.
Section 10: Transport and Protection:
Subsection 21: Transport of Army units shall be as shown on the map of the transport of ships for the southern campaign.
The method of protection shall be decided by consultation between the commanders of the Army and Navy concerned, based on the policy described below:
1 The navy shall escort landing forces in all operations and in all directions but shall escort transport forces after the main landing at each landing point with as many forces as the circumstances at the time permit.
Also, for the return of empty vessels and general navigation north of Taiwan, no direct escort shall normally be provided.
Depending on the situation, escort a part of the China Area Fleet's forces on general voyages north of Taiwan.
2 Provide the necessary escort for army supply transport and convoys of injured men.
The transport shall be carried out in convoys as far as possible, and the timing of the transport shall be decided in accordance with the operational situation at the time, taking into consideration the availability of escort forces.
Section 14: Operational names and operational charts: Subsection 26: The names of the Operations:
General name for all Southern Operations: Operation 'A'
Philippines: Operation 'M' Malaya: Operation 'E'
Dutch East Indies: Operation 'H' Guam: Operation 'G'
British Borneo: Operation 'B' Hong Kong: Operation 'C'
Bismarck Archipelago: Operation 'R'
Central Agreement on Army and Navy Air Operations in the South (extract):
First: Operation Policy:
1 Army and Navy Air Forces will work together to quickly destroy the United States and British Air Forces in East Asia, followed by Dutch Air Forces, and to cooperate with the landing operations.
Naval air units will destroy enemy naval vessels in parallel.
Second: Forces to be used: 2 Philippines
Navy:
A) 11th Air Fleet, under the Command of Vice Admiral Tsukahara with an approximate force of 9 land reconnaissance aircraft, 108 land fighters, 144 land attacks bombers, and 18 flying boats, for a total of 279 aircraft.
Temporary reinforcements of troops in other directions may be required, depending on the situation.
B) 3rd Fleet under the command Vice Admiral Takahashi with about 60 seaplane reconnaissance (about 40 at the beginning)
C) In addition, some small aircraft and about 20 fighters are used for air defence in the Taiwan area.
Army:
Approximate the force under the command Lieutenant General Obata of the 5th Air Division with 36 reconnaissance, 36 fighters, 54 light bombers, 18 heavy bombers for a total of 144 planes.
Another 30 fighters are used for air defence in Taiwan.
3 Malaya, Burma, British Borneo:
Navy:
A) Rear Admiral Sadaichi Matsunaga61, Commander of the 22nd Air Flotilla, with an approximate total of 117 aircraft: 9 land reconnaissance, 36 land fighters and 72 land attack bombers.
6141st Class.
B) Vice Admiral Ozawa, Commander of the Southern Fleet, with about 7 seaplane reconnaissance (about 20 in the beginning)
Army:
Lieutenant General Sugahara, Commander of the 3rd Air Division with an approximate total of 447 aircraft: 72 reconnaissance, 168 fighters , 108 light bombers and 99 heavy bombers.
After the completion of Philippine Operation, the main forces of the 5th Air Division will be diverted to this area.
Third: Operational procedures:
7 Guidelines for conducting the first strike of air operations against the United States and the United Kingdom:
A) Attacks shall be launched at approximately the same time with a pre-emptive raid against the Philippines, Malaya and other countries. The time of attack by naval and land air units in each direction shall be approximately the same, but depending on the weather and other conditions, the time shall be selected appropriately to maximise the combined results.
If, due to weather, it is not possible to start attacks on both Philippines and Malaya on the same day, attacks will be launched from the nearest possible direction.
B) If an enemy air raid is launched first, intercept the enemy immediately, but as regards the advance, the following rules apply:
1) Before the order to commence operations (permissive use of force) is issued, other orders shall apply.
2) After the order to commence operations (permissive use of force) has been issued, the operation shall commence in good time.
In this case, the Naval and Army Air Forces will endeavour to attack in close coordination and cooperation.
C) If, prior to the outbreak of war, reconnaissance is carried out by aircraft of the United States, Great Britain or the Netherlands, efforts shall be made to prevent it, but if, reconnaissance is carried out against our important bases, convoys, etc., after that time, it is deemed to be overturned, it shall be shot down.
8 Philippines:
A) Base use classification in Taiwan.
Shared by Navy and Army: Kōshun, Taitō, Kagi, Karenkō Port, Taihoku62
Mainly used by the Navy: Takao, Tōkō, Tainan Shū (Navy),
Taichū (civilian), Shinchiku, Mako (Pescadores)63
Mainly used by the Army: Chiatung, Chōshū, Akō Chō, Hōzan, Tainan Shū (civilian), Taichū (army)64
62Today and by the same order: Hengchun, Taitung, Chiayi, Hualien and Taipei.
63Today and by the same order: Kaohsiung, Donggang, Tainan, Taichung, Hsinchu and Magong.
64Today and by the same order: Jiadong, Chaozhou, Pingtung, Fengshan and Taichung.
B) Air defence in the Taiwan area by aircraft
The Mako area is the responsibility of the Naval Air Forces and the Taiwan areas other than Mako are the responsibility of the Army Air Forces.
Other than that, the following are in accordance with the "Agreement on the Division of Army and Navy Duties in Relation to Domestic Defence Activities".
C) The Naval Air Forces will be primarily responsible for attacking enemy air forces and naval vessels, while the Army Air Forces will cooperate in the air attack and reduction of the Luzon Island area.
D) At the very beginning of the war, the air units of the Army and Navy will cooperate to launch a simultaneous pre-emptive attack from Taiwan, Palau and the sea.
E) The landings of the advance detachments and the cooperation areas for the subsequent operations:
Army and Navy: Aparri, Laoag, Vigan.
Navy: Davao and Legaspi.
Naval air force cooperation in the occupation of the island of 'Jolo'.
F) Deploy all necessary forces and ensure thorough air operations in conjunction with the occupation and maintenance of air bases by the advance units.
G) Division of maintenance and use of occupied bases in the early stages of the operation:
Army: Aparri, Laoag and Vigan. Navy: Davao, Legaspi and Jolo.
At the beginning of the war, the island of Batan was occupied and used as a landing place, and the naval air contingents used "Aparri" and "Laoag" as forward and relay bases.
H) The main landings of the 14th Army and the cooperation categories for subsequent operations:
Army and Navy: Lingayen Bay Navy: Lamon Bay
With the advance of the Army Air Forces, co-operation in land operations and air patrols over anchorages will mainly be provided by the Army Air Forces, while sea patrols will mainly be provided by the Naval Air Forces; however, the area around Lamon Bay will be left to the air operations required by the Naval Air Forces until the Army Air Forces are able to co-operate.
I) The Naval and Army Air Forces will cooperate with the Hong Kong Operation with the required forces.
J) When the Naval Air Forces have completed the air destruction campaign in Philippines, their main forces will be diverted to other operations in the Dutch East Indies area and elsewhere.
K) The main Army Air Forces will be diverted to operations in the Malaya area once the 14th Army has generally achieved its operational objectives.
9 Guam Island, Bismarck Islands:
Naval air forces are responsible for both air suppression and cooperation in sea and land operations.
10 Malaya, Burma, British Borneo:
A) Base use areas in preparation for and in the early stages of the operation:
Shared use by Navy and Army Kailo, Sanya, Huangliu, Saigon, Nha Trang, Turanu65.
For Navy use: Thu Dau Mot and Soc Trang for main use, and Fukok66 and Kampong Trach for temporary use, depending on the situation.
65Could not identify this place.
66Could not identify this place.
Army main use: Phnom Penh, Kampong Trach, Tani, Kampong Chanang, Krakor, Siem Rea, Fukok and others.
B) Cooperation in air suppression and land operations in the Malaya area will mainly be provided by the Army Air Forces, while the Navy Air Forces will cooperate in searching and attacking enemy vessels.
Air operations in the direction of Burma, Dutch Borneo and Thailand will be conducted by Army Air Forces, while air operations in the direction of British "Borneo" will be conducted by Naval Air Forces.
C) At the outbreak of the war, Army and Navy air units will cooperate to launch a pre-emptive air assault on the Malaya area from the Southern Indochina area at the same time.
Naval Air Forces shall conduct air operations in the direction of Singapore and British "Borneo" in a timely manner from the beginning of operations with the required forces, and Army Air Forces shall carry out attacks in the direction of Singapore when possible.
D) If the British forces occupy key areas in Southern Thailand ahead of us and strengthen their defences and it is extremely difficult for the advance detachments to land, air operations will be conducted with the Army and Navy Air Forces in the areas assigned to cooperate with the landing operations of the advance detachments.
E) The Navy and the Army will cooperate with the advance detachments in its landing operations on the east coast of the Malaya Peninsula.
The division of the nightly patrols will be:
Navy: Singora, Ban Dong.
Army: Singora, Pattani, Nakhon and Kota Bharu.
F) Maintenance of air bases in Malaya, Thailand, Burma and Borneo is the responsibility of the Army, maintenance of air bases in British "Borneo" is the responsibility of the Navy, and maintenance of seaplane bases is the responsibility of the Navy.
The bases at Ban Dong, Nakhon, Singora and Pattani are to be rapidly upgraded to the extent that fighter aircraft can be used on the day of the landing of the advance troops.
G) With the development of air bases in the East of the Malaya Peninsula, the Army Air Forces will successively advance to these bases, and parts of the Naval Air Forces will use them as required, to ensure thorough air operations.
Bases used by naval air units: Ban Dong, shared.
Temporary use of Singora and Pattani.
As the operation progresses, the naval air force will use bases in British Malaya as required.
H) Cooperate with the Army and Navy Air Forces in the landing of the main body of the 25th Army on the east coast of the Malaya Peninsula and the landing of one of their corps on the southern part of the same peninsula.
Agreement on action against Thailand in the event of an enemy invasion or pre- emptive attack on Thailand during operational preparations (34), 7th of November 1941.
1 Action when British troops enter Thailand:
A) Before the issuance of a general order for the start of operations (on the X Day), the units will advance according to other orders.
After the issuance of the general order, the units shall enter in a timely manner in accordance with the decision of the Commander of the Southern Force and the Commander of the Combined Fleet; provided, however, that as far as possible the advance shall be made, the operation shall be carried out as planned, and consideration shall be given to the action against the British forces.
B) The main rule shall be that the advance shall be carried out jointly by Army and Navy forces, and the details of which shall be agreed upon between the Commander of the Southern Army and the Commander of the Combined Fleet.
C) General measures concerning the advance shall be closely linked to the diplomatic measures against Thailand as separately stipulated, and efforts shall be made to carry them out in a peaceful manner.
2 The preceding paragraph does not apply to actions against Thailand in the event of a pre-emptive attack by the United Kingdom or the United States of America.
In the event of a pre-emptive attack by the United States of America, the decision as to whether or not to enter Thailand shall be made by special order of the General Headquarters in view of the circumstances at the time.
2 The Combined Fleet Operational Plan and the Tokyo Agreement
The Combined Fleet Operational Plan
On the 29th of October, the Combined Fleet Headquarters, which had received an unofficial notice of the draft of the Order nº1 and Directive nº 1 through the visit of Chief of the 1st Section of the Navy General Staff, Captain Tomioka, was working to complete the Combined Fleet Operation Plan (58). The Commander of the Combined Fleet, Admiral Yamamoto and most of the staff visited Tokyo in the upper part of November, and in close contact with the Navy 1st Section, they conducted a final examination of the operational plan and finally completed its drafting around 7 or 8 November (29-49). The Combined Fleet issued this as Classified Combined Fleet Order nº 1 (dated 5th of November), but the senior commanders did not receive this order until around 10 November (49-61). The lower ranks also received this order at the meeting of the Combined Fleet operation in Iwakuni in mid-November (49).
Extract of the relevant sections of the classified Combined Fleet Order nº 1 (62-63). Classified Combined Fleet Order nº 1
Part I: Combined Fleet Operations in the event of an open war with the United States, the United Kingdom and the Netherlands during the campaign.
Chapter 1 Operational details:
1 Destroy the United States Asiatic Fleet and cut off her supply lines for operations and in the Far East.
2 To the west, attack the British the Malaya area and cut off the British lines of operations, supply lines and the 'Burma Route' to the Orient.
3 Destroy enemy forces in the Orient and capture their bases of operations and resources.
4 Attack and expand key areas, strengthen defences and ensure enduring operational readiness.
5 Intercept and destroy enemy forces.
6 Expanding the war effort and demoralise the enemy.
Chapter 2 Preparations for and the outbreak of war: Section 1 Preparations for the outbreak of war.
1 If the Empire decides to prepare for war against the United States, the United Kingdom or any opposing country, it shall issue an order for "First Preparations for War" with the approximate date of the war (Y- day).
Units will act in accordance with the following:
A) Each fleet unit will be formed into a first stage, first-phase operational force section by special order, and will advance to a standby point before the start of operations in a timely manner as prescribed by the respective unit commander to prepare for battle.
B) The units are to be prepared to defend themselves against unexpected attacks by the United States, the United Kingdom and the Netherlands.
C) The unit’s commanders are to carry out only such reconnaissance as is necessary for operations, and to do so in a covert manner.
D) The 4th Fleet will commence laying mines in the South Sea Mandate Islands in a timely manner in accordance with the Defence Plan.
2 If the advance forces required to carry out the operation are to advance to the operational naval theatre, the order 'Prepare for Second Phase' will be issued.
Each unit shall act in accordance with the following:
A) Submarine units belonging to the advance detachment, tactical units, trade disruption forces, southern forces and south-sea forces will advance to the operational theatre in a
timely manner as prescribed by the commanders of the respective units.
B) The above units will act as prescribed by their respective commanders in accordance with their deployment at the beginning of the war.
3 Depending on the situation, units are designated to make the necessary preparations for the outbreak of war, and if the situation becomes serious, the 'second war preparation' may be restored to the 'first war preparation'.
Section 2 Start of war and use of force prior to the start of war:
1 The time of the outbreak of war is to be announced a few days before the outbreak of war (X Day) in accordance with the general order.
The war will be in full swing after X Day 0000 and all units will commence operations according to schedule.
2 In the event of a serious first attack by the enemy prior to the X Day, the measures to be taken are as follows:
A) The force concerned that is attacked will counter-attack immediately.
However, advance counterattacks by base air units will be ordered before the X Day is issued.
B) After the X Day, without waiting for a special order, the war will immediately enter the state of war and operations will commence.
C) Before the issuance of the X Day, the war will start in accordance with the General Orders.
3 After the order of the "Second Preparation for War", if necessary, use force in accordance with:
A) When ships or aircraft of the United States, the United Kingdom or the Netherlands are in the vicinity of our territorial waters and their actions are deemed to endanger us.
B) When forces acting outside the vicinity of our territorial waters are met with aggressive action by the forces of the above-mentioned countries, so that they pose a danger to us.
Chapter 3, First Stage Operations: (Author's Note Table 1) Section 1: Operational policy:
1 Operations against the United States fleet with advance units, task forces, South Sea units, Northern units and main forces.
At the outbreak of war, advance and tactical forces will be used to surprise and destroy the fleet, and active operations will be halted.
South Sea units will attack and destroy key areas in the vicinity, while northern units will be on the lookout for enemy fleets in the Australian sector.
Author's note: The three lines after the beginning of the war, which were distributed in all directions except as required, have been cut out and left blank for the sake of secrecy in the Hawaiian campaign.
2 With local superiority, the southern forces will sweep up and destroy enemy ships in the Philippines, the British Malaya and the Dutch East Indies, and in cooperation with the Army, will conduct operations as follows:
A) Commence operations against British Malaya and Philippines simultaneously, launch pre-emptive air raids and counterattacks against enemy air forces and vessels in the same area and, if possible, quickly land the Army Advance Detachments in key areas in Malaya and Philippines, and then in British Borneo, and reinforce air operations by advancing air units.
B) Waiting for the results of the previous operation, the main force of the Army invasion corps will land in the Philippines and then in Malaya, and quickly invade the Philippines and British Malaya.
C) In the early stages of the operation, occupy key areas in Celebes, then Dutch Borneo and southern Sumatra, and opportunistically occupy key areas in the Moluccas and Timor islands, and establish necessary air bases.
D) As soon as the air base mentioned in the preceding paragraph is prepared, successively advance air units to suppress the enemy air force in the Dutch East Indies area and wait for the results to land the main body of the army invasion force on Dutch East Indies and attack the island.
E) After the capture of Singapore, occupy key areas in northern Sumatra and conduct operations against the northern part of Sumatra and Burma in a timely manner with the aim of cutting off the enemy's supply routes to China.
3 In the event of an attack by the United States fleet, temporary southern operations will be carried out by the Third Fleet, Southern Fleet, etc., while the bulk of the decisive force will be used for intercept operations.
4 Destroy enemy maritime commerce in the Pacific and Indian Ocean areas with a part of the Combined Fleet (author's note: a special cruiser squadron).
5 With regard to the Thailand and French Indochina, we will do our utmost not to provoke their hostility, and will endeavour to comply with our operations, but if hostile action is observed, we will use force to remove obstacles to our operations.
Section 3: Southern Operation Instructions:
Southern operations shall be carried out by the Commander of the Southern Forces, except for special orders based on operational policy and agreements between the Commander of the Combined Fleet and the Commander of the Southern Forces.
Section 4: Operations by Period:
First-stage operations are divided into the following categories and their conversion is by special order:
1 First phase of operations:
Operations from the outbreak of war to the completion of the landings in the Philippines by the Main Force of the Army.
2 Second phase of operations:
Operations after the first phase of the campaign until the completion of the landing in British Malaya by the Main Force of the Army.
3 Third phase of operation:
Operations after the second phase of the campaign until the end of the Dutch East Indies campaign.
Section 5: Force Structure (Author's Note See Table 1)
Force Structure during the first stage of operations are as follows.
1 Phase 1 operational force structure Table 1:
Appended Table 1, First Stage, First Phase, First Operational Force Section [Preparations for the First Phase [to the completion of the landing of the Main Forces of the Army of the Philippine Islands (X+13 days)]].
Chapter 5: Protection of Maritime Commerce, Destruction of the Maritime Commerce and Mine Warfare
Section 3: Minelaying
Minelaying in the Combined Fleet depends on the commanding officer of each unit, except:
1 Southern Operations:
A) Offensive minelaying implementation, as per Table
1.1 and 1.2.
B) List of bases to be defended with mines and anti- submarine nets (standard), see Table 2.
C) Mine and anti-submarine netting replenishment, see Table 3.
D) Guidelines for the establishment of mine barriers after the end of the southern campaign, see Table nº 4.
3 Whenever mines are laid or mines are swept, the commanding officer of each unit shall report the position of the mines and the navigable area to the required authorities.
4 Announcements regarding the laying of mines
Announcements are to be made at the headquarters of the Combined Fleet and by the Navy General Staff, with the aim of posing a threat to the enemy.
Chapter 7: Supply
Section 1: Supply Policy
1 Fuel is to be replenished when 60% of each ship's full load is reached, but if a fight is expected, the ship is to be fully loaded at all times.
2 Supply of weapons, ammunition, bombs, rations and supplies shall be carried out at every opportunity and shall be fully stocked.
Section 2: Supply Guidelines
1 The division of the use of the strategic bases in the early stages of the operation is generally as follows:
Sasebo: 11th Air Fleet, Southern Fleet, 3rd Fleet.
2 The supply ships assigned to each unit are to be divided into the following categories for use of the supply depots and refuelling areas:
Mako, Takao, Sasebo and its vicinity: Southern Fleet
3 Supply base zones:
Southern units Palau (until the end of the first phase of operations), Saigon, Camranh Bay. (See Table 4.1)
4 As the operation progresses, special supply depots (special munitions departments and special air arsenals) will be newly established in the occupied areas and will be under the command of the commanding officers of the units in the same area:
A) Davao, B) Tarakan, C) Balikpapan, D) Manila E) Makassar F) Surabaya, G) Singapore H) Batavia and I) Penang.
5 Supply of units is to be carried out by the supply ships assigned to them.
6 Supply from supply depots shall be carried out only when aircraft and small vessels are out of the base, and only in special cases when the supply vessels are not required.
7 Supply of units advancing into occupied areas, landing and transport of munitions, etc., is to be carried out by the special munitions department, with the cooperation of the units in the occupied areas.
8 In the event that multiple units are to be supplied simultaneously, the order of supply shall be designated by the supreme commander in command.
9 Assignment of supply ships:
Ships names between (-) means that they were under conversion at the time.
Auxiliary Ammunition Supplier Ships:
KOGYO MARU (46368), ONOE MARU (46811), TATSUKAMI MARU (45368), (NISSHUN MARU) (48040).
Auxiliary Water Supplier Ships:
KOAN MARU (K586), GORYU MARU (46931), (ASAYAMA MARU) (47964), (KISOGAWA MARU) (47841).
Auxiliary Stores Supplier Ships:
KOSEI MARU (45873), SURUGA MARU (45206), HAKUREI MARU (39091), KITAKAMI MARU (45432), SENDAI
MARU (38069), BANSHU MARU nº 3 (39195), BANSHU MARU nº 5 (38079), (OI MARU nº2 GO (45431) 67 ), (MINATO MARU) (40097).
Oilers:
HAYATOMO, ERIMO, SAN CLEMENTE MARU (44005), (TEIYO MARU) (36910), (GENYO MARU) (44520), NICHIEI MARU (45071), AMAGISAN MARU (38579)68 , NANA MARU (46836), (NIKKOKU MARU) (48200) 69 , (HINO MARU nº 5) (47572)70.
Coal Supply Ships:
YODOGAWA MARU (45693), ASAKAZE MARU (44754), (KOSEI MARU) (38063), (KORYU MARU) (37152).
Miscellaneous Supply Ships / Auxiliary Transport:
SENKO MARU (40758), (KASUGA MARU71) (42068).
10 Standby positions and subsequent actions of supply ships attached to the Combined Fleet (Author's omitted)
67In the original it’s not the OI MARU Nº 2 GO, but the OI MARU. I think this was a mistake because the OI MARU was an Auxiliary Minelayer of the 31st Minelayer Division (converted in September 41, before the Combined Fleet Operational Plan was finished at the end of October 41). The OI MARU Nº 2 GO was a Stores Supplier Ship. 68 The AMAGISAN MARU (38579) was miscellaneous auxiliary transport attached to the 11th Air Fleet as one of its supply units. I could not find any information about her capacity to also work as an auxiliary oiler.
69The NIKKOKU MARU (48200) was miscellaneous auxiliary transport attached to the 11th Air Fleet as one of its supply units. I could not find any information about her capacity to also work as an auxiliary oiler.
70The HINO MARU Nº 5 (47572) was miscellaneous auxiliary transport attached to the 11th Air Fleet as one of its supply units. I could not find any information about her capacity to also work as an auxiliary oiler.
71On the 10th of December 1941, the Kasuga Maru (42068) changed its name to Kasuga Maru nº2 Go (42068).
Tokyo Agreement
In accordance with the Army and Navy Central Agreement on Southern Operations, operational agreements between the Commander of the Southern Expeditionary Army and the Commander of the Combined Fleet and between the Commander of the Southern Army and the Commander of the 2nd Fleet were made at the Army War College over three days from the 8th of November. This agreement is usually referred to as the Tokyo Agreement. The main participants in this agreement were: on the naval side, Commander of the Combined Fleet Admiral Yamamoto, Chief of Staff of the Combined Fleet Rear Admiral Ugaki and his staff, Commander of the 2nd Fleet Vice Admiral Kondo, Chief of Staff of the 2nd Fleet Rear Admiral Shiraishi and his staff, Commander of the 3rd Fleet Vice Admiral Takahashi, Chief of Staff of the 3rd Fleet Nakamura and his staff, and on the Army side, Commander of the Southern Expeditionary Army, General Hisaichi Terauchi and Chief of Staff Lieutenant GeneralTsukada and his staff.
After leaving Tokyo on the 3rd of November, Admiral Yamamoto, returned to the Flagship, the Battleship NAGATO the next day. On the 6th of November, he returned to Tokyo to discuss various pending issues with the Navy General Staff and to attend the end of the Tokyo Agreement. (58) The important points discussed in this agreement were the following:
1 Air raids on Hawaii and the timing of the Malayan landings:
The success or failure of the war depended on the surprise attack on Hawaii at the outset of the war, so the secrecy of the plan took precedence over anything else. In other words, the attitude was that no other combat operations would be allowed to commence until the air raid on Hawaii had begun. On the other hand, the Southern Army's attitude was that the success or failure of the southern campaign depended on the Malaya landings at the beginning of the war, and that priority should be given to the measures to be taken to ensure success (such as the selection of aircraft for the landings). This issue was discussed many times between the Army and Navy, and in the end both operations were to begin after midnight on the X Day, but at this meeting the issue was again revisited between the Combined Fleet and the Southern Army. This was because, in relation to the Kota Bharu landings issue to be discussed later, the Southern Army proposed to start the landings at midnight on X-1 and finish most of the landings by dawn.
The Combined Fleet strongly opposed this plan of the Southern Army to land at Kota Bharu, because the landing would start earlier than the start of the air raid on Hawaii (which at that time was scheduled for around 1030), and there was a fear that the telegram of the Malayan landing would reach Hawaii before the air raid on Hawaii started. Therefore, in order to solve this problem, the Combined Fleet secretly explained to the Southern Army Leaders that there was a plan for a surprise attack on Hawaii and the importance of this plan. The Southern Army Leaders agreed with the explanation of the Combined Fleet and agreed that the landing at Kota Bharu would start after midnight on the X Day. As a result, the article "At the start of Operation A, the Combined Fleet will conduct pre-emptive air raids against the enemy fleet in other directions" was included in the first part of the memorandum of agreement. (29)
2 The problem of the simultaneous landings at Kota Bharu:
The Navy General Staff, which was opposed to the Kota Bharu landings on X Day, had compromised on the principle of not carrying them out under the Central Agreement between the Army and Navy, but would do so under certain circumstances. The Combined Fleet, on the other hand, was of the opinion that it would not necessarily oppose the landing, as explained by the enthusiastic Army side. However, at the Tokyo Agreement, the 2nd Fleet strongly opposed its implementation for the following reasons: (29-34)
A)Kota Bharu is British territory and an important point with a powerful air base, so it is expected to be heavily defended, with mines and
submarines deployed there. Therefore, the safety of the transports cannot be guaranteed by an Army landing operation plan that allows the convoys to enter without sufficient suppression of enemy air power, minesweeping and anti-submarine control.
B) According to the landing plan, the convoy should be within a few dozen nautical miles of Kota Bharu by sunset on X-1. It was therefore inevitable that the convoy would be detected by British patrol aircraft, and it would be difficult to conceal the landing attempts by false routes.
C) Once the landing convoys have separated from each other on X-1, it is not possible to deploy anti-aircraft direct escort aircraft to each of the convoys. Since anti-aircraft direct air defence will be focused on the main advance convoy landing at Singora, the Kota Bharu landing flotilla cannot be expected to provide complete air defence.
D) There is concern that the Kota Bharu landings will come earlier than the Hawaiian attack and cause the Hawaiian surprise operation to fail.
The Southern Army and the 2nd Fleet were unable to finally reach an agreement as they each insisted on their own theory and refused to concede. Therefore, an unusual measure was taken: "The landing at Kota Bharu on X Day will be decided by consultation between the local Army and Navy commanders (Commander of the 25th Army and Commander of the Southern Fleet), leaving the resolution of the issue to the judgement of the local commanders. (27-29- 46)
3 Philippine Operation: Assault Landing (29-34-38-64)
The assault and occupation of key areas in the Northern Philippines (Aparri, Vigan, etc.), excluding the islands in the Luzon Strait, was planned to be carried out on X Day according to the Kaidai and Kanoya Performances, but was postponed to X+1 day according to the 'Nagato Performance'.
However, due to the increased range of the Zero and the new situation in which aircraft carriers expected to be assigned to the Philippine sector were diverted to other areas, the date for the assault was reconsidered in the Tokyo Agreement. There were two opposing proposals: one to move up the raid date and the other to move it down. The former was mainly proposed by the 14th Army (Philippine Operational Force). The reason for this was that it was doubtful whether the air raid would proceed smoothly as initially expected due to the reduction in forces employed, and that it would be better to conduct the raid on the X Day, as in the Malayan landings, and advance the air units as soon as possible. In response, the Combined Fleet argued that there was no need to move up the date because it was confident of its ability to destroy the enemy by air, and that it should rather postpone the landing to X+2 days in order to limit the damage to the attacking forces. In other words, in order to
land on X+1, the assault force would have to reach the area between Taiwan and the Philippines Islands on X-1, so there was a possibility that our fleet would be detected by US aircraft before the war started. The reason was that if we landed on the X Day, it would be obvious that our fleet would be discovered and attacked. Behind this argument, it is certain that the Combined Fleet considered the impact on the surprise attack on Hawaii (29). This issue was settled by the Combined Fleet, and if the local commanders came to the conclusion that the occupation of the Northern Philippines Air Bases on X+2 days would not interfere with the implementation of the air operations in the Pacific Islands, the date of the assault landings was set to be extended to X+2 days.
Three key locations were planned to be assaulted and occupied: Aparri, Vigan and Laoag. The Navy argued for reducing the number of landings to two, on the grounds that it would be difficult to assault three sites at the same time due to the lack of convoy escort units, and also proposed to exclude Aparri, which was expected to be difficult to land on due to the strong north-easterly winds and poor anchorage. The Army refused, saying that Aparri could not be excluded because it was the only base for large aircraft in Northern Luzon, and in the end it was decided that the key positions to be assaulted and occupied were either Vigan or Laoag and Aparri.
4 Southern Strategy Calendar:
Until the Tokyo Agreement, the Army and Navy General Staffs had judged that the Southern Campaign would require about four months at any rate, because of problems with transport shipping, plans for the use of naval escort vessels and other issues. The Southern Army and the 2nd Fleet examined the schedule of the campaign in detail in this agreement and decided to set a detailed schedule for each key area with the aim of completing the Southern Campaign (up to the capture of Java) in 100 days. In response to this, the Army General Staff this time showed some difficulty, mainly in terms of shipping capacity. However, the Navy and the Combined Fleet were of the opinion that the problem should be left to the implementing forces, the Southern Army and the 2nd Fleet.
Thus, the Combined Fleet, the 2nd Fleet and the Southern Army all reached an agreement, with the exception of the Kota Bharu landings. On 10 November, in the presence of Admiral Nagano, Commander of the Imperial Japanese Navy General Staff, and General Sugiyama, Chief of the Imperial Japanese Army General Staff, an agreement was signed between the Commander of the Combined Fleet, Admiral Yamamoto and the Commander of the Southern Army General Terauchi; Commander of the 2nd Fleet, Vice Admiral Kondo, and the Commander of the Southern Army. The agreement between the Combined Fleet and the Southern Army was a simple one with the following general
outline, the details being left to the agreement between the Southern Army and the 2nd Fleet.
Agreement between the Combined Fleet and the Southern Army 10th of November of 1941
Commander of the Combined Fleet, Admiral Isoroku Yamamoto
Commander of the Southern Forces, General Count Hisaichi Terauchi
1 Regarding the start of the operation, the following applies:
A) At the start of Operation A (on the X Day), the Combined Fleet will conduct a pre-emptive air raid against the enemy fleet in other directions.
B) In the event of a serious first attack by the enemy prior to the X Day, the Navy will enter the state of open warfare and commence operations immediately after the order to commence operations is issued.
2 In the case of Operation A (excluding Operation Tarawa, Hong Kong and "Bismarck" Operation):
Any agreements other than this Agreement concerning planning and during operation implementation shall be made between the Commander of the Southern Army and the Commander of the 2nd Fleet; however, if the Commander of the 2nd Fleet participates in an operation against the United States, any agreements concerning operation implementation shall be entrusted to the Commander of the 3rd Fleet.
Memorandum between the Commander of the Southern Navy and the Commander of the Southern Army (excerpt)
10th of November of 1941
Commander of the Southern Army, General Count Hisaichi Terauchi
Commander of the 2nd Fleet, Vice Admiral Nobutake Kondo 1 Policy on Joint Operations
In accordance with the "Central Agreement of the Army and Navy for the Southern Operations of November the 6th, 1941" (hereinafter abbreviated as "Central Agreement"), the Southern Fleet and the Southern Army will complete the objectives of the Southern Operations in a short time under close and proper cooperation.
2 Start of Operations:
A) The date for the start of operations as ordered (X Day) may not be changed by the Commander of the Southern Fleet, the Commander of the Southern Army and other commanders, but before the X Day is announced, the Commander of the Southern Fleet and the Commander of the Southern Army may consult and express their opinions concerning the X day's announcement.
B) Operation M and Operation E, both air raids and landings, will endeavour to commence on the X Day, but due to local weather obstructions, etc., it will not be necessary to start operations unilaterally. However, in Operation M, the schedule for the advance forces (including "Batan" Island) shall be postponed in accordance with the start date for the air campaign in the same area.
C) The date and time of the first air attack in the M area and the new date and time shall be decided in consultation with the Commander of the Southern Fleet and the Commander of the 14th Army.
D) In the event that the date of the main landing of the advance Detachments in sector E should be changed due to weather conditions, it shall be decided by consultation between the Commander of the Navy's Escort Force and the Commander of the 25th Army.
3 The standard schedule for the offensive (Table 5)
(The date on which the landings are to be started and the area to be attacked jointly by the Army and Navy (with the date on which the assembly points and the area to be attacked by the navy alone and the date on which the landings are to be started are also noted))
4 Army Strength (Omitted by the author).
5 Operational guidelines:
A)Measures to be taken against the enemy before the outbreak of war:
1) Counterattack and advance (Table 6).
2) Reconnaissance of the enemy.
Before the outbreak of war, the Imperial Japanese Navy shall conduct reconnaissance and intelligence on the enemy in a
clandestine manner, and endeavour to quickly exchange any enemy information that is acquired.
3) Restrictions on radio communications:
The Army and Navy shall enforce radio communication control within their respective armies and shall endeavour to limit the volume of radio communication between the two armies.
B) General operational guidelines:
1) For the invasion of key areas, operations shall be conducted in accordance with the standard invasion schedule. However, with regard to the date and time of the landing of the advance detachment of Operation E on Kota Bharu, In consideration of the weather conditions and the defence situation, the Commander of the Malaya Seizure Force and the Commander of the 25th Army shall decide on the date and time of the landing of the advance detachment of Operation at "Kota Bharu".
Other details shall be decided by agreement between the respective subordinate commanders.
2) Naval escort:
a) For the return of empty vessels, supply transports, patient transports, troop transfer transports, etc., depending on the circumstances, the naval commander (the Commander of the Malaya Seizure Force or the Commander of the Philippine Seizure Force) may restrict the route and action of the ship.
However, if this restriction is deemed to have a significant effect on subsequent operations, an agreement shall be reached between the Commander of the Southern Force, the Commander Southern Army, or the local Army and Navy commanders.
b) In the event of the transfer of army forces, the escort shall be in accordance with paragraph (3).
c) Other details shall depend on the agreement between the commanders of the landing corps and the Escort Forces Commanders.
3) Transfer of forces and replacement of land and naval forces:
a) The change of garrison forces on the island of Jolo is in accordance with the agreement between the
Commander of the Philippine Seizure Force72 and the Commander of the 16th Army.
72See General note number 9.
b) Replacement of garrison forces on Tarakan and Ambon:
Regarding the replacement of garrison forces after securing the occupation, it depends on the agreement between the Commander of the Dutch East Indies Seizure Force and the Commander of the 16th Army.
c) 48th Division Transfer:
The Division is scheduled to assemble near "Manila" on X+55 days and depart on X+70 days.
The Commander of the Dutch East Indies Seizure Force will escort the said Corps with the necessary forces.
d) When the Bangka Island and the Southern Sumatra Island invasion forces (part of the 16th Army) moves forward, the commanding officer of the Malaya Seizure Force shall escort it with the necessary forces.
e) When a part of the 38th Division (Dutch East Indies Invasion Force) is transferred, the Commander of the Dutch East Indies Seizure Force shall protect the main force of the 16th Army (from Taiwan to Southern French Indochina) with the necessary forces.
f) Transfer and repositioning of the " Ambon" and " Kupang" invasion forces (part of the Sixteenth Army).
The escort of the said units during the transfer and repositioning (between "Palau" and Kupang, and from "Palau" or Hong Kong) shall be in accordance with the agreement between the Commander of the Navy's Dutch East Indies Seizure Force and the Commander of the 16th Army.
g) Agreements between the relevant Army and Navy commanders regarding the escort of other small units when they are transferred or diverted.
C) Air Operations Procedures (Omitted by the author) 6 Communication and liaison (Omitted by the author)
7 Establishment of supply bases (Omitted by the author)
8 Exchange of information (Omitted by the author)
9 Exchanges of agreements and arrangements:
A) Article 24 of the Central Agreement:
Commander of the Southern Fleet and Major General Kawaguchi (Saigon)
Commander of the 3rd Fleet, Commander of the 11th Air Fleet, and the commanders of the 14th Army and the 5th Air Division signed the agreement (Iwakuni).
The Commander of the Southern Fleet, the Commander of the 15th Army, the Commander of the 25th Army, the 3rd Air Division and the Commander of the 22nd Air Flotilla signed the agreement (Saigon)
B) Scheduled conferences between Army and Navy commanders to be held as follows:
1) Around the 40th day of the operation
2) Around the 120th day of operations.
3) If necessary another Conference will be held
C) In order to communicate details based on the Central Agreement and this Agreement throughout the operation, the Navy shall dispatch one staff officer to each of the military commands and to the 3rd Air Division, and if circumstances permit, at major intervals, the Army and Navy shall dispatch staff officers to each other to communicate and exchange information in order to achieve a smooth and prompt accomplishment of the cooperative operational policy.
Author's note
Major General Kawaguchi - Major General Seiken Kawaguchi, Commander of the 35th Brigade of the 18th Division and commander of the army unit that invaded British Borneo.





![]() |




Considering the prospect of the expansion of the Second Sino-Japanese War and the interference of third countries, the Japanese Navy began rapid preparations for the eventuality from the autumn of 1937. However, the international situation surrounding Japan became increasingly worse as the War became more protracted, and the naval preparations to respond to this situation were subject to various restrictions and could not keep up with the demands of the time. Therefore, on the 15th of November 1940, the Japanese Navy was obliged to launch the 1st Phase Deployment Readiness Operation (65), which was to be launched in anticipation of the outbreak of war, in order to accelerate preparations for the war.
With the development of the situation, the peacetime formation of the Combined Fleet was also expanded to be as close as possible to the wartime formation in case of emergency, and ships that had completed their war preparation work were incorporated into the Combined Fleet as soon as the work was completed. However, by August 1941, the strength of the Combined Fleet had not yet reached that of the full wartime formation.
With the freezing of overseas assets and the total embargo on oil following the occupation of Southern French Indochina, our Navy began full-scale war preparations. On the 1st of September, our navy shifted to a wartime formation. This shift to wartime formation necessitated large-scale personnel changes. This conflicted with the rapid war preparation work and caused a great deal of anxiety to those concerned, as they were unable to conduct sufficient training to recover from the loss of strength caused by the personnel changes. However, the estimated start date of the war was subsequently extended, and through the desperate efforts of those involved, the force was barely restored to a level of strength sufficient for initial operations by the time of the start of deployment.
By order dated from the 5th of November, the Combined Fleet was converted to the force structure in place at the start of the war, and its units began advancing to their pre-start of operations standby positions. In the meantime, the units continued to train and recover their strength.
On the 1st of December, Japan decided that there was no prospect of a breakthrough in negotiations between Japan and the United States, finally deciding to start the war and, on the following day, set the time for the use of force at midnight on the 8th of December. Based on this decision, the Combined Fleet issued the order "Niitaka Yama Nobore 1208" in the evening of the 2nd and all units prepared for the outbreak of war.
During this time, the Combined Fleet Headquarters closely discussed operations with each unit, made efforts to collect information, and revised some operational plans in response to changes in the situation, and was responsible for the guidance of all operations.
1 Expansion of the Combined Fleet formations (66)
Reorganisation of the Combined Fleet in November 1940
In time of war, it is natural to organise an operational force based on a long-established plan with the entire naval force and the required auxiliary ships (converted from merchant ships, etc.). Such a formation was called a 'wartime formation'. The wartime formation in 1940 (from December 1940 until November 1941) consisted of the 1st and 2nd Fleets, which were the decisive battle units, the 3rd , 4th and 5th Fleets, which were in charge of the Pacific, South and Northern Ocean areas, and the units directly under their command or attached to them. (The area around China and the mainland was outside the Combined Fleet's area of responsibility).
In peacetime, the Navy planned to form and train a small peacetime-formatted Combined Fleet with some of its forces due to budgetary, repair and manning constraints, and to use this as the basis for a conversion to a wartime formation. However, as already mentioned, due to the urgency of the situation, the Combined Fleet forces of the peacetime formation were increased as much as possible in preparation for any eventuality. In addition, on 15 November 1939, the 4th Fleet, which was scheduled for wartime formation, was newly formed to promote defence and training in the South Sea Mandate Islands. At this time, however, the 4th Fleet was not incorporated into the Combined Fleet but was made an independent fleet.
On the 15th of November 1941, the formation of the Combined Fleet was revised. It was considerably larger, as the war preparation work had progressed considerably, and ships under construction or under maintenance were to be incorporated into the Combined Fleet as soon as the work was completed. The general outline of the formation was as follows:
1st Fleet:
3 Battleship Divisions (6 battleships), 1 Heavy Cruiser Division (3 Heavy
Cruisers), 2 Destroyers Squadrons (2 Light Cruisers and 30 destroyers), 2 Aircraft Carrier Divisions (2 small Aircraft Carriers and 2 Seaplane Carriers).
2nd Fleet:
4 Heavy Cruiser Divisions (12 Heavy Cruisers), 2 Destroyer Squadrons (2 Light Cruisers, 28 Destroyers), 2 Aircraft Carrier Divisions (3 Aircraft Carriers), 1st Base Force.
4th Fleet:
1 Light Cruiser Division (3 Light Cruisers), 1 Minelayer Division (2 Minelayers),
1 Destroyer Squadron (1 Light Cruiser, 8 Destroyers), 1 Submarine Squadron (9 I-Submarines), 2nd Base Force.
6th Fleet:
3 Submarine Squadrons (2 Light Cruisers, 2 RO-Submarines, 18 I-Submarines) Combined Fleet Headquarters and Directly Attached units.
1 Minelayer Division (2 Minelayers), 2 Submarine Squadron (2 Light Cruisers,
15 submarines), 1 Seaplane Tender Division (2 Seaplane Tenders), 3 Air Flotillas (7 Naval Air Groups).
This formation shows that:
1 The 4th Fleet is included in the Combined Fleet formation;
2 The 6th Fleet (not in the old wartime formation) is newly established and the main submarines are there concentrated;
3 The main carrier divisions are concentrated in the 2nd Fleet;
4 The 2nd Fleet includes a Base Force that will be incorporated into the 3rd Fleet in the future.
However, the 3rd and 5th Fleets scheduled for wartime formation had not yet been formed.
Establishment of the 11th Air Fleet (66)
On the 15th of January 1941, the 1st, 2nd and 4th Combined Air Forces (an Air Force is a unit formed by two or more Naval Air Groups) attached to the Combined Fleet at that time were renamed as Naval Air Flotillas with "20" added to their numbers (example, 1st Combined Air Force was renamed 21st Naval Air Flotilla), and these were integrated to form the new 11th Air Fleet.
Reference:
1Air squadrons numbered 1 to 10 are carrier units, 11 to 20 are seaplane carrier units and 21 onwards are land based aviation units.
2Air units with a place name are permanent units and include 'Navy', such as Yokosuka Naval Air Force, while those with a number are specially established units as required, and officially do not include 'Navy', such as the 1st Air Force. However, for the sake of brevity, this document omits the 'Navy' from the permanent aviation units.73
73These still creates a few problems as during the text many times the Aircraft Carrier Divisions are treated as Air Forces: In the Malaya and Philippine campaign many times the Aircraft RYUJO of the 4th Aircraft Carrier Division is denominated as 4th Air Force; the same applies for example to the Auxiliary Seaplane Carrier KAMIKAWA MARU (42936) many times denominated as 12th Air Force. See also General Note nº 10.
The Japanese Navy had employed flying boats for long-range maritime patrols at sea, but as technology advanced, it was considered to use large land-based aircraft in conjunction with them and, at the same time, cooperating in fleet combat by attacking at long range. Therefore, in 1932 and 1933, prototypes of large land attack aircraft and long-range reconnaissance aircraft were started. The performance of the large attack aircraft was insufficient, but the reconnaissance aircraft showed ground-breaking performance, so it was modified into a medium attack aircraft and adopted as a Type 96 land attack aircraft in 193674.
With the outbreak of the Second Sino-Japanese War in the following year, the 1st Combined Air Force was formed on the 11th of July with the KISARAZU and KANOYA Naval Air Groups, both of which were equipped with this type of aircraft and gained fame for its dreadful oceanic bombing raids. This was the first time that a joint air force system was adopted for operational units and this aircraft took part in actual combat. After that, it continued to play an active role on the Chinese front but lacked a fighter with a large cruising capacity to cover it, which not only limited its operations but also caused it a lot of damage.
Later, in 1940, the Type Zero naval fighter appeared, and despite being a naval aircraft, it had a long cruising range, so land attack aircraft were able to cooperate with it and attack deep in the country in all directions.
The Combined Air Force was subsequently attached to the Combined Fleet and engaged in offshore training, while at the same time being engaged in operations in China for as long as required each year. During this period, the number of air units increased successively, and the formation of the Combined Air Force underwent many changes and its strength increased.
The opinion that an air fleet should be formed with air power as its core had already been put forward in the report of the Air System Research Committee in the spring of 1939, but with the results of fleet training in 1939 and the increase in air power, the military command also adopted the policy of forming an air fleet at the end of 1939 (6). However, preparations were not made in time and the organisation of the fleet was protracted to 1941.
The organization of the 11th Air Fleet at the time of its establishment is at Table 7. (66)
On the 10th of April 1941, the following reorganisation was made to the 11th Air Fleet:
1 The 1st Naval Air Group [Land Base Attack Aircraft 27 (9), fighter 18 (6)] was newly formed and incorporated into the 21st Naval Air Flotilla.
2 The TAKAO Naval Air Group and the Auxiliary Aircraft Transport KOMAKI MARU (38561) were removed from the 21st Naval Air Flotilla and with the newly established 3rd Naval Air Group [Land based Attack Aircraft 27 (9)] formed the newly established 23rd Naval Air Flotilla.
The 11th Air Fleet continued to engage in fleet training or air operations in China after the new formation was added. The Fleet's main forces, with the exception of the 22nd Air Flotilla and the Takao Naval Air Group, conducted the South Sea Islands Base Deployment Exercise (G Training) from May to June 1941. This training involved moving from one base to another in the South Sea Islands while conducting search-and-attack training against surface forces, and this training rapidly improved the Fleet's proficiency and confirmed its operational capability. During this period, the 22nd Naval Air Flotilla was engaged in China, and the TAKAO Naval Air Group changed its aircraft type to the Type 1 land attack bomber75, which was adopted as the official aircraft in April of the same year and was undergoing training in the inland areas. (39)
After completing the G training, the main force of the 11th Air Fleet returned to the mainland, but the 24th Naval Air Flotilla continued to train in the South Sea Islands. In addition, the 23rd Naval Air Flotilla, excluding the TAKAO Naval Air Group, came under the command of the China Area Fleet and was stationed on Hainan Island to participate in the operation for the occupation Southern French Indochina. (39)
The Commander of the 11th Air Fleet, Rear Admiral Eikichi Katagiri, advanced to Hankou on the 23rd of July 1941 and commanded the 21st Naval Air Flotilla and the 23rd Naval Air Flotilla's TAKAO Naval Air Group, which had advanced in the same area, as well as the Naval 22nd Air Flotilla, which had previously been operating in China, in conducting air operations against the interior of China. The 12th Naval Air Group of the 2nd China Expeditionary Fleet also came under the command of Rear Admiral Katagiri. With a unified command of about 200 aircraft, the Rear Admiral Katagiri led daily attacks on Chongqing, Chengdu, Lanzhou and other cities. On the 12th of August, 16 Zero fighters of the 12th Naval Air Group departed from Jingmen (about 250km west of Hankow) at night and, in cooperation with 7 aircraft of the TAKAO Naval Air Group, advanced about 430 nautical miles to raid airfields near Chengdu in the early morning, achieving great results. This operation was called 'Operation O' and was carried out several times thereafter. (67) The experience of these operations provided valuable lessons for later air operations to advance on the Philippines. (39)
This new formation of the 11th Air Fleet opened the way for the strategic use of the land based air force. In other words, by unifying the command of land based air forces, not only can large forces be concentrated in the required areas in a timely manner by utilising their mobility and long attack distance, but also the advantages such as the ability to carry out controlled flight patrols in a wide frontal area have been created. In addition, the formation of a fleet not only improved the efficiency of management, training and supply, but also raised the morale of the base air force through the independence of the Air Fleet, which was strongly advocated by those involved in aviation, and was an element that could not be overlooked under the tense international situation.
At the beginning of the war, the 11th Air Fleet was equipped with the following 6 types of aircraft, and the practical attack range of the land attack aircraft was approximately 650 nautical miles with torpedo load. (68) (see table 7.1 A, B and C)
74Allied code name – Nell.
75Mitsubishi G4M1. Allied code name Betty.




Establishment of the 1st Air Fleet
On the 10th of April 1941, the 1st Air Fleet was newly formed with the 1st, 2nd and 4th Aircraft Carrier Divisions. Its forces were as follows: (66)
1st Aircraft Carrier Division (Aircraft Carriers AKAGI, KAGA and the 34th Destroyer Division76)
2nd Aircraft Carrier Division (Aircraft Carriers SORYU, HIRYU and the 23rd Destroyer Division77)
4th Aircraft Carrier Division (Aircraft Carrier RYUJO, 3rd Destroyer Division78)
76The 34th Destroyer Division was composed by the Destroyers AKIKAZE, HAKAZE and TACHIKAZE.
77The 23rd Destroyer Division was composed by the Destroyers KIKUZUKI, YUZUKI and UZUKI.
78The 3rd Destroyer Division was composed by the Destroyers HOKAZE and SHIOKAZE.
79Air Squadron is a broad name to represent the Air component present in the Naval Fleets. In 1928 was formed the 1st Aircraft Carrier Division with the Aircraft Carriers AKAGI, KAGA and HOSHO.
Since its formation in 1928, the Air Squadron79 was attached to the 1st and 2nd Fleets to accompany the surface forces, as a unit that directly cooperated with these forces in combat. Later, as equipment and skills improved, the air squadron began to attack the enemy fleet on its own. Furthermore, with the increase in the number of Aircraft Carriers, there was an opinion that they should be integrated into a strategic unit, a formation that would allow them to further demonstrate their war potential. It was intended that the formation of an air fleet would unify the operational philosophy and training of all carrier ships and ensure that the operational capabilities of carrier units could be demonstrated without regret. Towards the end of 1939, the Imperial Japanese Navy's General Staff informally decided that the carrier air fleet would also be newly formed (6). However, the formation of this fleet was not ready in time and it had not been implemented at the time of the reorganisation of the Combined Fleet on the 15th of November 1940. The 3rd Aircraft Carrier Division, consisting of small aircraft carriers (the Aircraft Carrier HOSHO and the ZUIHO and 2 Destroyers 80 ), remained in the 1st Fleet as the direct escort of the main fleet (battleship core).
The formation of the 1st Air Fleet was extremely significant as it formed the premise for Aircraft Carrier operations, which fundamentally changed the face of naval warfare. However, a look at the content of the newly formed 1st Air Fleet as a strategic unit of the fleet shows that it consisted of only a few aircraft carriers and destroyers. In other words, it lacked support forces such as fast battleships and cruisers, which are necessary for independent strategic action. Furthermore, the destroyers incorporated into the First Air Fleet were few in number and many of them were older vessels, which were not suitable for working together with the carriers with their long cruising range. In short, the formation of the 1st Air Fleet was a departure from the conventional policy of organising our fleet on the basis of strategic units.
Establishment of the 3rd Fleet and its actions
The 3rd Fleet, the operational base for the operations in the Philippines, was newly formed on the 10th of April of 1941. With the expansion of the Southern Area of Operations, this fleet was to take charge of the Dutch East Indies sector of operations following the Philippine Operation. Its strength was as follows: (66)
16th Cruiser Division (Light Cruisers NAGARA and KUMA).
17th Minelayer Division (Minelayers ITSUKUSHIMA and YAEYAMA). 5th Destroyer Squadron:
Light Cruiser NATORI.
5th Destroyer Division (old Destroyers81 HARUKAZE, HATAKAZE, ASAKAZE and MATSUKAZE).
22nd Destroyer Division (old Destroyers82 FUMITSUKI, SATSUKI, NAGATSUKI and MINAZUKI).
12th Seaplane Tender Division:
Old Seaplane Carrier NOTORO, Auxiliary Seaplane Carrier KAMIKAWA MARU (42936).
1st Base Force:
Minelayer / Netlayers: SHIRATAKA, HATSUTAKA, WAKATAKA.
1st Minesweeper Division (Minesweepers W-1, W-2, W-3, W-4, W-5 and W-6).
21st Minesweeper Division (Minesweepers W-7, W-8, W-9, W-10, W-11 and W- 12).
1st Subchaser Division (Subchasers CH-1, CH-2 and CH-3). 11th Subchaser Division (Subchasers CH-7, CH-8 and CH-9).
51st Subchaser Division (Auxiliary Subchasers KYO MARU nº 12 (47659) and KYO MARU nº 13 (47660) and Auxiliary Netlayer TOKO MARU nº 1 GO (44855)).
52nd Subchaser Division (Auxiliary Subchasers SHONAN MARU nº 17 (47836) and TAKUNAN MARU nº 5 (43629) and Auxiliary Netlayer FUKUEY MARU nº 15 (46382)).
1st Gunboat Division (Auxiliary Gunboats KEIKO MARU (44743), MYOKEN MARU (45197), KANKO MARU (44751) and BUSHO MARU (T454)).
Auxiliary Minesweeper Tenders IKUSHIMA MARU (42624) (3,943 Tons) and KIMISHIMA MARU (44826) (5.193 Tons).
Auxiliary Transports MYOKO MARU (43740) (5,086 Tons) and HAKUSAN MARU (29444) (10, 380 Tons).
1st Naval Defense Force, 1st Naval Communications Force, 1st Navy Harbour Master's Office, 4 Signal Stations.
2nd Base Force:
11th Minesweeper Division (Minesweepers W-13, W-14, W-15 and W-16). 21st Subchaser Division (Subchasers CH-4, CH-5 and CH-6).
31st Subchaser Division (Subchasers CH-10, CH-11 and CH-12).
2nd Gunboat Division (Auxiliary Gunboats KONGOSAN MARU (47028) 83 , MANYO MARU (44235), KAMITSU MARU (43455), OKUYO MARU (44396) and TAIKO MARU (C2281)).
3rd Gunboat Division (Auxiliary Gunboats NAMPO MARU (46423), KISO MARU (37489), ASO MARU (37491) and KENZAN MARU (44838)84).
3rd Minesweeper Division (Auxiliary Minesweepers MISAGO MARU nº 1 (26856)85, MISAGO MARU nº 3 (27925), BANSHU MARU nº 51 (28261), BANSHU
MARU nº 52 (28262), YAWATA MARU86, HAKATA MARU nº 6 (28561)).
4th Minesweeper Division (Auxiliary Minesweeper HINODE MARU nº 17 (26440), HINODE MARU nº 18 (26443), CHIKUSHI MARU (27136), RANZAN
MARU (27512), TAMURA MARU (30530), RIKUZEN MARU (26702)).
Auxiliary Minelayers SHINKO MARU (40512) and NICHIYU MARU (45497).
Auxiliary Subchaser Netlayer SUMANOURA MARU (47051) and SEIAN MARU (K703).
Auxiliary Transports HAKOZAKI MARU (28858) (10, 413 Tons), KENRYU MARU (41073) (4, 575 TONS), IMIZU MARU (47041) (2, 924 Tons).
2nd Naval Defense Force, 2nd Naval Communications Force, 2nd Navy Harbour Master's Office, 3 Signal Stations.
80The MIKAZUKI and YUKAZE.
81These Destroyers belong to the Kamikaze class destroyers. Laid down between 1922 and 1923.
82These Destroyers belong to the Mutsuki class destroyers (improved from the Kamikaze class). Laid down between 1923 and 1925.
83Removed from the 2nd Gunboat Division on the 31st of July 1941 and incorporated in the Southern Fleet. (tokusetsukansen.jpn.org).
84Removed from the 3rd Gunboat Division on the 15th of May 1941 and from the Navy List on the 17th of June 1941. The data for the official number comes from: tokusetsukansen.jpn.org and Naval Data Base site (hush.gooside.com/Text/1K/14Ke/k19121kensa.html)
85On the original it’s the MISAGO MARU Nº 2 (28016), but she was never adapted to be an auxiliary minesweeper, but an Auxiliary Subchaser in 1943. The MISAGO MARU Nº 1 (26856) was an Auxiliary Minesweeper that was incorporated in the 3rd Minesweeper Division.
86The YAWATA MARU will be removed from the removed from the Navy List on the 25th of June of 1941.
The units listed above were previously part of the Combined Fleet or the China Area Fleet.
The 1st and 2nd Base Forces are mobile forces whose mission is to attack key areas or defend forward bases. Its formation consisted of miscellaneous units, but an overview of the equipment of the specially equipped ships was as follows:(69)
Auxiliary Subchaser: With 8 to 12 Depth Charger.
Auxiliary Netlayers and Subchaser submarine nets and some depth charges. Auxiliary Netlayer and Subchaser: About 150 mines and 12 Depth Charges. Auxiliary Gunboat: Several guns, about 12 Depth Charges.
Auxiliary Gunboat and Minelayers: Guns, about 120 mines, about 12 Depth Charges. Auxiliary Minesweepers, large and small Minesweepers, about 8 Depth Charges.
Specially built ships (6000 Tons class) with about 600 mines.
Vice Admiral Takahashi Ibo, who was appointed Commander of the 3rd Fleet, hoisted his flag on the Light Cruiser NAGARA, which was undergoing repairs at Maizuru, and ordered the units under his command to assemble at Saeki Bay, Oita Prefecture, in mid-May.
On the 1st of May, the 6th Submarine Squadron was further incorporated into the 3rd Fleet. The formation of the squadron was as follows: (66)
Flagship: Submarine Tender CHOGEI.
9th Submarine Division [Submarines I-123 and I-124]. 13th Submarine Division [Submarines I-121 and I-122].
The submarines are all mine-submarines with 42 mines and four torpedo tubes.
Rear Admiral Takahashi led the NAGARA to Saeki Bay on the 15th of May, where a large part of the fleet was assembled. After the Fleet's new formation and other events were completed there, the 3rd Fleet continued training in the Kyushu area until the beginning of June. On the 10th of June, Rear Admiral Takahashi led a large part of the fleet out of Sasebo, and on the 13th of June advanced to Wenzhou off southern China. The 5th Destroyer Squadron, which had previously been operating in South China, joined forces the following day. The 3rd Fleet came under the command of the China Area Fleet, and under the military classification name of " Straits Force", conducted training while being entrusted with blockading and guarding the continental coast from Wenzhou to Xiamen.
On the 1st of July, the Seaplane Carrier NOTORO was removed from the 12th Seaplane Tender Division and the Auxiliary Aircraft Transport FUJIKAWA MARU (45067) was incorporated in its place (66). In mid-July, the 5th Destroyer Squadron, the 12th Seaplane Tender Division and the 2nd Base Force came under the command of Vice Admiral Niimi of the 2nd China Expeditionary Fleet, and the 3rd Fleet moved south in the direction of the lower Pearl River (entrance to Canton) and Hainan Island to support the same operation. However, in mid-August, with the conclusion of the operation, the dispatched units returned and the 3rd Fleet began blockading the straits again. By this time, almost all the forces of the 3rd Fleet had been assembled.
The 3rd Fleet Commander and the various commanders were well aware that in the event of an emergency, the 3rd Fleet would be ordered to attack key areas in the Western Pacific. Although this had never been officially announced, the command was secretly absorbed in researching this, and the units were also gradually improving their skills, focusing mainly on training for escorting, attacking key areas and defending ports, rather than blockading the continent. (38)
On the 2nd of July 1941, in accordance with the decision on the " Outline of Imperial National Policy in Accordance with Changes in the Situation", as already mentioned, preparations were made to strengthen the war preparations in the north. To prepare for this war against the Soviet Union, the Army carried out a major reinforcement of the Kwantung Army and the Korean Army under the name of "Kwantung Army Special Exercise", while the Navy formed the 5th Fleet on 25 July to take charge of northern operations, as had been planned previously. Its strength was a small force based on 2 Light Cruisers87. (66)
Establishment of the Southern Fleet88 (Independent Fleet)
In late July, the Southern French Indochina invasion took place. On the 31st of July, the Navy General Staff acknowledged that the operation had been completed and ordered the operational units to be disbanded and each unit to rejoin its original units. On the same day, the South Expeditionary Fleet was newly formed and deployed to the Southern French Indochina area. Its formation was as follows: (66)
Training cruiser KASHII. Escort: SHIMUSHU.
Auxiliary Gunboat: KONGOSAN MARU (47028).
Auxiliary Minesweepers OTOWA MARU (27092) and RUMOI MARU (26708). 81st Naval Defense Unit.
81st Naval Communications Force.
87The 21st Cruiser Division with the Light Cruisers TAMA and KISO.
88Also known as Southern Expeditionary Fleet.
The fleet was commanded by Vice Admiral Noboru Hirata, and the staff included Captain Tomari Mitsuyoshi, who was engaged in Operation S and Operation FU as commander of the 22nd Destroyer Division of the 5th Destroyer Squadron, and Lieutenant Commander Yuji Hanaoka, staff officer of the 2nd China Fleet. On the 11th of August, Captain Ikeda Jin, Captain Chudo Kanei and Lieutenant Commander Sasaki Takanobu, who were engaged in local liaison negotiations for the Southern French Indochina Occupation as members of the Navy General Staff Dispatch Committee, were ordered to take on additional duties with the Southern Fleet Headquarters and continued to be in charge of these duties. (70)
The Southern Fleet was an independent fleet with independent surface forces on a par with the Combined Fleet and the China Area Fleet. However, at the time of its creation, its manpower was, as mentioned above, meagre. Its missions was assigned as follows:
Imperial Navy Order No. 290 (25), 31 July 1941.
1 The Southern Fleet is to prepare bases for operations in the Southern French Indochina area, maintain security, and to cooperate with the operations of the China Area Fleet.
2 The Chief of the General Staff shall give instructions on detailed instructions.
Vice Admiral Hirata hoisted the Vice Admiral's flag on the KASHII at Sasebo, departed there on the 4th of August and arrived at Saint-Jacques on the 11th of August, taking over the mission from Commander Niimi, of the 2nd China Fleet. (25)
The 81st Navy Defense Unit and the 81st Naval Communications Force, which had been on standby in the interior, embarked on the Auxiliary Transport HIYOSHI MARU (802) and advanced to Camranh Bay on 13 August. The Escort SHIMUSHU had been docked at Mako since the middle of Operation FU also left there on 15 August to join forces. Vice Admiral Hirata took control of the entire force, including other vessels in the Southern French Indochina operation. In addition, three land-attack aircraft of the 3rd Naval Air Group were incorporated into the Southward Fleet on 11 August. However, all the FU operational units, except for the Southern Expeditionary Fleet, reverted to their original units by mid-August.
Thereafter, as of the 21st of October 1941, the Southern Fleet was incorporated into the Combined Fleet. (66)
2 Full-scale war preparations
Order for rapid war preparations
In mid-August, the Combined Fleet was instructed to discontinue ongoing training and operations in China and to begin rapid preparations for war. In addition, on the 15th of August, a part of the 2nd phase of the work to prepare for the deployment of the fleet was also launched.
On the 15th of August, the Combined Fleet issued the following orders for the execution of preparations for war: (71)
Combined Fleet Telegraphic Order No. 38 (extract):
1 The Combined Fleet shall assemble its forces and quickly complete its preparations for battle and be ready for sudden changes.
2 The fleet shall complete preparations for battle by the end of September (September 20th for the 6th Fleet), and by the beginning of October, shall train the necessary forces to carry out operations, unless otherwise ordered by special order.
3. In addition to the war preparations and drills, those not specified by special order should be carried out in accordance with the following instructions.
A) The work required to be carried out before the ships' departure for war is based on the Secretariat Classified No. 18 and the schedule for the execution of maintenance work on ships of the United Fleet (author's note, data not available).
B) The first work for war preparation is to be carried out at the port of registration at the time of pre-deployment construction, and other work is to be carried out at the present stationing place.
C) Operational plans and required materials [This is limited to the Chief of the General Staff (Author's note: Captains, commanders, etc.)].
Operational plans shall be established and the necessary materials shall be requested from the Combined Fleet Headquarters.
D) Education and training shall be conducted to quickly train the required warfare skills according to the military units for the first stage of the operation.
Under this order, the 1st, 2nd, and 6th Fleets and the 1st Air Fleet, which were in training in the inland sea, returned to their home ports in late August to begin repairs, maintenance, and other war preparation work. The 11th Air Fleet and the 3rd Fleet, which were in operation in the South China Sea, discontinued their planned operations at the end of August and returned to their home units and home ports in early September to begin preparations.
Wartime formation announcement
On the 1st of September 1941, a comprehensive wartime formation was finally announced. The formation was close to the wartime formation at the outbreak of war, which should be inferred by the wartime formations listed on the Table 8. (66)
After the 15th of November 1940, 1 cruiser, 3 aircraft carriers, 3 coastal defence ships, 10 destroyers, 12 submarines and 8 other vessels were commissioned. As a result, as of the 20th of November 1941, the naval fleet consisted of 10 Battleships, 9 Aircraft Carriers, 38 Cruisers, 6 Seaplane and Submarine Tenders, 12 Minelayers and Coastal Defence Ships 89 , 110 destroyers, 64 submarines, 23 Submarine Chasers, 19 Minesweepers, 51 other ships, 42 Auxiliary ships. The total number of vessels was a total of 384 ships, 529,259 Tons. (However, 1 submarine was sunk in an accident90).
89A Coastal Defense Ship is an Escort Ship (Kaibokan).
90Submarine I-61 was lost in a collision in October 1941.
The number of Auxiliary ships commissioned and manned from merchant and fishing vessels was 125 ships and 189,849 tons on the 15th of November 1940. As a result of the subsequent requisitioning of a large number of vessels several times, the number of specially equipped vessels on the 20th of November 1941 amounted to 703 vessels and 1,365,349 tons. Of these, those incorporated into the 3rd Fleet numbered 44 ships and 153,577 tons, and those incorporated into the Southern Fleet numbered 10 ships and 17,569 tons.
The number of aircraft incorporated into the Combined Fleet at the beginning of the war reached a total of 1,461 (of which about a quarter were auxiliary aircraft), a near doubling of the 776 aircraft that had been incorporated on the 15th of November of the previous year (74). In addition, the air force was gradually upgraded with new aircraft types such as the Zero fighter (Type 96 - hereafter referred to as the Zero Fighter), Type 96 Land Base Attack, Type Zero Reconnaissance Aircraft (Type 94 Reconnaissance Seaplane) and Type Zero observation aircraft (Type 95 Reconnaissance Seaplane), so that the air force was dramatically increased in terms of both quantity and quality.
Many other units were newly established by the outbreak of war, such as the Base Force, Special Land Battle Force, Defence Force, Guard Force, Communications Force, Construction Group, Defence Group, etc.
Table nº 8 is a list of the major wartime formations of the Combined Fleet at the outbreak of war. (66)
Decrease in fleet strength due to major personnel changes
Large-scale personnel changes were carried out in connection with the implementation of the all-out war formation. In the diary of the Chief of Staff of the Combined Fleet, Rear Admiral Ugaki wrote that "most of the officer cadres and 20% of the enlisted men were reassigned, and 50% of the enlisted men were reassigned due to this". The actual number of officers was not so great, but the transfers continued until around mid-October. The Combined Fleet Headquarters judged that at least a month of intense training with the new formations would be necessary to restore the decrease in fleet strength caused by the personnel changes to a level that would not impede initial operations (28-58). However, as the various units and ships were in competition with each other for rapid preparations, and personnel changes were still continuing, it became clear that it would not be possible to complete preparations and training by the beginning of October as planned by the Navy General Staff and the Combined Fleet. As a result, by the time of the 'Kaidai Performance' in mid-September, there were already requests to postpone the approximate date of the outbreak of war, and by the end of September, the Navy General Staff had set the approximate date of the outbreak of war at around the 7th or the 8th of December (27-29). However, due in part to a decline in the quality of the war preparation work and crews, despite the frantic efforts of the various fleets, the war effort was only barely restored to a level of strength sufficient for initial operations at the outbreak of war. (29-58)
The direct cause of the need to carry out such a major change in personnel was the rapid increase in our naval forces as a result of the wartime formation. Our armed forces had a small number of key personnel. In peacetime, the size of the Combined Fleet (for example, four battleships, five heavy cruisers, six light cruisers, three aircraft carriers, 27 destroyers, 15 submarines, etc. in 1937) was small, so it was possible to assign excellent crews and maintain a high level of training through intensive training. However, a rapid increase in fleet strength naturally necessitated a change in personnel, with a large number of personnel being assigned to senior positions and a large number of inexperienced personnel being replaced. (29-49) This inevitably led to a decline in the skills of the crew and the strength of the fleet.
Furthermore, the following factors contributed to this large-scale transfer. In the autumn of 1939, Admiral Yamamoto requested that the crews of the fleet not be transferred for two years in order to maintain the high level of training of the Combined Fleet, and this proposal was adopted by the Ministry of the Navy. The proposal was adopted by the Ministry of the Navy, and the autumn of 1941 fell exactly in the second year of the transfer. This intention of Admiral Yamamoto unfortunately backfired.
As an example, the following is a list of key commanders and staff members involved in southern operations who arrived after the 15th of August (70):
2nd Fleet Headquarters - Commander, Chief of Staff, Air, Communications and Mines Staffs.
5th Cruiser Division - Commander, Chief of Staff.
2nd Destroyer Squadron - Commander, Chief of Staff. 3rd Destroyer Squadron – Commander.
4th Destroyer Squadron - Chief of Staff. 11th Air Squadron – Commander.
5th Submarine Squadron – Commander. 4th Carrier Division – Commander.
3rd Fleet - Chief of Air Staff.
12 Seaplane Tender Division - Chief of Staff. 6th Submarine Squadron – Commander.
11th Air Fleet - Commander, Air A and Air B Staffs. 21st Naval Air Flotilla - Commander, Chief of Staff. Southern Fleet - Commander, Gunnery and Air Staff.
An example of the younger generation of officers resulting from this transfer can be seen in the case of the Destroyer MURASAME (70). This allows us to infer how hard the destroyer captains had to work during operational activities. (The year and month are the dates of graduation from the Naval Academy):
Destroyer Captain - July 1923.
Old Chief Torpedo Officer - November 1932.
New Chief Torpedo Officer - March 1936. Old Chief Gunnery Officer - November 1931. New Chief Gunnery Officer - March 1937.
Old Chief Navigation Officer - March 1938.
New Chief Navigation Officer - September of the same year.
The naval vessels that had completed their war preparation work began to gather successively in the western part of the Inland Sea from around the end of September. On the 9th of October, on board the Battleship NAGATO, Admiral Yamamoto revealed to the Chief of the General Staff his determination to cope with the critical situation at hand and conveyed his opinion on war preparations, training and other matters. (75)
Instructions to all commanders on the occasion of the assembly of the Combined Fleet: The Combined Fleet Instruction nº 2
As we complete the preparation of the Combined Fleet and re-establish training in preparation for the outbreak of war, it is my greatest pleasure to be in close contact with the commanders of the fleets and their respective officers and men.
The situation the Empire finds itself in at the moment is truly unprecedented. The Empire has reached the point where it must use force against the United States, Britain, the Netherlands and several other countries in order to seek a way of self- preservation and self-defence.
In the autumn of 1941, the responsibility of our Combined Fleet is truly immense, and we must go to the enemy at the first opportunity, and defeat them with all our might, and leave the Empire safe in and in peace.
The road to victory is not easy, but we must first prepare for the inevitable victory, and if we do so, we must be prepared for the battle with a deep and deliberate plan, and if we do so with a single-minded determination and loyalty, then we will be able to do what we must do with courage and valour.
You are to be aware of the urgent situation and the immediate tasks at hand, and with a fiercely dedicated spirit, you are to strive to quickly improve your forces and equipment, and to achieve the mission of the Combined Fleet, whether by life or by death.
Chief of Staff of the Combined Fleet (excerpt) 3 Training:
During the Second Sino-Japanese War, some units fought to the death, but in general, naval operations were not so serious as to be called war.
The future operations faced by the Combined Fleet are not as serious as this, but in the face of a numerical enemy and the necessity to push through a quite impossible operation, all units are fighting to the death, and this must be repeated in every part of the fleet.
In the unlikely event that the officers of the Imperial Navy are not aware of the current situation and are of the mindset that they should not fight to the death or underestimate future battles, they will be forced to repent to their errors and avoid mortal combat. Therefore, I hope that you will train with this determination and northern spirit and strive to acquire a sufficient conviction of victory.
I would also like to say a few words about training:
A) Training and establishment of basic forces
In the present situation, where the war potential has been reduced due to major changes in personnel, it is of the utmost importance that the basic war potential of each ship and squadron be trained and established first, and that every effort be made to train and establish this without interruption during anchoring and voyages.
B) Sustained display of strong fighting power
Combat is like a fist fight, and it is natural that both sides will suffer damage, but the one who can limit the damage sustained by the enemy and maintain a strong and sustained fighting spirit to the end will be the one who wins the victory, and the one who can demonstrate offensive power and also train to be able to defend against the enemy without regret.
C) The display of war potential depends to a great extent on the skill level of the various ranks of officers.
In addition to the training of junior officers, all commanders should strive to improve their skills in the ever-changing battlefield.
D) The initial operations of the war's opening stages are considered to be the most important operations that will dominate the entire war, and all units and ships should make every effort to study and practise them so that they will be able to complete the operations without regret.
E) In the months following the outbreak of war, there will be many opportunities for units and vessels to operate and fight independently, but the conventional training of the Combined Fleet emphasizes training before and after difficult fleet battles. Study the measures to cope with the various situations that may arise at the time of the battle, and complete the training during special training periods, etc.
F) In training before and after a decisive battle, each unit will not have the opportunity to practice after the deployment of its strategy in the first phase of the war, so it is necessary to become familiar with the battle plans of the Combined Fleet and each unit, and to reach a uniform level of proficiency in the use of the art of war, diagrams, and actual military command. In the short time to the north, extraordinary efforts will be required to fulfil these demands, and every squadron and ship will do its utmost to maximise the effectiveness of anchoring and navigational training, and to provide guidance in planning.
4 Others:
A)Personnel, as well as boats and weapons, are important elements of the war effort, and as there is no surplus at present, any damage or loss of these items cannot be easily repaired or replaced and would have a direct impact on operations. In the event of an accident, however, we must take all possible measures to prevent any serious consequences.
B) If the training is too intense, crew members may not get enough sleep, but if this continues, the training will not be effective and may be detrimental to their health and cause accidents.
The fleets gathered in the western part of the Inland Sea and began intense training, which they called "special training", but due to the construction capacity of the arsenals and other factors, the maintenance work did not go as smoothly as it should have, and comprehensive training, such as squadron and fleet training with all the forces, could not be carried out to the satisfaction of the units. In particular, some of the armament construction work on specially built ships was only finally completed in time for the deployment of forces, and the war started with almost no training.




3 Launch of preparatory actions for the outbreak of war
Announcement of deployment
The Combined Fleet announced the classified Combined Fleet Order No. 1 and ordered the "First Preparation for War" (76) on the 7th of November. In accordance with the order, the Combined Fleet was to be divided into military units based on the first stage of the first phase of operations, and each unit was to prepare for battle and then advance to a standby position prior to the start of operations in a timely manner as prescribed by each unit's commanding officer.
After completing the Tokyo Agreement, the Combined Fleet Headquarters held the last operational meeting of the Combined Fleet at Iwakuni Air Station from 0900 to 1500 on 13 November. At this meeting, the Commander of the Combined Fleet, Chief of Staff of the
Combined Fleet and Chief of Staff of each fleet except the Southern Fleet attended (58). Prior to the meeting, Commander of the Combined Fleet Admiral Yamamoto gave a moving instruction expressing his determination to face the war as supreme commander, followed by a speech by Chief of Staff of the Combined Fleet Rear Admiral Ugaki (29), but unfortunately these documents are not available today.
At this meeting, Admiral Yamamoto reminded them that the surprise attack on Hawaii was the top priority and that even just before the war started they might be ordered to turn back, in which case they should do everything in their power to turn back. (29)
The fleets had a thorough operational discussion with each other, and at the end of the meeting, all those present raised a glass to congratulate each other on a good fight, a commemorative photograph was taken, and the Commander of the Combined Fleet and the Chief of Staff of the Combined Fleet acknowledged this meeting with a collective letter. (32)
The Combined Fleet Headquarters was located in the flagship, the Battleship NAGATO anchored at Hashirajima in the western part of the Inland Sea and was in close contact with the Central Government (a telephone line was available between the Battleship NAGATO and Tokyo, and the transmitter of the land-based communication unit could be controlled from a distance in the Battleship NAGATO) and was in charge of operational guidance while keeping a close watch on the international situation.
On the 20th, Captain Tomioka, head of the 1st Section of the Navy General Staff arrived at the Battleship NAGATO accompanied by the Commander Shigenori Kami, also from the 1st Section, and informed the Combined Fleet Headquarters of the following orders and instructions from the Chief of the General Staff, informed of the situation of negotiations between Japan and the US and the atmosphere in the Central Command and discussed the measures to be taken in situations expected to arise in the implementation of the operation. (58)
On the 21st of November, the Chief of the General Staff transmitted the following Naval Order nº 5 and directed Naval Instruction nº 7: (59-60)
Naval Order nº 5:
1 The Commander of the Combined Fleet is to launch units necessary for the execution of naval operations in a timely manner.
2. The Commander of the Combined Fleet may use force for self-defence in the event of a challenge from the United States, the United Kingdom or the Netherlands during preparatory operations.
3. The Chief of the General Staff shall give instructions on detailed matters.
Naval Instruction nº 7
1 The Commander of the Combined Fleet shall deploy the required units to the operational area, and the extra units shall act in accordance with their deployment at the beginning of the war.
2. The use of force in accordance with the Naval Order Nº 5 shall be limited to cases where the naval forces of the United States, Britain and the Netherlands have invaded our territorial waters and conducted reconnaissance operations, or where they are in proximity to our territorial waters and their actions are deemed to endanger us, or where they have taken aggressive action outside our territorial waters in a manner that has endangered us.
Based on the above, the Commander of the Combined Fleet immediately issued the following orders (77)
Combined Fleet Order nº 5:
On the 21st of November at 0000 (author's note: zero hour), prepare for the start of the 2nd phase for the start of the war.
With this order, in accordance with classified Combined Fleet Order nº 1, each unit was to advance to the required operational area in a timely manner as prescribed by the commander-in-chief.
Change of Forces in response with the increase in the enemy's strength
The reinforcement of US and British forces in the Philippines and Malaya was subsequently accelerated, and in late November the following information came in one after another. (78- 79):
Philippine Islands Sector:
21st of November: The US Asiatic Fleet receives an increase in submarines from Home, bringing the total number of submarines to about 25.
24th of November: US Marines and two gunboats from Shanghai begin to pull back to the Philippine Islands.
28th of November: The 6th Fleet flagship KATORI, advancing from Yokosuka to Truk, spotted 1 BROOKLYN type cruiser and 5 transports moving westwards at 160 nautical miles east of 1700 Saipan91.
Malayan Sector
24th of November: The new British Battleship HMS PRINCE OF WALES arrived at Cape Town on the 15th of November and departed for the Indian Ocean area on the 18th of November.
26th of November: A number of foreign merchant vessels sailed near Samah, Hainan Island, and are suspected of gathering information.
28th of November: It is certain that the British battleships HMS KING GEORGE V, HMS REVENGE and HMS RENOWN are in action in the Indian Ocean, and it is probable that HMS REPULSE is also in the Indian Ocean. According to one source, HMS PRINCE OF WALES will enter in Singapore.
1st of December : British authorities order merchant vessels in the South China Sea to immediately enter Hong Kong or Bangkok.
2nd of December: HMS PRINCE OF WALES entered Colombo on the 28th of November and departed there the following day for Singapore.
Earlier, it was known that there was a powerful fleet in the Indian Ocean area, including battleships, and there was constant information that the British Eastern Fleet was to be reinforced. Therefore, the Combined Fleet changed its original plan and took measures to incorporate the 2nd Section of the 3rd Battleship Division (Battleships KONGO and HARUNA) into the Southern Force92.
91Probably the USS BOISE that was escorting a convoy to Manila from Pearl Harbour, arriving on the 4th of December.
92This Southern Force (Main Body) is a support force made of the battleships, Cruisers, Destroyers and Submarines, commanded by Vice Admiral Kondo with the mission of support the Philippines and Malayan Operations. It’s not the Southern Fleet. See Table 8.
Furthermore, the information conveyed to the British Eastern Fleet was increasing the likelihood of an increase in the British Eastern Fleet's strength. It was certain that there was a powerful fleet in the Indian Ocean, based on a number of battleships, and it would be easy for this fleet to advance to Malaya. In addition, judging from the traditional spirit of the Royal Navy, it was judged that the Royal Navy would be more likely to advance to Malaya, where the situation was becoming more tense, to deal with the advance of our forces, than to let these powerful forces stand idly by in the Indian Ocean. Moreover, it was certain that the new Battleship HMS PRINCE OF WALES had moved into the Indian Ocean.
The Commander of the Southern Force informed the Combined Fleet that on 28 November, a submarine squadron of the Southern Force was transferred to the Malayan area, and that a squadron based on 2 battleships, which was detached to the east of the Philippines, was to be combined with the main Southern Force and deployed to the French Indochina area (77). In response to these British battleships, the Combined Fleet announced that 27 land based attack aircraft, which had the best torpedo training among the air forces in the Philippine area, were to be incorporated into the Malaya Seizure Force. There was a strong opinion within the Navy General Staff and the Combined Fleet that we should reinforce our battleships to counter this action but Admiral Yamamoto was against. At the time, our battleships in this area, the KONGO and the HARUNA, were old Battlecruisers, and their offensive and defence capabilities were far inferior to those of the British HMS PRINCE OF WALES class. However, Admiral Yamamoto said, "When the enemy is a battleship, we can't be so extravagant as to use battleships in the game of chess against the US and Britain. We have to think about eating the king with a pawn. I think that a daring attack by the torpedo aircraft force will be enough to finish them off” and dismissed this opinion of reinforcing the battleships (10). This was an indication of Admiral Yamamoto's confidence in the air offensive. He may have also judged that even if our battleships were deployed, they would be operating within the power range of enemy aircraft due to their strategic posture and would have little chance of capturing the enemy fleet.
The Southern Force Commander, believing that the HMS PRINCE OF WALES was certain to appear in the Singapore area, ordered the incorporation of the KANOYA Naval Air Group (lacking half its strength) into the Malaya Seizure Force on the 2nd of December, and ordered it to move rapidly to Southern French Indochina. (80)
4 Operational planning and preparation of the Southern Force
This section describes the operational plans of the Commander of the Southern Force, the operational preparations of the various units up to the start of deployment, and the advance of the Main Body of Southern Force. The operational plans, Army and Navy agreements and deployment status of the Philippine Seizure Force and the Malaya Seizure Force and other units will be described in the Philippine Operation and Malaya Operation sections, respectively.
Allied Force Assessment
From around the middle of 1941, information on the reinforcement of US, British and Dutch troops in the southern territories continued. The judgment of the Allied Fleet's forces at the time of the 'Kaidai Performance' in mid-September has already been described. In addition, at the time when the Combined Fleet Order nº 1 was issued in early November, the Combined Fleet judged the Allied forces in the south as follows: (81)
Philippines Islands Sector:
Naval Forces: 2 Heavy Cruisers (USS HOUSTON, USS CHESTER), 1 Light Cruiser (USS MARBLEHEAD), 4 Seaplane Tender/Carriers (USS LANGLEY, USS CHILD, USS PRESTON, USS HERON), 14 Destroyers, 17 Submarines, 1 Destroyer Tender, 1 Submarine Tender, 7 River Gunboats.
Air forces: 104 Fighters, 22 Bombers, others about 230 in total Ground forces: 42,000 US troops, 4,400 Philippine standing troops
Malayan Sector:
Naval Forces: Main Force based on 5 or 6 Light Cruisers, 5 or 6 Destroyers, 4 Battleships (HMS KING GEORGE V, HMS REVENGE, HMS REPULSE and HMS RENOWN) and 5 or 6 Heavy Cruisers are in action in the Indian Ocean area, with 3 destroyers in Hong Kong.
Air forces: 64 fighters, 122 attack aircraft, 11 flying boats, 120 others, Around
320 in total.
Ground forces: 12,000 British troops, 24,000 Australian and New Zealand troops, 30,000 Malay and Indian troops, 68,000 in total.
Dutch East Indies Area
Naval Forces: 5 Light Cruisers, 8 Destroyers, 19 Submarines
Air forces: 130 fighters, 30 bombers, 91 flying boats and seaplanes, 36 others,
total approx. 20093
Land forces: approx. 85,000
93It was kept the number in the original, but the numbers do change a lot depending on the source: Niehorster.org gives a number of closer to 326 (Army, Navy and Reserves) for the 12th od December 1941.
A comparison of the main forces of the allied naval and air forces (excluding those in the Indian Ocean) with those in our Southern Campaign naval and air forces is in Table 9.

Our surface forces were overwhelmingly superior to the Allied forces but had fewer submarines. In terms of aircraft, the Allied forces included training aircraft, so our forces had nearly twice the number of front-line aircraft. Also, in the initial stages of the war, our forces were divided into two groups, in the Philippines and Malaya, but the Dutch East Indies forces also needed to reserve the necessary forces for the defence of the Dutch East Indies islands, so they could not direct all their forces to the Philippines and Malaya, and it was assumed that our superiority in the Philippines and Malaya would be further increased. However, while our forces were all that could be used in the southern campaign, the Allied Forces were in the process of being continuously reinforced, and in particular, the powerful British fleet in action in the Indian Ocean was ready to be dispatched immediately to the Malayan area.
Operational Plan
On the 13th of November, following the Combined Fleet operations meeting at the Iwakuni Air Base, the Southern Force Commander94 also held a meeting on southern operations. The Southern Commander had been working on the operational plan in liaison with the Combined Fleet, and after the agreement with the Southern Force was completed, the operational plan was finally completed and issued on the 15th of November with the classified Southern Force Order nº 1. This order was distributed to all units at the operational meeting. The summary of the order concerning the Philippine and Malaya Operations is as follows:
94Vice Admiral Kondo.
Southern Force Order nº 1 (81) (Summary) (see attached chart nº 1)
1 The Southern Force, in cooperation with the Army, will promptly destroy the US, British and Dutch naval vessels and aircraft in the Far East, overthrow their bases in the Philippines, British Malaya, Burma and Dutch East Indies, and capture key areas in the same areas to be ready to intercept the US fleet and other incoming attacks.
2 Operational Policy
A) In cooperation with the Southern Army, first destroy enemy forces in the direction of the Philippines, British Malaya and British Borneo, and then advance from the southern part of the Philippines and Malaya to the Dutch East Indies and occupy it.
B) The operation is generally divided into the following three phases:
First Phase: From the preparation for the first opening of the war to around X+20 days (landing of the main army forces in the attack on the Philippines).
Second phase: from around X+40 days (landing of the main army forces in the Malay Archipelago)
Third phase: Until the end of the Southern Campaign
C)The start of the Southern Campaign is based on pre-emptive air raids against the Pacific Islands and Malaya, and a part of the Southern Army's rapid assault landings in southern Thailand (including northern British Malaya, depending on the situation).
3 Operational Instructions
A) Philippine Islands Operations
1) Conduct pre-emptive air raids with the 11th Air Fleet and the Army 5th Air Division and commence submarine warfare.
2) Air bases are to be promptly acquired in the northern (Vigan or Laoag and Aparri), central (Legazpi) and southern (Davao) parts of the Philippines, and the main force of the 14th Army is to be brought under air power to the Lingayen Gulf and to Lamon Bay. Manila is to be invaded.
B) British Malaya and Borneo Operations
1) After midnight on the X Day, a part of the 25th Army shall be rapidly landed in the south of the country (Ban Dong, Nakhon, Singora, Pattani, etc.) and, depending on the situation, in Kota Bharu, and an air base shall be acquired in the same area.
2) In support of the landings, air warfare against Malaya will commence from the southern French Indochina airbases with the Army 3rd Air Division and the 22nd Naval Air Flotilla. In conjunction with the occupation and maintenance of the air bases, the Army 3rd Air Division will mainly advance to these bases to reinforce the air warfare.
3) Against the British fleet counter-attacking northwards from the Singapore area, it will use minelaying warfare and submarine warfare to detain and attack the fleet, while naval air and surface forces will work together to intercept and destroy it.
4) After the landing of the main force of the 14th Army on the Philippines, in accordance with the progress of air and sea operations, the main force of the 25th Army will be landed in Southern Thailand to extend the war results of the advance corps, and when the opportunity arises, some troops will be landed on the southern coast of the Malaya Peninsula to capture Singapore.
5) As soon as possible after the outbreak of war, escort the British Borneo invasion force, first to Miri and then to Kuching, and rapidly
establish an air base and advance part of the naval air force to strengthen air operations against British Malaya and Dutch East Indies.
C) Destruction of communications
As soon as circumstances permit, submarines will be used to cut the submarine cable from Java to Malaya, Australia and Cocos Island (about 600 nautical miles southwest of the western tip of Java).
D) Area of operations in the final phase of the Southern Operations and subsequent operations
The area of attack in the final phase of the Southern Campaign shall be the US, British and Dutch positions enclosed by a line extending from western New Guinea in the east, through the Dutch East Indies Islands to Burma in the west. After the occupation, front-line bases will be established on each of these outer island lines, mine barriers will be set up on the Arafura Sea and other approaches in the vicinity of Australia, in the Malacca Strait, and in parts of the Dutch East Indies, and some submarines will be sent towards Australia and India to reconnoitre and attack enemy forces, destroy sea traffic lines and, as appropriate, carry out attacks in the north-west of Australia and Port Darwin and defend the occupied areas by these means.
4 Operational Force: (See Table 10)
As mentioned earlier, towards the end of November, the probability of the appearance of British battleships at Singapore increased, so Vice Admiral Kondo, Commander of all of the Southern forces made the following changes to his forces:
Southern Force, Order nº 10, issued at 1000 on the 28th of November:
1 Excluding the 5th Submarine Squadron, the Commander of the 6th Submarine Squadron is to be designated as the Commander of all the Submarine Force of the Southern Force, with the exception of the 5th Submarine Squadron.95
2 By special order, the 5th Submarine Squadron is to be incorporated into the Malaya Seizure Force.
3 The Eastern Support Group of the Main Force of the Southern Force will be joined with the Main Body at the beginning of the operation.96
95With the removal of the 5th Submarine Squadron from the Submarine force of the Southern Force, only Rear Admiral Kono with the 6th Submarine Squadron remained.
96See table 10.
Southern Force, Order nº 11, issued at 1800 on the 28th of November
1 Destroyer Division from the 2nd or 4th Destroyer Squadrons (to be designated by the commander of the Philippine Seizure Force) is to be incorporated into the Main Body of the Southern Force, by the 2nd of December when the Philippine Seizure Force is expected to arrive at Mako
The Destroyer Division designated was the 8th from the 2nd Destroyer Squadron. Then, on 2 December, Vice Admiral Kondo issued the following changes to forces: (77)
2 Heavy Cruiser MAYA of the 4th Cruiser Division of the Main Body of the Southern Force was incorporated into the Philippine Seizure Force.
As a result of the above changes, 27 Land based Attack Aircraft, 1 Submarine Squadron (1 Light Cruiser, 1 Auxiliary Submarine Tender and 3 Submarine Divisions), 1 Battleship and 4 destroyers were to be transferred from the Philippine Sector to the Malaya Sector.97
Operational readiness
The status of operational readiness of the units incorporated into the Southern Force up to around the time of the start of deployment is as follows:
1 Forces incorporated from the 1st and 2nd Fleets98 (82)
1st Fleet:
3rd Battleship Division, 2nd Section: Battleships KONGO and HARUNA. 6th Destroyer Division of the 1st Destroyer Squadron (4 Destroyers) . 3rd Destroyer Squadron (1 Light Cruiser and 14 Destroyers).
2nd Fleet99
4th Cruiser Division (4 Heavy Cruisers).
5th Cruiser Division (3 Heavy Cruisers). 7th Cruiser Division (4 Heavy Cruisers).
2nd Destroyer Squadron (1 Light Cruiser and 12 Destroyers). 4th Destroyer Squadron (1 Light Cruiser and 16 Destroyers).
97On the original 6 destroyers are transferred to the Main Body of the Southern Force in the Malaya Sector, but the 8th Destroyer Division only has 4 destroyers.
The Heavy Cruiser MAYA at 1000 on the 28th of November was transferred from the Eastern Support Group to the Main Body of the Southern Force and then on the same day at 1800 was again transferred to the Philippine Seizure Force.
On the original 4 submarines were transferred but the 5th Submarine Squadron had total of 6 submarines on 3 divisions. The Auxiliary Submarine Tender is the RIO DE JANEIRO MARU (35928) (also known as RIO MARU).
98For a better understanding of each unit see Table 10
99The 2nd Fleet was almost all present with the exception of the 18th Destroyer Division of the 2nd Destroyer Squadron and the 8th Cruiser Division. These units were assigned to the escort of the Kido Butai of the 1st Air Fleet, on the Hawaiian Operation.
As already mentioned, these units had finished assembling at large in the western part of the Inland Sea by early October and began frantic training to recover the skill levels of their crews, which had declined due to personnel transfers and other reasons.
When the first preparations for the outbreak of war were issued, Vice Admiral Kondo ordered each of the units incorporated into the Southern Force to assemble in Takashima Bay (off Iwamoto and Hashima island) and departed Ariake Bay on the 7th of November with the Main Force at the head of the of the 4th Cruiser Division, on board the flagship Heavy Cruiser ATAGO, entering port off Hashirajima on the 12th after passing by Sukumo Bay. Others arrived there the following day. Most of the units of the 1st and 2nd Fleets also arrived off Hashirajima or Iwakuni around the 12th or 13th of November. For four days from the 13th of November, at Iwakuni Air Base, the Army-Navy Agreement on the Philippines and Malaya Operations and the operational meetings of the Combined Fleet and the Southern Force Command were held. After that, all units turned to Kure to prepare for battle.
2 Forces incorporated from the 3rd Fleet (66-82)
The 3rd Fleet, which had been operating in the Taiwan Strait, returned to Sasebo at the beginning of September and hastened preparations for war. The fleet was further reorganised as follows:
A) Auxiliary Minelayer TATSUMIYA MARU (44853) was incorporated into the 17th Minelayer Division and the Auxiliary Minelayer TATSUHARU MARU (45329) into the 2nd Base Force (20th of September).
B) Heavy cruiser ASHIGARA was incorporated into the 16th Cruiser Division (1st of October).
C) Auxiliary Gunboat OKUYO MARU (44396) is incorporated into the 2nd Gunboat Division, 2nd Base Force (1st of October).
D) Auxiliary Seaplane Carrier SANYO MARU (36117) is incorporated into the 12th Seaplane Tender Division, and the Auxiliary Aircraft Transport FUJIKAWA MARU (45067) is transferred to the 11th Air Fleet (15th of October).
E) The 54th Subchaser Division with the Auxiliary Subchasers SHONAN MARU nº 1 (45072), SHONAN MARU nº 2 (45073) and the Auxiliary Netlayer NAGARA MARU (46820), was established and incorporated into the 2nd Base Force, and the Auxiliary Transport Ship KUMAGAWA MARU (38753)100 was transferred to the 1st Base Force (15th of October).
100Also known AS TAMAGAWA MARU.
In addition, the 3rd Fleet had undergone some reorganisation since its establishment.
Most of the 3rd Fleet assembled at Tachibana Bay (north of Shimabara Peninsula) in Nagasaki Prefecture in early October and continued training in western and northern Kyushu thereafter. On the 28th of October, the flagship of the fleet was changed from the Light Cruiser NAGARA to the Heavy Cruiser ASHIGARA.
When the first preparations for war were issued on the 7th of November, Vice Admiral Takahashi, who was in Hakata Bay at the time, left Hakata Bay on the 10th of November with the 16th Cruiser Division and entered port off Iwakuni in the evening the following day.
3 The 11th Air Fleet:
The main force of the 11th Air Fleet, which had been operating in China, was relieved of command by the Commander of the China Area Fleet on the 1st of September and immediately returned to the inland sea area as follows:
11th Air Fleet Command Headquarters departed China from Hankou on the 1st of September and arrived at Kanoya Air Base on the 2nd of September.
KANOYA Naval Air Group departed China from Hankou on the 2nd of September and arrived Kanoya Air Base on the same day.
1st Naval Air Group departed China from Hankou on the 1st of September and arrived at Kanoya Air Base on the same day.
22nd Naval Air Flotilla Headquarters Departed Xiaogan (near Hankou) on the 1st of September and arrived at Genzan Naval Air Base on the same day.
GENZAN Naval Air Group departed Xiaogan on the 1st of September, arriving at Genzan Naval Air Base on the same day.
MIHORO Naval Air Group departed Hankou at the beginning of September and arrived at Tateyama Naval Air Base.
23rd Naval Air Flotilla Headquarters departed Hanoi on the 1st of September, arriving at Takao Naval Air Base on the same day.
TAKAO Naval Air Group departed from Shiro at the beginning of September and arrived in Takao.
3rd Naval Air Group departed Hanoi on the 1st of September and arrived at Takao the same day.
The 21st Naval Air Flotilla, which had been under the direct command of the 11th Air Fleet Commander, was relieved of its direct command on the 1st of September and Rear Admiral Takeo Tada was appointed to the post of Assistant Commander (70). Also, on the 10th of September, Vice Admiral Tsukahara was appointed Commander of the 11th Air Fleet (70)
The 11th Air Fleet participated in various demonstrations to promote operational planning, training guidance and the advancement of war preparations. Training mainly focused on the following items: (83)
1 Fighter Squadron
A) Long-range difficult advance
B) Formation air combat
C) Ground fire
D) Coordinated advance with land attack units launching at night.
2 Land offensive units
A) Group training of new (set) of large formations
B) Improvement of torpedo bombing techniques
C) Night formation training 3 Observation Units
Day and night long-range offshore search-and-rescue
On the 21st of October, Fleet Headquarters advanced from the Kanoya Naval Air Base to the Takao Naval Air Base to continue training guidance and war preparation, as well as planning and guidance for attacks in the South China area, weather reconnaissance in the Philippines Island area and intelligence gathering in the Philippines Island area, as follows.
1 Attack on South China Sea: (84)
The objective of this operation was to prevent air reconnaissance and attacks on our air bases in Taiwan and Hainan Island from the interior of southern China, and to carry out reconnaissance and, if necessary, attacks on these bases from time to time, with the hope of creating a diversionary effect against operations to the south. The operation was carried out from the beginning of November until 14 November by each of the land attack units, with the exception of the KANOYA Naval Air Group.
2 Weather reconnaissance in the Philippines Island area:
From the 29th of October to the 27th of November, the 3rd Naval Air Group Land-based Reconnaissance Unit conducted weather reconnaissance in the Luzon Strait and waters around Luzon Island on nine occasions.
3 Intelligence gathering in the direction of the Philippines:
The operational readiness of the various units was as follows: 21st Naval Air Flotilla:
On the 1st of September, the KANOYA Naval Air Group's aircraft rating (supplemental) was changed to 54 (18) land attack planes. The Group continued its training at Kanoya with a new type of aircraft. (86)
On the 1st of September, the 1st Naval Air Group also changed its aircraft numbers to 36 (12) Type 96 land-attack aircraft. The squadron carried out personnel and equipment maintenance and training in Kanoya Naval Air Base, and on 24th of October, about 40 mainstay aircraft advanced to Haikou on Hainan Island. After conducting the aforementioned Hainan area operations from a base there, the squadron moved to Tainan on 18th of November. (46-84)
All aircraft assigned to the TOKO Naval Air Group from the 6th of August, conducted mobile training in Sasebo, Ibusuki (Kagoshima Prefecture) and Yokohama in mid-upper September, as well as training in the home base. On 25 September, Captain Miura was appointed to the post of Commander. On the 8th and 9th of November, the squadron's main planes advanced to Palau, where Auxiliary Coaler SOYO MARU (36351) and Auxiliary Aircraft Transport KATSURAGI MARU (35218) transported base personnel and equipment. (86)
From the 6th to the 8th of November, the command advanced to Haikou to guide the 1st Naval Air Group's operations, remaining in Kanoya Naval Air Base thereafter. (46-87)
22nd Naval Air Flotilla:
Headquarters, which had been at Yuanshan since September, left Yuanshan on the 31st of October and advanced to Sanya on 2nd of November via Takao. (89)
On the 1st of September, the GENZAN Naval Air Group's aircraft numbers were changed to 36 (12) Type 96 Land Based Attack Aircraft (66). On the 1st of October, a new commander, Commander Maeda Takanari, was appointed (70). After continuing training at Genzan Naval Air Base, Kanoya and other locations, the unit left Genzan on the 31st of October and advanced to Sanya the following day. Some of the unit advanced to Saigon on the 8th of November. (90-91)
Like the GENZAN Naval Air Group, the MIHORO Naval Air Group also had its aircraft numbers revised (66). The unit conducted personnel and equipment maintenance and training at Tateyama Naval Air Base, then advanced to Taichung, Taiwan, on 9th of October and further advanced to Saigon on 23rd of November. (92)
23rd Naval Air Flotilla:
On the 1st of September, the TAKAO Naval Air Group's aircraft numbers were changed to 54 (18) Type 1 Land Based Attack Aircraft (74). The naval group already changed to the Type 1 Land Attack in the spring of the same year, and since the TAKAO Naval Air Group was assigned to the Philippine Operation, its preparations were better than those of other Naval Groups.
In the 3rd Naval Air Group, the Land Based Attack Squadron was completely abolished on the 1st of September, and the new numbers of fighters 54 (18) and reconnaissance aircraft 9 (3) were established. The new equipment and personnel were collected from those previously assigned to the various air units and supplemented as required. The Naval Air Group received equipment and personnel at Kanoya Naval Air base, and after maintenance, some of them trained at Kanoya, but the main force moved to Takao from mid-October.
On the 1st of October, the TAINAN Naval Air Group was newly formed. Its strength was the same as that of the 3rd Naval Air Group. Since its formation, the unit has been rapidly preparing for battle in Tainan.
With the formation of the new Naval Air Group, the 23rd Naval Air Flotilla was now in charge of all the fighters of the 11th Air Fleet, and its main training focus was on air destruction in the initial stages of the war. According to the plan of the Combined Fleet, the aircraft carriers RYUJO, ZUIHO and KASUGA MARU conducted landing and take-off training of the Naval Air Group's fighters in late October 101 , but due to the aforementioned circumstances, the training was changed to direct attack from Taiwan, and from then on the Naval Air Group trained for the combined attack operation of war and bombing from Taiwan bases. (47)
4 Southern Fleet:
The Southern Fleet was incorporated into the Combined Fleet on the 21st of October (66). Vice Admiral Ozawa Jisaburo, who was appointed Commander of the Southern Fleet on the 18th of October, took over its command from Vice Admiral Hirata on the 24th of October. (70)
The following units were incorporated into the Southern Fleet: (66-70)
A) 9th Base Force (newly incorporated on the 31st of October): Commander: Rear Admiral Kumeichi Hiraoka.102
Minelayer / Netlayer HATSUTAKA (Transferred from 1st Base Force).
1st Minesweeper Division (6 minesweepers, transferred from the 2nd Base Force).
11th Subchaser Division (3 Subchasers, transferred from the 2nd Base Force).
Auxiliary Seaplane Carrier SAGARA MARU (47837) (7, 189 tons,
8 reconnaissance seaplanes).
Auxiliary Minelayer Tender EIKO MARU (44035).
Auxiliary Gunboat Minelayer CHOSA MARU (28075). Auxiliary Transport NOJIMA MARU (40112) (7, 189 tons).
91st Subchaser Division (Auxiliary Subchasers SHONAN MARU nº 7 (45143) and SHONAN MARU nº 12 (46257), Auxiliary Net Layer / Subchaser CHOKO MARU (46915)).
91st Naval Defense Force and 91st Naval Communications Force.
B) 11th Special Base Force (formed on the 20th of November): Commander: Vice Admiral Takamoto.
Navy Defense Unit.103
Auxiliary Gunboat Minelayer EIFUKU MARU (45694). 81st Naval Communications Force.
101The Aircraft Carrier ZUIHO arrives at Takao on the 14th of October and remains there until the 3rd of November. The Aircraft Carrier RYUJO only departs from the Inland Sea for Takao on the 22nd of October and by the beginning of November is also returning for Kure. The Aircraft Carrier KASUGA MARU departs Sasebo for Takao on the 24th and arrives on the 26th. Departs Takao on the 7th back to Sasebo. (combinedfleet.com)
10239th Class
103On the original this unit is not identified but probably it’s the 81st Navy Defense Unit.
The 9th Base Force was a mobile base force that moved to the front line as operations progressed, while the 11th Special Base Force was responsible for security at Saigon and Camranh Bay bases, the communications centre and liaison with the Army.
The 3rd Naval Air Group moved from Hanoi to Takao on the 1st of September. However, 3 land based attack aircraft commanded by Lieutenant Commander Mase Takeharu were ordered to be attached to the Southern Fleet and on the same day were dispatched to Saigon. These detached unit was engaged in intelligence gathering in the Malayan area until the 19th of October, after which it was reassigned back to its Naval Air Group. (93)
5 Units under the direct control of the Combined Fleet:
Among the units directly under the command of or attached to the Combined Fleet, the actions and preparations of the units scheduled to participate in the southern campaign were outlined as follows:
11th Seaplane Tender Division (Seaplane Carriers MIZUHO and CHITOSE)
The Division, which carried out maintenance at its home port during September, resumed training in the western part of the Inland Sea from October, and again entered its home port on the 18th of November for war preparation work. (82-94)
4th Submarine Squadron (Light Cruiser KINU, 18th, 19th and 21st Submarine Divisions)
The squadron, which had been in training in the western part of the Inland Sea since mid-September, entered Kure on the 9th of October and began preparations for war. However, the 21st Submarine Division was undergoing specific repairs during this period and did not reach an operational state until the outbreak of war. (82-95)
5th Submarine Squadron (Light Cruiser YURA, 28th, 29th and 30th Submarine Divisions)
The squadron, with the exception of the 28th Submarine Division, carried out maintenance in their home port during September, resumed training from October, and returned to their home port in early November to carry out preparations for battle.
On the 2nd of October, at 2322, the Submarine I-61 of the 29th Submarine Division collided with the 2nd Base Force Auxiliary Gunboat KISO MARU (37489) at 251°, 7 nautical miles off the Kochiki Channel's Eboshi Island Lighthouse, and the submarine was sunk. This was the loss of a valuable submarine before the outbreak of war.
The 28th Submarine Division was incorporated into the 5th Submarine Squadron on the 15th of October. However, the Division was unable to act until the outbreak of war due to repairs. (82-96)
1st and 3rd Yokosuka SNLF:
Both units were the first paratroopers in the Navy.
The Navy General Staff, having noted the success of the German paratroopers on the European front, requested a study of paratroopers in November 1940, which was called the '1001 Experiment'.
The study was chaired by the Commander of the YOKOSUKA Naval Air Group and was carried out by personnel from the Naval Gunnery School, the Aviation Technology Laboratory and other departments. Until then, the Navy had no knowledge of paratroopers. Commander Tsunoda, Chief of Experimental Research of the Yokosuka Air Force, became the chief researcher, and research began from the very beginning. Research and experiments gradually progressed on paratroopers, modification of transport aircraft, descent techniques, improvement of weapons, ammunition and rations, carrying techniques, supply methods and ground combat techniques, and by June 1941, a reasonable result had been achieved. Research was discontinued at this stage.
In September, General Staff requested that 1,500 men be trained by the end of October. The number of experimental personnel had reached about 90 by June, and with these experimental personnel as the core, the 1st Yokosuka SNLF was formed on the 20th of September with Captain Toyoaki Horiuchi (Class nº 50) as its commander.
NB:
On the 15th of November 1940, the Yokosuka SNLF was newly formed and returned to Yokosuka after operating in Huazhong in April and May 1941. On the 20th of September, the newly formed 1st Yokosuka SNLF absorbed many of the personnel of the previous Yokosuka SNLF, but they were completely different.
The new 1st Yokosuka SNLF began training at the Tateyama Naval Air Base in late September and conducted its first armed group drop training at Kasumigaura on the 16th of November.
On the 20th of November, the 1st Yokosuka was bifurcated into two units, the 1st Yokosuka SNLF commanded by Captain Horiuchi and the 3rd Yokosuka SNLF commanded by Lieutenant Commander Koichi Fukumi (Class nº 52), both of which belonged to the 11th Air Fleet. Both formations had a capacity of 849 men, with a core of 750 men. Both squadrons were ordered to prepare to advance south immediately. (11-66)
2nd Yokosuka SNLF:
The 2nd Yokosuka SNLF, commanded by Commander Koichi Fukumi, consisted of 746 sailors and was newly formed on the 15th of October 1941. On the 20th of November, it was attached to the Combined Fleet and incorporated into the Southern Fleet and ordered to advance to Sanya.
1st Kure SNLF:
Newly formed on the 15th of November 1940 and returned to Kure after engaging in the Hainan Island Operation. On the 20th of November 1941, she was attached to the Combined Fleet and incorporated into the Third Fleet and ordered to advance to Palau. The formation was commanded by Commander Fujimura Masasuke and had a capacity of 1,401 men.
2nd Kure SNLF:
On the 15th of October 1941, it was newly formed with 1,401 personnel under Lieutenant Commander Makiuchi Tadao. Affiliation and actions were the same as those of the 1st Kure SNLF.
1st Sasebo SNLF
Newly formed on the 15th of November 1940 and returned to Sasebo after serving in the Hainan Island campaign. On the 20th of November 1941, it was attached to the Combined Fleet and incorporated into the 3rd Fleet and ordered to advance to Palau. At that time, the strength of the force was 1,622 men, including Commander Shiga Masanari.
2nd Sasebo SNLF:
On the 15th of October 1941, it was formed with 1,437 men under Commander Hashimoto Uroku, and at the same time was incorporated into the 3rd Fleet. Subsequent actions were the same as those of the 1st Sasebo SNLF.
Sasebo Combined SNLF:
On the 20th of November 1941, the Sasebo Combined SNLF (1st and 2nd Sasebo SNLFs) formed with a command staff of 192 men under the commanding officer, Captain Mori Kunizo. Accordingly, the strength of the Sasebo Combined SNLF was 3,251 men. (66-70)
Construction Groups:
The purpose of the Naval construction group was to set up air bases and other land-based facilities, with a fixed number of 10 engineers, technicians, civil servants, etc., 20 clerks, hired hands, etc., and 3,000 military personnel, and was organised as follows. (188)
The 1st Naval Construction Group was formed in Sasebo on the 5th of October, and was incorporated into the 3rd Fleet on the 20th of November, and ordered to prepare for the advance to Palau.
The 2nd Naval Construction Group was formed at Kure on the 20th of November and at the same time was incorporated into the 3rd Fleet and ordered to prepare for advance to Palau.
The 3rd Naval Construction Group was formed in Yokosuka on the 20th of November and at the same time was incorporated into the 3rd Fleet and ordered to prepare for the advance to Palau.
The 4th Naval Construction Group was formed in Yokosuka on the 20th of November and at the same time was incorporated into the Southern Fleet and ordered to advance to Sanya.
The 5th Naval Construction Group was formed in Kure on the 20th of November and at the same time was incorporated into the 3rd Fleet and ordered to prepare for the advance to Palau.
The 6th Naval Construction Group was formed in Sasebo on the 20th of November and at the same time was incorporated into the 3rd Fleet and ordered to prepare for the advance to Palau.
1st Defence Group and 2nd Defence Group:
The Defence Group is a unit tasked with preventing fire, destruction and emergency repairs to oil fields and other important facilities. In addition to a total of 285 personnel, including a captain, 12 junior officers, 265 enlisted men and five civilian officers, up to 5 hired men and 50 engineers may be assigned to the Defence Groups if necessary.
The 1st and 2nd Defence Groups were formed in Kure on the 20th of October and incorporated into the 3rd Fleet on the 20th of November. The 1st Defence Group was ordered to stand by at Kure, while the 2nd Defence Group was ordered to advance to Palau in late December.



Advance of the Main Force of the Southern Force to Mako
After issuing operational orders to his units at Iwakuni and completing a meeting, Vice Admiral Kondo, Commander of the Southern Force led the Main Body with part of the 4th Cruiser Division and sailed for Kure on the 17th of October. The 4th Cruiser Division's CHOKAI was transferred to be the flagship of the Malaya Seizure Force, Main Body, and departed Kure on the 20th of October for Sanya. On the 21st, Rear Admiral Kondo led the Main Body with part of the 4th Cruiser Division, the 4th Destroyer Division and the 6th Destroyer Division from Kure to the coast of Hashirajima and after a final meeting with the Combined Fleet Headquarters, advanced to Saeki Bay on the 25th. During this period, the Battleships KONGO and HARUNA joined together on the 22nd, and Heavy Cruiser TAKAO of the 4th Cruiser Division, which had been under repair in Yokosuka, joined together on the 27th.
After completing the joining of all its forces at Saeki Bay, the Main Body of the Southern Force left the bay on the 29th of November and advanced to Mako on the 2nd of December. On that day, the 8th Destroyer Division joined forces. Meanwhile, the Commander of the Southern Force, Vice Admiral Kondo and the Commander of the 2nd China Fleet, Vice Admiral Masaichi, had made an operational agreement on the attack on Hong Kong on the 15th of November. Under this agreement, the 2nd Section of the 6th Destroyer Division (IKAZUCHI and INAZUMA) was to be engaged in the Hong Kong offensive from X-4 until the end of the Hong Kong operation, under the command of the Commander of the 2nd China Fleet. Thus, at the outbreak of the war, the Southern Force consisted ultimately of the following units:
1st Section of the 4th Cruiser Division (Heavy Cruisers ATAGO and TAKAO). 2nd Section of the 3rd Battleship Division (Battleships KONGO and HARUNA).
4th Destroyer Division (Destroyers ARASHI, HAGIKAZE, NOWAKI and MAIKAZE). 1st Section of the 6th Destroyer Division (Destroyers HIBIKI and AKATSUKI).
8th Destroyer Division (Destroyers ASASHIO, OSHIO, MICHISHIO and ARASHIO).
In addition, the supply ships directly under the command of the Southern Force advanced to their respective forward bases. (Table 11) (98)

Decision to start the war
On the 5th of November, as already mentioned, the "Guidelines for the Execution of Imperial National Policy" were decided and diplomacy and military affairs were to be pursued in parallel, but the Japanese Government concentrated its last efforts on the progress of negotiations between Japan and the United States, pinning all its hopes on this. Japan dispatched Ambassador Kurusu to further breakthrough Japan-US negotiations, but on the 26th of November the US handed us the so-called 'Hull Note', a hard-line response. On the 28th of November, the full text of the "Hull Note" arrived, and a liaison conference of the Imperial Japanese Army Government was held to consider it. As a result, it was unanimously agreed that this could only be taken as an ultimatum from the US to Japan, and that Japan now had no choice but to start war for the sake of its own self-defence.
On the 1st of December, from 1400, the Imperial Council was convened to decide on the rise and fall of the nation, and at 1610 the following decisions were made to start the war. (99)
Negotiations with the US based on the 'Guidelines for the Execution of Imperial National Policy' decided on the 5th of November were finally concluded without success, and the Empire entered into war against the US, Britain and the Netherlands.
Based on this decision, Admiral Nagano, the Chief of the General Staff of the Imperial Japanese Navy issued an order to Commander of the Combined Fleet Admiral Yamamoto to start the war and instructed him on the operational policy based on this decision. (59-60)
Imperial Navy Order nº 9:
1 The Empire has decided to open war against the United States, the United Kingdom and the Netherlands in early December.
2. The Commander of the Combined Fleet shall destroy the enemy fleet and air power in the Orient and shall intercept and destroy the enemy fleet when it comes to the Orient.
3. The Commander of the Combined Fleet, in cooperation with the Commander of the Southern Army, shall quickly attack the main bases of the United States, the United Kingdom, and the Netherlands in East Asia, and occupy and secure key areas in the south.
4. The Commander of the Combined Fleet shall cooperate with the operations of the China Area Fleet as required.
5. The time for launching armed forces in accordance with the preceding paragraphs shall be announced later.
6. The Chief of the General Staff shall give instructions on detailed matters.
Naval Instruction nº 16.
The operations of the Combined Fleet against the United States, the United Kingdom and the Netherlands shall be in accordance with the Imperial Japanese Navy Operations Policy for the United States, the United Kingdom and the Netherlands.
Separate volume (extract)
1 Imperial Army operates in accordance with the guidelines of the Central Agreement of the Army and Navy for the Southern Area of Operations in the separate volume of the Central Agreement of the Army and Navy for the Southern Operations.
2 Relations with the China Area Fleet (Author's omitted)
3 Commander of the Combined Fleet should operate in accordance with the following:
A) With the 2nd Fleet, the 3rd Fleet and the 11th Air Fleet as the core, cooperate with the Southern Army to quickly overthrow enemy bases in the Pacific, British Malaya and Dutch East Indies, capture key resource areas, and reduce enemy fleet and air power to a prodigal force.
(The guidelines for joint operations by land and naval forces shall be in accordance with the Central Agreement of the Army and Navy for the Southern Operations).
B) ~D) (Omitted by the Author)
E) Use units of the 1st Air Fleet to surprise the US fleet in the Hawaiian Islands at the beginning of the war, and endeavour to reduce their strength.
F) Once the campaign against the key areas in the south has been completed, the 3rd Fleet, the Southern Fleet and other necessary units will be assigned to defend the area, patrol and protect the maritime traffic there.
G) The main force of the Combined Fleet is to support all operations. If enemy ships attack, the Combined Fleet is to destroy most of them.
4 Trade protection was based on the "Guidelines for the Wartime Trade Protection Plan for 1941" (Author's note: Document not available).
On the following day, 2nd of December, the commanders of the Army and Navy reported in a formal procession and asked for a court ruling on the use of force against the United States,
United Kingdom and the Netherlands after midnight on the 8th of December, which was granted. The reason for choosing the 8th was that it was a Sunday in the Western Hemisphere and the US Pacific Fleet was likely to be at anchor in Pearl Harbour, according to Nagano. Following the decision on the opening day of the war, the General Staff transmitted the following orders.
Naval Order nº 12 (extract)(59)
1 The Commander of the Combined Fleet shall, after midnight on the 8th of December, initiate military force in accordance with Naval Order nº 9.
2 The Commander of the China Area Fleet, the Commanders of the various guard stations and the Commanders of the various defense stations shall, as soon as they receive news of the first attack of the Combined Fleet, launch armed forces in accordance with the Naval Orders nº 10th and 11th respectively.
3. For the Dutch East Indies, forces shall be launched with the same timeliness as those of the United States and the United Kingdom.
The Combined Fleet's announcement for the start the war
The Commander of the Combined Fleet completed the last fleet training in the Bungo Suido area and returned to the Hashirajima anchorage at 0900 on the 1st of December. Prior to this, word was received from Imperial General Staff that Admiral Yamamoto would be granted an audience and imperial message on the 3rd of December, and he left for Tokyo by train from Iwakuni Station at 1600 on the 1st. (58)
On the 1st of December, the Combined Fleet, having received the aforesaid order from the Imperial General Staff and instructions from its Commander, issued a telegram to the commanders of each fleet, stating "Decided, date to be announced", in case the time for launching operations would be delayed. The next day, around 1700, the Combined Fleet Chief of Staff Rear Admiral Ugaki, which had received the aforementioned order, sent a telegram at 1730, to all the forces stating: “Climb Mt. Niitaka1208” in other words "X-day shall be 0000 on the 8th of December". (58)
Admiral Yamamoto visited the Imperial Palace on the 3rd of December and received an audience before going to war and was presented with an imperial edict. After completing the pre-war events, Admiral Yamamoto returned to the Battleship NAGATO on the 5th of December (58). At midnight on the 7th of December, the Combined Fleet transmitted this imperial message and Admiral Yamamoto's reply to his commanders. (58)
On the 3rd of December, this office was granted an audience with His Majesty the Emperor of Japan and was presented with a separate telegram from His Majesty the Emperor of Japan, to which I respectfully convey the following message: "Prior to the outbreak of war, I was given an imperial message of great honour, and I am deeply moved by it. I humbly submit to you that I am prepared to devote myself to the great command and to carry out the purpose of my departure with the officers and men of the Combined Fleet, with all my heart and soul.
Separate telegram
I, the undersigned, hereby order you to take command of the Combined Fleet.
The responsibility of the Combined Fleet is extremely grave, and its success or failure will truly be the cause of the nation's downfall.
I will use my many years of fleet training to advance and destroy the enemy army and raise our military might both within and without, so that we may live up to the faith of the nation.
The forces under his command were moving towards the outbreak of war as planned in accordance with the prescribed plan. During this period, the major concern of the Combined Fleet Command was whether or not we could bring the war to a start with the planned eight- day main operation without exposing our plans or causing any unforeseen combat action.
Reference.
The following is a summary of the relevant articles from the diary of Chief of Staff of the Combined Fleet, Rear Admiral Ugaki, from the beginning of December. (The text in brackets is the original)
Monday, 1st of December 1941:
President Roosevelt returned to Washington from a sudden retreat.
He is informed that the British presence in Thailand will begin on or before X day, while the British fleet's is approaching the Orient, so it is only natural that the British should be in the neighbourhood.
Tuesday, 2nd of December 1941:
At 1900, I received a message from the Army that 7 ships of unknown nationality were heading north off Taiwan. I do not know if this is true.
The 2nd fleet has been a little panic-stricken of late: there is a hint of its proposing to the army that X Day be moved up.
Wednesday, 3rd of December 1941:
On the 2nd, the new British Battleship HMS PRINCE OF WALES arrived at Singapore.
Thursday, 4th of December 1941:
0845 Commander of the 14th Naval District at Honolulu sent an urgent telegram: 'Have our submarines been discovered?' Thereafter relieved to learn that the United States have made no changes in position.
Aircraft in the Palau area report the discovery of six submarines, and judging from the northeast course, it is acknowledged that our enemies have also begun to deploy.
Friday, 5th of December 1941:
2 submarines discovered near Poulo Condor Island.
On the 1st of December, a friendly plane departed from Canton and was reported missing. There were fears that important documents had been obtained by the Chinese Army. In the meantime, a message is sent that fighters in the Philippines were alerted for action at 25 minutes' notice.
Saturday, 6th of December 1941:
The Commander of the Malaya Seizure Force ordered the downing of a British aircraft that touched the convoy. What a big drama it his, risking the fate of a nation and so many lives!
Sunday, 7th of December 1941:
An emergency call was issued in Manila yesterday ordering the evacuation of personnel.
'The means by which the war started in the Philippines was, in my opinion, close to a perfect score.'
At any rate, the Combined Fleet's fears were unfounded, and the prospect of starting the war as planned was almost certain. At 0600 on the 7th, the Combined Fleet issued the following encouraging telegram to his forces.
Combined Fleet Telegraph nº 13.
“The fate of our Empire depends upon this expedition. Each of you will do your duty,
wearing yourselves to the bone. “
Thus, our forces rushed into the war….
1 Outline of the Strategic Geographical Area (109-181)(Appendix 1)
The following is a list of the most important factors that have contributed to the development of the country's economy. The main purpose of this study is to provide an overview of the history of the country and its people, and to identify the main factors that have contributed to its development. The first two are the Luzon and Luzon Islands, which are the largest islands in the north, followed by Mindanao in the south. The Sulu Sea extends to the south-west of the Visayas region. The Sulu Sea is separated from Borneo to the south-west and from the South China Sea to the west by Palawan Island, and from the Celebes Sea to the south by the Sulu Islands. In addition, Luzon Island faces Taiwan across the Luzon Strait of about 370 kilometres (about 200 nautical miles). The Luzon Strait contains a number of small islands, and the distance between Y’Ami Island at the northern end and Orchid Island in Taiwan is only about 110 kilometres (about 60 nautical miles).
Luzon, the largest island, is the political and economic centre of the country and is home to the capital, Manila. The island has a north-south mountain range to the east, mountainous terrain in the north and a wide north-south plain in the centre. For this reason, Lingayen Bay on the west coast is the only suitable landing site for a large contingent, but Lamon Bay on the central east coast is also suitable for landing a substantial force, as it is easy to land and has a good road to Manila. Manila Bay on the central west coast is the Philippines' best port, and the capital, Manila, is located on its eastern shore.
There are few straits on the eastern coast of the Philippines, and only the San Bernardino and Surigao straits are navigable for large vessels.
The Philippines Islands had been a Spanish possession since 1565 but were ceded to the USA in 1898 as a result of the Spanish-American War, and the USA had decided to grant independence to the Philippines by 1946, in response to the demand for independence by the people of the Philippines.
According to the 1939 census, the total population of the Philippines was approximately 1,600,000, of which 167,000 were foreigners. Of these, Japanese people, mainly from the cultivation of Manila hemp in Davao, were present in various parts of the country and numbered about 29,000. The natives of the Philippines were of many races and languages, and some of them were not well controlled by the central government.
The climate of the Philippines Islands is oceanic in character and is mainly dominated by three main types of main air currents: Constant Winds, South-Western Winds, and North-Eastern winds. The constant winds is a Pacific easterly wind originating from the high pressure area in the eastern North Pacific. However, the constant winds are centred in the east and blow continuously from the north-east or south-east depending on the atmospheric pressure at the time. The prevailing winds are present throughout the year, but are strongest in March and April, sometimes extending into February and May.
The south-westerly winds blow from the tropical high pressure areas of the Indian Ocean during the summer months, and generally blow continuously from May to October. As the south-westerly wind passes through the humid tropics, it absorbs moisture and reaches saturation by the time it reaches the Philippines Islands, bringing heavy rainfall to the western part of the islands.
The north-easterly winds, the monsoon, blows from the high pressure areas of Siberia and Manchuria in winter, and generally blows continuously from November to early March. The upper layer of the north-easterly monsoon is dry, but the lower layer absorbs moisture from the sea, and its ascent often causes cumulonimbus clouds to form over the sea, and the moist air hitting the eastern coastal mountains of the Philippines brings heavy rainfall.
Typhoons mainly strike north of the central ratio, most frequently passing over Luzon. According to observations by the Manila Meteorological Observatory, there were 60 typhoons recorded in the 16-year period from 1903. Northern Luzon has the highest number of typhoons passing through the island, with an average of three per month between July and November. Mindanao is outside the typhoon zone, providing favourable conditions for the cultivation of Manila hemp on the island.
Due to the above-mentioned climatic characteristics, rainfall in the Philippines is characterised by regional variations. In general terms, the western part of the Philippines is divided into dry and wet seasons, with the rainy season occurring during the south-westerly monsoon season. The eastern coast of the Philippines, from central Luzon to the south, has the heaviest rainfall with no distinct dry season. The north-east coast of Luzon and Mindanao also do not have a distinct dry and wet season, and rainfall is evenly distributed throughout the year.
When Japan anticipated the outbreak of war in early December, more than a month had already passed since the start of the north-easterly wind season. Therefore, the north easterly winds were expected to continue to blow steadily and finally increase in strength, with strong winds and waves in the Luzon Strait and eastern parts of the Philippines, and cumulonimbus clouds in the lower layers and heavy rainfall. However, the west coast of the Philippines was considered to have relatively low rainfall because the winds and waves were a little weaker than those on the east coast and it was the dry season.
Military facilities in the Philippines were mostly concentrated on Luzon. As for naval bases, the Cavite Military Port with repair facilities was located on the south coast of Manila Bay and was the main base for the US Navy in the Philippines. Olongapo (Subic Bay), north of Manila Bay, was also used by the US Navy as a permanent base. Other areas in Mindanao such as Davao, Visayas and Cebu on the island of Cebu were also occasionally used by the US Navy as bases. Military air bases were mainly based near Manila and near Clark, about 100 nautical miles to the north of Manila, and there were also considerable ones in Del Monte in central
Mindanao and Cebu on Cebu Island. Other small military or liaison airfields were scattered throughout the country.
2 Army-Navy Agreement(see Appendix I)
Problems with the agreement
The Army-Navy Agreement on the Philippine Operation was held at Iwakuni Naval Air Base from the 14th of November and the agreement was signed on the 16th of November. The participants were Commander of the Combined Fleet, Admiral Yamamoto, Commander of the Southern Army, General Count Terauchi, and other key Army and Navy commanders and staff officers involved in the Philippine Operation. The general outline of the Philippine Operation Plan had already been decided in the Central Agreement between the Army and Navy and the Tokyo Agreement, so the following items were the main issues in this agreement:
1 Northern Philippines strategic assault operations
The Tokyo Agreement stipulated that the key sites to be assaulted and occupied were "either Vigan or Laoag and Aparri", and that the landing date was to take place on X+2 Day if the operational forces deemed it safe to do so 3from an air operational standpoint.
In the Iwakuni Agreement, the assault area was changed to 'Aparri or Laoag and Vigan'. As this was the north-easterly monsoon season, the plan was revised so that the Aparri landing force would land at Laoag and occupy the airbase there if it was impossible to land at Aparri. As for the landing date, the Army and the 3rd Fleet wanted X+1 Day in order to advance the air force as soon as possible, but due to opposition from the 2nd Fleet, the date was decided to be X+2.
2 Davao raiding force.
The 14th Army had initially planned the strength of the advance detachment to be three battalions in Northern Luzon, one battalion in Legazpi and two battalions in Davao. However, later on, due to information of an increase in US forces in the Legazpi area, and in consideration of the fact that the Legazpi landing force would be forced to fight in isolation, its strength was increased to two battalions. As a result, the Davao landing force was reduced to one battalion. In response, the 14th Army felt that it lacked the strength to attack Davao and insisted on the reinforcement of the Sakaguchi Detachment of the 16th Army ( Dutch East Indies Operation Force). This issue was then transferred to the coordination between the Navy General Staff and the Southern Army and on 20 November, the plan was revised so that the commander of the 16th
Army's Sakaguchi Detachment would command the Miura Detachment of the 14th Army in conjunction with him and attack Davao.
3 Batan Island assault forces
The Tokyo Agreement stipulated that Batan Island (Objective Emergency Landing Site) was to be occupied by naval units on X Day. The Iwakuni Agreement changed this to one-third of the Army's 24th Airfield Battalion also landing and maintaining the airfield. This was so that the Army 5th Air Division aircraft supporting the Aparri and Vigan raiding parties could use Batan Island airfield.
4 Postponement of the landing date at Lamon Bay
According to the Tokyo Agreement, the landing of the main forces of the 14th Army was set for X+14 Day for both Lingayen Gulf and Lamon Bay. However, the 3rd Fleet's proposal to extend the Lamon Bay landings by two days for the convenience of naval escort forces was accepted, and the Lamon Bay landings were postponed to X+16.
Agreement between the 3rd Fleet and the 14th Army (see Appendix I)
The following is an extract from the agreement on the matters which are required (34)
14th Army, Navy Escort Force Agreement (Extracts)
1 Outline of the Agreement between the Commander of the 14th Army and the Commander of the Navy's Escort Forces, as shown in the attached table.
2 Reconnaissance before landing
A) Reconnaissance by naval vessels and 3rd Fleet aircraft shall not be carried out before the X Day.
B) Reconnaissance of the situation of air operations after the X Day, within the limits of the planned exposure, and reconnaissance of landing points, shall depend on the opinion of the commanders of the two forces (Army and Navy).
C) Reconnaissance immediately before the landing will depend on the agreement of the escort and landing force commanders.
3 Diversionary measures
When selecting a route, take this into account if necessary.
However, local diversions will depend on the agreement of the escort and landing force commanders.
4. The anchorage in "Lingayen" Bay, the approach to the anchorage and the anchoring formation shall be in accordance with the agreement between the Commander of the 1st Escort Group and the Commander of the 48th Division.
5 Defensive Facilities at Landing Points and Landing Bases
A) At "Lingayen", "Lamon" and "Davao" the navy will establish the necessary defences, and at other landing points the escort ships will mainly be assigned to anti-submarine movement alert.
B) In the case of naval defensive installations, the division of duties between the Navy and the Army shall be divided between the Navy for the sea front and the Army for the land front, with details to be decided by agreement between the commanders concerned.
C) The naval commanding officer shall notify the army commanding officer of the sea front defensive measures in good time, and the army commanding officer shall ensure that they are thoroughly implemented on army transports and other vessels.
D) The landing base of the main army forces shall be set at "San Fernando" in the early stages, and if the situation permits, "Takuban" (author's note: on the southern coast of Lingayen Bay) shall be promoted.
6 Cooperation between Army and Navy after landing
A) In the case of Army units in the northern area of "Luzon" being transferred towards "Lingayen" after the main landing, the escort shall depend on an agreement between the local naval commander and the military commander.
B) If, depending on the circumstances, a part of the Army is to be transferred to the vicinity of Iba after the main landing, the same shall apply.
7 Conduct of transports after landing
A) Transports that have completed landing shall return as quickly as possible.
B) Depending on the situation, the naval commander may designate the route and action of the transport ship.
C) Returned transports shall be escorted by indirect escort. However, in the event of the return of important transports, the escort commander shall provide direct escort with some of his forces, if possible.
8 Intelligence and exchange of information
All necessary intelligence and information shall be obtained by both forces and exchanged as soon as possible.
9 Security measures
Prior to the landing of the main army forces, units operating in enemy territory, such as detachments, aircraft and army landing parties, are not to carry any documents or any other items that describe the actions of the main forces or enable them to make decisions on their own actions.
10 Use of anti-aircraft weapons
Anti-aircraft fire while convoys are underway shall be carried out in accordance with the convoy commander's instructions after convoy firing has commenced.
11 Use of occupied facilities
Enemy naval installations are to be used by the Navy, and enemy army installations are to be used by the Army. Other items are to be agreed upon by the commanders of the two armies.
12 Use of air units As per the annex.
Author's note: Use of air units - in the following Air Operations Agreement.


Army-Navy Agreement for Air Operations
The summary of the air operations agreement reached between the 3rd Fleet, the 11th Air Fleet, the 14th Army and the 5th Air Division is as follows. (34)
Agreement between the Army and Navy for air operations in the Philippines (Extracts):
1 Forces to be employed:
A) Navy:
1) 11th Air Fleet: Commander Vice Admiral Tsukahara: 11th Air Fleet Headquarters.
21st Naval Air Flotilla: Commander Rear Admiral Toda:
KANOYA Naval Air Group (Type I Land Based Attack Aircraft 54).
1st Naval Air Group (Type 96 Land Based Attack Aircraft 36, Air Transport Unit).
TOKO Naval Air Group (Flying Boat I8).
23rd Naval Air Flotilla: Commander Rear Admiral Takenaka Ryozo:
TAKAO Naval Air Group (Type 1 Land Based Attack Aircraft 54).
TAINAN Naval Air Group (Type 0 Carrier Based Fighter Aircraft 45, Land based Scout 6, Type 96 Carrier based fighter 12).
3rd Naval Air Group (Type 0 Carrier Base Fighter Aircraft 45, Land based Scout 6, Type 96 Carrier based fighter 12).
2) 3rd Fleet: Commander Vice Admiral Takahashi: 4th Aircraft Carrier Division:
Aircraft Carrier RYUJO (Type 96 Carrier based fighter 12, Carrier based attack aircraft 12).
11th Seaplane Tender Division:
Seaplane Carrier CHITOSE (12 2 Seats Type 0 Observation Seaplanes, 3 3 Seats Type 0 Reconnaissance Seaplanes).
Seaplane Carrier MIZUHO (12 Type 0 2 Seats Observation Seaplanes, 3 Type 94 3 Seats Reconnaissance Seaplanes).
12th Seaplane Tender Division:
Auxiliary Seaplane Carrier SANYO MARU (36117) (6 2 Seats Reconnaissance Seaplanes, 3 3 Seats Reconnaissance Seaplanes).
2nd Base Force:
Auxiliary Seaplane Carrier SANUKI MARU (45864) (6 Naval Based Scouts).
B) Army
5th Air Division: Commander Lieutenant General Obata: 5th Air Division Headquarters.
76th Independent Air Reconnaissance Company (9 Type 97 Scout104, 2 Type 100 Scout105).
4th Army Air Brigade:
8th Army Air Group (9 Type 97 Scout, 2 Type 100 Scout,
27 Type 99106 Light Bombers).
14th Army Air Group (18 Type 97107 Heavy Bomber). 16th Army Air Group (27 Type 97108 Light Bomber ). 50th Army Air Group (36 Type 97109 Fighter).
10th Army Air Brigade:
52nd Army Air Reconnaissance Company (9 Type 99110 Scout).
74th Army Air Company (10 Type 98111 Close Support).
104Mitsubishi Reconnaissance Aircraft KI-15.
105Mitsubishi Reconnaissance Aircraft KI-46.
106Kawasaki Light Bomber Aircraft KI-48.
107Mitsubishi Heavy Bomber Aircraft KI-21.
108Mitsubishi Light Bomber Aircraft KI-30.
109Nakajima Fighter Aircraft KI-27B.
110Mitsubishi Reconnaissance Aircraft KI-51.
111Tachikawa Close Support Aircraft KI-36.
2 Operational instructions:
A) Deployment and combat during deployment:
1) Deployment of Army and Navy Air Forces in Taiwan as shown in Table 1 (Deployment Chart omitted by the author).
2) In the event of a first air attack by the enemy, each Army and Navy air unit shall immediately intercept the enemy at its own location and exchange information with each other in a particularly rapid manner.
B) Air campaign:
1) The air campaign is to be completed by X+9 Day.
2) In the early stages of the campaign, the occupied air bases will be used in the same way as described earlier.
3 Cooperation with the advanced forces:
A) Naval air units will cover the Army Transport Convoy during the voyage as follows:
C Detachment (author's note: Kanno Detachment at Vigan landing):
Part of the 1st Naval Air Group: Land Based Attack Aircraft. Part of the fighter group of the 23rd Naval Air Flotilla.
Part of the naval based air reconnaissance Group of the Auxiliary Seaplane Carrier SANUKI MARU (45864).
D Detachment (Author's note: Kimura Detachment at the Legaspi Landing):
4th Aircraft Carrier Division RYUJO's Naval Air Group.
11th Seaplane Tender Division – Seaplane Carrier MIZUHO's Reconnaissance Naval Air Group.
B Detachment (Author's note: Miura Detachment of the Davao Landing):
11th Seaplane Tender Division – Seaplane Carrier CHITOSE´s Reconnaissance Naval Air Group.
However, the C Detachment (Kanno) will be within 200 kilometres of the Taiwan coast and will also be covered against enemy aircraft by the Army's 50th Army Air Group.
B) The cover of the anchorage is carried out by naval air units in the following manner:
Aparri, Laoag and Vigan:
About 9 fighters of the 23rd Naval Air Flotilla.
Davao:
Reconnaissance Naval Air Group of the Seaplane Carrier CHITOSE from the 11th Seaplane Tender Division.
Legaspi:
Reconnaissance Naval Air Group of the Seaplane Carrier MIZUHO from the 11th Seaplane Tender Division.
However, when the airfield of Batan Island is available for use, and when the Army Air force have advanced into northern Luzon, the air cover of Aparri, Laoag and Vigan will be mainly provided by the Army.
C) Air Cover during the landings and immediate post-landing operations as shown on the Table 13.

4 Cooperation with the Main Force of the 14th Army:
A) In the direction of Lingayen Gulf:
1) Air cover while the convoy is underway is mainly provided by the 50th Army Air Group on the sea within 200 kilometres from the coast of from the coast of Taiwan. Depending on the situation, the Navy fighter Naval Air Groups will cooperate. In other sea areas (excluding within 200 kilometres from the coast of Taiwan), cover will be provided by part of the Navy fighter Naval Air Groups and the Auxiliary Seaplane Carriers SANYO MARU (36117) and SANUKI MARU (45864) Reconnaissance Naval Air Groups.
2) The air patrol over the anchorage is assigned to the 50th Army Air Group and, depending on the situation, a part of the Navy fighter Naval Air Groups will co-operate with them.
The Auxiliary Seaplane Carriers SANYO MARU (36117) and SANUKI MARU (45864) Reconnaissance Naval Air Groups will be assigned to the patrol over the anchorage .
3) Support for the landing battle and the battle immediately after the landing will be provided by the main forces of the 5th Air Division.
B) Lamon Bay area
For the protection of the fleet during navigation, for the protection of anchorages, and for cooperation in landing combat and the fighting immediately after landing will be provided mainly by part of the Land Based Attack Aircraft and fighters from the Naval Air Groups, and the 4th Aircraft Carrier Division.
The Army Air Forces will cooperate in the battle after the landing with parts of the 8th and 14th Army Air Groups.
5 Reconnaissance of landing sites
North of the 16th parallel is mainly for the Army, south of the 16th parallel is mainly for the Navy.
Note:
As of the 15th of November, the 24th Army Air Group (Fighters) was placed in the order of battle of the Southern Army, and on the 18th of November the Southern Army placed it under the command of the Commander of the 5th Flying Group112.
112I was not able to verify this relation with the 5th Air Division. The 24th Army Air Group is operating in the northern of Luzon from day 1, claiming a P-40 on the 10th over Vigan. From what I could verify the 24th Army Air Group is on the 14th Army.
3 Operational planning and deployment of the Philippine Seizure Force (see Appendix I)
Assessment of the situation
After completing the Army-Navy Agreement for the Philippine Operation, between the Combined Fleet and the Southern Army at a joint meeting in Iwakuni, Vice Admiral Takahashi Ibo, Commander of the Philippine Seizure Force, ordered a large part of his forces to assemble at the Terashima Strait (outside Sasebo Port) by the 23rd of November, and left Iwakuni for Sasebo on the 16th of November, in direct command of the 16th Cruiser Division. The 16th Cruiser Division, which had made its final preparations in Sasebo, sailed to Terashima Strait on the 23rd of November, and a large part of the Philippine Seizure Force had also finished assembling at Terashima Strait by this time. On the same day, Vice Admiral Takahashi issued the Philippine Seizure Force Classified Order nº 1 regarding the invasion of the Philippines, and also held an operational meeting. (38)
Vice Admiral Takahashi judged the situation at the time as follows: (38)
1 Comparing the air forces of Japan and the United States, the number of aircraft is almost half of the number of our Army and Navy aircraft, which are about 430 aircraft. Although the skill level of the United States forces is unknown, our numerically superior air forces will overwhelm their air forces, and the air battle between Japan and the United States will develop to the advantage of our forces.
2 The United States surface forces are small, based on three cruisers and a dozen destroyers, and are outnumbered by our forces. However, if more than two dozen submarines were to operate at sea, they would pose a serious threat to our surface forces and fleet. Therefore, adequate warning is necessary against submarines.
The recent movements of the United States surface forces are unclear and it is difficult to determine whether they will actively counter attack, but it goes without saying that we need to anticipate a reaction from them against of our forces. However, our naval forces are far superior to the United States forces and are fully capable of dealing with a counterattack.
3 To deal with United States submarine forces, emphasis will be placed on the Southern Philippine Sector, where separate operations will be conducted, and the elite 5th and 2nd Destroyer Squadrons will be deployed. In addition, the 16th Cruiser Division and the 4th Destroyer Squadron will be deployed in the Northern Philippine Sector.
4 As Vigan is the closest to the enemy military bases, it is highly probable that the landing force will be counter-attacked by naval and air forces. Therefore, the 4th Destroyer Squadron, the most powerful unit of the Northern Philippine Sector, will be assigned to the Vigan invasion force, while the Northern Philippine Main Body Force will act in support of the Vigan invasion force.
5 As soon as possible after the outbreak of war, mines will be laid in the San Bernardino and Surigao straits to prepare for the escape of the United States fleet to the east. In addition, mines will be laid in the main straits of the Sulu Islands around the time of the Davao offensive in order to detain US submarines moving southwards.
Operational plan
The summary of classified Philippine Seizure Force Order No. 1, issued by Vice Admiral Takahashi on the 23rd of November, was as follows: (81)
1 Status of Japanese Forces
(1) Air operations.
Naval Air Forces (11th Air Fleet (part of 23rd Naval Air Flotilla, lacking 22nd Naval Air Flotilla) - bases Takao, Toko and Tainan)
1 Cover the 1st , 2nd and 3rd Surprise Attack Forces with 9 land attack bombers and 12 naval fighters.
2 On X Day, four groups of nine land bombers and 18 fighters will search and attack the air forces around the Philippines Island.
3 On X Day, with 36 land attack bombers and 27 fighters, attack enemy flying boats in their locations.
4 On the X Day, attack the Cagayan River area from Aparri with 11 land attack bombers and 9 fighters.
5 On X Day, attack the enemy in the Laoag, Vigan and San Fernando areas with 15 land attack bombers and 15 fighter.
6 On X+3 and X+4 Days, 54 land attack bombers will advance to Palau and then raid Davao.
7 18 flying boats from Palau, and a few land based attack bombers from French Indochina will be used to scout the Sulu Sea.
Army Air Forces (36 reconnaissance, 36 fighters, 54 light bombers and 18 heavy bombers, a total of 144 aircraft under the command of the Army 5th Air Division - bases Chiatung, Pingtung, Hengchun, Chauchou Fengshan, etc.)
On the X Day, first air raid on Northern Luzon, followed by air operations to acquire bases at Aparri, Vigan, Laoag, etc., to later cooperate with the Lingayen Gulf and Lamon Bay landings.
(2) Submarine operations
Submarine deployment in the early stages of the war: Submarine I-64 at San Bernardino Strait (until X+3 days) Submarine I-62 at Surigao Strait (until X+3 days) Submarine I-65 near Jolo
Submarine I-124 at Manila Bay Submarine I-123 at Balabac Strait
Submarines I-62 and I-66 at Sarangani Island area (south of Davao) (until X+3 days)
Flagships of the 5th Submarine Squadron generally operate in the vicinity of the 5th Squadron.
(3) Naval operations113
The 1st Section of the 4th Cruiser Division, Battleship KONGO and the 4th Destroyer Division, commanded by the Commander of the 2nd Fleet (Vice Admiral Kondo), are at Mako at the beginning of the war, and thereafter act in response to the appearance of the enemy fleet, and support the entire operation.
The Battleship HARUNA, Heavy Cruiser MAYA and the 1st Section of the 6th Destroyer Division, commanded by Captain Takama Tamotsu of the Battleship HARUNA, will support operations east of the Philippines.
113This is the Main Body of the Southern Force, initially divided in 2 forces that was unified with the arrival of Force Z at Singapore.
(4) Operations in the Hong Kong area
The 2nd China Fleet, commanded by Vice Admiral Nasaichi, and the 2nd Section of the 6th Destroyer Division, will attack Hong Kong in cooperation with the 23rd Army after the start of the Malayan Operations.
(5) Operations in the Malaya Sector
The Malaya Seizure Force, in cooperation with the 25th Army, will launch the first air raid on the X Day, and also land advance troops at Bandung, Singora, Nakhon, etc., and successively begin the Malaya Campaign.
(6) Operations in the Miri and Kuching areas
With some forces of the Malaya Seizure Force, attack Miri on X+8 and Kuching on X+13 in cooperation with the Army and establish an air base and advance naval air forces.
2 Operations in the Philippine Sector
The Philippine Seizure Force, in cooperation with the Army, will promptly overthrow enemy forces and bases in the Philippine and later in the Dutch East Indies sectors and capture key areas in those sectors to secure a permanent operational position.
3 Operational Policy
(1) With the cooperation with the Navy, the 14th Army and the 5th Air Division will first destroy the enemy in the Philippine Sector and capture the key areas there, and then, in cooperation with the 16th Army, advance on the central key zones of the Dutch East Indies and capture it as soon as possible.
(2) Operations in the Philippine Sector are as follows:
A) Simultaneously with the first air raid of Taiwanese based air units, first assault and acquire air bases at Batan Island and Camiguin Island, then at Vigan, Aparri and Legazpi, and promptly advance Army and Navy air units to the northern and eastern parts of Luzon Island. Following air raids in the Mindanao area from air units advancing from Palau, assault and acquire air bases in Davao and, pending the advance of the base air force, further assault and acquire Jolo air bases.
B) Conduct offensive minelaying warfare in the channels off the eastern coast of the Philippines almost simultaneously with the Legazpi assault, and in the direction of the Sulu Islands, seizing the opportunity before and after the Davao and Jolo assaults.
C) Following the assault operations in the early stages of the war, a thorough sweep and destruction of enemy submarines will be carried out with the full strength of the combined forces in the vicinity of each assault point and in the Luzon Strait area.
D) About the time when the results of the air operations can be expected, the main force of the 14th Army will be escorted to Lingayen Gulf and part of it to Lamon Bay by a large part of the Philippine Seizure Force.
E) Against surface forces in the vicinity of the Philippines, under the support of the Main Body of the Southern Force and the Eastern Support Group of the Southern Force, and in particular in close coordination with the search and attack of air units destroy the enemy forces. Particularly in the Mindanao area, elite and strong units will be deployed to catch and destroy the enemy forces.
F) In cooperation with the air units advancing on Davao and Jolo, the remaining enemy in the Mindanao area will be swept away and an advance base will be promptly established in the same area.
G) After the landing of the Army's main forces, organise the units and leave part of them in western Luzon to provide security for the time being, while the bulk of the forces will be promptly transferred to the Mindanao area to facilitate preparations for the Dutch East Indies offensive.
4 Deployment of forces
(1) Philippine Seizure Force, 1st Phase Naval Disposition (Table 14)


Notes:
(1)16th Cruiser Division: Heavy Cruiser ASHIGARA and Light Cruiser KUMA.
(2)2nd Section of the 5th Destroyer Division: ASAKAZE and MATSUKAZE.
(3)Light Cruiser Natori, 1st Section of the 5th Destroyer Division: HARUKAZE and HATAKAZE; 22nd Destroyer Division: FUMIZUKI, SATSUKI, NAGATSUKI and MINAZUKI.
(4)2nd Section of the 11th Minesweeper Division: W-15 and W-16.
(5)1st Subchaser Division: Subchasers CH-1, CH-2 and CH-3; 2nd Subchaser Division: Subchasers CH-13, CH-14 and CH-15.
(6)Light Cruiser Naka; 2nd Destroyer Division: Destroyers SAMIDARE, YUDACHI, HARUSAME and MURASAME; 9th Destroyer Division: Destroyers ASAGUMO, MINEGUMO and NATSUGUMO.
(7)21st Minesweeper Division: Minesweepers W-9, W-10, W-11 and W-12.
(8)30th Minesweeper Division: Minesweepers W-17 and W-18.
(9)21st Subchaser Division: Subchasers CH-4, CH-5, CH-6, CH-16, CH-17 and CH-18.
(10)31st Subchaser Division: Subchasers CH-10, CH-11 and CH-12.
(11)21st Torpedo Boat Division: Torpedo Boats CHIDORI, MANAZURU, TOMOZURU and HATSUKARI.
(12)1st Patrol Boat Division: Patrol Boats PB-1 and PB-2.
(13) 52nd Subchaser Division: Auxiliary Subchasers TAKUNAN MARU Nº 5 (43629), SHONAN MARU Nº 17 (47836) and Auxiliary Netlayer FUKUEI MARU Nº 15 (46382).
(14)4th Aircraft Carrier Division: Aircraft Carrier RYUJO; 3rd Destroyer Division SHIOKAZE.
(15)16th Destroyer Division: Destroyers YUKIKAZE, TOKITSUKAZE, AMATSUKAZE and HATSUKAZE.
(16)24th Destroyer Division: Destroyers KAWAKAZE, UMIKAZE, SUZUKAZE and YAMAKAZE.
(17)Patrol Boats PB-36 and PB-37.
(18) Light Cruiser Jintsu, 8th Destroyer Division: ASASHIO, OSHIO, MICHISHIO and ARASHIO; 15th Destroyer Division: NATSUSHIO, KUROSHIO, HAYASHIO and OYASHIO.
(19)Minelayers Itsukushima and Yaeyama.
(20)Seaplane Carriers Chitose and Mizuho.
(21)Heavy Cruisers Myoko, Haguro and Nachi.
(2) Tasks of the various forces
A) Main Force.
Departs Mako on X-1 Day and acts in support of the 2nd Surprise Attack Force, and thereafter operates on the sea west of Luzon in support of all operations.
B) 1st Surprise Attack Force
Escorting the Army’s Tanaka Detachment (6 transports), and the Navy Auxiliary Transport KEIYO MARU (44001) (carrying 11th Air Fleet equipment), will land at Aparri (landing point - southern coast of Palaui Island and near Buguey) before dawn on X+2 Day. Depending on the weather, it will land at Laoag (landing point - southern area of the mouth of the Laoag River). (See illustration 5).
C) 2nd Surprise Attack Force
Escorting the Army's Kanno Detachment (6 transports), it lands at Vigan (landing point at the mouth of the Apla River and its southern area) before dawn on X+2. (See illustration No. 6)
D) 3rd Surprise Attack Force
Escorting the Army Auxiliary Transport TEIUN MARU (733) (1/3 of the 24th Army Air Group Airfield Battalion), it assaults and captures Batan Island before dawn on the X Day, establishes an air base and a battery of four 8cm anti-aircraft guns; on the
X+1Day it captures Camiguin Island and establishes a seaplane base.
E) 4th Surprise Attack Force
Escorting the Army's Kimura Detachment (4 transports) and three naval transports (carrying equipment and materials of the Naval Construction Group and 11th Air Fleet), it sorties from Palau on the X Day and assaults and occupies Legazpi on the X+4 Day.
F) 5th Surprise Attack Force
Escorting the Army's Miura Detachment (2 transport ships) and 7 Navy transport ships (carrying personnel and equipment of the 32nd Special Base Force, the Construction Units and the 11th Air Fleet), it will sail from Palau around X+2 Day and assault Davao on X+6 Day. With the required force, attack Jolo on X+13 Day. (Depending on the situation, the Sakaguchi Detachment of the 16th Army will take part in the Davao offensive).
G) Minelaying Forces
To lay a number of mines in the San Bernardino and Surigao straits between X+3 and X+6.
H) Southern Philippines Support Force
Supporting the 4th Surprise Attack Force's attack on Legazpi, the 5th Surprise Attack Force's attacks on Davao and Jolo, and the Minelaying operations, in preparation for a counterattack by the US Asian Fleet.
(3) Army 2nd Disposition of Forces (see below)
Notes.
1 The operational plans of the Southern Force Air Forces (11th Air Fleet) were often subject to change. The above-mentioned operational plan of the Air Force is a plan made around early mid-November and differs from the operational plan at the start of the war.
2 The Army's decision to use the Sakaguchi Detachment for the Davao offensive was made on the 20th of November. However, by the time this order was issued, the Philippine Seizure Force had not yet been notified.
Deployment to war readiness positions (78-81-82-102-103-104-105)
On the 24th of November, Vice Admiral Takahashi ordered the following units to take these actions:
1st Kure SNLF, 2nd Kure SNLF, 32nd Special Base Forces, 1st Naval Construction Group, 2nd Naval Construction Group, 3rd Naval Construction Group: Advance to Palau by the 5th of December.
5th Naval Construction Group, 6th Naval Construction Group, 2nd Naval Defence Group: Advance to Palau by the 25th of December
1st Naval Defence Group to stand by at Kure.
In the same order, Vice Admiral Takahashi ordered that after 0800 on the 26th of November, the Philippine Force would be designated as the First Army Division114, and that each unit would leave the Terashima Strait after 1000 on the same day to advance to a war preparation position, as determined by their commanding officer.
The units departed from Terashima Strait as follows and advanced to the standby positions prior to the outbreak of war. Only the 4th Aircraft Carrier Division did not assemble at Terashima Strait due to operational preparations but went directly from Saeki Bay to Palau.
1st Surprise Attack Force:
Departs Terashima Strait on the 26th of November, arrives Mako on the 29th of November (Destroyers MATSUKAZE and ASAKAZE join the Main Force of the Philippine Seizure Force after arriving at Mako).
2nd Surprise Attack Force:
Departs Terashima Strait on the 26th of November and arrives at Mako on the same day.
3rd Surprise Attack Force:
Departs Terashima Strait on the 26th of November and advance to Takao.
4th Surprise Attack Force:
Departed Terashima Strait on the 26th of November and arrived in Palau on the 1st of December.
5th Surprise Attack Force:
Departs Terashima Strait on the 26th of November and arrives in Palau on the 2nd of December (however, the 8th Destroyer Division separates in route and turns to Mako to join the Main Body of the Southern Force).
Minelaying Force:
Departs Terashima Strait on the 27th of November and arrives in Palau on the 5th of December.
Southern Philippines Support Force: 5th Cruiser Division:
Departed Terashima Strait on the 26th of November and arrived in Palau on the 2nd of December (however, the Heavy Cruiser NACHI separated en route and arrived in Palau on the 6th of December via Mako).
4th Aircraft Carrier Division:
Departed Saeki Bay on the 28th of November and arrived in Palau on the 5th of December
11th Seaplane Tender Division:
Departed Terashima Strait on the 27th of November and arrived in Palau on the 2nd of December
After seeing off the various units from the Terashima Channel, Vice Admiral Takahashi led the 16th Cruiser Division (lacking Nagara) from Terashima Strait on the 29th of November and advanced to Mako on the 2nd of December.
The main ships attached to Philippine Seizure Force were as follows, and each ship advanced to Mako, Takao, Palau and other forward bases under the order of Vice Admiral Takahashi.
Revised operational plan (77-78-106-107-108)
Upon receiving Southern Force orders nº 10 and nº 11 of the 28th of November, Vice Admiral Takahashi ordered that on the 29th of November, at 1400, either the 8th Destroyer Division or the 15th Destroyer Division of the 2nd Destroyer Squadron be incorporated into the Main Body of the Southern Force, and that the 3rd ship of the 5th Cruiser Division (NACHI) be ordered to sail to Mako in the morning on the 3rd of December. The reason for ordering the NACHI to sail to Mako was to send the revised operational order to the Palau advance troops. In response, Rear Admiral Tanaka, Commander of the 2nd Destroyer Squadron, assigned the 8th Destroyer Division and ordered it to advance to Mako during the 2nd of December. The NACHI also headed for Palau via Mako.
On the 29th of December, at 1430, Vice Admiral Takahashi informally notified the Philippine Seizure Force of his intention to change the operation plan, as follows:
The 5th Surprise Attack Force of the Philippine Seizure Force will be disbanded and the 2nd Destroyer Squadron (with 3 Destroyers Divisions115), the Minelayer / Netlayer
SHIRATAKA and the Patrol Boats PB-36 and PB-37 will be incorporated into the 4th Surprise Attack Force.
114On this translation and to have a uniformity of terms, the Philippine Forces are denominated as Philippines Seizure Force.
115The 2nd Destroyer Squadron will only have 2 destroyer division participating in the Davao and Jolo operation because the 8th Destroyer Division is with the Main Body of the Southern Force and the 18th Destroyer Division is escorting the Kido Butai in the Hawaiian Operation.
Vice Admiral Takahashi's decision to postpone the Davao offensive was based on the judgement that the Eastern Support Group, the 8th Destroyer Division and the 5th Submarine Squadron, which had originally been scheduled to operate east of the Philippines, had been changed to operate in the Malayan Sector, and that there were insufficient forces to attack and support Davao, which operated independently of the Eastern Support Force116. It is clear that the subsequent change in the Southern Force, which stipulated the transfer of part of the 11th Air Fleet's Land Based Attack Aircraft to the Malaya Seizure Force, would have a major impact on the Davao operation. Half of the KANOYA Naval Air Group was designated to be assigned to the Malaya Seizure Force and, according to the original plan, the KANOYA Naval Air Group was to advance from Taiwan to Palau on X+3 and X+4 to attack Davao, and the attack on Davao was to take place on X+6, pending the results of the KANOYA Naval Air Group's air raid. However, it was judged reducing the KANOYA Naval Air Group's forces by half, at the same time that the destruction of the Philippine Air Force was to be accomplished, would result in an inadequate attack on the Philippine Air Force, before the Davao attack.
When the flagship Heavy Cruiser ASHIGARA arrived at Mako on the 2nd of December, the Philippine Seizure Force Headquarters communicated with both Southern Force and Naval Air Force Headquarters, and on 3rd of December ordered a further change to the Philippine Seizure Force Operational Plan:
3rd of December, 1500:
Classified Philippine Seizure Force Order nº 1 is revised as follows: The text of the order is to be forwarded to the flying boat flights arriving at "Palau" and the Heavy Cruiser NACHI on the 4th:
1. The date of the "Davao" invasion is moved forward to X+14.
2 2nd Section of the 16th Destroyer Division117 is incorporated into the 5th Surprise Attack Force .
3 Before dawn on the X Day , the 1st Section of the 4th Aircraft Carrier Division and the 2nd Destroyer Squadron (lacking two and a half Destroyer Divisions118), in conjunction with flying boats, raid the Davao area as well as the Seaplane Carrier USS LANGLEY, after which the 2nd Destroyer Squadron will escort the 17th Minelayer Division.
4. Assault on Vigan and Aparri is postponed to X+1 day.
5. Heavy Cruiser MAYA is incorporated into the Main Body of the Philippine Seizure Force. Furthermore, the Heavy Cruiser NACHI is scheduled to arrive in Palau at 1000 on the 7th, returning from Mako.
116The Eastern Support Group, part of the Southern Force, operates independently from the Eastern Support Force of the Philippine Seizure Force.
117The 2nd Section of the 16th Destroyer Division is composed by the AMATSUKAZE and the HATSUKAZE but later on it’s the 1st Section (YUKIKAZE and TOKITSUKAZE) that goes.
118With the 1st Section of the 16th Destroyer Division and the 15th Destroyer Division. Later the 1st and 2nd Sections of the 16th Destroyer Division change places.
However, this change of plan by the Philippine Seizure Force was not discussed with the Southern Army in advance. On the following day, the 4th, the Philippine Seizure Force asked the 14th Army to approve the change of plan. It was explained that the date of the attack on Vigan and Aparri had been moved up because of the need to advance the Army 5th Air Division and 11th Air Fleet forces into northern Luzon as soon as possible due to the reduced strength of the Navy Air Force, and that the date of the Davao attack had been postponed for the aforementioned reasons. However, it was difficult for the 14th Army, which had made preparations for the X+2 attack, to move it up by a day as soon as possible. For this reason, the 14th Army accepted the postponement of the Davao invasion date but did not agree to move up the invasion dates of Vigan and Aparri. Vice Admiral Takahashi unavoidably changed the landing dates of Vigan and Aparri to X+2 again on the 5th of December, at 1400, and issued an order that the operational procedures should be in accordance with the original plan.

4 Operational planning and deployment of Philippine Seizure Force air units (46-83-107-109-110-111)
Deployment to war readiness positions
On the 21st of November, when the second War Readiness was issued, all units except the 21st Naval Air Flotilla and the KANOYA Naval Air Group had completed their deployment to ready positions for war. On the following day, the 22nd, the main forces of the 21st Naval Air Flotilla and the KANOYA Naval Air Group advanced from Kanoya to Taichu119 Naval Air Base in Taiwan.
On the same day, the 11th Air Fleet issued the formation of a fighter squadron to be dispatched and incorporated into the Malaya Seizure Force. The dispatched squadron was commanded by Commander Yamada and was composed by one squadron from each of the Tainan and 3rd Naval Air Groups and was attached to the 22nd Naval Air Flotilla on the 22nd of November. The force consisted of 14 Zero fighters and 3 land-based reconnaissance fighters from the TAINAN Naval Air Group, 13 Zero fighters and 3 land-based reconnaissance fighters from the 3rd Naval Air Group, and a total of 9 Type 96 fighters from both Naval Air Groups, for a total of 36 fighters and 6 land-based reconnaissance fighters. The YAMADA Naval Air Group departed from Tainan and Takao on the 26th and on the 27th of November with the support of 6 land attack aircraft of the MIHORO Naval Air Group and 2 transport aircraft from the 21st Naval Air Flotilla and completed its advance to Saigon Airfield by the 1st of December. However, during the advance, 2 Zero fighters were lost in the direction of the Leizhou Peninsula in South China.
Half of the KANOYA Naval Air Group (27 aircraft under the command of Captain Fujiyoshi Naoshiro) received an informal order on the 30th of November to join the Malaya Seizure Force and began preparations to advance into Southern French Indochina. On the 2nd of December, the Naval Air Group was officially ordered and left Taichu for Saigon on the 3rd but turned back due to bad weather on the way and, on the next day, departed Taichu.
Vice Admiral Tsukahara also organised a Naval Air Detachment of nine Type 96 fighters from the 23rd Naval Air Flotilla to engage in air defence in the Palau Islands area. Lieutenant Shiro Kawai (64th Class) was assigned as the commander. The KAWAI Naval Air Detachment left Takao on the 3rd of December on board the specially built Aircraft Carrier KASUGA MARU and advanced to Peleliu Naval Air Base in the Palau Islands on 5 December.
The 1st and 3rd Yokosuka SNLF departed Tateyama on the 26th of November aboard the NITTA MARU120, landed at Takao, and then arrived at Chiayi on the 2nd of December.
119Today Taichung.
120On the 1st of July 1942, the Passenger Cargo Ship NITTA MARU starts its conversion to the Escort Aircraft Carrier CHUYO.
Before the outbreak of war, the deployment bases and forces of the Philippine Seizure Force air units were as follows (Table 16).
Main units of the attached shipping assigned to the air force were as follows(73): These ships were to be engaged in various tasks, such as transport (base movement) and supply (Table 17).



Assessment of the situation (see Appendix I, Illustration III)
As a result of efforts to collect information on the strength, deployment and movements of the United States and Philippine air forces, the 11th Air Fleet Headquarters made the following assessment of the situation in early December, based on a synthesis of various types of information (83) (Table 18).
The performance of the main aircraft on table 18 was estimated to be as follows (Table 19).
The B-17 had already been built up to the E model, but it was assumed that the D model was deployed to the Philippines; the B-17 was the US Army's newest bomber, capable of action and attack; the P-35 was relatively old, but the P-40 was the US Army's newest war fighter in mass production and was particularly fast; the PBY-4 (flying boat) ) was slower, but its long range made it suitable for extensive patrols.
Based on a combination of various types of information, 11th Air Fleet made the following assessment of the United States-Philippine air force's movements at the beginning of December: (83)
1 Large bombers are scarce in their operating bases and mainly use Clark and Nichols bases, sometimes operating to Iloilo, Panay Islands.
2 Flying boats use Cavite Military Port as a supply base and often operate in the direction of Tawi Tawi, Sulu Islands. There appears to be no permanent base facility for flying boats at Olongapo, Subic Bay.
These flying boats have been conducting patrols on the sea west of the Philippines since mid-November.
3 From November, the air force of the Philippines operated in the direction of Taiwan, and some of them are suspected to have conducted reconnaissance.
4 On 4 December, the main fighter force moved northwards to Iba and Del Carmen bases, centred on Clark.
5 The Seaplane Carrier USS LANGLEY departed Cavite on the 5th of December. Also on the same day, a 15-minute standby was ordered for fighters at Clark and Del Carmen bases.


Air operations challenges
The main problems encountered in the planning of air force operations were as follows: (83)
1 Decrease in operational forces
As mentioned above, Vice Admiral Tsukahara had long been acutely aware of the shortage of air power for operations in the southern sector. However, with the news of the appearance of British battleships, he was forced to allocate half of his Land Based Attack Aircraft to the Malaya Seizure Force, leaving him with only 117 land- based attack aircraft and 90 fighters for use in the Philippine Air Assault. As a result, Vice Admiral Tsukahara was left with no choice but to attack the main US air power around Manila with a much reduced force than he had intended.
2 Destruction of US air power around Manila
The destruction of the US air force at the beginning of the war was an operation that would determine the success or failure of the attack on the Philippines. Therefore, the operational planning of the air force prior to the outbreak of war placed the greatest emphasis on the operational details. At that time, the main issues studied and discussed were the following:
A) Deployment bases
The most alarming aspect for the air force was that our aircraft would be destroyed at their bases by a counterattack by the US Air Force. Therefore,
there was a plan to move some troops to the Hainan Island base and operate from there. However, if the base was divided into Taiwan and Hainan Island, the simultaneous full-scale attack might fail due to weather and other obstacles, and as the distance between Manila and Sanya on Hainan Island was approximately 700 nautical miles, it was recognised that it would be difficult to exert full-scale force due to the distance.
B) Selection of the time for the first attack
It goes without saying that the ideal first air strike on X Day would be to attack it in one fell swoop before the US Air Force was ready. However, the Combined Fleet gave priority to the Hawaiian surprise operation over other operations, and strict orders were given to all commanders not to commence combat operations in other areas until the Hawaiian operation had been launched. In addition, the air forces had not reached a confident capacity to attack in large formations at night. Therefore, since it was not possible to plan a pre-dawn surprise attack with full strength, a plan was proposed to carry out a surprise attack before dawn on the X Day with some forces, followed by an early morning attack by the main forces. However, this still required a night attack, and as the young crews were not sufficiently skilled, and the participation of fighters in particular was limited, it was judged that a reliable attack could not be expected, and in the end it was decided to carry out an all-out attack in the early morning to the extent that the most solid attack effect could be expected.
C) Selection of the first attack target
The first problem in the selection of attack targets was the question of how to allocate attack forces against air and sea forces. As mentioned above, the US Navy in the Philippines was being successively reinforced, and in particular, there was information that the number of submarines, which had been 17 until mid-November, had increased to 25 by the end of November. As a result, attacks on airfields by Land Based Attack Aircraft were less effective and submarines were difficult to capture and attack when they sailed into the ocean. Therefore, the majority of the land based attack bomber force would attack ships, especially submarines, in Manila Bay at the outbreak of the war, while the air attack would be carried out by the fighter groups . However, Vice Admiral Tsukahara finally decided to concentrate all air targets of the air strike on US air units. This decision was based on the following judgements:
(1) If a force of about 100 aircraft each of Land Based Attack Aircraft and Zero fighters is bifurcated into attacks on naval vessels and aircraft, it would make the air attack reduction warfare less thorough, considering the relative numbers of Japanese and US air forces.
(2) The bombing of airfields by land based attack bomber forces is less likely to cause harm if the grounded aircraft are suitably dispersed. However, in addition to the destruction of equipment, a significant
psychological effect on US forces can be expected. Also, fortunately, if the US forces do not take appropriate damage limitation measures, or if our forces succeed in a surprise attack, the effect will be enormous.
(3) In a situation where air power has increased, even if US maritime forces remain, they will not be a major obstacle to the invasion operation, but if the air destruction battle ends in failure, it will make subsequent air operations difficult and will also hinder the invasion operation.
(4) Attacks against submarines can be expected to be effective when submarines are anchored in concentrated areas, but it is difficult to achieve a reliable effect when they are dispersed within defence ports. According to intelligence, US submarines in Manila Bay have been departing successively in December and the number of US submarines in the bay is decreasing, so a major attack effect cannot be expected.
The second problem in selecting a moon marker was which airfields to attack in the first attack. Of the Luzon bases, it was known that only Clark and Nichols airfields could be used by large aircraft, so there was no objection to attacking these two airfields first. In addition to the right, the need to attack airship bases such as Cavite and Olongapo was also stressed. However, in the end, due to lack of forces, Clark and Nichols airfields were chosen as targets for the first attack.
3 Air and Naval Attacks in the Southern Philippines
In order to cut off the US Naval and Air Force's retreat to the south in response to the air destruction around Manila from the Taiwanese air bases, the Headquarters planned an attack on Del Monte base in Mindanao, where the runway had been recognized to be capable for use by large aircraft, by the TOKO Naval Air Group from Palau Naval Air Base.
There was also intelligence that the Seaplane Carrier USS LANGLEY was berthed in Davao. Therefore, at the beginning of the war, the Philippine Seizure Force planned to attack the USS LANGLEY with the 4th Aircraft Carrier Division naval air group.
4 Supply problems (111-113-114)
A) 20 mm machine gun ammunition
At the time, the Navy produced few 20 mm machine gun ammunition and units suffered from a severe shortage. Even the task force that went out to attack Hawaii could only prepare 150 rounds (enough for about 1.5 shots) for one Zero fighter. The 3rd Naval Air Group finally prepared two-shot rounds for 72 aircraft by the start of the war. The main reason for the shortage of 20 mm machine gun ammunition was that the production system was not ready, but
there had also been an accident involving an explosion in the thigh (in the barrel) at the time, so acceptance inspections were extremely strict.
B) Drop tank for Zero fighters (111) (additional fuel tank)
Before the war began, there was concern that the lack of tanks for the Zero fighters would hinder operations. Headquarters tried to supply the tanks by airlift from the interior, but the shortage could not be solved until just before the outbreak of the war, as only a single tank could be installed on each transport aircraft.
5 The capture of Calayan Island in the Strait of Luzon (111)
Among the Luzon Strait Islands, Batan and Camiguin Island were planned to be occupied on X Day by the Philippine 3rd Surprise Attack Force and some troops of the 14th Army. Towards the end of November, the Philippine Seizure Force's Air Force independently planned to occupy Calayan Island on X Day, in addition to the two islands on the above-mentioned, to secure an emergency airfield to accommodate emergency landing craft, and to destroy a radio telegraph station on the island. To this end, the 3rd Surprise Attack Force had one platoon of the 1001 Naval Air Group (3rd Yokosuka SNLF) embarked on the destroyer TACHIKAZE and set to occupy Calayan Island early in the morning of the X Day.
Operational Plan (35-46-83-84-110)
The air force's operational plan changed frequently in response to the changing situation of the US-Philippine forces. The final operational order was issued around the 20th of November, the outline of which was as follows:
1 Operational policy:
A) In cooperation with the Southern Army, first destroy enemy forces in the Philippine Islands sector, followed by the destruction of enemy forces in the Dutch East Indies sector.
B) The operation is divided into the following three phases:
1st Phase: The Battle of the Philippines Island, up to the landing of the main army forces.
2nd Phase: Up to the landing of the main army forces in the Malaya Sector.
3rd Phase: until the end of the southern campaign.
C) The operations against the Philippines Sector will start with a pre-emptive air raid.
2 Philippine Islands Operational Instructions:
A) Prior to the start of the war, weather reconnaissance and information gathering in the area of operation will be carried out. In the event of a pre- emptive air raid by US forces, a counterattack will be launched immediately. However, before the X Day is announced, it will be by order of the Emperor.
B) Operations on X Day will be as follows.
(1) At midnight of X-1, conduct weather reconnaissance over the main shipping lanes in the direction of Manila Bay, and at sunrise of X Day (0715), launch a pre-emptive air raid with the Combined Army and Navy Bomber Force against the bases at Clarke and Nichols.
(2) Attack enemy air bases in the Davao area with an Aircraft Carrier Air Group.
(3) In conjunction with the attack on Batan Island by the Philippine 3rd Surprise Attack Force, raid Calayan Island with some forces and establish an emergency landing site.
C)Thereafter, the main force in Taiwan will be used to destroy enemy air forces in the Manila area and also attack ships in the same area.
D) As soon as possible after the outbreak of war, the KANOYA Naval Air Group will advance to Peleliu Naval Air Base in the Palau Islands and attack the Southern Philippines.
E) Upon the capture and maintenance of Aparri and Legazpi airfields, to both airfields, deploy part of the fighter units of the 3rd and TAINAN Naval Air Groups and conduct a thorough air attack in the Luzon Island sector, and attack enemy air forces in the Central and South Philippines.
F) Occupy and maintain Miri and Kuching airfields in British Borneo and move some of the most capable forces into the two air bases to strengthen the attack in the Malaya and Dutch East Indies Sectors.
G)With the capture of Davao and Jolo airfields, the main air forces will advance to both bases to wipe out the remaining enemies in the Philippines and launch a full-scale air campaign against the Dutch East Indies.
3 Force deployment prior to the outbreak of war: As mentioned above.
4 Naval Air Formations
A) 1st Phase of Operations (See Table 20)
B) 2nd Phase of Operations (See Table 20.1)

![]() |
(See Appendix I; for the situation of US forces, see "Chapter 9" of Part I Advance on the Philippines)
1 Operations immediately before the outbreak of war
Status of friendly forces
On the 2nd of December of 1941, Vice Admiral Kondo, commander of the Southern Force, and Vice Admiral Takahashi, commander of the Philippine Seizure Force, advanced to Mako and issued a partial change of the force’s assignments, as already mentioned. That night, all units received the Combined Fleet order of "Niitaka yama nobore 1208"121.
121Climb Mount Niitaka 1208: Hostilities will start on the 8th of December.
In early December, the Malaya Seizure Force commanded by Vice Admiral Ozawa had deployed most of its surface forces to Samah on Hainan Island and most of its base air force to the air bases at Southern French Indochina. On the 1st of December, the 4th Submarine Squadron of the Malaya Seizure Force sailed to Samah, and on the 4th, the main forces followed, escorting the Army advance convoy of the Malayan Invasion Force. In conjunction with this, the unit's air force began patrolling the South China Sea and escorting convoys. Vice Admiral Kondo also took this as a precaution and sailed out of Mako the same day with the Main Body of the Southern Force to begin his march southwards.
Meanwhile, on the 3rd of December, the British announced that the two battleships HMS PRINCE OF WALES and HMS REPULSE, under the command of Admiral Phillips, had arrived in Singapore on the 2nd of December. This announcement was judged to be a sign to our country, but the advance of the HMS PRINCE OF WALES, the most powerful battleship in the world, and a talented commander who had previously been Deputy Chief of the Naval Staff, into this area was a great threat to our country.
While the Malayan invasion convoy was advancing on the southern sea of French Indochina, it was intercepted by British planes on the 6th at 1345. Vice Admiral Ozawa ordered the British aircraft to be shot down, but our fighters failed to do so. Vice Admiral Ozawa took strict precautions against a pre-emptive attack by the Royal Navy and Air Force. Upon receiving news of this British aircraft contact, Vice Admiral Kondo judged that it was highly probable that the British fleet would meet the Malayan invasion convoy at sea, so he took emergency measures to refuel destroyers from battleships on the 7th, risking stormy weather, and continued southwards while preparing for battle. However, no change in the enemy situation occurred thereafter. On the 7th, in the vicinity of the Malayan invasion convoy, Army fighters finally shot down a British flying boat in search of the enemy, again putting all the troops on tenterhooks. At the time, the Main Body of the Southern Force was also advancing around 150 nautical miles southeast of Saigon, preparing for a counterattack by the British fleet.
However, again there was no enemy counterattack, and on the same night, the Malayan invasion forces approached the various landing points on the Malaya Peninsula.
In the Philippine Island Sector, the Main Body of the Southern Philippines Support Force (the main forces of the 5th Cruiser Division, 4th Aircraft Carrier Division and 2nd Destroyer Squadron), commanded by Rear Admiral Takagi, sailed from Palau on the 6th of December, aiming to raid Davao early in the morning of the 8th, and by midnight of the 7th they were about 200 nautical miles away. In addition, the 4th Surprise Attack Force, 11th Seaplane Tender Division and the Minelaying force (with the 17th Minelayer Division) for the Legazpi assault were standing by in Palau in preparation for the sortie on the 8th.
Meanwhile, the units of the Northern Philippines Invasion Forces, the 1st Surprise Attack Force, departed from Mako at 1630 on the 7th and headed for Aparri, followed by the 2nd Surprise Attack Force, which was to assault Vigan, and the Main Body of the Philippine Seizure Force. The 3rd Surprise Attack Force also sortied from Fangliao and Takao after 1800 on the same day and was on its way to capture Batan and Camiguin Island.
In addition, Submarine I-124 was heading 5 nautical miles southwest of Lubang Island out of Manila Bay to assist crash-landed aircraft, and surveillance boats (fishing boats and others) belonging to the Mako Guard District were also deployed in Bashi Strait in preparation for the assistance of crash-landed aircraft.
Philippine Seizure Force Air Force
In December, the Air Force, which had been conducting weather reconnaissance and patrols in the waters around the Philippines and gathering information on US forces in the Philippines, conducted:
On the 1st of December: reconnaissance around the Philippines with two land based reconnaissance aircraft
On the 2nd of December: reconnaissance around the Philippines with four Land Based Attack Aircraft and patrols on the south-eastern sea surface of the Philippines with 18 flying boats.
On the 4th of December, the air force, which had been conducting dawn launch training with the Army air units since the 1st of December, stopped training and temporarily withdrew to Hsinchu, Taiwan to guard against a surprise attack by the US air force, and conduct patrols with 2 reconnaissance aircraft and 10 flying boats and forward patrols (anti-aircraft watch) in the south of Taiwan with 9 Land Based Attack Aircraft.
On the 5th of December, 2 land based reconnaissance aircraft conducted reconnaissance around the Philippines, and 6 Land Based Attack Aircraft conducted forward patrols. On the same day, the Air Force conducted the last dawn launch training of all attack forces, as a means of concealing their plans. From then on, all
personnel were forbidden to go out, and each unit carried out aircraft maintenance in preparation for the outbreak of war.
On the 5th, Vice Admiral Tsukahara synthesised various information and made the following judgment on the US Navy and Air Force's forces, deployment (already mentioned) and their actions: (35-110)
1 Most of the United States surface and submarine forces that were berthed in Manila Bay in late November are no longer in the bay, and the surface forces are believed to have been moved to the Southern Philippine Sector, while the submarine forces are believed to have been deployed to various locations. According to radio reports, several US submarines are in action in the Palau area and in the waters west of Luzon. Since early November, there have also been several reports of submarines in operation on the surface near Taiwan.
2 Most of the heavy bombers are based at Clark and Nichols, with some dispersed to Nielson, Iba, Camp Murphy and Del Carmen Air Bases.
3 On the 5th of December, the US Air Force ordered a 15-minute standby. Around this time, radio intercepts revealed that US commanders had been assembled and hotel reservations for the weekend in Baguio (a summer resort) had been cancelled, and the rush of US forces was detected. (110-111)
![]() |
On the 6th, 3 land based reconnaissance aircraft carried out reconnaissance around the Philippines and spotted one 5,000-ton class merchant ship to the west of Orchid Island. 15 flying boats from Palau also scouted the sea areas around Palau, the Philippines and New Guinea (58-115). On this day, Vice Admiral Tsukahara made the following decision regarding the operational policy to be adopted concerning the US air force. (83)
1 The advance of the Japanese air force would be gradually reduced by defensive combat.
2 The attack on the Taiwan base would be carried out by taking advantage of the favourable weather conditions and avoiding a power struggle, and the use of attack aircraft would be focused on destroying the convoys. In this case, it is highly probable that large aircraft will retreat to the Iloilo area to outflank Japanese air units.
Reference.
At the time, our Navy was studying radar and was aware of its function, but the 11th Air Fleet Command was not paying attention to the US radar in the Philippines. (111)
On the 7th, 1 flying boat from Palau conducted the last reconnaissance of the waters around Mindanao. However, no ships or aircraft were spotted.
That afternoon, the commanders and staff of the 11th Air Fleet and the Army 5th Air Division assembled at Takao Air Base to discuss the operation. The weather map for the day was examined in detail. There was a low-pressure area of 760 mm (1,013 millibars) on the east coast of French Indochina, but an isobar of 766~760 mm extended east to west from Taiwan to Luzon Island, and the weather on the 8th was judged to be suitable for air operations. Therefore, the Army and Navy Air Forces confirmed that the air operations would be carried out on the 8th as planned. (39-110-111)
Also on this day, the 7th, the Destroyer TACHIKAZE, which was to establish an emergency landing site on Calayan Island, departed from Takao with one platoon of the 3rd Yokosuka SNLF on board.
2 1st Strike
(see Illustration 3)
Attack Plan (35-39-46-83-110)
On the 7th of December, Vice Admiral Tsukahara synthesised various information and decided the attack plan for the following day, the 8th of December, as follows (See Table 21).


Sunrise in Manila on the 8th of December was at 0709. The attack force was planned to launch from the base at 0230 and raid Clark and Nichols airfields at once immediately after sunrise at 0730. The task force's surprise attack on Hawaii was scheduled for 0330.
In accordance with this plan, a detachment of the KANOYA Naval Air Group based at Taichu Naval Air Base advanced to Takao Naval Air Base on the 7th. (115)
In the evening of the 7th, the air force commanders announced to the personnel that Japan would start the war against the US and Britain on the 8th and gave them instructions to fight bravely and encourage them. The air units thus proceeded with final preparations for the sortie on the 8th of December at 0230.
Reference.
When Lieutenant Commander Tsunoda Takashi, 11th Air Fleet Headquarters, who visited the bedrooms of the junior officers' crew that night, saw them all sleeping peacefully and soundly, he recalled that he wondered if he would ever be able to be so prepared.
Dense fog delays the launch of the attack force
At 2135 on the 7th, 2 Land Based Attack Aircraft of the 1st Weather Reconnaissance Squadron departed from Tainan Naval Air Base. The 1st at low altitude and the 2nd at high altitude and headed south near the planned attack route. The 2 aircraft passed off Cape Bojeador on the north-western tip of Luzon Island and reached a point at 220°25 nautical miles off Corregidor Island at 0030 on the 8th and turned around. 2 Land Based Attack Aircraft of the 2nd Weather Reconnaissance Squadron also departed the base at 2330. The 2nd of these aircraft was boarded by Air Staff Officer Shimada Koichi, 11th Air Fleet, who conducted a reconnaissance. The 1st aircraft turned around 100 nautical miles west of Batan Island in the Luzon Strait, and the 2nd aircraft turned around another 100 nautical miles to the south. The reconnaissance by both units determined that the weather conditions in the area of operations were such that a night attack by the Combined Bombardment Force of the Navy and the Army would be possible. However, the US forces, having detected the movement of our reconnaissance aircraft, ordered all aircraft to stand by for 15 minutes from Manila to Iba and Clark bases at 0015 on the 8th. This fact was discovered by the enemy communications team of the Takao Signal Corps when they intercepted US military communications. At the same time, the US forces began jamming the radio signals used by our weather reconnaissance units. Furthermore, the Takao Signal Corps intercepted six US fighters departing from Iba Air Base at 0100 to intercept our weather reconnaissance aircraft. From the above facts, Vice Admiral Tsukahara judged that, as expected, the US forces were on high alert and that the fighters had excellent skills, even capable of night air combat. At that time, our Navy could not conduct night air combat of fighters without the cooperation of searchlights.
The various units of the 11th Air Fleet122 began preparations for the launch at 0230. However, fog began to form in the Taiwan area from around 2330 on the 7th, and by 0100 it had become so thick that it was not expected to clear for some time. At that time, fog often appeared in southern Taiwan at midnight, but usually disappeared before dawn. For this reason, the 11th Air Fleet Headquarters decided to wait for the foggy weather to clear before launching the 1st and 2nd TAINAN Air Squadrons from Tainan Naval Air base, while the 3rd, TAKAO and KANOYA Naval Air Groups from Takao Naval Air Base, would launch as planned. However, around 0130, a dense fog also came in the direction of Takao. The 11th Air Fleet Headquarters had no choice but to order a "two-hour standby after 0500" and delay the launch of the attack force.
122Although the Army Air Force was also facing the same problems, this volume of Senshi Sosho deals only with naval operations giving the impression that many times this is only a naval operation. The animosity between the Army and the Navy, even in the 1970’s made it impossible to have a unified account of the Japanese actions during World War II. Volume 1 deals with the Imperial Japanese Army invasion of Malaya and Volume 2, the Imperial Japanese Army invasion of the Philippines.
Reference:
The order to line up the attack force was given, and several hundred aircrews lined up in the darkness at Takao Naval Air Base to receive the order and instructions to attack. Lieutenant Commander Tsunoda , who was present at the order, was deeply moved at the thought of how many of them would make it home safely, given the alert status of the enemy and the capacity of the enemy crews, as judged by their night fighting capabilities. He recalled after the war that he was greatly relieved to find the crew sitting around the aircraft, chatting, laughing, taking corners and making fists, not at all different from what he was used to seeing.
![]() |
At 0200, the 11th Air Fleet Headquarters invited the various squadron staffs to discuss the changing course of the operational plan. Due to the delay in the attack time because of the thick fog, the fact that the US fighters were judged to be more elite than expected, and the fact that the main US fighter force was concentrated in advance on the Clark and Iba airbases, Vice Admiral Tsukahara decided to stop attacking the Manila area and changed the plan to concentrate the first attack on the Clark and Iba bases.
Note
Due to the Zero's cruising capacity and the number of rounds carried by the machine gun (a 20 mm machine gun has only 60 rounds per gun), it was necessary to avoid being caught in an air battle by US fighters in the Clark and Iba areas on the way home after conducting an air battle in the Manila area.
At 0320, the 11th Air Fleet Headquarters learned of the success of the Task Force surprise attack on Hawaii through the locator of the Takao Signal Corps and subsequently learned that the Commander of the US Pacific Fleet had issued a telegram in plain language to the Asian Fleet to commence operations around 0415. Here, there was concern that the US air force, especially the B-17s, would attack our air force, which could not launch due to fog. The time of the attack was judged to be around 0800 or later. At that time, the fog in the Taiwan area was generally extremely low, with the upper limit even being less than 100 metres, so it was considered possible for B-17s to attack airfields in Taiwan.
Around 0420, the fog in southern Taiwan began to thin and there were signs that the weather was improving. However, the attack time was delayed, so Vice Admiral Tsukahara revised the attack plan again. The details of the new plan were as follows:
The KANOYA Naval Air Group Land Based Attack Aircraft would launch first, approach Iba Airfield and provide a diversion for the attack, and when the US fighters launched to intercept, the bombers would retreat accordingly. After about two hours, when the US fighters had landed for refuelling, the entire attack force was to rush to Iba and Clark airfields at once.
However, thick fog came in again around 0600, and hopes of a sortie were lost. The air force was extremely anxious about the coming of the US air force, and all the officers in the unit had trained hard day and night in preparation for this day, but only on this day was the fog slow to dissipate, and they were prevented from launching their sorties from the beginning of the war and were forced to face the danger of being cut off.
The fog began to lift around 0850. Vice Admiral Tsukahara, who was worried that the attack force would return home at night because of the delay in launching the attack force, decided to stop the diversionary operations of the Kanoya Air Force, concentrate all attack forces at Clark and Iba, and revised the plan three times so that the slow Type 96 Land Based Attack Aircraft would launch at 0915 and the others at 1015, and attack both airfields at 1330. As a result, a squadron of 27 Land Based Attack Aircraft from the TAKAO Naval Air Group , 27 Type 96 Land Based Attack Aircraft (1st Naval Air Group) and 36 Zero fighters (TAINAN Naval Air Group) were directed to Clark Field, and 54 Land Based Attack Aircraft (27 each from KANOYA and TAKAO Naval Air Groups) and 54 Zero fighters (45 from the 3rd Naval Air Group and 9 from the TAINAN Naval Air Group) were directed to Iba.
The fog in the Takao area finally dissipated at around 1000, just before the attack force was to launch. The leaders of the 11th Air Fleet, who had been worried about the B-17 attack during this time, were greatly pleased and relieved that the attack force was launched without incident.
Reference
In the Taiwan area, fog usually appeared before dawn, but it usually disappeared around dawn. On the morning of the 8th, the fog did not lift and became thicker. However, in Taiwan, near the southern tip of the island, the fog lifted at daybreak as usual.
Air raid warning issued (35-39-110-111)
Air defence at Taiwan by air force began early in the morning with 15 Type 96 land transport aircraft (Unit 1001) of the 1st Naval Air Group deployed at Chiai Naval Air Base, which conducted forward patrols on two lines 80 nautical miles and 120 nautical miles south of Takao (in the afternoon they were replaced by Land Based Attack Aircraft also from the 1st Naval Air Group). In addition, the TAINAN and the 3rd Naval Air Groups had Zero fighters and Type 96 fighters on standby that were not to be used in the offensive operations. The Army's 5th Air Division also had fighters on standby that would not be used in the advance operations.
Just after the 11th Air Fleet Headquarters had felt relieved that it could finally launch all the attack groups, reports came in from the first-line aircraft of the forward patrol followed by the second-line aircraft that 8-10 large enemy aircraft were flying northwards, and at the same time there were reports from the watchtower at the southern tip of Taiwan of enemy aircraft arriving at 1050 at the Taiwanese islands. Vice Admiral Tsukahara judged that B-17s were coming and immediately contacted the 14th Army Headquarters and the Taiwan Governor-General's Office to issue an air raid warning and also sent out fighters on standby to intercept. The 5th Air Division also immediately took air defence measures.
However, no US aircraft came to the Takao area, and for a time 11th Air Fleet thought that the enemy might move northwards along the east coast of Taiwan and attack the Taipei area, but there was no sign of this, so the air raid warning was lifted after about two hours. The air force felt as if it had been tricked by the enemy. A report from the 14th Army Headquarters on the evening of the same day revealed that this aircrafts were Army aircraft that had been launched as planned, attacked the Philippines and were returning home. As the departure of the attack force was delayed due to fog, and it was judged that an attack by B-17s was inevitable, the headquarters was extremely busy and had no time to check the operational status of the Army's aircraft squadrons on the morning of the day. In addition, the 11th Air Fleet headquarters did not receive any report from a fighter of the Army Air Force (one aircraft), which had returned after losing sight of its comrades' aircraft, nor did it take any action to request a report from the fighter. Therefore, until the evening when the Army contacted them, 11th Air Fleet assumed that the aircraft was an enemy aircraft.
Attack on Iba Airfield (83-110-111-115-117)
Headed for the attack on Iba Airfield were the 1st Bomber Squadron ( 27 Land Based Attack Aircraft of the TAKAO Naval Air Group), the 3rd Bomber Squadron (27 Land Based Attack Aircraft of the KANOYA Naval Air Group) and the 1st Fighter Squadron ( 44 Zero fighters of the 3rd Naval Air Group and 9 Zero fighters of the TAINAN Naval Air Group).
The 1st Bomber Squadron, commanded by Commander Suda (51st Class), departed from Takao Naval Air Base at 1038, followed by the 3rd Bomber Squadron, commanded by Lieutenant Commander Irisa (52nd Class) at 1055, and the 1st Fighter Squadron, commanded by Lieutenant Yokoyama (59th Class) at 1055. The fighter squadron, while indirectly escorting the Land Based Attack Aircraft squadrons, proceeded southwards all the way to Iba. Two Zero fighters and one Land Based Attack Aircraft of the 3rd Bomber Squadron had to turn back halfway through due to malfunction, so the attack force was reduced to 51 Zero fighters and 53 Land Based Attack Aircraft.
The attack force did not meet in route and, at 1340, fighters first entered the airspace over Iba airfield. Several US fighters were overhead. The 1st Fighter Squadron immediately attacked the US fighter force, shooting down most of them, but some escaped. Immediately afterwards, at 1344, the 1st Land Based Attack Aircraft Squadron bombed the airfield with 324 60-kilogram bombs, and a minute later the 3rd Land Based Attack Aircraft squadron bombed with 26 250- kilogram bombs and 162 60-kilogram bombs. The 1st Fighter Squadron, which had destroyed the US fighter units, was led by one section (nine aircraft) to control the airspace, while the others repeatedly fired on the ground. The squadrons reported the following results:
1st Land Based Attack Aircraft Squadron: About 30 bombs fired on local planes.
3rd Land Based Attack Aircraft Squadron: 1 large aircraft and 5 small aircraft destroyed by fire; buildings and airfields heavily damaged.
1st Fighter Squadron: 9 small aircraft destroyed by fire, 4 heavily damaged (excluding the Gunfighter Section).
At 1400, 1 land based reconnaissance plane of the 3rd Naval Air Group conducted a reconnaissance of the Iba airfield and confirmed the following situation:
1 - Airstrip unusable due to bombing.
2 - 10 small aircraft observed on airfield, three in flames, others badly damaged.
3 - Bunkers on both sides of the runway under fire.
4 - 2 areas in the north-east part of the airfield under fire.
After completing the attack on Iba airfield, the 1st Fighter Squadron went on to attack Clark Field. At 1650 all aircraft of the 1st Land Based Attack Aircraft Squadron returned to Takao. 24 aircraft of the 3rd Land Based Attack Aircraft Squadron also returned to Takao by 1730. However, 1 aircraft of the same squadron landed in Tainan, and 1 other aircraft, which was delayed, crash-landed near Takao Airfield in 1950, wrecking its aircraft and killing three crew members and seriously wounding four others.
Reference.
The fighter squadrons had extremely strong crew morale, partly due to the performance of the Zero fighters they used and the power of the 20 mm cannon they were equipped with. In one or two instances, some of them dropped low to the ground to attack ground planes, and there were even some who caught electric cables and other objects on the ground with their aircrafts. Another example is that Flying Sergeant First Class Yoshio Koike: hit in the face by an enemy bullet on a wind shield and undeterred by his injuries, he flew 450 nautical miles to reach Takao Naval Air Base and upon landing fainted. After being taken to the hospital room, he was examined and found to be blind in one eye, with only slight vision remaining in the other eye, which he could distinguish between light and dark. The same struggle of the Zero Squadron was also made by the 2nd Fighter Squadron, which is described later.
Attack on Clark Field (83-110-115-117)
Tasked to attack Clark Field were the 2nd Bomber Squadron (27 Land Based Attack Aircraft of the TAKAO Naval Air Group), the 5th Bomber Squadron (27 Land Based Attack Aircraft of the 1st Naval Air Group) and the 2nd Fighter Squadron (36 Zeros of the TAINAN Naval Air Group).
The 5th Bomber Squadron, commanded by Lieutenant Commander Osaki (58th Class), departed from Tainan at 0918. One of the planes had a punctured wheel on take-off and burst into flames, killing 5 crew members and seriously wounding 2. The 2nd Bomber Squadron, commanded by Lieutenant Commander Nonaka (57th Class), departed from Takao at 1030, and the 2nd Fighter Squadron, commanded by Lieutenant Shingo (59th Class), departed from Tainan at 1045.
1 aircraft of the 2nd Fighter Squadron turned back in route due to a malfunction. As the squadron moved south through the Luzon Strait, it spotted a heavy bomber squadron heading north towards Taiwan. Part of the squadron immediately began a close-in movement. However, the bombers were aircraft of the Army 5th Air Division, which was returning home after completing the attack on Philippines. Because of this movement, a Zero Fighter lost sight of its comrades and returned directly to Tainan.
The 2nd Fighter Squadron and 2nd Bomber Squadron pursued the 5th Bomber Squadron on the way, and the entire attack group entered the skies over Clark Field around 1335. The airfield was lined with many aircraft and there were no fighters waiting overhead, so the attack was a complete surprise. At 1335 the 5th Bomber Squadron bombed the airfield with 312 60- kilogram bombs, and immediately afterwards the 2nd Bomber Squadron bombed the airfield with 324 of the same bombs. While 1 Section of the 2nd Fighter Squadron conducted overhead control, three other Sections repeatedly fired on the ground. After the attack on Clark Airfield, 3 more Sections of the 2nd Fighter Squadron went on to attack Del Carmen Airbase. The squadron engaged in a fierce dogfight with intercepting US fighters over Del Carmen airfield, shooting down most of them before turning to fire on the airfield. Meanwhile at 1400, the 1st Fighter Squadron also reached the airspace over Clark Field and engaged in a dogfight with US fighters, destroying them and then repeatedly opening fire on local aircraft. The attacking force reported the following results in the same area:
2nd Bomber Squadron: 40 aircraft blown up.
5th Bomber Squadron: 16 large and medium aircraft, 6 small aircraft, 3 hangar bombings
2nd Fighter Squadron:
Clark: 3 twin-engine, 5 four-engine, 3 other planes destroyed by fire.
Del Carmen: 7 shot down (5 others uncertain), 21 grounded aircraft destroyed by fire.
1st Fighter Squadron:
Clarke 9 (including 6 over Iba) large aircraft, 6 medium aircraft, 5 small aircraft, 5 small aircraft destroyed by fire.
At 1415, 1 land based reconnaissance aircraft of the TAINAN Naval Air Group saw 6 large aircraft, 2 medium aircraft and 2 remaining aircraft under fire at Clark Field, and at 1420, 1 airborne aircraft and 12 at the ground (1 of which was under fire) at Del Carmen. 4 Zero fighters of the 2nd Fighter Squadron and 3 Zero fighters of the 1st Fighter Squadron (including 1 from the TAINAN Naval Air Group) were lost in the fighting that day.
The 5th Bomber Squadron returned to base at 1545 and the 2nd Bomber Squadron at 1640. Most of the 30 aircraft of the 2nd Fighter Squadron returned to Tainan by 1700 after refuelling at Hengchun (Pingtung), and 48 aircraft of the 1st Fighter Squadron also returned to Takao at 1710.
Other operations (115-117)
4 Land Based Attack Aircraft of the 1st Naval Air Group carried out anti-submarine escort of the 1st and 2nd Surprise Attack Forces from 0927 to 1815. In addition, 1 Land Based Attack Aircraft of the 1st Naval Air Group carried out a patrol to Palawan Island in the western part of the Philippines to watch the sea west of the island but did not get any enemy contact.
Meanwhile, 25 light bombers of the Army's 5th Air Division’s 8th Army Air Group and 18 heavy bombers of the 14th Army Air Group launched sorties from Chiatung and Chaochou respectively in the early hours of the 8th. At the time, there was a light fog at both locations, but fortunately it did not hinder the launch. The 2 Army Air Groups reached Northern Luzon around 0800, but no aircraft were seen at the airfield. So, the 8th Army Air Group bombed Tuguegarao airfield and the 14th Army Air Group bombed the barracks at Baguio, and all aircraft returned to base by about noon. (111)
Battle results decisions (39-77-83-110)
Thus ended the air operations on the first day of the war. The 11th Air Fleet had compiled the results of the day's battles and judged the damage inflicted on the US forces to be approximately 125 aircraft, including those shot down and destroyed by fire. The number of aircraft was about half of the actual US aircraft that the command had estimated. In contrast, our losses were 7 Zero fighters and 2 Land Based Attack Aircraft. The 11th Air Fleet had expected a fierce intercept by US fighters, but few US fighters intercepted, and our fighters shot down most of them. The 11th Air Fleet was also expecting an inevitable counterattack by B-17s. However, the B-17s did not attack our Taiwanese bases, and instead we raided various aircraft, including B-17s on the airfields, and succeeded in destroying most of them in flames. There may be many reasons for this success, but we must admit that one of them was an unexpected stroke of luck. It was estimated by the 11th Air Fleet Headquarters that the attack by the Army Air Groups had a diversionary effect because the sortie of the attack force was unavoidably delayed due to thick fog, and that our attack took place around 1230 in the Philippines region, during their lunch break.
On the first day of the war, the air force dealt a major blow to the US forces and achieved results far exceeding pre-war expectations, and continued to strengthen air operations, aiming to expand on the results of the first day and promptly destroy the US air force. Meanwhile, the morale of the officers of the various units was further boosted by the great results achieved in the initial battle against the US air force, which was considered to be the best in the world, and they aimed to destroy the US air force at once. In the air battle against the P-40, which was regarded as the US Army's most elite aircraft, it was discovered that the air combat performance of the Zero was outstandingly superior. We also discovered that the power of the Zero's 20 mm cannon was immense when attacking aircraft on the ground. These factors boosted the morale of the Zero squadron at once.
3 2nd Strike
9 December (35-39-83-110-115-117)
9 Land Based Attack Aircraft (which did not participate in the air raid on the 8th) commanded by Lieutenant Kaneko (60th Class) of the 1st Naval Air Group, at 2245, departed from Tainan on the 8th. 2 aircraft turned back on the way due to malfunction, but 7 aircraft entered the airfield over Nichols Airfield in limited visibility and at 0430, bombed the airfield with 108 60- kilogram land bombs from an altitude of 5,500 metres. 2 hangars were set ablaze and one fire was detected. The attack group returned to the skies over Taichu at 0730, but could not land due to thick fog, and 1 aircraft landed at Pingtung and 5 at Takao. However, 1 aircraft attempting to land at Tainan Airfield crashed and its aircraft burst into flames, losing all seven members of the crew.
The 11th Air Fleet's attack plan for the day was to split the force in 2 and attack Nichols Airfield and naval vessels in Manila Harbour (or Cavite Military Port) at 1030. However, as on the previous day, fog developed at midnight. The fog cleared for a time around 0200 but became thick again around 0500. As the weather showed signs of recovery again around 0700, Vice Admiral Tsukahara postponed the sortie to 1100 and revised the plan to carry out the scheduled attack. However, the fog came in again. For this reason, Vice Admiral Tsukahara abandoned the attack on the same day and instructed the aircraft squadron123 to retreat to Taichu after the fog cleared.
Other operations on the day were as follows:
1- 1 Land Based Attack Aircraft of the 1st Naval Air Group conducted reconnaissance to the north of Palawan Island on the west coast of the Philippines and observed 2 medium-sized merchant ships in Lingayen Gulf.
2- 4 Land Based Attack Aircraft of the 1st Naval Air Group provided anti-submarine escort for the 1st and 2nd Surprise Attack Forces . One of them was badly damaged on take-off due to fog.
3- 4 Land Based Attack Aircraft of the 1st Naval Air Group carried out a search of the South China Sea west of the Philippines but found no signs of unusual activity.
4- 15 Type 96 transport planes, 3 in one line and 5 in 3 lines, carried out forward patrols from Taiwan. 1 aircraft touched an electric pole after take-off due to fog and was badly damaged, losing 5 men.
5- 1 plane from the Reconnaissance Squadron and 12 Zeros of the TAINAN Naval Air Group provided anti-aircraft direct escort for the 2nd Surprise Attack Force.
10 December, 2nd Strike (35-39-83-110-115-117)
Vice Admiral Tsukahara defined the following attack units: Night attack
0400 Cavite Naval Airbase: 9 Land Based Attack Aircraft of the 1st Naval Air Group
0545 Nichols Airfield: 9 Land Based Attack Aircraft of the 1st Naval Air Group Day attack
Manila Bay naval attack: 9 Land Based Attack Aircraft of the 1st Naval Air Group
Nicolls Airfield: 27 Land Based Attack Aircraft of the KANOYA Naval Air Group, 27 Land Based Attack Aircraft of the TAKAO Naval Air Group, 3 Land based reconnaissance planes and 34 Zero fighters of the 3rd Naval Air Group.
Del Carmen Airfield: 27 Land Based Attack Aircraft of the TAKAO Naval Air Group 27, Fighter Squadron of the TAINAN Naval Air Group
Cavite, Holongapo Flying Boat Attack: 22 Zero Fighters and 1 Land Based Reconnaissance plane of the TAINAN Naval Air Group
At 0330, a light rain was falling in the direction of Southern Taiwan. The weather officer predicted that the rain would soon stop and the weather would improve to suitable for flying. Vice Admiral Tsukahara decided to operate as scheduled, with the exception of the KANOYA Naval Air Group, which was based in Taichu, where the weather was extremely bad, and decided on a sortie time of 0830.
Around 0600, news of the successful landing at Aparri, followed by Vigan, arrived. Around 0700 the rain stopped. The 1st Naval Air Group, on the order of Vice Admiral Tsukahara, launched 1 Land Based Attack Aircraft for a weather reconnaissance at 0805. At 0820, Vice Admiral Tsukahara received a report that the Vigan Landing Force was being bombed by large US aircraft and ordered the TAINAN Naval Air Group to assist the landing force with Zero fighters. 0850, the weather had recovered somewhat, but the cloud cover was stagnant at altitudes of 150 to 200 metres. However, Vice Admiral Tsukahara decided to force the attack on the day and set the attack time at 1330 and ordered all air forces except the KANOYA Naval Air Group at the Taichu Naval Air Base, which continued to suffer from the extremely bad weather conditions, to launch sorties.
At 1003, 27 Land Based Attack Aircraft 124 of the 1st Naval Air Group, commanded by Lieutenant Commander Ozaki, departed from Taichu bound for Manila Bay. 1 aircraft on the way turned back due to malfunction. The squadron reached Manila Bay at 1400, and 17 aircraft of the 1st and 2nd Sections bombed Cavite Military Port at 1410. At 1445, 9 aircraft of the 3rd Section attacked ships in Manila Bay, followed by the Cavite Naval Arsenal. The squadron's reported results were as follows:
1- 2 submarines, 2 destroyers, a 7,000-ton class special purpose ship and a 500-ton class cargo ship, all moored at the Cavite Naval Arsenal pier, were hit by one 600- kilogram bomb each, causing a fire.
2- The naval engineering centre area became a huge fire, and the black smoke reached a height of 4,000 US.
3- A 3,000-ton class merchant ship in Manila harbour was hit by (2) 60-kilogram bombs, causing a fire.
However, it rained again in the afternoon in the Taichu area, making it difficult to fly. As a result, 1 aircraft crash-landed near Orchid Island and one in Takao Harbour. The crew was rescued, except for one missing person. The other 24 aircraft dispersed and landed in Takao, Taichu, Pingtung and other areas.
27 Land Based Attack Aircraft 125 of the TAKAO Naval Air Group commanded by Commander Suda departed from Takao at 1024 with fighters of the 3rd Naval Air Group and bombed Nichols Airfield with 324, 140 and 600-kilogram bombs. They caused 4 fires and blew up 10 aircraft on the ground. 1 aircraft crash-landed on Vigan beach due to a malfunctioning engine, but the crew was unhurt. The others returned to Takao at 1725.
27 Land Based Attack Aircraft of the TAKAO Naval Air Group126 commanded by Lieutenant Commander Nonaka, together with 1 of the TAINAN Naval Air Group's fighter squadron127, departed from Takao Naval Air Base at 1030 and reached the skies over the Del Carmen airfield at 1342, but were blocked by dense cloud cover. The squadron therefore changed its target to ships in Manila harbour. The squadron hit four transports with 324 60-kilogram bombs. 1 of the squadron's aircraft also crash-landed near Orchid Island and two were slightly damaged. The others landed at Takao and Pingtung.
At 1010, the Tainan Fighter Squadron ordered to provide support to the Vigan Landing Force, commanded by Lieutenant Shingo with 1 land based Reconnaissance plane and 17 Zero fighters, departed from Taichu Naval Air Base. 1 Zero turned back on the way, but the others remained on patrol over Vigan until 1420, returning to Taichu. During this time, the squadron shot down one B-17.
At 1055, 1 land based reconnaissance plane and 22 Zero fighters of the TAINAN Naval Air Group departed from Taichu Naval Air Base. 4 aircraft turned back to base in route due to malfunction. 18 Zero fighters escorted the Land Based Attack Aircraft of the TAKAO Naval Air Group into the skies over Del Carmen at 1345. The Zero fighters engaged in a dogfight with the intercepting US fighters, shooting down 5 of them (2 of which were uncertain). They also destroyed 20 aeroplanes at the airfield by strafing. 1 Zero was attacked by US fighters during the strafing and crashed, while another crash-landed south of Orchid Island due to rain and sank. The other 16 aircraft landed in Pingtung and Taichu.
The 34 Zero fighters and 3 land-based reconnaissance plane128 of the 3rd Naval Air Group, commanded by Lieutenant Yokoyama, departed Takao at 1055 and entered the skies over Manila at 1340. The squadron, which did not see any US fighters in the air, immediately turned to strafing. A large number of US fighters came in to counterattack at 1345, and a fierce dogfight ensued between the Japanese and US fighter squadrons. In this dogfight, the Yokoyama Squadron shot down more than 30 US aircraft, and subsequently attacked airfields at Nichols, Neilson, Camp Murphy (near Manila) and other locations, destroying more than 30 aircraft in the process. The Yokoyama Squadron also lost 2 Zero fighters and 16 of its aircraft were hit. On the way home, flying was extremely difficult due to rain and low and dense cloud cover. Lieutenant Yokoyama, who was the last to leave the battlefield, was injured when he crash-landed near Taiwan’s southernmost point due to poor visibility and lack of fuel but was rescued by a nearby fishing boat. There were 3 other crash landings, but all crew members were rescued.
123It is not entirely clear but this order seems to be related with the 7 bombers from the 1st Naval Air Group from the previous paragraph.
124According with the Table 21, this must be the 5th Bomber Squadron that had 3 sections of 9 planes. The plane that had to turn back had to be from the 1st or 2nd Sections that bombed Cavite with only had 17 planes.
125According with the Table 21, this must be the 1st Bomber Squadron.
126According with Table 21, this must be the 2nd Bomber Squadron.
127According with table 21 this must be the 4th Fighter Squadron since the 2nd Fighter Squadron was engaged with the assistance to the Vigan landing force.
128According with Table 21 this must be the 1st Fighter Squadron.
1 land based reconnaissance plane of the TAINAN Naval Air Group scouted the airfields after the attack by our attack force for about an hour from 1430. As a result, only 4 aircraft under fire and 2 damaged aircraft were seen at Del Carmen and 2 large aircraft at Clark.
In the Taiwan area, the weather began to deteriorate gradually, contrary to expectations, after the attack force had departed. When the attack force returned to Taiwan, the situation was characterized by several belts of heavy rain, long from east to west and short from north to south, which gradually moved southwards. The rain was heavy at Air Base A and light at Air Base B, but within 30 minutes the rain had lifted at Air Base A and the rain was heavy at Air Base B. The 11th Air Fleet Headquarters was therefore responsible for the attack force's return. Eventually, 2 fighters returned to Takao Naval Air Base through the torrential rain, reporting poor weather conditions in route. Thereafter, information continued to come in from all directions that there were aircraft making emergency landings, and it became impossible to take control of the actions of the various attack units. 11th Air Fleet Headquarters tried to get a grip on the situation, but it was difficult to ascertain the actual situation, and at one point it was feared that most of the units might be lost. However, as night fell, the situation in each direction became clearer and clearer, and eventually the majority of the aircraft landed at army bases and other locations. As a result, the number of planes that crash-landed due to bad weather was 4 Land Based Attack Aircraft and 5 Zero fighters, and most of their crews were also rescued. The reason why there were so few losses in such bad weather was due entirely to the excellent skills of the crews at the time. However, as the squadrons had landed in various places, it was no longer possible to plan an attack for the following day in order to maintain the readiness of the squadrons.
The 11th Air Fleet Headquarters judged the overall result of the day to be about 100 aircraft destroyed and judged that we had destroyed most of the remaining US Air Force. In contrast, our losses included the loss of 3 Zero fighters in direct combat and the aforementioned crash landings.
Operations of the Army 5th Air Division (118)
On the 9th of December, the 5th Air Division, with a scouting party, was assigned to observe the US Air Force in northern Luzon, and to escort the Aparri and Vigan landing convoys with parts of the 24th and 50th Army Air Groups, which had advanced to Basco Airfield at Batan Island, which had been occupied on the 8th of December.
Operations on 10 December were as follows:
1- 24th Army Air Group, based at Basco Airfield, escorted the Vigan landing force.
2- A Squadron of the 8th Army Air Group supported the Kanno Detachment at Vigan during the fighting. It also engaged about 20 US fighters and reported the downing of 4 of them, but the squadron also lost 1 aircraft.
3- A Squadron of Heavy Bombers of the 14th Army Air Group bombed facilities at Iba Airfield.
On the same day, Tanaka and Kanno Detachments successfully landed at Aparri and Vigan respectively, and occupied Aparri and Vigan airfields.
4 3rd Strike
11 December (39-77-83-110-115-117)
On the 11th, the squadrons of aircraft that had dispersed and landed in various locations the previous day had to assemble at their home bases, and the crews of the planes that had crash- landed had to be accommodated. For this reason, taking apart the following operations full- scale advance operations were not carried out by the squadrons:
1- 5 Land Based Attack Aircraft of the KANOYA Naval Air Group scouted at an altitude of 5500 meters within 190°~222° nautical miles of Takao Harbour.
2- 4 aircraft of the KANOYA Naval Air Group carried out anti-submarine patrols on the western sea of Southern Taiwan.
3- 1 land reconnaissance plane and 8 Zero fighters of the TAINAN Naval Air Group carried out patrols over the sea between 0930 and 1115 at Vigan.
4- 1 of the squadron's land reconnaissance plane of the TAINAN Naval Air Group scouted the landing site of Lamon Bay.
5- 1 of the squadron's land based reconnaissance plane of the TAINAN Naval Air Group conducted a reconnaissance of the Manila area and confirmed the following:
Nichols: 2 hangars destroyed, 13 local aircraft. Nielson: 8 local aircraft
Camp Murphy: 27 local aircraft of various types
Cavite Military Port: submarine base, large fire at the Naval Engineering Depot.
6- 1 land based reconnaissance plane of the 3rd Naval Air Group conducted a reconnaissance of key areas on Luzon Island and confirmed the following:
Clark: 4 large local aircraft, one small. Del Carmen: 16 small local aircraft Olongapo: 8 flying boats, 1 light craft.
Iba: no aircraft in the air or on the ground
7- A Squadron of 9 aircraft of the 3rd Naval Air Group conducted patrols over Takao.
12 December, 3rd Strike (35-39-83-110-115-117)
Based on the previous day's aerial reconnaissance, Vice Admiral Tsukahara determined that the remaining US aircraft at airfields around Manila were 18 large aircraft, 30 small aircraft, 9 flying boats, 9 surface reconnaissance aircraft and 28 trainer aircraft. The Vice Admiral set the following policy for the following air operations:
1 According to intelligence reports, on 11th of December, the US military actively requested weather reports from Del Monte Air Base in Mindanao. There are indications that large aircraft from Luzon Island are retreating to Del Monte base, so the flying boats of the Palau base will attack Del Monte.
2 Promptly advance fighters to Legazpi airfield, which is scheduled to be assaulted on the 12th. In order to support the rapid maintenance of the airfield, attack aircraft and naval vessels stationed at Batangas (southern Luzon) and Iloilo, both close to Legazpi.
3 Sweep the remaining US air force.
4 As a result of the survey, the Aparri airfield was found to be difficult to share with the Army due to its size and soil quality. Therefore, as the air assault is progressing well, the 11th Air Fleet will cease advancing aircraft units to the Aparri Air Base and use it as an emergency landing site.
5 Strafing by fighters will be limited to large aircraft as targets, due to the need to destroy large aircraft first for subsequent operations, and because the US anti-aircraft fire has been enhanced.
The operations of the various units on the day were as follows.
27 Land Based Attack Aircraft129 of the KANOYA Naval Air Group, commanded by Lieutenant Commander Irisa, departed from 0710 Taichu Naval Air Base and headed for an attack on Clark Field. However, as dense clouds were hanging low over the area, the target was changed to Iba Airfield. The squadron bombed the airfield with 17 250-kilogram bombs and 20 60- kilogram bombs, causing fires in 3 places and destroying 2 local aircraft.
The 1st Naval Air Group Land Based Attack Aircraft Squadron, commanded by Lieutenant Commander Matsumoto Masami (52nd Class), departed from Tainan at 0630 and headed for the attack on Clark Airfield. The 1st and 2nd Sections broke through the dense cloud cover and bombed at an altitude of 300 metres, causing several fires and destroying several aircraft. The US Anti-Aircraft fire was so intense that the 1st Section's commander, Lieutenant Maruyama Saihei (62nd Class), received a penetrating gunshot wound to his right leg and 11 other aircraft were hit. 1 Land Based Attack Aircraft crash-landed west of Mount Arayat, east of Clark Airfield (119). The 3rd and 4th Sections changed their target to Iba airfield and attacked, setting 1 aircraft ablaze and 3 on fire.
A squadron of 27 Land Based Attack Aircraft from the TAKAO Naval Air Group, commanded by Lieutenant Commander Nonaka, and another Squadron of 25 Land Based Attack Aircraft also from the TAKAO Naval Air Group, commanded by Lieutenant Jiro Adachi (60th Class), departed from Takao at around 0800 and headed for the attack on Nichols Airfield. However, due to bad weather in the same area, the target was changed to Batangas Airfield. Both squadrons attacked the airfield with 612 60-kilogram bombs, 3 aircraft were burned, 5 aircraft were destroyed, 1 hangar was set ablaze and all aircraft returned home.
A Squadron of a land based Reconnaissance aircraft and 29 Zero fighters130 from the TAINAN Naval Air Group, commanded by Lieutenant Shingo, departed from Tainan at 0810 and flew over Clark Airfield at 1455. However, dense clouds prevented them from entering the airfield, so the 1st Section attacked Iba Airfield, setting 3 aircraft ablaze and destroying 3. The other 3 Sections entered Tarlak (Rosales) airfield but did not recognise any aircraft. On the way home, 1 aircraft landed at Vigan, but returned to base after repairing its malfunction.
1 land based reconnaissance plane and 9 Zero fighters of the TAINAN Naval Air Group, commanded by Lieutenant Mitsuzo Seto (64th Class), departed from Tainan at 0810 and attacked flying boats at Olongapo, Subic Bay, destroying 6 planes, 4 of them in flames.
A Squadron of 1 land based reconnaissance plane and 25 Zero fighters of the 3rd Naval Air Group, commanded by Lieutenant Kurosawa (63rd Class), departed from Takao at 0815 and headed for Manila. The squadron engaged in an air battle with intercepting US fighters, shooting down 8 P-35s and setting 6 Olongapo flying boats ablaze.
In addition, 2 land based reconnaissance planes of each of the Tainan and 3rd Naval Air Groups conducted reconnaissance of Lamon Bay, and 1 land reconnaissance aircraft of the Tainan Naval Air Group conducted reconnaissance of airfields in and around Manila. In addition, a total of 18 Type 96 fighters of the 3rd Naval Air Group conducted patrols over Takao Naval Air Base. On the same day, the Kimura Detachment of the Army occupied Legaspi Airfield as planned.
129According with Table 21 this must be the 3rd Bomber Squadron
130According with Table 21 this must be the 2nd Fighter Squadron
Operations of the Army 5th Air Division (118)
On the 11th of December the 24th Army Air Group conducted overflight patrols over the Vigan anchorage from its base at Basco Airfield and part of the group advanced from Chaochu Army Air Base to Vigan Airfield. In addition, the 8th Army Air Group of 4th Air Brigade supported the Kanno detachment's land combat in the Vigan area.
The main forces of the 50th Army Air Group advanced to Aparri Airfield on the 12th. On the same day, the Tanaka Detachment occupied Tuguegarao Airfield and Kanno Detachment also occupied Laoag Airfield.
5 Overview of the Air Destruction Battle
4th Strike and Other Operations (35-39-83-86-110-115-117)
On the 12th, the attack on bases in the Manila area was not thorough due to weather obstacles, and the attack on Del Monte was also not possible. The 11th Air Fleet Headquarters therefore planned an all-out attack on bases around Manila on 13th as follows (See Table 22)
![]() |
26 Land Based Attack Aircraft of the KANOYA Naval Air Group, commanded by Lieutenant Commander Irisa, departed at 0945 from Taichu and at 1340 bombed Nichols Airfield with 16 bombs of 250 kilograms and 216 bombs of 60 kilograms. The results of the battle were reported as 1 hangar on fire and 8 large aircraft destroyed. The anti-aircraft fire was intense and the number of aircraft hit reached 11.
26 Land Based Attack Aircraft of the 1st Naval Air Group, commanded by Lieutenant Commander Ozaki, departed from Tainan at 0930 and proceeded to attack Nichols Airfield under the guidance of 1 Land Based Attack Aircraft, which had preceded it for weather reconnaissance. At 1350, the squadron attacked the airfield with 316 60-kilogram bombs, destroying 3 small aircraft and setting 2 on fire.
A squadron of 26 Land Based Attack Aircraft of the TAKAO Naval Air Group Air, commanded by Lieutenant Adachi, departed from 0915 from Takao Naval Airbase and headed for Clark Field. However, due to bad weather conditions over Clark, two Sections bombed Olongapo and one Section bombed Ipa Airfield. Another squadron of 26 Land Based Attack Aircraft of the TAKAO Naval Air Group, commanded by Lieutenant Masayuki Miyake (61st Class), left the base after the Adachi squadron and at 1225 bombed Del Carmen airfield, setting 2 local aircraft ablaze and destroying 5 others. The bombs used by the 2 squadrons were a total of (4) 250-kilogram bombs and (612) 60-kilogram bombs.
Lieutenant Masao Asai (63rd Class) commanding a Squadron of 2 land based Recon and 18 Zero fighters of the TAINAN Naval Air Group departed Tainan at 1030, but 3 Zero fighters had to turn back due to malfunctions. The squadron supported the KANOYA and 1st Naval Air Groups squadrons’ attacks, and shot down a P-40 that came in. The squadron then attacked Nicholls, Neilson and Camp Murphy airfields, setting 2 large aircraft ablaze and destroying 3 large and 7 small aircraft. 1 Zero was lost in this battle.
A squadron of the 3rd Naval Air Group with 1 land based reconnaissance plane and 18 Zero fighters, commanded by Lieutenant Ichiro Mukai (63rd Class), departed from Takao at 0950 and reached the airfield at Clark at 1220. The squadron supported the Kanoya Miyake Squadron's attack on Del Carmen and then moved on to attack the airfield. The squadron reported 4 P-35 and 8 trainer aircraft on fire and 6 P-35 and 1 P-40 badly damaged. 1 Zero was lost in the battle. Petty Officer First Class Fumio Osumi was also hit and seriously injured during the attack and had to leave the battlefield. Petty Officer Osumi finally flew over Vigan Airfield, and, while on the verge of fainting, he used his last energy to skilfully avoid Army aircraft on the airfield and landed on his fuselage. He lost consciousness as soon as he landed, but his calm and controlled action earned him an army commendation. On receiving the news, the headquarters dispatched a medical officer by transport aircraft to assist Petty Officer Osumi. However, due to the poor airfield conditions, the transport aircraft also suffered a broken gear.
The attack on Del Monte Airfield by flying boats was postponed due to bad weather. 2 land based reconnaissance aircraft of the TAINAN Naval Air Group reconnoitred Lamon Bay, while the same aircraft and 3 land based reconnaissance aircraft of the 3rd Naval Air Group reconnoitred the area around Manila. 1 large aircraft was observed at Neilson Airfield, 5 large aircraft and 15 small aircraft remained at Camp Murphy.
On the same day, 12 Zero fighters and 12 Type 96 transport aircraft of the 3rd Naval Air Group conducted patrols over the base.
Operations of the Army 5th Air Division (118)
The 24th Army Air Group raided Del Carmen airfield with (8) Type 97 fighters from Vigan base and reported the destruction of 4 aircraft.
The 14th Army Air Group, with 6 heavy bombers, at 1130, attacked Clark Field and reported the destruction of 5 large aircraft and about 20 small aircraft on the ground. 6 heavy bombers also bombed the airfield at 1430.
A squadron of the 50th Army Air Group attacked Clarke Field at 1030 with 9 type 97 B fighters and reportedly bombed about 10 small aircraft on the ground.
17 light bombers of the 8th Army Air Group launched from Chiatung Airbase and bombed military installations at Tarlac and Baguio around 1100.
Overview of the Battle of Attrition (39-83-106-110-115)
During the 6 day period from the 8th of December to the 13th of December, the 11th Air Fleet forces stationed at Taiwan Air Bases were able to attack the Philippines with their full strength 4 times on the 8th, 10th, 12th and 13th of December. Vice Admiral Tsukahara judged the damage (shot down and destroyed) inflicted on the US air forces in the attacks up to the 12th as follows:
8th December: 125 aircraft 10th December: 104 aircraft 12th December: 37 aircraft Total: 266 aircraft (120)
On the 13th of December, the results of the battle were reported as 1 aircraft shot down and 44 aircraft destroyed on the ground, for a total of 45 aircraft, according to the reports of the various attack units. When the above figures were totalled, the damage inflicted on the US forces by 13th of December exceeded 300 aircraft. This figure exceeded the strength of the US air force in the Philippines, which was estimated by the 11th Air Fleet Headquarters before the war began. This estimate was, of course, based on erroneous observations, double observations, etc., but it was judged that the US air force had already suffered a devastating blow. After the attack on the 13th of December, land base reconnaissance planes conducted a thorough reconnaissance of the airfields around Manila and confirmed that there were only about 20 US aircraft remaining.
During this period, the Land Based Attack Aircraft and fighters that took part in the air destruction of the Philippines were as follows (excluding aircraft that turned back en route, but including the Vigan overhead patrol fighters):
Land Based Attack Aircraft: 412 in total
Dropped bombs: 250 kilograms 134 pieces, 60 kilograms 4,473 pieces, about 293 tons in total.
Zero fighters: 249 in total.
Our losses during this period were 1 Land Based Attack Aircraft and 12 Zero fighters from direct combat, and 7 Land Based Attack Aircraft and 5 Zero fighters from accidents and crash landings other than direct combat, for a total of 25 aircraft. However, most of the crews of the crash-landed aircraft were rescued.
Vice Admiral Tsukahara judged that the attack on 13 December had destroyed most of the air forces in the Philippines. Therefore, the attack on bases around Manila by the full strength of the air force was to cease after that day's attack.
1 The Luzon Strait Islands offensive
(see Appendix 2, Illustration 5)
Preparations for the invasion
The southern tip of Taiwan, Orchid Island, is separated from Luzon Island by Luzon Strait, which is about 200 nautical miles (370 km) across. The Luzon Strait is divided into three parts by the Batan and Babuyan archipelagos, which lie to the east and south of the Luzon Strait, and into Bashi Channel, Calayan Channel and Babuyan 131 Channel. The Batan Islands lie roughly in the middle of the Luzon Strait, of which Batan is the most important island in the archipelago, second only to Itbayat in terms of area. There is an airfield in Basco, Batan Island, and regular shipping services between Basco and Manila and Aparri. The Babuyan Islands are scattered between Batan and Luzon islands and comprise the main islands of Babuyan, Camiguin, Calayan and Fuga 132 . The Babuyan Islands are generally mountainous and overgrown with trees, and suitable airfield sites are scarce. The coastlines of both archipelagos have few bends, many of which open out into the ocean and are dominated by steep reefs (101). (See Illustration nº 4)
131Balitang Channel.
132Dalupiri Island is also part of the Babuyan Archipelago .
The occupation of Basco Airfield was initially planned solely by units of the Philippine Seizure Force, with Basco Airfield as a crash landing or relay base, and Camiguin Island Seaplane Base as an escort for the Aparri and Vigan invasion units and as a patrol base in the Luzon Straits area. Later, in the Iwakuni Agreement, part of the Airfield Battalion of the 24th Army Air Group was to be engaged in the maintenance of Basco Airfield, as mentioned above. The occupation of the Calayan Island crash-landing site was planned independently by the 11th Air Fleet.
The units that took part in the capture of Batan and Camiguin Island were as follows. (102-137)
Commander: Rear Admiral Sueto Hirose, Commander of the 2nd Base Force and Commander of the 3rd Surprise Attack Force of the Philippine Seizure Force
Forces:
Destroyer YAMAGUMO (Flagship) The 21st Torpedo Boat Division:
Torpedo Boat CHIDORI. Torpedo Boat HATSUKARI. Torpedo Boat MANAZURU.
Torpedo Boat TOMOZURU. Part of the 11th Minesweeper Division:
Minesweeper W-13. Minesweeper W-14.
52nd Subchaser Division:
Auxiliary Netlayer FUKUEI MARU nº 15 (46382). Auxiliary Subchaser TAKUNAN MARU nº 5 (43629). Auxiliary Subchaser SHONAN MARU nº 10 (47836).
53rd Subchaser Division:
Auxiliary Netlayer KOREI MARU (45717). Auxiliary Subchaser KYO MARU nº 2 (45132). Auxiliary Subchaser KYO MARU nº 11 (45199).
54th Subchaser Division:
Auxiliary Netlayer NAGARA MARU (46820). Auxiliary Subchaser SHONAN MARU nº 1 (45072). Auxiliary Subchaser SHONAN MARU nº 2 (45073).
3rd Gunboat Division:
Auxiliary Gunboat NAMPO MARU (46423). Auxiliary Gunboat KISO MARU (37489).
Auxiliary Gunboat ASO MARU (37491).
Part of the 1st Patrol Boat Squadron: Patrol Boat PB-1.
Patrol Boat PB-2.
2nd Base Force:
Part of the 2nd Navy Defense Unit.
Part of the 2nd Navy Communications Force. 1st and 2nd Sasebo SNLF.
Minelayer / Netlayer TSUBAME. Minelayer / Netlayer KAMOME.
Auxiliary Transport KUMAGAWA MARU (38753). 5 fishing boats.
Philippine Seizure Force Main Body:
Commander: Captain Tsuyuki Senji (36th Class), Captain of the Auxiliary Seaplane Carrier SANUKI MARU (45864).
Auxiliary Seaplane Carrier SANUKI MARU (45864).
strength: 6 Type Zero observation planes (2 Type 95 Seaplane reconnaissance planes for supplemental use).
Part of the Airfield Battalion of the 24th Army Air Group (aboard the Auxiliary Transport TEIUN MARU (47844)).
Vice Admiral Tsukahara also planned to use the destroyer TACHIKAZE of the 11th Air Fleet and 1 platoon of the 3rd Yokosuka SNLF of the 1001st Naval Air Group as the unit to occupy Calayan Island.
The units made operational preparations at Takao or Fangliao. Intelligence indicated that few garrisoned units in the Luzon Strait Islands had been recognised and that the capture would not be difficult unless there was a counterattack by the US Navy and Air Force.
The capture of Batan Island (102-121-122)
At 1800 on the 7th of December, Rear Admiral Hirose aboard the Destroyer YAMAGUMO led the 21st Torpedo Boat Division, the 11th Minesweeper Division, the Minelayers / Netlayer TSUBAME and KAMOME, the 1st Patrol Boat Division (with the 1st and 2nd Sasebo SNLF aboard) and the Auxiliary Transport KUMAGAWA MARU (38753) (with Part of the 2nd Navy Defense Unit and part of the 2nd Navy Communications Force aboard) out of Fangliao, while the 52nd, 53rd and 54th Subchaser Divisions escorted Auxiliary Transport TEIUN MARU ((47844)) out of Takao and headed for Batan Island.
On the 8th of December, 2 Type Zero seaplanes of the Auxiliary Seaplane Carrier SANUKI MARU (45864), based at Toko, departed at 0540 and conducted reconnaissance of Babuyan, Camiguin and Calayan Islands. All the islands were calm and hardly any enemy sightings were observed. However, one aircraft was damaged in the engine and crash-landed on the southern shore of Calayan Island. The other aircraft dropped a communications tube on the nearby Destroyer TACHIKAZE and requested its rescue. 4 Type Zero aircraft then went on to attack Basco Airfield. The 4 aircraft gun-bombed and set ablaze 1 large aircraft and 1 fuel truck at Basco Airfield, and then shifted to the escort mission of the 1st Surprise Attack Force.
The Main Body of the 3rd Raiding Force entered Baluarte Bay, Batan, at about 0750 on the 8th, and send a land force of 490 men (2 platoons of 1st and 2nd Sasebo SNLF, Part of the 2nd Navy Defense Unit and part of the 2nd Navy Communications Force) under escort of the 21st Torpedo Boat Division 133 and occupied 0950 Basco Airfield. It met no resistance as the garrison seemed to have escaped.
At 1215, the Auxiliary Transport TEIUN MARU (47844), escorted by the Subchaser Divisions, entered the anchorage, and the Airfield Battalion of the 24th Army Air Group advanced to the airfield by sunset to begin its maintenance, while the Landing Force returned in the afternoon.
As soon as the maintenance was completed, Army reconnaissance and fighter aircrafts of the 52nd and 74th Independent Flying Squadrons of the 5th Air Division134 landed at the Basco airfield to survey the situation there and confirmed that the airfield was barely fit for fighter and reconnaissance aircraft use, so it began to be used as a relay base for fighter squadrons from the following day. On the 9th, the 50th and 24th Army Air Groups used the airfield as a relay base, and on the 10th and 11th, the 24th Army Air Group operated from Basco airfield as a base. However, with the occupation and maintenance of the Aparri and Vigan airfields, the Air Group moved on to the bases on the Luzon Island.
In addition, 2nd Gunboat Division135, Auxiliary Minelayer SHINKO MARU (40512), Auxiliary Netlayers SUMANOURA MARU (47051) and SEIAN MARU (K703), Auxiliary Minesweeper Tender IMIZU MARU (47041) and Auxiliary Harbour Affairs HAKOZAKI MARU (28858) of the 2nd Base Force did not participate in this operation and waited at Keelung, while Minelayer / Netlayer WAKATAKA 136 and Auxiliary Minelayer / Transport NICHIYU MARU (45497) had completed repairs in the inland sea and were in the process of advancing there.
133The original gives the impression that the 21st Torpedo Boat Division also sends a party with the invasion force because includes it on the composition of the 490 men of the invasion force.
134The 52nd and 74th Independent Flying Squadrons belong to the 10th Army Air Unit, that belongs to the 5th Army Air Division
135The 2nd Gunboat Division was comprised by the Auxiliary Gunboats MANYO MARU (44235), KAMITSU MARU
(43455), OKUYO MARU (44396) and TAIKO MARU (C2281).
136The Minelayer / Netleyer WAKATAKA is new ship registered in the Imperial Japanese Navy on the 30th of November 1941.
The capture of Camiguin Island (102-121-122-137)
Rear Admiral Hirose led the Destroyer YAMAGUMO out of Batan Island on the 8th and entered San Pio Quinto Harbour, Camiguin Island at 0730 on the 10th.
Meanwhile, the 3rd Gunboat Division, carrying the seaplane base’s men of the Auxiliary Seaplane Carrier SANUKI MARU (45864) and stores, departed Takao at 2200 on the 8th and proceeded to Camiguin Island. In addition, the commander of the 1st Patrol Boat Division, under the orders of Rear Admiral Hirose, led the 1st Patrol Boat Division to search for the Auxiliary Seaplane Carrier SANUKI MARU (45864) crash-landed aircraft from the night of the 8th. However, as they could not find any crash-landed aircraft, the Patrol Boat PB-1 stopped searching and joined with the 3rd Gunboat Division on the 9th at 1630. The Patrol Boat PB-2 also joined with the 3rd Gunboat Division at 1845. The 1st Patrol Boat Division and the 3rd Gunboat Division arrived at the port of São Pio Quinto at 0900 on the 10th, and the 2 platoons of the 1st and 2nd Sasebo SNLF on board the patrol boats landed at the village of Manbit in the same port at 0925. There were about 40 inhabitants in a village of about 20 houses, but they did not allow garrison soldiers and the Landing Force returned to the ship at 1130. The Auxiliary Seaplane Carrier SANUKI MARU (45864) Base Group decided on a seaplane base near the village of Naguilian, and by 1800 had completed the landing of base property.
6 Type Zero observation planes, under the command of the Flight Commander of the Auxiliary Seaplane Carrier SANUKI MARU (45864), Captain Kousei Fusaichi (57th Class), conducted an air patrol over Aparri on the 10th, and by 1830 had advanced to Camiguin Island seaplane base.
At 0920 on the 10th, Rear Admiral Hirose ordered the Patrol Boat PB-2 to search for the crash- landed aircraft at Fuga Island. The PB-2 approached Fuga Island in the evening and attempted to lift a landing party. However, the landing was not possible due to the steepness of the coast.
On the 11th of December, it was difficult to fly from the seaplane base due to the growing waves, but the Naval Air Group braved the waves and flew three planes from the base towards Aparri in the morning. At 1040 the Naval Air Group received a telegram from the Philippine Seizure Force to conduct an alert over Vigan and, with six observation planes, kept a watch over Vigan from 1524 to 1620. However, no US aircraft were encountered, and 18 Army aircraft were already seen advancing on Vigan airfield.
On the 12th, the waves became increasingly larger and there was a danger that the seaplanes would capsize. The Naval Air Group was preparing to pull out of the base on the orders of the Auxiliary Seaplane Carrier SANUKI MARU (45864) Commander, when 2 planes were immediately damaged.
Immediately after 3 planes finally succeeded in taking off from the water, the Commander of the Auxiliary Seaplane Carrier SANUKI MARU (45864) sent a dispatch: "Vigilance is required over the 'Vigan'. However, Captain Kousei, who had already confirmed the presence of Army aircraft at Vigan Airfield the previous day, simply decided to fly to Toko, turning around and managing to arrive at Toko by 1730. During the flight, emergency repairs to damaged aircraft were made but all aircraft arrived at destination.
Base personnel and base equipment returned to the Auxiliary Seaplane Carrier SANUKI MARU (45864) at Takao on the morning of the 14th from the 3rd Gunboat Division's Auxiliary Gunboat NAMPO MARU (46423).
The capture of Calayan Island (38-110-111-121-123)
The 3rd Yokosuka SNLF platoon embarked the Destroyer TACHIKAZE and sailed from Takao on the 7th of December. On the morning of the 8th of December, Destroyer TACHIKAZE approached Calayan Island and sent a landing party at 1115. The landing party destroyed a radio telegraph station and built a crash-landing field, 300m long and 200m wide, in a grassland.
Destroyer TACHIKAZE received a report that one of the Auxiliary Seaplane Carrier SANUKI MARU (45864) observation aircraft had crash-landed near the western shore of Calayan Island by a communications tube dropped by 1 of the observation planes at 0830 from the Auxiliary Seaplane Carrier SANUKI MARU (45864) but Destroyer TACHIKAZE is unable to locate the crash site. On the 9th, an observer further searched the area from the air and observed a crew member of the crash-landed aircraft displaying the national flag near the southern tip of Calayan Island. The search aircraft immediately contacted the Destroyer TACHIKAZE, which sent a landing party and rescued Lieutenant Hiroshi Takano and 1 other crew member at 1815. During reconnaissance of Camiguin Island, Takano's aircraft was hit and began leaking lubricating oil, finally crash-landing on the southern shore of Calayan Island and eventually the crew was able to move to the shore. Lieutenant Takano and his crew burned the damaged aircraft and awaited rescue. Rescue was delayed because a colleague aircraft had misreported the emergency landing position as being on the west coast of Calayan Island.
Since the outbreak of the war, the Destroyer TACHIKAZE and the 3rd Yokosuka SNLF had been on standby to accommodate any friendly crash-landing aircraft. However, as no emergency landing aircraft were accounted apart from Takano's aircraft, the landing party withdrew from Calayan Island on the evening of the 9th. Destroyer TACHIKAZE left Calayan Island as soon as the evacuation was completed and returned to Takao at 1005 on the 10th.
A large part of the 3rd Surprise Attack Force, in addition to attacking the above mentioned islands, continued to carry out anti-submarine sweeps in the Luzon Strait. Recognising that the prescribed objectives had been achieved, Rear Admiral Hirose led a large part of the 3rd Surprise Attack Force to leave the area before dawn on the 11th and proceeded to Keelung for the next landing operation at Lingayen Gulf. Patrol Boat PB-1 also left the area the same morning bound for Amami Oshima for the landings at Lamon Bay. After the withdrawal from Camiguin Island on the 12th of December, the majority of the naval forces left the Luzon Strait area. The three bases occupied played their part in the early stages of the war, but after the occupation of the northern Luzon base, only the Basco airfield was used as an emergency base.

2 The Aparri Landings
(See Appendix II, Illustration V)
Preparation for the operation (82-103-124)
The Army and Navy forces ordered to assault Aparri were as follows: Navy:
Commander: Rear Admiral Hara, Commander of the 5th Destroyer Squadron and Commander of the 1st Surprise Attack Force
Forces:
5th Destroyer Squadron:
Light Cruiser NATORI (Flagship).
5th Destroyer Division (missing the Destroyers ASAKAZE and MATSUKAZE):
Destroyer HARUKAZE. Destroyer HATAKAZE.
22nd Destroyer Division:
Destroyer FUMITSUKI. Destroyer MINAZUKI. Destroyer NAGATSUKI. Destroyer SATSUKI.
1st Subchaser Division:
Subchaser CH-1. Subchaser CH-2. Subchaser CH-3.
2nd Subchaser Division:
Subchaser CH-13. Subchaser CH-14. Subchaser CH-15.
11th Minesweeper Division / 2nd Section (missing 1st Section Minesweeper W- 13 and W-14):
Minesweeper W-15. Minesweeper W-16.
30th Minesweeper Division: (missing Minesweepers W-17 and W-18) Minesweeper W-19.
5 fishing boats
Army:
14th Army, Tanaka Detachment137,
Commander: Colonel Tanaka, Commander of the 2nd Taiwan Infantry Regiment Forces
Tanaka Detachment
2nd Taiwan Infantry Regiment 1st Artillery Battalion
1st Engineers Company 5 Auxiliary Transports:
1st Ship of the Convoy: Auxiliary Transport OYAMA MARU (458)
2nd Ship of the Convoy: Auxiliary Transport AKIURA MARU (896)
3rd Ship of the Convoy: Anti-Aircraft Auxiliary Transport ARISONA MARU (830)
6th Ship of the Convoy: Auxiliary Transport MATSUKAWA MARU (976)
5th Ship of the Convoy138: Auxiliary Transport KURAMA MARU (386)
Other
4th Ship of the Convoy: Auxiliary Hospital Ship KAZUURA MARU (898)
137A Detachment from the 48th Division of the 14th Army.
138I could not find the Convoy number for the Auxiliary Transport KURAMA MARU, but since it was the only one missing I could extrapolate that it was the 5th.
In addition, the Auxiliary Aircraft Transport KEIYO MARU (44001) of the 11th Air Fleet was scheduled to accompany the 1st Surprise Attack Force with 11th Air Fleet personnel and equipment to the Aparri airfield for landing. The 5th Destroyer Squadron, the backbone of the 1st Surprise Attack Force, was made up of older vessels, both the flagship Light Cruiser Natori and the destroyers having been built in the Taisho era (1912-1926)139. However, Rear Admiral Hara judged that since the Squadron had been formed in November 1940, it had been part of the 2nd China Expeditionary Fleet and the 3rd Fleet and had trained repeatedly for fleet and convoy escort and attack and assault on key areas, so its training level had improved considerably.
On the 29th of November, Rear Admiral Hara advanced from Terashima Channel to Mako140, and on the following day, the 30th of November, he visited the 48th Division Headquarters in Tainan and made an operational agreement with Colonel Tanaka regarding the Aparri assault. Tanaka's detachment, divided into transports, advanced from Takao to Mako on the 1st of December. On the 3rd and 4th of December, a communications meeting and a captain's meeting were held.
By early December, the 1st Surprise Attack Force had received the following information on the Aparri area:
1 The Army defence force in Aparri is about 150 men, and there appear to be 1 or 2 submarines deployed at sea.
2 There are few underwater obstructions or other defensive facilities in the vicinity of the landing beaches.
3 The US Air Force is not deployed in Northern Luzon.
However, it was anticipated that by the 10th of December, the scheduled landing date, our air campaign against the US Air Force in the Philippines would not yet be fully successful. Therefore, the 1st Surprise Attack Force had judged that it would be necessary to exercise extreme caution against US air units and submarines.
The most problematic part of the agreement between the 1st Surprise Attack Force and the Tanaka Detachment was where to select the landing points. The Iwakuni Agreement stipulated that the landing points were to be (1) near the port of San Vicente and (2) near Buguey. Priority was given to the port of San Vicente because the area near Buguey was expected to be exposed to north-easterly winds, making landing difficult, whereas San Vicente was shielded from the wind and waves by the island of Palaui. However, Detachment Commander Tanaka insisted on landing near Aparri, which was closest to the airfield.
139Natori (1922),
5th Destroyer Division: Harukaze (1923) and Hatakaze (1924)
22nd Destroyer Division: Fumitsuki (1926), Nagatsuki (1927), Minazuki (1927) and Satsuki (1925)
140Rear Admiral Hara leads the entire 5th Destroyer Squadron aboard the Light Cruiser Natori.
Eventually, as a compromise, landing points were decided in the following order: (1) near Tabar141, (2) between Aparri and Buguey, and (3) near the port of San Vicente.
It was also decided that the 1st Surprise Attack Force would sail from Mako at 1700 on X-1 Day, anchor at the overnight anchorage at 0400 on X+2 Day, and begin landing at 0600, completing the landing in about 4 days. However, if the landing at Aparri was impossible due to bad weather, the landing place was to be changed to Laoag, as stipulated in the Iwakuni Agreement.
On the 1st of December, Rear Admiral Hara issued Classified Philippine Seizure Force, 1st Surprise Attack Force Order nº 1 regarding the Aparri assault.
Advance of Forces (124-193)
The 1st Surprise Attack Force set out from Mako at 1630 on the 7th of December, escorting a convoy of Army auxiliary transports, and proceeded along the planned route in an alert sailing formation. On that day, the wind was 10 knots from the north-northeast and visibility was about 10 kilometres. On the way the Auxiliary Aircraft Transport KEIYO MARU (44001) joins the 1st Surprise Attack Force. The course changed toward the east before dawn on the 8th, but the ship's turbulence was severe in the afternoon and visibility was reduced to 5 nautical miles. In the evening, at last, the Ami Island was found and the force's position was confirmed, but the 1st Surprise Attack Force was delayed by 30 nautical miles and the actual speed so far was estimated to be 7.5 knots.
On this day, 4 Land Based Attack Aircraft of the 1st Naval Air Group (4 turns of 1 aircraft each) conducted anti-submarine patrols of the 1st Surprise Attack Force, but the 4th turn failed to detect the convoy. In the afternoon, the Seaplane Carrier SANUKI MARU (45864) also conducted a forward patrol of the 1st Surprise Attack Force with 6 Type Zero observation seaplanes.
Because of the delay in navigation, Rear Admiral Hara changed the planned course and the 1st Surprise Attack Force headed south on the new course, but the waves were still so high that the ship's position could not be confirmed due to the lack of sky readings. Rear Admiral Hara's concern was how to get the force to the scheduled anchorage at the scheduled time in the dark with poor visibility under these conditions. On the evening of the 9th, Rear Admiral Hara received approval from the Colonel Tanaka to enter the first anchorage.
At 2103 on the 9th, the 1st Surprise Attack Force, still unsure of the force's position, spotted the lights of Cape Engano on the north-eastern tip of Luzon Island to the south, and was able to confirm the force’s position. It was surprising that the light was still on two days after the outbreak of war, but it saved the 1st Surprise Attack Force from a difficult situation.
At 2225, Rear Admiral Hara gave the order to "enter anchorage nº 1" and headed for anchorage nº 1. The 1st Surprise Attack Force formed an anchorage entry formation under the lead of HARUKAZE while conducting anti-submarine close guard and anti-submarine sweeps.
At midnight on the 10th of December, the force reached a position of 20 nautical miles from the anchorage. At 0100, NATORI heard the sound of two enemy aircraft to the southwest and alerted all units. At 0400, the Army Auxiliary Transports anchored at the 1st anchorage off Tabar as scheduled. The 1st Surprise Attack Force immediately began sweeping and keeping guard in the vicinity of the anchorage. The north-easterly winds, which had been blowing continuously since the sortie, had by this time completely subsided and the sea was as quiet as a mirror. All the officers and men continued their work in good spirits for the second time since the lighting of the Engano lighthouse. About 50 boats were disembarked from the transports, and by 0600, Tanaka's Detachment had sent the 1st landing force of about 2 companies. There was no counterattack. Rear Admiral Hara reported the successful landing as follows at 0600:
“The 1st Surprise Attack Force escorted Tanaka's Detachment and were not spotted by the enemy on the way to the landing”.
Landings and US counterattack (113-124)
3 Minesweepers proceeded westwards while sweeping the 2nd Scouting Area 142 . When Minesweeper W-9 reached a few nautical miles west of Aparri, it sighted a 1500 tons American ship at the mouth of the Kagayan River. The W-9 fired on it and reported to the commander of the 1st Surprise Attack Force . At the time, the flagship Light Cruiser NATORI was near Tabar, in the vicinity of the Army Auxiliary Transports and about 20 nautical miles away from the Minesweeper W-19. Upon receiving the report, at 1010, Rear Admiral Hara ordered that Minesweeper W-19 should capture the enemy merchant ship at the mouth of the Kagayan River and, after surveying the current situation, turn it around and bring it to the vicinity of the transport's berthing area. Thereafter, contact with the Minesweeper W-19 ceased.
141According with the Illustration nº 5, Tabar is very close to Batagan.
142According with the Illustration nº 5 the 2nd Scouting Area goes along the coastline from more or less Gonzaga (from the Aunugay River) to Aparri.
At 1230, a large US aircraft attacked and dropped two bombs near the Auxiliary Transport KURAMA MARU (386) but caused no damage.
At 1330, a heavy bomber again arrived and attacked the anchorage. 1 bomb fell at close range on the port centre of Light Cruiser NATORI, and the ship suffered the following damage:
1- Onboard aircraft severely damaged, communication equipment partially destroyed.
2- Port hull plate with dozens of bullet fragments broken.
3- 7 killed in action, 9 seriously wounded, 6 slightly wounded
4- Heavy oil tank damaged, heavy oil leaking.
With a tail of heavy oil, the Light Cruiser NATORI retreated to the vicinity of Camiguin Island, some 30 nautical miles north of the anchorage for the time being, and hastened emergency repairs.
At 1630, a heavy bomber attacked the again the Light Cruiser NATORI, but this time she succeeded in evading the attack. At the same time, Destroyer HARUKAZE, which was patrolling near the western entrance to the Calayan Channel, was also bombed by a heavy bomber. The bomb fell about 30 metres from the stern but caused no damage. The US heavy bombers bombed from an altitude of over 5,000 metres, to which our anti-aircraft fire could hardly reach, allowing US aircraft to attack at will.
Upon receiving the news of the US bomb attack, the Captain of the Auxiliary Seaplane Carrier SANUKI MARU (45864) sent the following order the Naval Air Group commander, Captain Kousei, at the Toko base:
"1240 enemy aircraft 'APARRI' coming east, launch one platoon".
3 Zero observation planes departed from Toko base at 1400, followed by three more at 1510, heading for the skies over Aparri. 2 of them, directly led by Captain Kousei, spotted heavy bombers attacking the Light Cruiser NATORI while landing at Camiguin Island seaplane base and pursue them, but were unable to attack them. The observation planes remained on alert over Aparri until 1800 but did not encounter any US aircraft.
At 1900, Rear Admiral Hara ordered the Light Cruiser NATORI to return to Mako for repairs and changed her flagship to the Destroyer NAGATSUKI. As there was no further contact from the Minesweeper W-19, on the 11th at 0040, ordered the commander of the 2nd Subchaser Division to investigate the status of the Minesweeper W-19 after daylight.
Meanwhile, the Army operations proceeded smoothly and at 1340 on the 10th, the Tanaka Detachment occupied the airfield.
After daybreak on the 11th, the 2nd Subchaser Division, followed by Rear Admiral Hara himself, led the Destroyer NAGATSUKI to the mouth of the Cagayan River to investigate the situation of the Minesweeper W-19 . As a result, it was found that the minesweeper had been sunk by an attack by US aircraft. According to a report by the Minesweeper W-19's captain, Lieutenant Hagiwara Toshi (60th Battalion), the circumstances of the disaster were as follows.
At the same time as dropping anchor near the mouth of the Cagayan River after capturing the Dutch merchant ship CETUS143 (1615, 10th ), she was hit by enemy bombs and sank instantly after a bomb hit the stern of the ship, causing the aft ammunition and depth charge magazines to explode, leaving the front of the wrecked bridge on the water and sinking at an angle of about 30° elevation.
The captain was wounded; therefore, the Second Lieutenant took command and with the assistance of the Army, the rescue operation is now underway.
Author's note
The CETUS was an American merchant ship, according to the report of the commander of the 1st Surprise Attack Force.
143According with the Auxiliary Transport Hokuhi Maru TROM at Combinedfleet.com, the CETUS was scuttled on the 10th but was raised in the beginning of 1942 and was commissioned in the Imperial Japanese Navy as the Auxiliary Transport HOKUHI MARU at the 8th of March 1942. Ultimately she will be lost on the 1st of March 1945 by bombing by B-24 Liberators (removed from the Navy list on the 10th of March 1945) .
![]() |
Immediately before the explosion, none of the crew observed the attacking US aircraft. However, there were no other US surface forces or vessels in the vicinity that could attack the Minesweeper, and no mines were found to have been laid, so in the end there was no other option but a bombing from high altitude by US aircraft. At the time, the Minesweeper W-19 was carrying 39 mines on her aft deck, and it was assumed that the explosions of the mines caused an induced explosion in the ammunition magazines, which sank the boat instantly. The Minesweeper W-10 of the 2nd Surprise Attack Force, which assaulted Vigan on the morning of the 10th of December, was also sunk by a similar detonation of mines caused by an attack by US aircraft. The sinking of the Minesweeper W-19 was the second loss of a naval vessel in the Philippine Operation, following the sinking of the Minesweeper W-10 at Vigan.
Landing operations for the Army Auxiliary Transports were about a third completed by the end of the 10th. However, the sea began to be rough from the evening of the same day, and by the morning of the 11th, the wind reached 10 knots from the north-east and the waves were high, making it difficult to lift the transports. Therefore, Rear Admiral Hara anchored the Army Auxiliary Transport ships in the afternoon at anchorage nº 3 in the port of Sain Vicente.
The Auxiliary Seaplane Carrier SANUKI MARU (45864) Observation Squadron, with a total of 6 aircraft, was on alert over Aparri and Camiguin Island, and fighters of the 50th Army Air Group were also on alert over Aparri, but no US aircraft attacked.
A staff officer of the 14th Army advanced to Aparri airfield and surveyed the airfield. It was found that the airfield was not suitable for bombers, as the soil was soft and only a cultivated field had been levelled and was therefore unsuitable for use by bombers. On the morning of the 12th of December, the Tanaka Detachment occupied the airfield.
Soon after, still on the morning of the 12th of December, 24 fighters of the 50th Army Air Group advanced to Aparri airfield. In the morning, a single US fighter aircraft attacked and 2 aircraft of the Army Air Group were set ablaze. However, the advance of the Army Air Group strengthened the air defence of Aparri.
Recognising that the operational objective of assaulting and occupying the airbase had been achieved, Rear Admiral Hara ordered the 1st and 2nd Subchaser Divisions to sail to Taiwan and Amami Oshima respectively at 1800 on the 12th to prepare for the next operation. Both units left Aparri early in the morning of the 13th.
Other units continued to guard the convoys at Anchorage nº 3. On the morning of the 13th of November, the convoy was twice torpedoed by submarines. Some of the torpedoes passed through the bottom of the ships but did not explode, and some went ashore. Later that day, those torpedoes were recovered and studied. After confirming the submarine's presence on the surface in the vicinity, Rear Admiral Hara requested the Army convoy to expedite the landing. In response, the Army Auxiliary Transports reported that "the landing was expected to be completed by the evening of the 13th, leaving no obstacles to the end of the operation". Rear Admiral Hara therefore gave the following instructions regarding the actions of the various units:
1 The 5th Destroyer Division takes in the wounded of Minesweeper W-19 and returns to Mako.
2 Destroyer FUMIZUKI, SATSUKI and Minesweepers W-15 and W-16 escort six Army transports and depart from anchorage nº 3 at 1730 on the 13th and sail to Takao.
3 Destroyers NAGATSUKI and MINAZUKI, under the direct command of the Commander of the 1st Surprise Attack Force, departs 1700 on the 13th for Takao.
On 13th, at 1500, the 5th Destroyer Division departed Aparri, at 1700 Destroyers NAGATSUKI and MINAZUKI, followed by the remaining destroyers and 2 minesweepers each escorting the 6 Army Auxiliary Transports at 1800. The fishing boats were engaged in unloading materials from the Auxiliary Aircraft Transport KEIYO MARU (44001), but the Auxiliary Aircraft Transport KEIYO MARU (44001) and 2 fishing boats, which were the last to remain were under the orders of the 11th Air Fleet and left Aparri at 1900 for Takao, leaving some personnel and materials behind, and all naval operations in Aparri came to an end.
3 The Vigan Landings
(See Appendix II, Illustration VI)
Preparation for operations (125-126)
The Army and Navy forces ordered to assault Vigan were as follows: Navy
Commander: Rear Admiral Shoji Nishimura, Commander of the 4th Destroyer Squadron and Commander of the 2nd Surprise Attack Force.
Forces:
Light Cruiser NAKA (Flagship)
4th Destroyer Squadron (Missing the 4th and the 24th Destroyer Divisions) 2nd Destroyer Division
SAMIDARE
YUDACHI
HARUSAME
MURASAME
9th Destroyer Division (missing the YAMAGUMO)
ASAGUMO
MINEGUMO
NATSUGUMO
21st Minesweeper Division (missing Minesweepers W-7 and W-8): Minesweeper W-9
Minesweeper W-10
Minesweeper W-11
Minesweeper W-12
30th Minesweeper Division (missing Minesweeper W-19):
Minesweeper W-17
Minesweeper W-18
21st Subchaser Division:
Subchaser CH4
Subchaser CH-5
Subchaser CH-6
Subchaser CH-16
Subchaser CH-17
Subchaser CH-18
31st Subchaser Division
Subchaser CH-10
Subchaser CH-11
Subchaser CH-12
5 Fishing Vessels
Army
Commander: Major Kanno, Commander of the 2nd Taiwan Regiment, 3rd Battalion, of the 48th Division
Strength
Kanno Detachment:
1st Battalion of the 2nd Taiwan Regiment. 3rd Battalion of the 2nd Taiwan Regiment.
1 Battery of the 48th Mountain Artillery Regiment. 1 Platoon of the 48th Engineers Regiment.
6 Auxiliary Transports:144
1st Ship of the Convoy: Auxiliary Transport OIGAWA MARU (480).
2nd Ship of the Convoy: Auxiliary Transport TAKAO MARU (638). 3rd Ship of the Convoy: Auxiliary Transport HAWAII MARU (832). 4th Ship of the Convoy: Auxiliary Transport SHUNKO MARU (892). 5th Ship of the Convoy: Auxiliary Transport SANKO MARU (394). 6th Ship of the Convoy: Auxiliary Transport BRISBANE MARU (702).
144The Auxiliary Army Transports are not on the Original. They were added since this volume deals primarily with the Naval activities of the campaign. This information comes from the tokusetsukansen.jpn.org.
Of the 4th Destroyer Squadron, which formed the backbone of the 2nd Surprise Attack Force, the 4th Destroyer Division was attached to the Main Body of the Southern Force, the 24th Destroyer Division to the 4th Surprise Attack Force and the YAMAGUMO from the 9th Destroyer Division to the 1st Surprise Attack Force. Thus, those taking part in the Vigan Assault Operation were the Light Cruiser NAKA, the 2nd Destroyer Division (MURASAME, YUDACHI, HARUSAME and SAMIDARE) and the 9th Destroyer Division's (ASAGUMO, NATSUGUMO and MINEGUMO). The NAKA was an old 2nd Class cruiser145 completed in 1924146, while the 2nd and the 9th Destroyer Divisions were newer destroyers completed in 1937 and 1938 respectively147.
On the 29th of November, Rear Admiral Nishimura advanced to Mako and the next day visited the 48th Division Headquarters in Tainan and made an operational agreement with Commander Kanno regarding the Vigan Assault. On the 1st of December, the Kanno Detachment was dispatched to Mako from Takao aboard a transport ship, and the 2nd Surprise Attack Force and the Kanno Detachment conducted communications and captains' meetings on the 2nd, and from the 3rd to 5th, conducted communications, manoeuvres, embarkation/disembarkation and navigation exercises.
The difficulty of the Vigan operation, needless to say, lay in the fact that it was a small force that had to be plunged deep into enemy territory at the outset of the war. The distance from Vigan to Iba Airfield was only 140 nautical miles, and the distance to the mouth of Manila Bay was only about 200 nautical miles. In contrast, the distance between Vigan and Takao is about 300 nautical miles. Our air forces advancing on the Philippines had an advantage over the US air forces. However, by the 10th when the Vigan operation was to be carried out, the results of the destruction of the US Air Force were still expected to be insufficient, and a counterattack by the US Air Force was naturally anticipated. In addition, although the US Asiatic Fleet was outnumbered, the Philippine Seizure Force judged that its force of 2 A Cruisers, 1 B Cruiser, 14 destroyers and 25 submarines was much larger than that of the 2nd Surprise Attack Force. For this reason, the Commander of the Philippine Seizure Force planned to directly lead the Main Body (2 Heavy Cruisers, 1 Light Cruiser and 2 Destroyers148) to support the operations of the 2nd Surprise Attack Force. The Main Body of the Southern Force also initially planned to maintain a readiness to respond immediately to the appearance of the US and British fleets in either the Malayan or the Philippine Sectors. However, as the strengthening of the British Eastern Fleet became a certainty, the Main Body of the Southern Force changed its policy so that it could mainly deal with counterattacks by the British Eastern Fleet. Therefore, the 2nd Surprise Attack Force had to anticipate and counter the full force of the US naval and air forces' counterattack.
1452nd Class or Type B Cruisers for the Light Cruisers and 1st Class or Type A Cruisers for the Heavy Cruisers.
146More precisely on the 30th of November 1925.
1472nd Destroyer Division: MURASAME (1937), YUDACHI (1937), HARUSAME (1937), and SAMIDARE (1937). 9th Destroyer Division: ASAGUMO (1938), NATSUGUMO (1938) and MINEGUMO (1938).
148The Main Body of the Philippine Seizure Force was composed by the Heavy Cruisers ASHIGARA and MAYA, the Light Cruiser KUMA and the 2nd Section of the 5th Destroyer Division Asakaze and Matsukaze.
On the 29th of November, Rear Admiral Nishimura issued the 2nd Surprise Attack Force Order nº 3 regarding the Vigan assault. In planning the operation, the Rear Admiral paid particular attention to the following points.
1 Confidentiality of the final objective
a) In order not to reveal our plans before X Day, we must choose the right time to sail from Mako on X-1 and be on the lookout for the route ahead.
b) Select a route that is within the effective range of friendly aircraft and that is undetected by US aircraft raiding Taiwan.
c) Strictly maintain vigilance against submarines.
d) Strictly observe radio control.
e) Strictly enforce the vigilance against merchant vessels from other countries.
f) Until the evening of X+1, adopt a false sailing route to Lingayen Gulf or further south, changing course abruptly after sunset and heading for Vigan.
2 Anti-submarine warning
a) The alert navigation formation focuses on anti-submarine alerts, with particular emphasis on the deployment of Subchasers (hearing and sweeping) and the utilization of anti-submarine weapons by other ships.
b) Prevent enemy submarines from infiltrating into the anchorage at Vigan through the appropriate allocation of patrol areas and the use of the aircraft of the Light Cruiser NAKA.
3 Anti-surface vessels
Formulate a method of combat for the 4th Destroyer Squadron against the powerful US surface fleet, which is mainly composed of heavy cruisers (including in the case of the arrival of reinforcements Main Philippine Forces).
In addition, Rear Admiral Nishimura signed the following summary agreement with the Commander of the Kanno Detachment.
1 Date and time of departure from Mako X-1 Day 1800
2 Date and time of arrival X+2 Day 0230
3 Landing point: Northern sector of the Abra River, partly in the southern sector of the same river.
4 Start time of landing: 0430
5 Duration of landing: approx. 4 days
Advance of Forces (125-126)
At 1750 on the 7th of December, the 2nd Surprise Attack Force sailed from Mako escorting the Army Auxiliary Transports with the Kanno Detachment. After forming a warning navigation formation outside the harbour, the force adopted a course to the south-west and began sailing. The weather was cloudy, with a north-easterly wind of about 10 knots.
On the following day, the 8th, the 2nd Surprise Attack Force , which was at sea at the start of the war, continued its steady advance on the wind and waves, changing its heading to 1412 at 165°. 2 Land Based Attack Aircraft of the 1st Naval Air Group set out on a direct anti- submarine escort of the 2nd Surprise Attack Force, but due to poor weather conditions, they were unable to detect the Force.
The 2nd Surprise Attack Force on the morning of the 9th, was about 150 nautical miles from the anchorage of Vigan. The weather improved that morning and the wind and waves subsided. In the afternoon, with clear skies, a 4 knot wind from the west and visibility of 50 kilometres, US aircraft and submarines were expected to attack. Around 1215, a flying boat appeared at low altitude and long distance above the horizon for about an hour. The 2nd Surprise Attack Force prepared for the next expected attack by the US air force, but there was no attack. On the same day, 2 Land Based Attack Aircraft of the 1st Naval Air Group departed on a direct anti-submarine patrol of the 2nd Surprise Attack Force but again failed to find the Force. The TAINAN Naval Air Group also conducted anti-aircraft direct escort of the 2nd Surprise Attack Force with 1 land based reconnaissance plane and 12 Zero fighters, but no enemy contacts were made.
After sunset (around 1820), the 2nd Surprise Attack Force turned east towards Vigan. At about 2300, the moon rose in the eastern sky. The ships’ position was accurately determined as the shadow of Luzon's mountains could be seen against the moonlit sky. At about the same time, the fleet adopted an anchorage entry formation and proceeded with forward sweeps and minesweeping, and on the 10th at 0145, dropped anchor at anchorage nº 1. The anchoring was 45 minutes ahead of schedule, two hours and 15 minutes earlier than the anchoring of the Aparri Surprise Attack Force. There were no mines and no submarines appeared.
The area towards Vigan appeared to be under light control and was dark. However, immediately after anchoring, several vehicles rushed northwards in the direction of Vigan with their headlights on, and for a short time the sound of explosions could be heard, indicating movement of US troops in a hurry. Kanno's Detachment landed at three locations north of the Abra River, in the Santa area and in the Sulvec area, and occupied Vigan Airfield at 0700, reporting that "about 5 aircraft will be available for use tomorrow". Kanno's landing was about 30 minutes earlier than Aparri’ s landings and this was the 1 step in the landing of our troops on Luzon Island. Rear Admiral Nishimura sent the following first battle report at 0800:
“Successful landing at Vigan, no enemy sighting at sea, weather clear and calm at sea”.
![]() |
Landing and US counterattack (115-118-121-125-126-127)
After the departure of the 1st landing party, half of the transports shifted anchor at anchorage 2 (north of the mouth of the Abra River) and proceeded to land in a hurry. The 2nd Surprise Attack Force had been on the alert and keeping close watch to the anchorage (see Illustration 6) , and Rear Admiral Nishimura deployed the 21st Subchaser Division to anchorage nº 1 to protect the 3 Army Auxiliary Transports and 6 Minesweepers to anchorage nº 2 to guard the other group of 3 Army Auxiliary Transports.
At 0815, 12 US four-engine heavy bombers and 6 fighters attacked. The heavy bombers bombed 3 Auxiliary Transports at the 1st anchorage in 3 waves from an altitude of about 4,000 metres. They then bombed the NAKA but failed to hit it. The fighters bravely descended to a low altitude at the risk of our anti-aircraft fire and left around 0900 after repeated fire on the ships. Admiral Nishimura used a total of 13 ships from the 2nd Destroyer Division and Subchaser Force to defend the 1st anchorage; and a total of 9 ships of the 9th Destroyer Division and the Minesweeper Force to guard 2nd anchorage. He ordered the Army Auxiliary Transports to anchor in a shallow water as much as possible and hurry with the unloading. TAKAO MARU (638) intentionally ran aground to prevent sinking due to the bombing.
At 1030, 2 heavy bombers and 5 fighters struck again. 1 bomber bombed the Army Auxiliary Transports, while the other continuously bombed the NAKA from high altitude. The fighters repeatedly strafed the transports, followed by low-altitude fire on the naval vessels. This caused the following damage:
Minesweeper W-10: Depth Charges on the rear deck exploded under fire from US fighters, and the ship sank at 1033. 79 killed in action and 17 wounded. 1 US fighter aircraft was downed by the blast from the explosion.
MURASAME: 5 killed and 9 wounded in action by 3 successive strafing waves. 1 US fighter was shot down by the ship's fire.
NAKA: was attacked with 6 bombs, 1 of which was a close-range round 20 metres forward of her port side, resulting in 2 killed and 7 wounded.
Subchaser CH-5, 14 wounded. Subchaser CH-18, 2 wounded.
Army Auxiliary Transport OIGAWA MARU (480), fire, 16 wounded, including the captain.
Rear Admiral Nishimura reported the following at 1100:
At 1030 5 enemy aircraft attacked us again, relentlessly attacking transports, and although we repelled their attacks, 1 minesweeper was sunk and a merchant ship caught fire.
Then, at 1230, the following 2nd battle report was sent.
1. 0700, Vigan is completely occupied, we are currently sweeping the surrounding area, and our army units have sustained no damage.
2 Airfield available tomorrow for about 5 aircraft.
3 We are under constant attack by enemy aircraft in the vicinity of the anchorage and we are doing everything in our power to repel them.
The 24th Army Air Group of the Army 5th Air Division was based at Basco Airfield and conducted a vigil over the Vigan anchorage, while the 8th Army Air Group also supported the Kanno Detachment in the battle. The 8th Army Air Group encountered more than 2 dozens of US fighters and shot down 4 of them, but the Army Air Group also lost 1 aircraft. Also, one of the TAINAN Naval Air Group's Fighter Squadron149 with 1 Land Based Reconnaissance plane and 17 Zero fighters, commanded by Lieutenant Shingo, conducted patrols over Vigan between 1210 and 1420 and shot down a B-17. From about 1200 to 1800, friendly fighters were on constant guard over the anchorage, so there were no attacks by US air forces on the 2nd Surprise Attack Force units in the afternoon.
As the seas gradually became rough at the 2nd anchorage, the Army Auxiliary Transports present were transferred to the 1st anchorage. According to the general plan, at 1600, Rear Admiral Nishimura dispatched the 21st Minesweeper Division to Amami Oshima.
At 1843, NAKA spotted a mast south-west of the anchorage, which appeared to be a cruiser. Rear Admiral Nishimura immediately assembled the 4th Destroyer Squadron and headed for it. However, at 2022 this mast proved to be a false identification. The 4th Destroyer Squadron continued on a naval patrol west of Vigan and remained on patrol until the early hours of the 11th.
Aircraft of the 24th Army Air Group, based at Basco Airfield, conducted surveillance over the anchorage all day on the 11th of December, and some of them advanced to Vigan Airfield. 8 Zero fighters of the Tainan Naval Air Group also conducted air patrols from 0930 to 1115, and 6 observation seaplanes of the Auxiliary Seaplane Carrier SANUKI MARU (45864) from 1524 for about an hour. On that day, no US fighters were seen in the distance and no US aircraft attacked, so the unloading proceeded smoothly. During the night, NAKA and the 2nd Destroyer Division conducted patrols on the west of the anchorage but found nothing unusual.
At 0700 on the 12th, Rear Admiral Nishimura withdrew the 30th Minesweeper Division. 4 heavy bombers came in at 1055, 3 bombed the Army Auxiliary Transports and 1 bombed the NAKA but failed to hit it. At 1215, 2 heavy bombers attacked, 1 bombed an Army Auxiliary Transport and 1 bombed the NAKA. The rear anti-aircraft gun of the Army Auxiliary Transport HAWAII MARU (832) was hit by 1 of these bombs, resulting in about 30 casualties. On the same day, Army fighter planes were on alert over the anchorage, and US planes seized the opportunity to bomb it from high altitude.
On the same day (12th) at 1325, Rear Admiral Nishimura ordered the 21st and 31st Subchaser Divisions to depart back to Takao. The 4 Army Auxiliary Transports, except the OIGAWA MARU (480) and TAKAO MARU (638), left Vigan at 2130 after unloading their cargoes. As the OIGAWA MARU (480) and TAKAO MARU (638) were stranded, it would take 2 more days to finish unloading.
The 4th Destroyer Squadron departed Vigan at 2200 on the 12th and headed for Mako while conducting anti-submarine sweeps. At 50 nautical miles north of Vigan on the 13th, MURASAME spotted a surfaced submarine about 9 nautical miles ahead, and NAKA and MURASAME attacked it with 12 depth charges, followed by MURASAME and SAMIDARE to subdue the submarine. After daybreak, MURASAME observed a large amount of oil floating on the surface of the sea and reported that the anti-submarine attack was "definitely" effective150.
149According with Table 21 this is the 2nd Fighter Squadron.
150According with the Naval History and Heritage Command, the USS SAILFISH (SS 192), on patrol on the West Coast of Luzon “On the night of 13 December, she made contact with a convoy escorted by three Japanese destroyers. Although the submarine fired four torpedoes at a troopship and a destroyer, none of them scored and she was forced to dive to escape a vigorous 20-depthcharge counterattack”. This is just a hypotheses because I do not know the exact position of the USS SAILFISH, but it would make sense for the commander of the SAILFISH to look for the Japanese on the place he knew they were.
Support actions of the Main Body of the Philippine Seizure Force (82-102-121-126)
At 2000, Vice Admiral Takahashi, commander of Philippines Seizure Force, led Main Body of the Philippine Seizure Force (Heavy Cruisers ASHIGARA and MAYA, Light Cruiser KUMA, Destroyers ASAKAZE and MATSUKAZE), excluding the Seaplane Carrier SANUKI MARU (45864), and sailed from Mako, on 7 December. The Main Body then moved west of the 2nd Surprise Attack Force and reached about 120 nautical miles west of Vigan at dawn on the day of the Aparri and Vigan landings and was in position to support the Surprise Attack Force's operations. The Main Body was approached by a single flying boat at 0800 on the 10th, followed by a bombing attack by 5 of the same aircraft at 1304. A bomb landed close to the stern of the Flagship ASHIGARA but did not hit.
After being bombed, the Main Body rapidly retreated to the northwest, and after replenishing the Light Cruiser and Destroyers at Jieshi Bay in southern China on the 11th, left the bay that night and arrived at Mako in the afternoon of the 14th. The 4th Destroyer Squadron arrived at Mako that morning, and before entering port, Rear Admiral Nishimura dispatched the 2nd Destroyer Division to the Main Body to support its arrival by conducting anti-submarine sweeps outside the harbour. Auxiliary Seaplane Carrier SANUKI MARU (45864) remained at Takao throughout and was assigned to provide operational support to the Main Body.
As for our losses in this operation, the Navy lost 1 Minesweeper and suffered 86 killed in action and about 50 wounded, while the Army suffered about 50 wounded, mainly in the Auxiliary Transports, as well as some damage to the Auxiliary Transports. This damage was unavoidable because of the deep advance through heavily guarded enemy territory on the 3rd day of the war. However, Kanno's Detachment succeeded in landing with little damage, occupying Vigan Airfield on the 10th and Laoag Airfield on the 12th, thus achieving the objective of this operation. Aircraft of the Army 5th Air Division advanced to Vigan Airfield from the 11th onwards. The success of this operation was a prerequisite for the landing of the main force of the 14th Army at Lingayen Gulf, scheduled to take place on the 22nd of December.
1 Plan of Operations(77-78-105-108) (See Appendix, Figure 3)
The circumstances of the change in the operational plan for the Central and Southern Philippine Sector at the beginning of the war have already been described, but the general outline of the change can be summarised as follows.
Originally, the initial operation in the Central and Southern Philippines Sector was considered to be quite difficult due to the fact that the operational area was outside the power range of our land based Naval and Army Air Forces in Taiwan, that it was highly probable that the US Navy and Air Force in the Philippines would launch an all-out counterattack, and that it was necessary to conduct independent operations separated from the rest on the Main Forces of the Southern Forces and the Philippine Seizure Force. However, due to the need for an early attack on the Philippines by to cut off the retreat route of the US forces and the early acquisition of bases to facilitate the later Dutch East Indies offensive, it was initially decided to attack Legazpi on X+4, Davao on X+6 and Jolo on X+13. For this reason, the Southern Force was to be supported in this area by the Eastern Support Group consisting of 1 Battleship, 1 Heavy Cruiser and 2 destroyers, while the Philippine Seizure Force was to form a Central- South Pacific Operational Force with the elite 5th Cruiser Division and 2nd Destroyer Squadron at its core, and the Southern Force Air Force151 was to advance from Taiwan to Palau on X+3 and X+4 days with the KANOYA Naval Air Group, and strengthen air operations against the Central-South Pacific.
However, the reinforcement of the British fleet in the Malayan sector changed the situation completely. In order to cope with this situation, the Southern Force integrated the Battleship of the Eastern Support Group and the 8th Destroyer Division of the 2nd Destroyer Squadron into the Main Body of the Southern Force, and also incorporated half of the KANOYA Naval Air Group and the 5th Submarine Squadron into the Malaya Seizure Force. In response, the Philippine Seizure Force also revised its original plan, and set a new plan with the main objective of postponing the Davao invasion to X+14 days.
As a result of this change of plans, the disposition of forces of the Central and Southern Philippine Sector was revised as follows:
1 The 5th Surprise Attack Force of the Philippine Seizure Force was dissolved and the main force of the 2nd Destroyer Squadron152 was to be incorporated into the Eastern Support Force, and the Minelayer / Netlayer SHIRATAKA and the Patrol Boats PB-36 and PB-37 were to be incorporated into the 4th Surprise Attack Force.
2 The 2nd Section of the 16th Destroyer Division153 of the 4th Surprise Attack Force is reassigned back to the Eastern Support Force, 2nd Destroyer Squadron.
151The Air Force of the Southern Force was the 11th Air Fleet.
152After the removal of the 8th Destroyer Division the only remaining Division is the 15th Destroyer Division. From the same Squadron the 8th Division was with the Main Body of the Southern Force, the 16th Division was with the 4th Surprise Attack Force and the 18th Division was with the Kido Butai in the Hawaiian Operation.
153Destroyers AMATSUKAZE and HATSUKAZE.
Thus, in the early stages of the war, the Central and Southern Philippines operational forces were finally assigned as follows.
Eastern Support Force
Commander: Rear Admiral Takagi, Commander of the 5th Cruiser Division and of the Eastern Support Force of the Philippine Seizure Force.
5th Cruiser Division:
Commander: Rear Admiral Takagi
Heavy Cruiser MYOKO.
Heavy Cruiser HAGURO.
Heavy Cruiser NACHI.
4th Aircraft Carrier Division / 2nd Section:
Commander: Rear Admiral Kakuta
Aircraft Carrier RYUJO.
Destroyer SHIOKAZE (34th Destroyer Division).
2nd Destroyer Squadron:
Commander: Rear Admiral Tanaka
Light Cruiser JINTSU.
15th Destroyer Division:
Destroyer KUROSHIO.
Destroyer OYASHIO.
Destroyer HAYASHIO.
Destroyer NATSUSHIO.
16th Destroyer Division / 2nd Section:
Destroyer AMATSUKAZE.
Destroyer HATSUKAZE.
11th Seaplane Tender Division:
Commander: Rear Admiral Fujita
Seaplane Carrier CHITOSE.
Seaplane Carrier MIZUHO.
4th Surprise Attack Force:
Commander: Rear Admiral Kubo, Commander of the 1st Base Force and of the 4th Surprise Attack Force of the Philippine Seizure Force
Light Cruiser NAGARA (Flagship) 24th Destroyer Division:
Destroyer KAWAKAZE.
Destroyer UMIKAZE.
Destroyer SUZUKAZE.
Destroyer YAMAKAZE.
16th Destroyer Division / 1st Section:
Destroyer YUKIKAZE.
Destroyer TOKITSUKAZE.
21st Minesweeper Division: Minesweeper W-7.
Minesweeper W-8.
1st Patrol Boat Division:
Patrol Boat PB-34.
Patrol Boat PB-35.
Patrol Boat PB-36.
Patrol Boat PB-37.
1st Gunboat Division:
Auxiliary Gunboat MYOKEN MARU (45197).
Minelayer / Netlayer SHIRATAKA. Minelayer / Netlayer AOTAKA.
Naval Fleet Oiler HAYATOMO.
Auxiliary Minesweeper Tender IKUSHIMA MARU (42624).
Auxiliary Transport MATSUMOTO MARU (28109) (with the 1st Kure SNLF aboard).
Auxiliary Transport SHINRYU MARU (42949) (with part of the 1st Naval Construction Group aboard).
Auxiliary Transport YAMAFUKU MARU (47357) (with part of the 1st Naval Construction Group aboard).
5 fishing boats.
Minelayer Group:
Commander: Rear Admiral Kobayashi, Commander of the 17th Minelayer Division 17th Minelayer Division:
Minelayer ITSUKUSHIMA. Minelayer YAEYAMA.
Auxiliary Minelayer TATSUHARU MARU (45329).
Eastern Force Air Force: (86-110)154
21st Naval Air Flotilla:
TOKO Naval Air Group, Commander: Captain Miura.
18 Type 97 Flying Boat (6 Reserve).
23rd Naval Air Flotilla:
PALAU Fighter Detachment, Commander: Lieutenant Kawai.
13 Type 96 Fighters (A5M4).
15411th Air Fleet.
In addition to the above, the 3rd Base Force of the 4th Fleet was located in Palau, and it was planned to use its naval vessels and aircraft (10 seaplane reconnaissance aircraft of the 16th Naval Air Group) to patrol the waters surrounding Palau and support the arrival and departure of the Central and Southern Philippines Operational Force to and from the port of Palau.
What requires attention is the chain of command. Between the Commanders of the Eastern Support Force, the 4th Surprise Attack Force and the Minelaying Force, Rear Admiral Kobayashi, the commander of the Minelaying Force, was the 1st in seniority, followed by Rear Admiral Takagi, who commanded the most powerful unit and by last the Rear Admiral Kubo of the 4th Surprise Attack Force. However, all 3 Rear Admirals commanders reported directly to Vice Admiral Takahashi, Commander of the Philippine Seizure Force. There was no unification of command among the three commanders, so the units cooperated with each other.
The new assignments of the Eastern Support Force of the Philippines Seizure Force given by Vice Admiral Takahashi were as follows:
1 X Day Davao Air Raid, conducted by the 4th Aircraft Carrier Division, supported by the 5th Cruiser Division and the 2nd Destroyer Squadron.
2 X+3 Day Direct support for the Minelaying Operation by the 2nd Destroyer Squadron.
3 X+4 Day Support of the 4th Surprise Attack Force 's Legaspi assault operations. 11th Seaplane Tender Division will be committed for this from the start of the operation, while 5th Cruiser Division and the 4th Aircraft Carrier Division will support after the conclusion of the Davao air raid. The 2nd Destroyer Squadron will do so after the conclusion of minelaying support, dependent on the situation.
Based on the above, Rear Admiral Takagi established the following operational guidelines for each of the units under his command:
1 The 5th Cruiser Division, the 4th Aircraft Carrier Division and the 2nd Destroyer Squadron will depart Palau on X-2 Day and launch an air assault on the Davao area with the aircraft of the Aircraft Carrier RYUJO on X Day. The 2nd Destroyer Squadron will advance with some units to the vicinity of Davao Bay to support this operation, and the 5th Cruiser Division will act accordingly to support the operation.
2 The 11th Seaplane Tender Division will sortie from Palau on the X Day, and will be in action with the 4th Surprise Attack Force from the start of the operation, and will be responsible for anti-submarine and anti-aircraft alert of the Force, anchorage vigilance and support of land warfare, etc.
3 The 5th Cruiser Division and 4th Aircraft Carrier Division will move northwards after the Davao air raid to reach a position east of Legazpi and support the Legazpi assault operation.
4 The 2nd Destroyer Squadron will move northwards after the Davao raid operation to join with the 17th Minelaying Division and support its minelaying operation. Support for the Legazpi assault operation will be determined by the situation.
5 All units, with the exception of a part of the 11th Seaplane Tender Division, will return to Palau after the end of the operation to prepare for the next operation.
2 Davao air raid
(See attached chart nº 3)
Advance of the forces (77-78-105-106-108-115-128)
On the 6th of December, the Eastern Support Force departed Palau between 1330 and 1600 in the order of the 2nd Destroyer Squadron, the 4th Aircraft Carrier Division and the 5th Cruiser Division (missing Heavy Cruiser NACHI). Aircraft of the 11th Seaplane Tender Division and naval vessels and aircraft of the 3rd Base Force conducted anti-submarine alerts on the outer perimeter of the West Palau Channel and cooperated with the sortie of the Eastern Support Force. The 2nd Destroyer Squadron deployed on alert formation around the 4th Aircraft Carrier Division and began to sail at a heading of 310° and a speed of 16 knots, while the 5th Cruiser Division continued behind it. The weather was cloudy and the wind was 10 knots in the east- northeast direction, but the visibility reached 40 nautical miles. At 1600, a white dove flew over the bridge of the Light Cruiser JINTSU, and the crew was very pleased as a sign of peace. Destroyer AMATSUKAZE detected something like a submarine in 1800 but did not attack. 14 flying boats of the TOKO Naval Air Group conducted extensive searches of the waters from Palau to the north-east coast of Dutch East Indies and the east coast of the Central and Southern Philippines but obtained no information of note. The raiding force (4th Aircraft Carrier Division and the 15th Destroyer Division of the 2nd Destroyer Squadron) changed course to the north and adopted a false course at 2000.
At midnight on the 7th of December, the strike force changed course to 270° and turned towards Mindanao. Rear Admiral Kakuta ordered a strict anti-aircraft alert at 0900, but no submarines or aircraft appeared that day. The latest US military intelligence obtained by the Southern Force Air Force up to this date was as follows:
1 US forces are conducting maritime patrols in the South China Sea with 5 aircraft and in the Davao area with 1 aircraft.
2 USS PRESTON or USS CHILDS (both small seaplane tenders) appear to be replacing USS LANGLEY in the Malalag Bay inside the Davao Gulf.
3 The Heavy Cruiser USS HOUSTON arrived at Iloilo, Panay, on 3 December and landed 300 men. (Information from the Navy General Staff).
4 According to the Reconnaissance Squadron of the TOKO Naval Air Group, no ships were seen off the coast in the Southern Philippines sector on the 7th of December.
At 1510, Rear Admiral Kakuta issued orders to the 4th Aircraft Carrier Division and 2nd Destroyer Squadron to
'Conduct an air raid on Davao before dawn on the 8th, all units should fight bravely according to the planned plan, and that the 15th Destroyer Division should now disengage from the formation and head ahead155'.
At 1250, the commander of the Philippine Seizure Force reported to the Eastern Support Force that 'the first air raid on "M" (author's note: Philippines) will be carried out as planned', and this telegram reached the Eastern Support Force at around 1600. Prior to this, on the 4th of December, the Chief of Staff of Philippine Seizure Force had sent the following telegram to the Commander of the 4th Aircraft Carrier Division:
Classified Philippines Seizure Force cable nº 16 (3rd Fleet Classified Telegraph nº 414) states that the 4th Aircraft Carrier Division attack on Davao must be carried out after the 1st attack on Manila by the 11th Air Fleet, and to ensure that this is executed, close contact must be made with the TOKO Naval Air Group In the event of a delay in the attack time of the 11th Air Fleet and after the attack of the flying boat squadron156, the commander's instructions will be cancelled. The following are the intentions of the Commander of the Philippines Seizure Force.
The Philippines Seizure Force's 1st air attack of the war was scheduled to take place at Manila, on the 8th of December, 0730 . The notification by the Philippine Seizure Force was intended to confirm this and request that the attack on Davao be carried out after the 1st air attack by the 11th Air Fleet.
The Heavy Cruiser NACHI, which had sailed from Palau early in the morning of the 7th and was hurrying to join up with the Eastern Support Force , joined up at 1800. At 1900, the 4th Aircraft Carrier Division changed direction and headed for the strike group’s launching point to be reached the following morning, while the 5th Cruiser Division continued about 50 nautical miles behind it. At midnight on the 8th of December, the main forces of the 4th Aircraft Carrier Division and the 2nd Destroyer Squadron were about 200 nautical miles east-northeast of Davao, the 5th Cruiser Division was 50 nautical miles east of it, and the 15th Destroyer Division was about 150 nautical miles east-northeast of Cape San Augustine on the eastern end of Davao Bay.
Air raid (86-102-106-108-115-128-129)
After 0422 on the 8th of December, the units received a succession of telegraphic reports of the start of landings in the Malay area, the successful surprise attack on Hawaii, and the US Navy announcing the launch of operations against Japan.
Reaching 105°, 140 nautical miles from Davao, the Aircraft Carrier RYUJO Air Group, between 0500~0545, launched 9 Type 96 fighters and 13 Type 97 Naval Attack Aircraft157 (carrying 65, 60kg bombs and 13, Nº 7 incendiary bombs) commanded by Lieutenant Takahide Aioi (59th Class). The raid was to be carried out in cooperation with the Squadron of flying boats of the TOKO Naval Air Group. However, the previous day's reconnaissance showed no naval vessels or aircraft in the Southern Philippines area, so the TOKO Naval Air Group decided not to attack on the day and changed the plan to a more direct attack on the south-east sector of the Philippines. Also, the 11th Air Fleet at Taiwan was unable to launch an attack due to thick fog at the time and was standing by at base waiting for the fog to clear. However, Rear Admiral Kakuta, commander of the 4th Aircraft Division, decided to carry out the air raid as planned because the forces were already too close to the enemy.
After the launch of the Strike Group, the Light Cruiser JINTSU and the 2nd Section of the 16th Destroyer Division advance and deployed on the aircraft return line to facilitate the return of the attack force to the mother ship158. This was a special measure taken because many of the crews of the aircraft squadron of the RYUJO had been assembled just before the outbreak of war and were inadequately trained, and the weather was bad on the day of the attack.
Meanwhile, the 15th Destroyer Division, which was ahead, reached approximately 40 nautical miles east of Cape San Augustine at 0500, increased speed to 26 knots and began to advance into Davao Bay at 0700.
The 4th Aircraft Carrier Division Strike Group advanced over cloudy seas with occasional squalls and reached the airfield over Davao Airfield at 0745. However, it did not see any aircraft at the airfield and bombed the airfield facilities from 0746 to 0756, wrecking the runway and hangars. The attack force next went to Malalag Bay, where it found an amphibian carrier and two amphibian aircraft in the bay. From 1800 to 1843, the attack force attacked the Seaplane Tender but failed to hit it, while the fighter force shot and burned the flying boats. 2 fighters were hit in this attack and 1 bomber crash landed off Malalag Bay.
As the 15th Destroyer Division advanced into the bay, 0800 NATSUSHIO spotted a periscope and attacked it with 3 depth charges, but this perceived periscope was doubtful. 0905 KUROSHIO found the bomber that had crash-landed and rescued the crew.
At 1832 the Strike Group reports:
Malalag, 2 flying boats were on fire, "PRESTON" was mobilised
At 0907 the Strike Group reports:
1 destroyer is in Malalag" Bay fugitive159
The 15th Destroyer Division received a report from the aircraft squadron and headed further north in search of this surface vessel. The first time the ship was seen in the bay, the visibility was only a few kilometres. The 15th Destroyer Division reached 6°40' north latitude160 at 0950 and searched the vicinity of Malalag Bay, but found no surface vessels, so they had no choice but to abandon their search and turn around.
At 1145, the 2nd Strike Group, formed with 2 bombers and 3 fighters, departed from the RYUJO for Malalag Bay. However, as it did not discover the Seaplane Tender, it gun-bombed an oil tank in Davao and 1 merchant ship in the bay. In this attack, 1 fighter was hit and crash- landed, and the crew was killed in action.
By 0950, JINTSU and 2nd Section of the 16th Destroyer Division, recognised that the RYUJO’s Strike Group had crossed the return line and headed for the mouth of Davao Gulf to assist and meet up the 15th Destroyer Division. At 1105, Rear Admiral Tanaka, after sighting the 15th Destroyer Division, received a report from the Division that a Seaplane Tender had escaped. It was determined that the aircraft report of a destroyer was a false alarm for Seaplane Tender. Rear-Admiral Tanaka judged that the US Seaplane Tender had escaped in the direction of Pakiputan Channel (the channel between Davao and Samal Island in front of Davao City). However, the pursuit proved difficult, so the 15th Destroyer Division was reunited with the rest of the 2nd Destroyer Squadron, and after about an hour's southward movement, at 1205 changed course to 90° and retreated. At 1235, 1 PBY-type flying boat began to contact the 2nd Destroyer Squadron but disappeared after 20 minutes.
The 5th Cruiser Division had been operating about 50 nautical miles east of RYUJO since the early morning of the 8th, when it turned to the west at 1000 to support the 2nd Destroyer Squadron. As soon as the 2nd Destroyer Squadron's operations were completed, at 1130, the 5th Cruiser Division also turned around to support the 4th Surprise Attack Force. The 4th Aircraft Carrier Division, after recovering the 2nd Strike Group, also reversed northwards.
The Raid on Davao by the 4th Aircraft Carrier Division's Strike Groups was the 1st attack on Philippines prior to the attack by the 11th Air Fleet Naval Air Groups. The Philippine Seizure Force headquarters was concerned about undermining the surprise effect of a 1st strike of the 11th Air Fleet Naval Air Groups, and as mentioned above, it was given a cautionary warning. In the end, however, the Davao air raid had no effect on the 11th Air Fleet operations. The 15th Destroyer Division's advance into Davao Gulf was originally intended primarily for the rescue of the crash-landed aircraft, but when the squadron learnt of the presence of the US Seaplane Tender, it raided deep into Davao Gulf to search for it. Unlike Vigan and Aparri, however, there was no counterattack by the US naval and air forces. Although the 2nd Destroyer Squadron was unable to sink the US Seaplane Tender, it was able to confirm the defence situation of the US forces in the Davao sector through a daring operation immediately after the outbreak of the war. This became the basis for Rear Admiral Takagi's later assessment of the situation when he advised the commander of the Philippine Seizure Force to move up the date of the Assault on Davao.
155Towards Davao
156It was planned an attack on Del Monte base in Mindanao, where the runway had been recognized to be capable for use by large aircraft, by the TOKO Naval Air Group from Palau Naval Air Base to cut the retreat to the south of US Air Forces.
157Fighters: Mitsubishi A5M4 Claude. Attack Aircraft (Bombers): Nakajima B5N Kate
158It seems that the Aircraft Carrier RYUJO was left alone with the 3rd Destroyer Division’s Destroyer SHIOKAZE, with the 5th Cruiser Division 50 miles in the back, the 15th Destroyer Division on the way to Davao.
159The Seaplane Tender USS WILLIAM B. PRESTON (DD-344/AVP-20/AVD-7) was a Clemson-class destroyer and
probably the “fugitive” destroyer was the USS WILLIAM B. PRESTON.
160Still inside the Gulf, but at its end.
3 Minelaying Operation (see Appendix III, Illustration VII)
Minelaying Operational Plan (130)
The Minelaying of the Straits of San Bernardino and Surigao was based on the plan of the Combined Fleet. Namely, the classified Combined Fleet Order No. 1 stipulated that between X+3 Day and X+6 Day, the 1st Section of the 17th Minelayer Division (Minelayers ITSUKUSHIMA and YAEYAMA) was to lay 300 to 500 mines in both straits.
San Bernardino Strait is the strait between Luzon and Samar Island, with a width of about 10 nautical miles at the narrowest part of the strait and a depth of 60~150 metres. Surigao Strait is the strait between Leyte and Mindanao, and its narrowest part is about 10 nautical miles wide. However, due to the presence of Dinagat Island to the east of Surigao Strait, the strait extends approximately 30 nautical miles northward from the narrowest part to Leyte Gulf and then bends at right angles to the east and leads to the Pacific Ocean. The depth at the narrowest part is more than 400 metres, while the depth in the strait near Leyte Gulf is between 20 and 150 metres.
Apart from the two straits, there are no other passages leading to the Pacific Ocean from the west coast of the Philippines or the Visayas Islands. In addition, there is a small channel between Samar and Leyte, but this channel only allows the passage of small vessels. At the beginning of the war, the purpose of laying mines in both straits was to destroy US vessels in the straits or deprive them of freedom of passage to prevent them from entering or escaping from the inland waters of the Philippines to the Pacific.
The 17th Minelayer Division, which was scheduled for this task force, was formed on 15 November 1940 with the Minelayers ITSUKUSHIMA and YAEYAMA and was incorporated into the 3rd Fleet on 10 April the following year at the same time as the new formation of the 3rd Fleet. Furthermore, in September of the same year, the Auxiliary Minelayer TATSUMIYA MARU (44853) was incorporated into the 17th Minelayer Division. The main requirements of each ship were as follows.
Minelayer ITSUKUSHIMA: 1,970 tons, maximum speed 17 knots, 3 - 140 mm guns, 2 - 80 mm dual propose guns161 and 300 mines on board.
Minelayer YAEYAMA: 1, 135 tons, maximum speed 20 sections, 2 - 120 mm dual propose guns, 185 mines on board
Auxiliary Minelayer TATSUMIYA MARU (44853): 6, 345 tons, mines carried 600 mines on board
161According with “Warships of the Imperial Japanese Navy 1869-1945” (Jentshura, Jung and Mickel), in 1935, the 80 mm guns are replaced by 4 double 13 mm AA guns.
The Philippine Seizure Force Headquarters initially planned to have the mines laid by the Minelayers ITSUKISHIMA and the YAEYAMA, which were more manoeuvrable, while the Auxiliary Minelayer TATSUMIYA MARU (44853), which had a larger loading capacity, was to be engaged in mine replenishment in Palau. However, as the Auxiliary Minelayer TATSUMIYA MARU (44853) was incorporated into the Malaya Seizure Force of the Southern Force, it was decided to replace her with the TATSUHARU MARU (45329) (sister ship of the TATSUMIYA MARU) of the 2nd Base Force162.
The primary operational problem was, needless to say, the counterattack by the US forces. In order to covertly arrive, lay mines and evacuate the operation had to be carried out in the middle of the night. For this purpose, the minelaying force had to be within 100 nautical miles of the strait by sunset. It was clear that if the US military patrols were heavy, the laying party would be detected and attacked by the US air force. Even if they could break through this and enter the straits, it was inevitable that the minelaying force, which was inferior in both speed and armament, would be captured and sunk by the US surface forces if they appeared. For this reason, the Philippine Seizure Force Headquarters ordered the 5th Cruiser Division and the 4th Aircraft Carrier Division to support them. On the 3rd of December, the 2nd Destroyer Squadron was also given this task, and the support force was enhanced. However, in the early stages of the campaign, the lack of direct support forces was felt particularly keenly.
The second problem was the rapids in the straits. The strongest currents in both straits ranged from 5 to 8 knots, so the orders of the Combined Fleet indicated that the cables (wires connecting mines to weights) should be strengthened to withstand the particularly strong currents. However, there is a limit to the reinforcement of the cable. Therefore, the 17th Minelayer Division's commander judged that the early mines would begin to break 1 month after laying, usually 3 months later, and that 80% of them would were expected to be severed after 1 year. The influence of the tidal currents was not the only factor, but it was also expected to be difficult to expect long-term effectiveness of the mines, as the strong currents would move the position of the mines or cause fluctuations in the depth of the mines.
Rear Admiral Kobayashi took the above various points into consideration and laid out the following basic plan for laying mines:
1 The time of laying the mines was to be immediately before the Legaspi raid.
2 Minelayer ITSUKUSHIMA will lay mines in the San Bernardino Strait and Minelayer YAEYAMA in the Surigao Strait.
3 Direct support for minelaying operations is requested from the 2nd Destroyer Squadron. (This decision was made after 3 December; prior to that, the plan was to enter alone.)
4 As the laying line is longer than the number of mines on board, the interval between laying will be slightly extended.
5 After laying mines, mines will be replenished from Auxiliary Minelayer TATSUHARU MARU (45329) in Palau.
162According with the TROM at tokusetsukansen the Auxiliary Minelayer TATSUHARU MARU (45329) was incorporated into the 17th Minelayer Division at the 15th of October 1941 but on the 10th of December 1941, the Auxiliary Minelayer TATSUHARU MARU (45329) was removed from the 17th Minelayer Division and incorporated in the 2nd Base Force.
Minelaying Operation (78-102-106-128-130)
Rear Admiral Kobayashi led the 1st Section of the 17th Minelayer Division and sortied out of Palau at 0915 on 8 December, following the 4th Surprise Attack Force. After the sortie, the minelaying force continued northwest with 1st Echelon of the Naval Convoy of the 4th Surprise Attack Force (Army Auxiliary Transports), and on the morning of the 10th of December reached 350 nautical miles east of Legazpi and changed course to the west.
Meanwhile, the Davao Air Raid Operation Force, after completing its raid on Davao on the 8th of December, turned northeast and hurried to join forces with the 4th Surprise Attack Force. The 5th Cruiser Division joined the 4th Surprise Attack Force early in the morning of the 9th of December. The 4th Aircraft Carrier Division joined the 4th Surprise Attack Force on the morning of the 10th, and the 2nd Destroyer Squadron joined 2nd Echelon of the 4th Surprise Attack Force (Navy Auxiliary Transports) in the afternoon of the same day. The 2nd Destroyer Squadron searched for the 1st Section in order to join the 17th Minelayer Division, but was unable to find it, and finally joined it at 0900 after learning of its position from an aeroplane report on the 11th.
On the 11th, 0602, the 2nd Section of the 16th Destroyer Division was assigned to the direct escort of the 5th Cruiser Division by order of the Commander of the Eastern Support Force. Rear Admiral Tanaka detached the 1st Section of the 15th Destroyer Division to support the ITSUKUSHIMA and himself led JINTSU and the 2nd Section of the 15th Destroyer Division163 to the Surigao Strait164.
By that time, the Minelaying Force knew that the US air force on Luzon had suffered heavy losses due to attacks by our base air force on 8th and 10th of December165. However, a counterattack by US air forces in the Central Philippines, which had escaped our attacks, was expected, and the movements of US surface forces were still unknown, so the prospect of a counterattack by them was not remote. The Minelaying Force was particularly concerned about mines being detonated by aircraft attacks. The previous day's sinkings of minesweepers at Vigan and Aparri by strafing inducing the detonation of mines had been reported to the Minelaying Force, and the Minelayers carrying large numbers of mines were particularly vulnerable to this risk.
Rear Admiral Takagi recognised the need to clarify the unknown enemy situation and, at 1230, ordered the Heavy Cruisers MYOKO and HAGURO to launch 1 type Zero reconnaissance seaplane each to reconnoitre the area around both straits. Heavy Cruiser MYOKO seaplane scouted Leyte Gulf, Bohol Island, northern Mindanao Island, Surigao Strait, etc., but found nothing unusual, and returned after reporting the situation to the Light Cruiser JINTSU by report ball on the way back. Heavy Cruiser HAGURO seaplane scouted the San Bernardino Strait, Masbate Island, the northern Sibuyan Sea and the Visayan Sea, and returned home, but was badly damaged when she was recovered. At 1530, Light Cruiser JINTSU also launched its seaplane (Type 94 Reconnaissance Seaplane166) and scouted the Surigao Strait area but found nothing unusual.
163There is a conflict between Senshi Sosho 24 and combinedfleet.com, where Anthony Tully, based on directly translation from the Destroyers reports on this action goes against the information that is on these volume on the Destroyer OYASHIO TROM. (Replay to email). I was able to verify the information on the 2nd Destroyer Squadron Report and it’s possible to verify that it confirms Senshi Sosho 24.
In Senshi Sosho 24, Light Cruiser JINTSU is with the 2nd Section of the 15th Destroyer Division escorting the Minelayer YAEYAMA and the 1st Section is escorting the Minelayer ITSUKUSHIMA. The Illustration nº 7 clarifies by name that the 1st Section is composed by the Destroyers NATSUSHIO and KUROSHIO and the 2nd Section by the OYASHIO and HAYASHIO. Senshi Sosho 26 clarifies that , on page 475, the HAYASHIO it’s on the 2nd Section. The YAEYAMA and ITSUKUSHIMA TROM at tokusetsukansen.jpn.org also confirm the SS 24 version.
Since the combinedfleet TROMs, in these case, are based on the individual Destroyer TROMS there is a possibility that the Destroyers NATSUSHIO and HAYASHIO were with the Light Cruiser JINTSU and Minelayer YAEYAMA and the Destroyers OYASHIO and KUROSHIO were with the Minelayer ITSUKUSHIMA.
164With the Minelayer YAEYAMA.
165By the 11th Air Fleet and the Army 5th Air Division from the Navy and Army Air Bases in Taiwan.
166Kawanishi E7K, allied name ALF.
The weather on the day was half clear, the north-eastern wind was six knots, and the visibility reached 50 kilometres. Judging that the U.S. forces in the direction of both straits were less vigilant, the operational forces entered the straits for the planned minelaying. The 1st Section of the 15th Destroyer Division reached about 10 kilometres east of the line of minelaying in the San Bernardino Strait at around 2000 and began to keep close watch for the enemy. ITSUKUSHIMA reached the west of Biri Island at 2050, from which point it proceeded north- west and began laying the next line, completing the line at 2136.
Minelaying line: 1 line (length about 20 kilometres) Water depth: Between 30-200 meters
Minelaying interval: Around 60-70 meters Type 93 Naval Mine: 300 pieces
Deployed mine Lines: 13 sections
Meanwhile, the Minelayer YAEYAMA, supported by the Light Cruiser JINTSU and the 2nd Section of the 15th Destroyer Division, also carried out the following minelaying line between 2100 and 2125:
Minelaying line: 1 line (between Homonhon Island and Dinagat Island) Depth of water: 30~70 m
Type 93 Naval Mine: 133 pieces
After laying the mines, the Minelayers ITSUKUSHIMA and YAEYAMA headed for Palau. Minelayers YAEYAMA and ITSUKUSHIMA entered Palau on the 13th and 14th respectively. The Light Cruiser JINTSU and the 15th Destroyer Division also left the waters off both straits for the waters east of Legazpi in support of the 4th Surprise Attack Force.

4 Legazpi Landings(see Appendix III, Illustration VIII)
Operational Plan (38-102-106-131-132)
Legazpi is located on the west coast of Albay Gulf at the south-eastern tip of Luzon Island and is the centre of concentration of goods and maritime traffic on the eastern coast of the Philippines Island, as well as having railway connections with Manila. To the north of the city is the 2,400-metre-high Mount Mayon, but the airfield on the northern outskirts of the city was known to be relatively well maintained. Legazpi is located on the Pacific Ocean side of Luzon island, almost in the middle of the Philippines, and its strategic value of containing a large part of the Philippines within its 450 nautical mile radius had been noted by our Army and Navy since before the war.
The Navy, in cooperation with the Army, was planning to assault Legazpi on X+4 Day, occupy and maintain the airfield, and promptly advance 27 Zero fighters and some land reconnaissance aircraft of the base air force. The fighter squadron to be dispatched to Legazpi was to promote the air attrition war against the Central and South Ports, extend the results of the air campaign from the Taiwan at the beginning of the war, block the retreat route of the US air force, prevent its reinforcement, or support our invasion operations. Therefore, this operation, whose main purpose was to occupy and maintain Legaspi Airfield, had an extremely important meaning as a stepping stone in the Philippines Island offensive.
The naval units engaged in the Legaspi Operation were as mentioned above, while the Army units were as follows:
Commander: Major General Naoki Kimura, Commander of the 16th Infantry Group Strength:
Kimura Detachment:
16th Engineer Regiment.
33rd Infantry Regiment (lacking 1st Battalion). 22nd Field Artillery Regiment, 4th Company.
4 Auxiliary Transport:167
Auxiliary Transport HARUNA MARU (848). Auxiliary Transport MYOKO MARU (910).
Anti-Aircraft Auxiliary Transport YASUKAWA MARU (870). Auxiliary Transport SHINANOGAWA MARU (920).
Of the 4th Surprise Attack Force, the 1st Base Forces, under the command of Rear Admiral Kubo, consisted of only 2 Minelayers / Netlayers 168 , 2 Minesweepers 169 and 2 Auxiliary Ships170, and all other units were temporarily under its command. In addition, the 1st Base Force also had the Auxiliary Transport HAKUSAN MARU (29444) (with the 1st Navy Harbour Master's Office aboard), 1st Gunboat Division (without the MYOKEN MARU (45197)), 51st Subchaser Division, Auxiliary Transports MYOKO MARU (43740)171 and KIMISHIMA MARU (44826) (With the 1st Navy Defense Unit aboard) did not participate in this operation and were waiting in Koniya Bay on Amami Oshima for the next landing operation in Lamon Bay.
Patrol Boats PB-34 and PB-35 belonged to the 1st Patrol Boat Division, which was incorporated into the Combined Fleet on 20 November. Both boats left Kure on the 27th of November and arrived in Palau on the 4th of December, escorting MATSUMOTO MARU (28109) (with the 1st Kure SNLF aboard). The Auxiliary Transports SHINRYU MARU (42949) and YAMAFUKU MARU (47357) and the Fleet Oiler HAYATOMO, embarked the 1st Naval Construction Group and sailed from Sasebo to Palau by around 5 December. The fishing vessels were requisitioned in Palau. The Kimura Detachment embarked on a transport ship at Nagoya and successively finished advancing to Palau by the 5th of December.
Based on a synthesis of various reports received up to around the 20th of November, it was determined that the status of the deployment of US-Philippine forces in the Legazpi area was as follows:
Near Legazpi: 2,000 to 3,000 personnel, based on the 5th Army District Headquarters and the 51st Division.
Near Sorsogon Bay (southeast of Legazpi): about 1 battalion Masbate Island: about 2 battalions.
167On the Original the Army Auxiliary Transports are not identified.
168Minelayer / Netlayers SHIRATAKA and AOTAKA.
169Minesweepers W-7 and W-8.
170Auxiliary Minesweeper IKUSHIMA MARU (42624) and Auxiliary Gunboat MYOKEN MARU (45197).
171Not to be confused with the Army Auxiliary Transport MYOKO MARU (910) with the same name.
In Palau, Rear Admiral Kubo made an operational agreement with the Army Detachment Commander Kimura, establishing the following general plan of operations:
1 Action Plan and Assignment of Duties
1) Depart Palau on X Day, enter Legazpi at about midnight on X+4 Day, and the Kimura's Detachment will start landing immediately. The landing schedule is 5 days.
2) After the Kimura Detachment occupies the airfield, its security will be transferred to the 1st Kure SNLF.
3) The 1st Naval Construction Group will be responsible for the rapid maintenance of the airfield.
4) The Minelayer / Netlayer SHIRATAKA, Patrol Boats PB-37 and PB-38 will not take part in this operation but will prepare for the Davao assault at Palau.
2 Naval Escort details
1) Force and Units (see Table 23)
2) The order of sailing will be in the order of the 1st Echelon first, and the 2nd Echelon after, with the 17th Minelaying Division and 11th Seaplane Tender Division sailing together at full speed.
3) The course will be north-west after sailing from Palau, and westward from 350 nautical miles east of Legazpi.
3 Anchorage defense and vigilance
1) Forces and Assignments (see Table 24)
2) The Nagara and the 24th Destroyer Division will sail to Amami Oshima to prepare for the next operation as soon as this operation is completed, and the command of the local operation thereafter will be taken by the Commander of the 16th Destroyer Division.
3) 2 Patrol Boats will escort the Auxiliary Transports to Palau after their landing. The other units will be engaged in the next landing operation in Lamon Bay.
From the Eastern Support Force, the 11th Seaplane Tender Division was to support this operation throughout, while the other units were planned to support after the Davao air raid operation. The TOKO Naval Air Group Reconnaissance Squadron was planned to indirectly support the operation through wide-area search and attacks in the Central and South Philippines Sectors .


Surprise landings (78-102-105-106-115-128-131-132-133-134)
On the 8th of December, after conducting anti-submarine control outside the harbour, the Main Body, the 1st and 2nd Echelons, the 17th Minelayer Division and the 11th Seaplane Tender Division departed out of Palau starting at 0800. The 1st and 2nd Echelons units formed a warning navigation formation outside the harbour and began to sail on a heading of 320° in the order of the 1st and 2nd Echelons. At 1030, the Minesweeper W-7 detected a submarine and conducted a depth charge attack, but the effect was unknown172.
At 0600 on the 9th, the 5th Cruiser Division appeared in sight. On the night of the 9th, the distance between the 1st and 2nd Echelons gradually began to be disrupted and when the 1st Echelon turned at 275° on the morning of the 10th, the 2nd Echelon had already passed the 1st Echelon. On the 10th, around 0900, the 5th Cruiser Division and the 4th Aircraft Carrier Division joined the 2nd Echelon. Around 1300, the 2nd Destroyer Squadron also joined the 2nd Echelon. The 5th Cruiser Division and 2nd Destroyer Squadron searched ahead of the 2nd Echelon in order to join with the 17th Minelayer Division, which was underway with the 1st Echelon, but failed to find it during the 10th. The sea was calm that day with east wind with a few knots, but visibility was limited by haze and the fact that the 1st Echelon, which should have been in front of the 2nd Echelon, was far to the left and behind it.
During this period, TOKO Naval Air Group, Reconnaissance Squadron operated as follows:
8th of December.
With 8 flying boats, scouted within a radius of 239-320° (650 nautical miles) of Palau. In the Celebes Sea, they sighted and bombed a 400-tonne class US chartered ship, but to no avail. They also spotted a merchant ship of unknown nationality about 150 nautical miles east of Surigao Strait, and attacked it, hitting it close.
9th of December.
8 flying boats from Peleliu Island, were sent to search from 203° to 230° and from 284° to 311°, both within a range of 650 nautical miles, but no enemy contacts were found.
10th of December.
Of Palau, conducted a search from 257° to 320° within 650 nautical miles of Palau with 8 flying boats. No enemy contact was found, except for the sighting of a US flying boat near the southern tip of Mindanao Island.
On the 11th, 0400, the Naval Fleet Oiler HAYATOMO spotted a submarine and the Minelayer/ Netlayer AOTAKA and the Patrol Boat PB-34 attacked it with depth charges, but the effect was unknown. At 0900, the 5th Cruiser Division and 2nd Destroyer Squadron finally joined with the 1st Echelon. At 1000, the Light Cruiser JINTSU, 15th Destroyer Division and the 17th Minelayer Division separated for the minelaying operation. At 1156, the 5th Cruiser Division recognised a torpedo trail and evaded it, but this was not certain. The 1st Echelon gradually pursued and overtook the 2nd Echelon, and by the evening of the 11th had already reached about 70 nautical miles east of Legazpi. The weather was fine, with a north-easterly wind of 5 to 6 knots and visibility of 50 kilometres, but no US aircraft appeared.
In the evening, the 1st Echelon's Escort Force Minesweepers W-7 and W-8 conducted a forward sweep, the 24th Destroyer Division kept close watch while the 1st Section of the 16th Destroyer Division led the Auxiliary Transports on an Anchorage Approach Formation. At 2350, the 1st Echelon anchored at the 1st anchorage off Cape Kavalai173, and Kimura's Detachment immediately began transferring boats for the first landing. Around this time, the moon began to appear and illuminate the mirror-like surface of the sea.
The 1st landing group began landing on the 0245 Bigaa beach on the 12th. The 1st Echelon moved to the 2nd anchorage to hasten the landing of the Kimura Detachment's main force. The 2nd Echelon successively entered the 3rd anchorage between 0600 and 0830, while the 1st Kure SNLF and the 1st Naval Construction Group began landing at 1040.
At 0900, the Kimura Detachment occupied the airfield without resistance from the US and US-Philippine forces, and at 1500, switched guard with the 1st Kure SNLF and proceeded westwards. An inquiry of the Philippine police officers revealed that about 600 US and US- Philippine troops had retreated from Legazpi by the end of the 10th.
At sea, the 4th Surprise Attack Force was to guard the anchorage and set up mines and anti- submarine nets according to plan, while Rear Admiral Kubo dispatched Patrol Boat PB-35 to Catanduanes Island, 30 nautical miles north of Albay Bay, to assist the 11th Seaplane Tender Division in setting up a seaplane base. At 1430, a single US fighter aircraft suddenly came grazing over the mountainside of Mount Mayon and attacked the airfield and naval vessels, causing 4 casualties in the 1st Kure SNLF and 1 casualty in the Light Cruiser NAGARA.
There was no counterattack by the US forces on the 13th, and the landing operations passed smoothly. Rear Admiral Kubo deemed that the mission to occupy and maintain Legazpi Airfield had been accomplished and led the Light Cruiser NAGARA and the 24th Destroyer Division to Amami Oshima for the landing operations at Lamon Bay. Command of the 4th Surprise Attack Force, which remained at Legazpi, was entrusted to Captain Shibuya Shiro, Commander of the 16th Destroyer Division174.
At 0900 on the 14th, 2 heavy bombers attacked the anchorage, causing some damage to the crews of the Auxiliary Minesweeper Tender IKUSHIMA MARU (42624) and Minesweeper W-7. Later, fighters of the 23rd Naval Air Flotilla arrived and conducted overhead patrols, landing at the airfield shortly after noon. Around 1500, US fighters, followed by 4 heavy bombers, attacked the airfield and damaged our planes. Details of this are given in the next chapter.
On the 18th, the unloading of the Army Auxiliary Transports was completed, and Patrol Boats PB-34 and PB-35 left Legazpi escorting them, arriving in Palau on the 22nd. Both boats were removed from the 4th Surprise Attack Force as soon as they left Legazpi. The other vessels left Legazpi in the evening of the following day (19th) and headed north to escort the landing convoy to Lamon Bay.
172I could not find any evidence of an attack on an allied submarine.
173I could not find any Cape Kavalai in the vicinity of Legazpi. But according with Illustration nº 8 it’s the Cabadea Point, near Cagraray. The 1st Anchorage, off Cape Kavalai, was at a distance of about 6 nautical miles from Vigaa Beach (landing point).
174In the YUKIKAZE.

Eastern Support Force (77-94-102-106-108-115)
On 8 December, the 11th Seaplane Tender Division sortied out of Palau at 1000 with 4 Type Zero Observation Seaplane 175 in support of the 4th Surprise Attack Force . Since the sortie, the 11th Seaplane Tender Division, which was operating together with the 4th Surprise Attack Force, established a floating base at Bato, northeast of Cabugao Bay in the southern part of Catanduanes Island on 12 December. Thereafter, the Seaplane Carrier MIZUHO flew a total of 81 sorties with the Type Zero Observation Seaplane and 7 with the Type 94 Reconnaissance Seaplane176 until the 17th, while the Seaplane Carrier CHITOSE flew a total of 35 sorties with the Type Zero Observation Seaplanes and 4 with the Type 94 Reconnaissance Seaplane until the 14th, engaging in various missions such as reconnaissance, attacks, land battle support and overhead vigilance. Major engagements during this period were as follows:
12th of December:
Seaplane Carrier MIZUHO's Type 94 Reconnaissance Seaplanes bombed the Virac wireless telegraph station on Catanduanes Island, while 6 Type Zero Observation Seaplanes from Seaplane Carrier CHITOSE bombed large trucks at Legazpi and 2 from Seaplane Carrier CHITOSE bombed the Bato wireless telegraph station on Catanduanes Island.
13th of December:
4 Type Zero Observation Seaplane from the Seaplane Carrier MIZUHO bombed and destroyed 5 US-Philippine military vehicles south of Legazpi.
14th of December:
1 Type 94 Reconnaissance Seaplane and 2 Type Zero Observation Seaplanes from the Seaplane Carrier MIZUHO bombed 1 small steamer each in Calolbon, Catanduanes Island, but the effect was unknown. 2 Type Zero Observation Seaplanes from the same ship spotted 2 US heavy bombers but failed to attack them. At 1500, 1 Type Zero Observation Seaplane from the Seaplane Carrier CHITOSE attacked 1 heavy bomber177, but failed to shoot it down.
During this period, the Seaplane Carriers MIZUHO and CHITOSE were generally in the vicinity of the Bato seaplane base during the day to support base operations, and at night they operated in the open sea for convenience and to avoid submarine attacks. Rear Admiral Fujita, commander of the 11th Seaplane Tender Division, left the area on the night of the 14th with the Seaplane Carrier CHITOSE and arrived in Palau on the 16th, and the Seaplane Carrier MIZUHO withdrew from the Bato base on the 16th, supported the Legaspi operation from the sea on the 17th, then went to support the Lamon Bay Landing Operation.
On the 11th, the 4th Aircraft Carrier Division participated with its planes on the surveillance and escort of the 4th Surprise Attack Force. On the 12th, the day of the Legazpi landings, the Aircraft Carrier RYUJO’s squadron conducted the following operations while operating 100 nautical miles east of Legazpi:
8 Type 96 Carrier Based Fighters were sent to guard over the landing points. 4 Type 97 Carrier Attack Bombers over the Aircraft Carrier RYUJO.
7 Type 97 Carrier Attack Bombers to support land combat.
2 Type 97 Carrier Attack Bombers: anti-submarine alert over the Aircraft Carrier RYUJO.
3 Type 97 Carrier Attack Bombers, anti-submarine alert over the anchorage.
During the operation, a Type 97 Carrier Attack Bomber Squadron bombed a merchant ship at Legaspi178, but no aerial opposition is encountered. On the order of Rear Admiral Takagi, the 4th Aircraft Carrier Division left the area in the evening of the 12th and entered Palau on the 14th.
175This is the Mitsubishi F1M2, allied code name Pete.
176This is the Kawanishi E7K2, allied code name Alf.
177B-17 from Del Monte Airfield.
178I could not identify any attack on an allied merchant ship at this moment.
The Light Cruiser JINTSU, the flagship of the 2nd Destroyer Squadron, and the 15th Destroyer Division, which escorted the 17th Minelayer Division during its laying of mines, completed their rendezvous at about 100 nautical miles east of Legazpi around noon on the 12th. Rear Admiral Takagi ordered the Light Cruiser JINTSU and the 15th Destroyer Division to return to Palau to prepare for the next phase of operations.
Rear Admiral Takagi led the 5th Cruiser Division Squadron and the 2nd Section of the 16th Destroyer Division in support of the entire operation, operating from 150 to 200 nautical miles east of Legazpi since the night of 11th of December. On the 13th, at 1800, he sent the Heavy Cruiser NACHI and the 2nd Section of the 16th Destroyer Division back to Palau. Recognising that the Legazpi operation was a success and that there was no counterattack by the US surface forces, Rear Admiral Takagi left the area at 1200 on the 15th. Heavy Cruiser NACHI and the 2nd Section of the 16th Destroyer Division returned to Palau on the 15th, and 5th Cruiser Division's Heavy Cruisers MYOKO and HAGURO returned to Palau on the 16th, thus completing all support for the Legazpi Operation.
Palau Base Air Force Operations (115-117)
The TOKO Naval Air Group Squadron continued to conduct search and attacks in support the Legaspi offensive.
The TOKO Naval Air Group Squadron operations on the 11th were as follows:
3 Flying Boats: search from Peleliu between 120° and 210°, within a range of 300 nautical miles.
1 aircraft: reconnaissance in the Davao Gulf.
3 aircraft: 4th Surprise Attack Force anti-submarine escort.
1 aircraft: Reconnaissance along the east coast of Samar Island.
None of the above search and rescue missions were able to find any enemy contacts. On the 11th, 11th Air Fleet Headquarters intercepted communications of US forces actively requesting weather reports from Del Monte Air Base. Command planned an attack on Del Monte by TOKO Naval Air Group Squadron’s flying boats, and TOKO Naval Air Group Squadron stopped operations on the 12th to carry out preparations for an attack on Del Monte. However, the attack was postponed due to bad weather on the 13th of December.
The Peleliu-based fighter group continued to engage in air defence of the Palau Islands but was not attacked at all.
1 Operational plan of the 11th Air Fleet Commander
Report
At 1430 on the 16th of December, Vice Admiral Tsukahara, Commander of the Air Force of the Southern Force, telegraphed the following information on the status of the Air Operation and the immediate operational guidelines to the Navy General Staff, the Commander of the Combined Fleet and the Commander of the Southern Force: (106)
1 - Comprehensive war results up to the 15th of December:
1 Certain to be shot down or set ablaze (number of downed aircraft in brackets)
Fighter aircraft 121 (63), medium aircraft 25 (0), large aircraft 33 (4),
flying boats 14 (3), training aircraft 18 (0), total 201 (70).
2 Ground gun-bombing heavily damaged:
10 large aircraft, 63 small aircraft, 15 training aircraft, 88 in total.
2 - Current situation:
1 Enemy Situation:
A) The enemy's remaining first-line air force units consists of about 10 bombers, a dozen flying boats and 20 fighters, with most of the fighters in the central part of the Philippines and others scattered mainly in the southern part of Luzon island at Iloilo and Del Monte airfields and at Jolo.
B) As for enemy surface vessels, 2 or 3 destroyers in the Manila area and 2 submarines have been confirmed, but there is no sight of any vessels on the coast of the Philippines north of 14° north latitude or in the surrounding waters, and it is generally assumed that they are retreating south of 12° north latitude.
C) The enemy air force is generally lacking in fighting spirit, especially after the heavy damage caused by the 1st and 2nd strikes of our air force.
2 Our Military Situation:
A) Losses and damage up to December the 15th (including those not caused by direct combat).
1) Crews: 4 Land Based Attack Aircraft, 1 transport, 13 Zero fighters.
2) Equipment: 10 Land Based Attack Aircraft (4 Type 1, 6 Type 96179), 23 Zero fighters, 1 transport aircraft.
179Type I (Betty) and Type 96 (Nell).
B) Operational progress:
The fighter advance to the Aparri Air base has been cancelled and the Legaspi Air base is too narrow, so the number of aircraft advancing there is expected to be around 12, but progress is being made as planned.
3 - Current operational details:
1 Forces stationed in the Naval Air Bases in the South of Taiwan are in the area of action (use of occupied forward bases as necessary). Search land and sea for enemy forces and destruction of the remaining air power.
2. Deploy 2 flying boats to Legaspi and search for enemy ships in the south- central area of the Philippines from the same base (1st search scheduled for the 18th).
3. A part of the TAINAN Naval Air Group, quickly advance to the Legazpi base to destroy the enemy's remaining air force north of Mindanao (9 aircraft advanced on the 14th, 4 of which were disabled due to enemy fire.)
4 The 21st Naval Air Flotilla Headquarters, the KANOYA Naval Air Group, the TOKO Naval Air Group and the 3rd Naval Air Group will advance to Davao as soon as the Davao Air Base is ready and wipe out enemy air power in the south- central part of the Philippines and naval power in the Sulu Sea area (fighters and flying boats are expected in 21 days and Land Based Attack Aircraft in 27 days).
Vice Admiral Tsukahara's assessment of the situation and his operational policy for the next phase of the campaign after the end of the air campaign was summarised in this report, the main points of which are detailed below.
Assessment and judgment of the US Navy and Air Force units (39-83-102-106-110)
Prior to the outbreak of war, our Navy had a high opinion of the fighting power of the US air force. Our Navy had developed its air forces in the wake of the US and Britain and had made desperate efforts to catch up with them technologically. However, due to the general disparity in technical standards, it was acknowledged that we were still some way behind in terms of equipment. In particular, the B-17 heavy bombers and P-40 fighters deployed in the Philippines were considered to be formidable aircraft for us. The skills of the US crews were not known precisely, but our Navy considered them to be highly skilled. In particular, when our air force learned on the eve of the war that US fighters had been launched against our weather reconnaissance aircraft for a night-time intercept, they were surprised to learn that US fighters were capable of night-time air combat.
On the other hand, although we succeeded in extending the Zero's range, the Zero's 500 nautical mile range was the limit of its operational capability due to the short time available for air combat. In contrast, the US air force had the advantage of an effective line of sight and was in a superior position to intercept our advancing units. In addition, although we had an advantage over him in terms of air power ratio, was the matter that we suffered heavy losses in the Battle of Philippine Islands Air Destruction during the Combined Fleet's exercises held in September. Furthermore, 20mm machine gun ammunition and tanks for the Zero fighter were in extremely short supply at the start of the war. Because of this, there was a great deal of anxiety about the execution of operations by the 11th Air Fleet at the start of the war due to supply problems. Under these circumstances, all the commanders of the Naval Air Groups, under Vice Admiral Tsukahara, were prepared to do their utmost to destroy this unknown enemy in the air, which would determine the success or failure of the Philippine Operation.
The operation did not go smoothly due to the weather in the 1st attack. In the first encounter between the US and Japanese air forces, however, the Japanese superiority in morale, skill and equipment resulted in the destruction of the majority of the US air force in the 1st attack on the 8th of December, a decisive blow in the 2nd attack on the 10th of December and the destruction of most of the remaining aircraft in the 3rd and 4th attacks on the following 12th and 13th of December. These results were totally unexpected by our Navy before the war began.
During this period, there were few instances of active operations or fighting by US air forces, both offensive and defensive. Only on the 10th, during the attack on the Manila area, US fighter planes waiting below the lower clouds made a tail attack on our fighters firing from the rear, and in an attack on our vessels, the Heavy Cruiser ASHIGARA and the Auxiliary Aircraft Transport TATSUKAMI MARU (45368)180, which was attached to the 11th Air Fleet, were hit, and a surprise attack by a handful of aircraft on a convoy at anchor in a port was carried out. The US fighters' wariness and the wariness of the US fighter planes were also questioned. In addition, there was a dominant opinion within the Naval Air Groups that the fighting spirit and skills of the US fighters were not much different from those of the Chinese Air Force, based on the experience of the Chinese front. Some even considered the US air force to be below the Chinese Air Force in terms of skill.
180Also known as TATSUGAMI MARU.
Based on the results of this air attrition battle, the 11th Air Fleet estimated that the number of remaining US air forces in the Philippines around the 15th was about 10 bombers, a dozen flying boats and 20 fighters, and that the US Air Force would retreat its fighters to the central island and its bombers and flying boats to southern island bases where they would be beyond our attack and attempt a counterattack by a small number of aircraft when the opportunity arose. The 11th Air Fleet judged that it would only attempt to counterattack with a small number of aircraft at the opportune moment. In the meantime, US submarines would continue their counterattack, but it was also judged that there would be no counterattack by US surface forces.
Status of our air forces (77-83-110-114-115)
The losses of our air forces up to the 15th of December were extremely low, as reported above. On the other hand, the number of remaining US aircraft was estimated to be around 50, so the 11th Air Fleet expected that the future losses to our forces would be minimal.
The conditions of the air bases occupied were as follows: 1 Aparri Airfield:
The Auxiliary Aircraft Transport KEIYO MARU (44001) of the 11th Air Fleet arrived at Aparri on 10 December, accompanied by the Tanaka Detachment at the Army Auxiliary Transports escorted by the 1st Surprise Attack Force . As Tanaka's detachment occupied Aparri Airfield on the same day, the 23rd Naval Air Flotilla Headquarters dispatched a base surveyor to investigate the airfield the following day. However, as the airfield had soft soil and was too narrow to allow for expansion, the decision was made not to advance the aircraft squadron and to use it as an emergency landing site. Therefore, the Auxiliary Aircraft Transport KEIYO MARU (44001) left Aparri on the 13th of November and returned to Takao after landing some of the 3rd Naval Air Group's base personnel and base equipment.
2 Basco Airfield, Batan:
It could only be used as an emergency landing site for fighter aircraft.
3 Laoag Airfield:
According to the Army-Navy Air Agreement prior to the outbreak of war, Laoag Airfield, together with Aparri Airfield, was to be shared by the Army and Navy as a forward base or emergency landing site in the early stages of the war. However, the Southern Force 11th Air Fleet did not intend to use the airfield as a forward base and did not send any base personnel or base property.
4 Legaspi airfield:
On the 12th of December, the Kimura Detachment occupied Legaspi Airfield and at 1500 was replaced with the 1st Kure SNLF on guard assignment. The 1st Naval Construction Group also landed at 0830 and began maintenance of the airfield. Lieutenant Commander Okamura Tokunaga, head of the 1st Naval Construction Group, reported on the same day that the airfield was ready for use on the same day. On the same day, the Chief of Staff of Philippine Seizure
Force inquired of the Chief of Staff of the 11th Air Fleet about the probable time when the Flying Squadrons would be able to move to Legazpi, to which the Chief of Staff of the 11th Air Fleet replied as follows:
“If the situation is good, some units (about 6 Zero fighters) will advance on the 14th, and the rest are expected to be able to move in after the 17th”.
On the 13th, the following day, the 1st Naval Construction Group commander notified the 11th Air Fleet Headquarters as follows:
“Weather good, all airfield and other preparations completed, suitable for of 30 fighters. 13th, 1140”.
Upon receiving the report, Vice Admiral Tsukahara increased the number of aircraft to advance on the 14th to 9 Zero fighters from the TAINAN Naval Air Group and 2 land reconnaissance aircraft, with 6 Land Based Attack Aircraft from the TAKAO Naval Air Group assisting with the advance.
The aircraft departed Taiwan on the 14th and arrived at Legaspi Airfield at 1345. The 23rd Naval Air Flotilla's chief of staff, Engineer Lieutenant Commander Yokoyama, accompanied them to investigate the base. However, 2 Zero fighters crashed on landing when their wheels dug into the mud. The airfield was 800 meters long and 80 meters wide, making it unsuitable for medium attack aircraft, and the ground was soft and happened to be in a period of heavy rainfall, so it was not suitable for a large number of aircraft. The Zero squadron shot down 1 B-17 that attacked at 1515 and destroyed it. However, on 1725, a P-40 attacked the airfield and damaged 2 Zero fighters and 5 Land Based Attack Aircraft. Chief of Staff Yokoyama immediately reported this situation.
Operational policy (35-83)
In view of the above situation, Vice Admiral Tsukahara set the following operational policy for the following period:
1 The 11th Air Fleet based in Naval Air Bases in Taiwan will continue to move into the area of operations and attack the remaining US and US-Philippine naval and air forces.
2 A part of the TAINAN Naval Air Group (12 Zero fighters and a few land based reconnaissance aircraft) is to advance promptly to Legazpi and sweep up the US air forces in the Central and Southern Philippines area.
3 2 flying boats will be sent to Legazpi to search for the US fleet in the Central and Southern Philippines area.
4 After the occupation of Davao, the 21st Naval Air Flotilla Headquarters, a Detachment of the KANOYA Naval Air Group, TOKO Naval Air Group and the 3rd Naval Air Group will be moved into the area to reinforce the search and attack of remaining air forces in the Central and Southern Philippines and the search and attack of the US fleet in the Sulu Sea.
Units at Taiwan (35-83-102-115-117)
Recognising that the 4th Air Attack on the 13th of December had completed the air suppression battle, Vice Admiral Tsukahara ordered that the all-out attack should cease as of the same day, and that on the 14th and 15th half the units should continue operations and the remaining half should carry out maintenance, while on the 16th and 17th they should take it in turns to carry out maintenance and operations.
On the 14th, a Squadron of 26 Land Based Attack Aircraft of the TAKAO Naval Air Group and a Squadron of 9 Zero fighters of the 3rd Naval Air Group advanced towards Manila. Under fighter overhead control, the Land Based Attack Aircraft force attacked ships in Manila Bay and hit several merchant ships with close-range bombs.
The attack on the 15th was carried out by a Squadron of 26 Land Based Attack Aircraft of the TAKAO Naval Air Group and a Squadron of 15 Zero fighters of the 3rd Naval Air Group. The fighter squadron attacked Nicolls and Del Carmen airfields, destroying 2 large and 2 small aircraft each. The Land Based Attack Aircraft Squadron attacked Del Carmen Airfield and ships in Manila Bay, sinking one 2,000-ton class merchant ship and destroying 2 medium-sized merchant ships.
On the 16th, Vice Admiral Tsukahara planned to attack Iloilo, Panay Island, and on the afternoon of the 15th, he informally announced the plan to the Commander of the 21st Naval Air Flotilla. However, as there was a request from the 2nd China Expeditionary Fleet for an attack on Hong Kong, the 16th operation was changed to an attack on Hong Kong.
On the 16th, a total of 44 aircraft, 18 Land Based Attack Aircraft of the KANOYA Naval Air Group and 26 Land Based Attack Aircraft of the 1st Naval Air Group, attacked Hong Kong ships and Mount Davis Battery (western part of Hong Kong Island) with 54 250-kilogram bombs and 342 60-kilogram bombs. It was reported that 1 destroyer was badly damaged, 2 merchant ships were sunk and the Battery was also heavily damaged. On the same day, Vice Admiral Tsukahara ordered a detachment of the KANOYA Naval Air Group to advance into Palau. The details of this are described below.
2 land based reconnaissance aircraft of the TAINAN Naval Air Group scouted Lamon Bay on the 15th, and the same aircraft scouted the Manila Bay area on the 16th. As a result, 2 submarines, 2 destroyers, 20 merchant ships, 2 flying boats and 1 torpedo boat were sighted in Manila Bay, 1 large merchant ship in Mariveles on the southern tip of Bataan Peninsula, 1 gunboat and 1 flying boat in Olongapo, Subic Bay.
Vice Admiral Tsukahara ordered the postponed Iloilo attack to be carried out on the 18th. 18 Type 96 Land Based Attack Aircraft of the 1st Naval Air Group and 39 Type 1 Land Based Attack Aircraft of the TAKAO Naval Air Group departed from Tainan and Takao Naval Air Bases respectively for the attack. The distance from both bases to Iloilo was approximately 750 nautical miles, and both aircraft sortied under overload conditions, and there were concerns about damage to the legs and tyres during take-off, but no accidents occurred. 5 Zero fighters from Legaspi responded to the attack and were assigned to support the Land Based Attack Aircraft force. As no ships were seen in the harbour, the Land Based Attack Aircraft force bombed Iloilo Airfield with 78 250-kilogram bombs and 144 60-kilogram bombs, inflicting heavy damage. The fighter squadron then shifted to ground fire and destroyed 1 medium and 2 small aircraft in flames. On their way home, the fighter squadron searched every airfield in the Visayas, but found no aircraft.
On the 19th, the attack target was again changed to the Manila area. On that day, 26 Land Based Attack Aircraft of the TAKAO Naval Air Group and 17 Land Based Attack Aircraft of the 1st Naval Air Group bombed the Cavite Radio Telegraph Station with 80 250-kilogram bombs and 172 60-kilogram bombs, causing heavy damage. The attack was temporarily suspended from the 20th to the 22nd in order to escort the invasion naval forces to the Lingayen Gulf. However, on the 23rd of December, 9 Land Based Attack Aircraft of the 1st Naval Air Group again attacked the wireless telegraph station. On 24th, 8 Land Based Attack Aircraft of the 1st Naval Air Group bombed Manila port facilities, and 9 of the same planes attacked merchant ships in Mariveles Harbour, sinking one 7,000-ton class merchant ship.
From the 14th to the 23rd, a total of 87 fighters of the 3rd Naval Air Group, 20 Land Based Attack Aircraft of the 1st Naval Air Group and 7 Land Based Attack Aircraft of the TAKAO Naval Air Group conducted patrols over and in front of the Naval Air Bases, while 4 Land Based Attack Aircraft conducted patrols in the South China Sea but failed to find any hostile intent. A total of 44 aircraft of the 1st and TAINAN Naval Air Groups escorted the Lingayen Gulf invasion naval forces. Details are given in Chapter VI.
The Advance of the KANOYA Naval Air Group Detachment into Palau (35-77)
Vice Admiral Tsukahara had already sent the Auxiliary Transport AMAGISAN MARU (38579) and Auxiliary Ammunitions Transport TATSUKAMI MARU (45368), carrying base equipment for landing in Davao, to Palau in order to accompany the 5th Surprise Attack Force to Davao, and furthermore, in preparation for the advance of each unit to Davao base, he planned the following transport between Takao and Davao by the following Auxiliary Transports for around 15 days:
Auxiliary Aircraft Transport LYON MARU (26949): Departure from Takao on the 18th to transport the advance detachment of the KANOYA Naval Air Group.
Auxiliary Transport OKITSU MARU (46267): Departing from Takao for Davao on the 20th, Auxiliary Aircraft Transport KAMOGAWA MARU (44513): Departing from Takao for Davao on the 25th, partial transport of the 1001 Naval Air Group and 21st Naval Air Flotilla Headquarters.
Auxiliary Aircraft Transport KOMAKI MARU (38561): Departing around the same time on the 29th, transporting the KANOYA Naval Air Group's rear detachment.
Meanwhile, it was decided on the 14th of December that the Davao offensive, which had been postponed to the 22nd of December by the Philippine Seizure Force, would be moved up to 20 December (see below for details).
Originally, the KANOYA Naval Air Group was to advance from Taiwan to Palau on the 11th and 12th of December to attack the South Pacific area, and the Davao invasion was planned to be carried out pending the results of the air raid by the KANOYA Naval Air Group. However, as half of the KANOYA Naval Air Group was dispatched to the Malayan area, 11th Air Fleet Headquarters cancelled the KANOYA Naval Air Group detachment's advance to Palau and changed the plan so that the detachment would advance to Davao Airfield after the capture of the airfield there. The Combined Fleet Headquarters, concerned about this situation, sent the following telegram in the name of the Chief of the General Staff on the 16th:
“In the event of an attack on Davao, we can expect a counterattack by the main forces of the US Asiatic Fleet and the air forces fleeing to the southern islands of the Philippines.”
Accordingly, at 1620 on the same day, Vice Admiral Tsukahara gave the following order to the commander of the 1st Air Assault Force181 (Commander of the 21st Air Squadron):
“The commander of the 1st Air Assault Force will advance to Palau on the 17th, tomorrow, and from the base over there, will take part in the battle for Davao and be in charge of destroying enemy naval vessels”.
The situation at the KANOYA Naval Air Group's detachment on the 16th was as follows: At 1530, 18 Land Based Attack Aircraft had just returned from the bombing of Hong Kong and 5 Land Based Attack Aircraft were being airlifted to Sanya to replace those lost in the Battle of Malaya182. The airlift crews were not scheduled to return until the evening. In addition, several aircraft hit in the attack on Manila on 13th were under repair. For this reason, Rear Admiral Tada Takeo, Commander of the 21st Naval Air Flotilla, requested to Vice Admiral Tsukahara to postpone the Kanoya’ s Detachment advance into Palau to the 18th.
181See Table 20.
182Against the Battleship HMS PRINCE OF WALES and the Battlecruiser HMS REPULSE.
Earlier on the 12th, the Philippine Seizure Force Headquarters had inquired the 11th Air Fleet Headquarters about the possible time for the to advance to Legazpi and Davao , and at the end of the telegram, it was stated that “The unit is expected to be able to advance the Davao attack by 2 or 3 days”. At the time, the Davao offensive had been postponed to the 22nd, so Vice Admiral Tsukahara understood that this meant the Davao offensive would be carried out on the 19th at the earliest. The final decision to attack Davao was made in discussions between Rear Admiral Tanaka, Commander of the 2nd Destroyer Squadron, and Army Detachment Commander Sakaguchi, on the 14th of December. Rear Admiral Tanaka reported this result on the 15th, but this was not reported to the 11th Air Fleet. At 2230 on the 16th, the Commander of the Miura Support Detachment, again reported this to the chiefs of staff of both the Philippine Seizure Force and 11th Air Fleet. However, this telegram did not reach the 11th Air Fleet headquarters by the time Rear Admiral Tada made the above request. Therefore, Vice Admiral Tsukahara judged that the Davao offensive was likely to be moved up to the 19th. If the KANOYA Naval Air Group Detachment advanced to Palau on the 18th, it would not be possible to conduct an air raid on Davao before the invasion, so Vice Admiral Tsukahara rejected Rear Admiral Tada's request and ordered the KANOYA Naval Air Group Detachment to advance to Palau on the 17th.
Rear Admiral Tada therefore gave the following orders.
1 The commander of the KANOYA Naval Air Group is to send 25 Land Based Attack Aircraft to Palau on the 17th, tomorrow, and the remainder to Palau as soon as they are ready.
2 The Commander of the TOKO Naval Air Group is to conduct the previously ordered search and attack operations with flying boats, and after the arrival of the KANOYA Naval Air Group Detachment at Palau, he is to command the Detachment and cooperate in the attack on Davao, mainly by destroying enemy naval ships.
3 The 1st Air Assault Force Commander shall assist the airlift of the KANOYA Naval Air Group Detachment personnel with 5 Land Based Attack Aircraft on the 18th.
On the 17th, 0700, 25 land attack aircraft of the KANOYA Naval Air Group Detachment departed Taichu for Palau but turned back halfway due to bad weather.
On the morning of the 17th, Vice Admiral Tsukahara learnt that the date for the Davao offensive had been set for the 20th and ordered the 21st Naval Air Flotilla Headquarters to also advance to Palau. The command under Rear Admiral Tada moved to Tung Chang Naval Air Base (Toko) later that night and attempted to advance to Palau by flying boat in the early morning of the 18th but failed to achieve their objective due to aircraft malfunctions.
On the 18th, at 0700, 25 Land Based Attack Aircraft of the KANOYA Naval Air Group Detachment, commanded by Lieutenant Commander Irisa, left Takao and completed their advance to Peleliu Air Base by 1600. 7 Land Based Attack Aircraft and 1 transport aircraft of the 1st Air Assault Force departed from the base to assist the Detachment's advance, but turned back due to bad weather, and eventually carried out transport on the 19th. The 21st Naval Air Flotilla
Headquarters also arrived at TOKO Naval Air Group Base, Palau at 1940 on the 19th. After the 21st Naval Air Flotilla Headquarters left Taiwan on the 19th, Vice Admiral Tsukahara temporarily relieved the 21st Naval Air Flotilla Commander of command of the 1st Air Assault Force and assigned a new Commander to directly lead the 1st Air Assault Force.
Units at Palau (35-115-117)
The TOKO Naval Air Group continued to base operations in Palau. On the 14th of December, the squadron's flying boats carried out a forced reconnaissance of Davao with Commander Miura on board. The squadron's flying boats carried out photographic reconnaissance at an altitude of 800 US and bombed the airfield with six 60-kilogram bombs to check the situation there:
1- The airfield was mostly covered by 3 lines, with a large number of defensive Abatis183 rendering it unusable.
2- 1 large and 4 small aircraft were seen but suspected to be decoys.
3- Machine-gun fire was received from 2 locations, but no anti-aircraft fire. Also, the city was deserted and received no anti-aircraft fire.
3 other planes scouted within 259°~302° 650 nautical miles of Palau. As a result, they found 2 large merchant ships, 5 medium-sized merchant ships, 1 gunboat, 6 bunkers184 and 5 small ships in Cebu, and bombed the bunkers to no effect.
On the following day, the 15th, 3 flying boats carried out a Cebu attack. Most of the ships had already evacuated, so they bombed nearby fuel tanks but failed to hit them. 2 other amphibians carried out a patrol on the south-western coast of Palau.
On the 16th, 8 flying boats achieved the following results in a patrol (see illustration nº 9):
1- At 0745, reported the discovery of 3 submarines at 120° 230 nautical miles off Cape Saint Augustine, Davao Bay, and bombed and sunk them.
2- At 1030, discovered 3 submarines at 180° 200 nautical miles off the same cape.
3- At 1040, the Submarine Tender USS CANOPUS185, a merchant ship and 2 flying boats were discovered and bombed at Sorong, on the western tip of New Guinea Island, but the effect was unknown. In doing so, she was fired upon by CANOPUS and pursued by two seaplanes but sustained no damage.
183Abatis is used to prevent the advance of enemies by sticking tips of tree branches laid in rows in the soil.
184Fuel Supply Ships.
185This is a bad identification. On the 16th the Submarine Tender USS CANOPUS was at Cavite Navy Yard, near Manila and stayed over there until the 25th of December. On this day moves to Mariveles Bay.
On the following day, the 17th, 1 flying boat bombed Sorong's flying boats again, but to no effect. The other six aircraft carried out a patrol from Palau 230°~293°, 650 nautical miles, with the following results.
1- 1 flying boat spotted and attacked at Ternate, Halmahera Islands, but was not hit.
2- 1 flying boat sighted and bombed a light cruiser in Menado Bay, Celebes Islands, but to no effect.
On the same day, 2 flying boats advanced to Legazpi.
On the 18th, a search was conducted by 8 flying boats. 3 submarines were reported to have been found in the patrol area, but all were missed. As mentioned above, 25 Land Based Attack Aircraft of the KANOYA Naval Air Group Detachment advanced to Peleliu Naval Air base in the evening.
On the 19th, 7 flying boats scouted within 216°~302° 650 nautical miles of Palau, and one of them bombed a medium-sized merchant ship in Cebu but failed to hit it.

The Legaspi Detachment (35-86-115-117) (See illustration nº 10)
On the 14th of December, 9 Zero fighters and 2 land based reconnaissance planes of the TAINAN Naval Air Group advanced from Tainan to Legaspi and engaged in operations under the command of Flight Commander Kozono Yasuna (51st Class). From the 14th to the 18th, a total of 34 Zero fighters conducted patrols over Legaspi. During this period, 1 B-17 was destroyed, but 2 Zero fighters capsized on landing and 2 were damaged by US fighter gunfire. Also on 18th, 4 Zero fighters newly advanced from Tainan to Legaspi. The dispatch squadrons started with the attack on Iloilo on the 18th, and thereafter began aggressive operations against various bases in the Central and Southern Philippines.
On the 19th, 4 Zero fighters attacked Del Monte Air Base for the first time. Del Monte was located near Cagayan in northern Mindanao, and it was believed that large enemy aircraft had retreated there to avoid our air attacks on Luzon. The attackers fired on planes on the ground, setting 2 B-17s and 3 twin-engine aircraft ablaze and destroying 2 B-17s and 4 twin- engine aircraft.
On the 20th, 6 Zero fighters attacked Dansalan and Malabang bases in Mindanao and the Cebu base, setting fire to 6 small aircraft and wrecking 1, as well as setting fire to vehicles and repair shops.
On the 21st, 1 land based reconnaissance plane scouted Iloilo, Jolo, Zamboanga and Cebu, but failed to find any enemy contacts. 2 Zero fighters also scouted Daet, Paracale, Alabat and Catanauan bases in south-eastern Luzon, and Calapan base in Mindoro, but saw no aircraft, and set 5 small aircraft and many drums ablaze at Batangas Airfield. 4 Zero fighters attacked the airfield in the afternoon.
On the 22nd, the attack was again directed mainly towards Mindanao. 8 Zero fighters attacked each of the following airfields in turn, each with some success:
Del Monte: 1 B-17 and 1 twin-engine set on fire, one twin-engine, badly damaged. Cagayan: 1 B-17 and the Command Centre set on fire.
Dansalan: 1 flying boat set on fire.
Malabang: Command Centre and Warehouse set on fire. Cotabato: bunker and Command Centre under fire.
Cebu: hangar set on fire.
All aircraft were hit in this attack but returned safely to base. Separately, 1 land based reconnaissance plane scouted the above airfields, Batan186 on the northern tip of Mindanao and Tacloban on Leyte but saw no aircraft.
186I was not able to find any Batan or Patan airfield in the place where illustration nº 10 puts it on.
On the 23rd, 3 Zero fighters went to attack Ubay airfield in the eastern part of Bohol Island but saw no aircraft.
Between 19th and the 23rd of June, a total of 25 Zero fighters carried out patrols over Legazpi but did not encounter any enemy. The Lamon Bay assault force was also advancing towards Lamon Bay for an early morning landing on 24 of December. 7 Zero fighters conducted an overhead warning of the convoy on 23rd but found nothing unusual.
On the 17th, a Squadron of 2 flying boats of the TOKO Naval Air Group advanced to Legaspi and started to search the southwestern area of the Philippines. Our air force's attack had already reached Mindanao, but not the southwestern part of the Philippines, i.e., the Sulu Sea, Palawan Islands and Sulu Islands area (see attached chart 1), where the US fleet, which had yet to appear, was expected to be found. On the 19th, an amphibian scouted the Palawan and Sulu Islands, and on the 20th, 2 flying boats scouted the same areas, but no enemy contacts were found. On the 21st the flying boats attacked Cebu.
Legazpi's flying boats started to escort the Lamon Bay assault force from the 22nd, and on the 22nd 2 flying boats carried out anti-submarine alerts for the 5th Surprise Attack Force. However, on the morning of the 23rd, 1 of the aircraft attempting to leave the water to escort the force accidentally ran onto a reef and its aircraft exploded into flames, killing 5 crew members and seriously injuring 3 others. Commander Miura ordered 2 flying boats at Palau to advance to Legazpi to replenish the Squadron, and the 2 aircraft advanced by the 24th. The 2 flying boats scouted the southwestern area of Philippines Island in response to the landing at Lamon Bay on 24th but failed to find any enemy contact. TOKO Naval Air Group Legazpi Detachment completed its operations in this area on that day, and one aircraft returned to Toko for maintenance on the 25th, while the other 2 returned to Palau Naval Air Base.
2 Land Based Attack Aircraft of the 1st Naval Air Group advanced to Legazpi Air Base on the 23rd, supported the Lamon Bay landings until 25th , and returned to Tainan Naval Air Base on the 26th.

1 Operational guidance of the Philippine Seizure Force Commander
Assessment of the Situation and Operation Policy (102-103-105-108-130-135)
Looking at the course of the Philippine campaign during the first 10 days of the war, the air campaign of the air force in the initial phase of the war achieved better-than-expected results, destroying most of the US air forces in the Philippine Islands, and the assault operations on various key areas in the North Philippines and Legaspi were also successful as planned. The US defence was weaker than expected, and its skill and fighting spirit were not to be seen.
In response, our losses were as described above for the air units, while the Philippine Seizure Force lost 2 Minesweepers and suffered some naval damage as a result of the counterattack by the US air units. However, our losses were far less than we had expected before the war and did not hinder the execution of subsequent operations in any way.
Vice Admiral Takahashi, Commander of the Philippine Seizure Force, judged the situation of the US forces around the 16th of December as follows:
1 Most of the US air units deployed in the airbase groups around Manila have already been destroyed, some of them have escaped to the central and southern parts of the Philippines, and only a small number of aircraft remain in the vicinity of Manila.
2 The main force of the US Asiatic Fleet's surface forces has not appeared in our area of operations at all, and according to aeroplane reconnaissance, only a few small vessels of no more than destroyers have been seen in the Manila Bay area. The main forces of the US surface forces are thought to have retreated to the Sulu Sea area or the Dutch East Indies area, which is outside our area of operations.
3 US submarines, which were estimated to number more than 20 before the war began, appear to have been dispersed and deployed around the Philippines, but after the war began, ships were struck by torpedo only once each in the Aparri area and off Legazpi, and their operations were generally sluggish. However, it is highly probable that US submarines will recover from the confusion of the outbreak of war and promote aggressive operations in the future, requiring strict anti-submarine alerts.
Meanwhile, the situation of our forces was as follows.
1 The 11th Air Fleet continued to attack US naval and air forces in the vicinity of Manila, while some forces advanced to Legazpi and launched search and attack operations on the Central and Southern Philippines area.
As of the 15th of December, the Army's 5th Air Division's independent 76th Independent Air Reconnaissance Company, 8th Army Air Group and 14th Army Air Group were still at Taiwan Air Bases, while the 24th Army Air Group had advanced to Vigan and the 50th and 16th Army Air Groups to the Aparri area. These units of the Army 5th Air Division were assisting in land combat and also carrying out attacks on bases around Manila. Therefore, at that time, Luzon Island was almost entirely under our aircraft control, and with the success of the Legaspi Detachment, it was judged that our air superiority would soon extend to the Central and Southern Philippines.
2 Tanaka's Detachment, which landed at Aparri, and Kanno's Detachment, which landed at Vigan, after securing the occupation of the airfields with some of their troops, were preparing to advance south along the Vigan-San Fernando Rosario road under the command of Colonel Tanaka to support the landing of the main force of the 14th Army at Lingayen Bay. While Kimura's detachment, which landed at Legazpi on the 12th, after securing the airfield, began a westward advance on the 13th.
3 The Philippine Seizure Force units, with the exception of 2 Minesweepers that were sunk, were all in action as planned.
In view of the above situation, Vice Admiral Takahashi formulated the following operational policy for the next phase of the campaign:
1 The landing of the main forces of the 14th Army at Lingayen Gulf and Lamon Bay will be carried out on 22nd and 24th of December as planned.
2 As the defence of the US forces in the Central and Southern Philippines is judged to be extremely weak, the Davao offensive will be brought forward as much as possible. (Based on an agreement between Rear Admiral Tanaka, Commander of the 2nd Destroyer Squadron, and Commander Sakaguchi, it was decided to attack on 20th of December).
3 The support air force for the Lamon Bay landings was previously planned to be part of the 11th Air Fleet and the 4th Aircraft Carrier Division, but since the Aircraft Carrier RYUJO was to participate in the Davao and Jolo operations, the Seaplane Carrier MIZUHO was to be assigned to support the Lamon Bay landings.
4 Offensive minelaying on the Sulu Sea area was cancelled, and the Minelayer units were to be kept on standby in Palau to protect maritime traffic in that area.
2nd Configuration of the Philippine Seizure Force(77-102-136)
On the 17th of December, Vice Admiral Takahashi announced the 2nd Configuration of the Philippine Seizure Force to meet the next phase of the campaign. In the 2nd Configuration, the 5th Surprise Attack Force, which had been disbanded in the 1st Configuration, was reorganised. The 5th Surprise Attack Force was to be in charge of the Davao offensive, while the 5th Escort
Force was to be formed from the units of the 5th Surprise Attack Force, and the 5th Escort Force was to be engaged in the Jolo offensive.
The Philippine Seizure Force, 2nd Phase Naval Disposition was as follows (See Table 25).
Note:
The Auxiliary Seaplane Carrier SANYO MARU (36117) (12th Seaplane Tender Division) was transferred from the Malaya Seizure Force Division to the Philippine Seizure Force on 12th of December. (Southern Force telegraph cable nº 19).


Notes:
(1)16th Cruiser Division: Heavy Cruiser Ashigara (F) and Light Cruiser Kuma.
(2)From the 4th Cruiser Division.
(3)From the 12th Seaplane Tender Division.
(4)Light Cruiser Natori; 5th Destroyer Division: Destroyer HARUKAZE, HATAKAZE, ASAKAZE and MATSUKAZE; 22nd Destroyer Division: FUMIZUKI, SATSUKI, NAGATSUKI and MINAZUKI.
(5)11th Minesweeper Division: Minesweepers W-13, W-14, W-15 and W-16.
(6)30th Minesweeper Division: Minesweepers W-17 and W-18.
(7) Light Cruiser Naka; 2nd Destroyer Division: SAMIDARE, YUDACHI, HARUSAME and MURASAME; 9th Destroyer Division: ASAGUMO, MINEGUMO and NATSUGUMO.
(8)From the 9th Destroyer Division.
(9)From the 32nd Special Base Force.
(10)From the 2nd Base Force.
(11)2nd Base Force:
With the 2nd Escort Force:
21st Subchaser Division: Subchasers CH-4, CH-5, CH-6, CH-16, CH-17 and CH-18. 31st Subchaser Division: Subchasers CH-10, CH-11 and CH-12.
With the 3rd Escort Force:
21st Torpedo Boat Division: Torpedo Boats CHIDORI, MANAZURU, TOMOZURU and HATSUKARI.
2nd Gunboat Division: Gunboats MANYO MARU (44235), KAMITSU MARU (43455), TAIKO MARU (C2281) and OKUYO MARU (44396).
3rd Gunboat Division: Gunboats ASO MARU (37491), NAMPO MARU (46423) and KISO MARU (37489).
53rd Subchaser Division: Auxiliary Netlayer KOREI MARU (45717) AND AUXILIARY SUBCHASERS KYO MARU Nº 2 (45132) and KYO MARU Nº 11 (45199).
54th Subchaser Division: Auxiliary Netlayer NAGARA MARU (46820) and auxiliary subchasers SHONAN MARU Nº 1 (45072), SHONAN MARU Nº 2 (45073).
Minelayer WAKATAKA.
Auxiliary Netlayers SEIAN MARU (K703) and SUMANOURA MARU (47051). Auxiliary Minesweeper Tender IMIZU MARU (47041).
Auxiliary Transport HAKOZAKI MARU (28858).
(12)5th Cruiser Division: Heavy Cruisers MYOKO, HAGURO and NACHI.
(13) 1st Section of the 4th Aircraft Carrier Division: Aircraft Carrier RYUJO and 3rd Destroyer Division: Destroyer SHIOKAZE.
(14)11th Seaplane Tender Division: Seaplane Carrier CHITOSE and MIZUHO.
(15)From the 1st Patrol Boat Division.
(16)Light Cruiser Jintsu; 15th Destroyer Division: DESTROYERS NATSUSHIO, HAYASHIO, KUROSHIO and OYASHIO; 2nd Section of the 16th Destroyer Division: AMATSUKAZE and HATSUKAZE.
(17)1st Base Force:
21st Minesweeper Division: Minesweepers W-7, W-8, W-9, W-11 and W-12.
1st Gunboat Division: Auxiliary Gunboats BUSHO MARU (T454), KEIKO MARU (44743), KANKO MARU (44751) and Auxiliary Gunboat Netlayer MYOKEN MARU (45197).
1st Subchaser Division: Subchasers CH-1, CH-2 and CH-3. 2nd Subchaser Division: CH-13, CH-14 and CH-15.
51st Subchaser Division: Auxiliary Subchasers KYO MARU Nº 12 (47659), KYO MARU Nº 13 (47660) and Auxiliary Subchaser Netlayer TOKO MARU Nº 1 GO (44855).
52nd Subchaser Division: Auxiliary Subchasers SHONAN MARU Nº 17 (47836), TAKUNAN MARU Nº 5 (43629) and Auxiliary Subchaser Netlayer FUKUEI MARU Nº 15 (46382).
Minelayer ATAKA.
Auxiliary Minesweeper Tenders IKUSHIMA MARU (42624) and KIMISHIMA MARU (44826). Auxiliary Transports: MYOKO MARU (43740) and HAKUZAN MARU (29444).
(18)24th Destroyer Division: Destroyer KAWAKAZE, UMIKAZE, SUZUKAZE and YAMAKAZE.
(19)1st Section of the 16th Destroyer Division: Destroyers YUKIKAZE and TOKITSUKAZE.
(20)1st Section of the 17th Minelayer Division: Minelayers ITSUKUSHIMA and YAEYAMA.


2 Lingayen Gulf Landing
Plans for the Escort Forces (35-38-102-103-124-125-137) (See Appendix 2, Illustration 13)
The main force of the 14th Army, which was scheduled to land at Lingayen Gulf on 22 December in order to attack the Philippines Island, assembled at Mako, Takao and Keelung in accordance with the following embarkation divisions. (See Tables 26 and 26.1)
The total force of the above was an invasion force of about 34,200 personnel, 33 tanks, 70 to 80 artillery guns and 73 transport ships (about 400,000 tons).
The force directly escorting the convoy was an escort unit commanded by Rear Admiral Hara, Commander of the 5th Destroyer Squadron, and it was planned that the Main Body of the Southern Force187, Philippine Seizure Force Main Forces188, the Southern Force Air Force189, the Army 5th Air Division, Mako Guard Force190 and others would be assigned to provide direct and indirect support for the landing operation.
187The Main Body of the Southern Force was composed by the 2nd Section of the 3rd Battleship Division (KONGO and HARUNA), the 1st Section of the 4th Cruiser Division (ATAGO and TAKAO), 4th Destroyer Division (ARASHI, NOWAKI, HAGIKAZE and MAIKAZE), 1st Section of the 6th Destroyer Division (HIBIKI and AKATSUKI) and the 8th Destroyer Division (ASASHIO, OSHIO, MICHISHIO and ARASHIO).
188The Main Forces of the Philippine Seizure Force are composed by the Main Force Units and the Eastern Support Force ones (see Table 25).
18911th Air Fleet: 21st and 22nd Naval Air Flotillas.
190I’m assuming that the Mako Guard Force are the forces belonging to the Mako Guard District (in its majority
the 44th, 45th and 46th Minesweeper Divisions). The 2nd Convoy is departing from Mako.
The total strength of the escort force consisted of 2 Light Cruisers, 16 Destroyers, 4 Torpedo Boats, 7 Minesweepers, 9 Subchasers, 6 Auxiliary Subchasers, 2 Minelayers, 1 Minelayer Netlayer, 7 Auxiliary Gunboats and 7 Auxiliary Ships, a total of 61 ships, plus 1 Guard Force, Signal Corps and Harbour Affairs Unit each aboard the Auxiliary Ships and 10 fishing ships. As mentioned above, the escort units were divided into the 1st, 2nd and 3rd Escort Force, escorting the 1st, 2nd and 3rd Army Convoys respectively, and were scheduled to sail from Takao, Mako and Keelung, joining together in route to anchor in Lingayen Gulf at dawn on the 22nd of December.
The 14th Army judged that the main US-Philippine forces (US Divisions in the Philippines and 5 Philippine Divisions) would be concentrated in Central Luzon to oppose our landing at Lingayen Gulf as well as reinforcements from Northern Luzon. According to information obtained by Rear Admiral Hara, the land defence in the gulf area was generally weak, but there were artillery positions on the highlands of San Fernando, and it was estimated that the defence near the gulf basin was also heavily fortified. Rear Admiral Hara also judged that there was certain to be naval defence with mines and timber protection near the landing point, and that the likelihood of submarines and torpedo boats appearing was also high.
On the 30th of November, Rear Admiral Hara made an operational agreement with Lieutenant General Tsuchihashi, Commander of the 48th Division, in Tainan. The agreement concerned the procedure for anchoring the fleet. The Navy, which had judged that the sea near the landing points was heavily defended, insisted that the fleet should 1st anchor at a distance of several nautical miles from the shore and in water more than 50 metres deep, and that after the first landing force boats were launched, the fleet should approach the shore to check the defensive situation at the anchorage. The Army, on the other hand, insisted on anchoring at once and landing rapidly, even if they were prepared to suffer some damage, in order to prevent confusion. In the end, after discussions between the 2 commanders, the Army's plan was adopted.
On the 3rd of December, Rear Admiral Hara issued Escort Force Order Nº 1. The summary of the order is as follows.
1 Duties of the Escort Force
1) To escort the Main Army Convoys attacking the Philippines and land Army Units at the Lingayen Gulf before dawn on X+14 (22nd of December), and thereafter to guard the vicinity of the anchorage.
2 Actions of various Escort Forces up to the time of anchoring
1) 1st Escort Force: Assemble at Takao by around the 15th of December, sail from Takao on the 18th of December at 1800, escort the 1st Army Convoy and anchor in Lingayen Gulf in the early morning of the 22nd of December.
2) 2nd Escort Force: Assemble at Mako after the conclusion of the Northern Luzon assault operation, escort the 2nd Army Convoy, sail from Mako on the 18th of December at 1800 and continue jointly with 1st Escort Force by 0500 from Point C (310°110 nautical miles from San Fernando) on the 21st to anchor in Lingayen Gulf in the early morning of the 22nd of December.
3) 3rd Escort Force: After completing the Northern Luzon assault operation, assemble at Keelung and escort the 3rd Army Convoy to sail from Keelung at 0700 on the 17th and join 1st Escort Force by 0500 from Point C on the 21st, and thereafter continue with 1st and 2nd Escort Force to anchor in Lingayen Gulf.
3 Naval escort procedures
1) Assembly area sortie procedures
Each Escort Force, with the cooperation of the guard units in each port, conducts anti-submarine sweeps outside the port, then departs with the Army Convoy and forms an alert navigational formation outside the port.
2) Alert Navigation Formation
The basic Alert Navigation Formation of the 1st Escort Force is the 1st Alert Navigation Formation in 'Illustration nº 11', and the 2nd and 3rd
Alert Navigating Formations are determined separately. The 2nd and 3rd Escort Forces formations shall be prescribed by the respective commanders.
3) Formations after each convoy has been combined.
Each Escort Force will be separated between 5 to 7 kilometres and the order of the entire invasion force will be the 1st Convoy followed by the 2nd and 3rd Convoy191.
4 Procedures for entering and landing at the nightfall
1) Anchorage approach formation is as in Illustration nº 12.
2) The anchorage area is as in Illustration nº 13.
3) Schedule Army Convoy are as in the Table 27.
4) Units of the Lingayen 1st Landing Forces are in Table 28 5 Anchorage nightly vigilance procedures
1) The 1st Escort Force will lead the convoy to the anchorage.
2) Prior to anchoring, the 2nd Convoy will detach the required forces to the outside of the anchorage to be ready for incoming US surface vessels.
3) After the fleet has anchored, the 1st Escort Force will be on guard near the mouth of the bay between Cape San Fernando and Cape Bolinao, the 2nd Escort Force will be outside the bay, and the 3rd Escort Force will be on guard inside the bay. (See illustration nº 14)
4) 3rd Escort Force is to set up a landing site as soon as possible after anchoring, sweep the anchorage, set up defensive measures and clear the route in and out of the bay.
5) After the first successful landing, the Escort Forces are to be disbanded without warning and continue their vigilance with their own formation. The 4th Destroyer Squadron will depart after 1200 on the 23rd.
191To clarify: The Army Convoy are the IJA units. The Escort Forces are the IJN units. The 1st, 2nd and 3rd Convoy are the combined IJN and IJA forces.





Plan for the Operational Support (102-115-118-135-136-138)
After completing support for the 2nd Malaya landings, the Main Body of the Southern Force returned to Camranh Bay, Southern French Indochina on the 17th of December, and under the direct command of Vice Admiral Kondo, it was planned to sail from the bay on the 20th of December to support the Lingayen Gulf landings while operating on the western side of the Philippines.
Vice Admiral Takahashi also planned to lead the Main Body of the Philippine Seizure Force and sail from Mako on the evening of the 19th to support the operations of the Escort Forces and notified each unit of this plan on the 17th.
The direct air escort of the flotilla units was stipulated in the Philippine Air Operations Army- Navy Agreement. Based on this agreement, the Naval Air Forces made the following plans:
1 Land Based Air Force (11th Air Fleet)
1) Provide daytime direct escort to the 3rd Escort Force from the 18th to the 20th with 2 or 3 fighters from the TAINAN Naval Air Group.
2) The 1st and 2nd Escorts Forces will be directly escorted by 2 or 3 aircraft of the 3rd Naval Air Group on the 19th and 20th during the daytime.
3) The 1st Naval Air Group Land Based Attack Aircraft will conduct anti- submarine alerts for the 3rd Escort Force on 17th and the 18th, and for each escort group on the 18th and 19th.
2 Seaplane units (Auxiliary Seaplane Carriers SANYO MARU (36117) and SANUKI MARU (45864))
1) For the 1st and 2nd Convoys on the 19th with 5 to 8 aircraft from dawn to dusk.
2) 1 aircraft for the 3rd Convoy from 1400 to 1600 on the 20th.
3) Conduct anti-submarine direct escort with 6 aircraft for the entire Convoy from daybreak to sunset on the 21st.
4) Light Cruisers NATORI and NAKA will place their seaplanes under the command of the Commander of the Auxiliary Seaplane Carrier SANYO MARU (36117) and take part in the above operations.
5) For the above operations, the seaplane forces will establish a seaplane base at Vigan for a period of seven days from the 20th.
According to the agreement, the Imperial Japanese Army Air Force was planned to be in charge of air alerts within 200 kilometres from the harbour192 and during the anchoring.
192The harbours are the departing ones in Taiwan (Mako, Takao and Keelung).
Advance and join of the Convoys (103-115-121-125) (See Appendix 2)
On the 15th, Vice Admiral Takahashi changed the route of the 1st and 2nd convoys from westward to eastbound, and the route of the 3rd convoy from eastbound to westbound in Taiwan. Originally, in selecting the route, it was planned to be as far away from the shore of Taiwan and the Philippines as possible in order to avoid search and attacks by US aircraft on our convoy. However, when he judged that the probability of a counterattack by US aircraft had decreased, he shortened the route to give the fleet more time to manoeuvre.
Due to the change of route, the 3rd Convoy postponed its sailing time to the 17th, 0900. Earlier, 4 of the 3rd Army Convoy's Auxiliary Transports were also changed to sail from Mako and had completed their round trip to Mako by this time.
On the 17th, 0900, the 3rd Escort Force sailed from Keelung escorting 17 transports of the 3rd Army Convoy. After the sortie, the 3rd Convoy proceeded southwest across the Taiwan Strait and reached about 60 nautical miles northwest of Mako on the evening of the 18th. The 1st Naval Air Group escorted the 3rd Convoy with 7 Land Based Attack Aircraft on the 17th and 4 Land Based Attack Aircraft on the 18th, and the TAINAN Naval Air Group also escorted the 3rd Convoy with 15 Zero fighters and 5 land based reconnaissance bombers on the 18th, but no irregularities were detected.
The 2nd Escort Force, escorting 28 ships of the 2nd Army Convoy and 4 ships193 of the 3rd Army Convoy, a total of 32 ships, sailed from Mako at noon on the 18th. On that day, the sea was stormy with a north-easterly wind of 17 knots blowing in the direction of Mako. Aircraft from the MAKO Naval Air Group194 and Mako Guard District units co-operated with the sortie of the convoy and conducted anti-submarine warnings outside the harbour.
Meanwhile, in Takao, a total of 12 seaplanes from Auxiliary Seaplane Carrier SANUKI MARU (45864) and 2 from Auxiliary Seaplane Carrier SANYO MARU (36117) conducted anti- submarine sweeps within 60 nautical miles of Takao Harbour on the 16th. In the evening of the same day, Auxiliary Seaplane Carrier SANYO MARU (36117) arrived at Takao from the Malaya Sector. On the 17th, the seaplane squadron conducted anti-submarine direct escort of the Auxiliary Aircraft Transport KEIYO MARU (44001) from Takao to Mako, so anti-submarine sweeps outside Takao Harbour were not carried out. On the 18th, a total of 20 seaplanes conducted anti-submarine patrols outside the harbour.
The 1st Escort Force, escorting the 1st Army Convoy of 24 Auxiliary Transports, sailed from Takao at 1400 on the 18th and kept closed vigilance at a course of 255°. At 1700, the Destroyer NAGATSUKI found a periscope at 255° 21 nautical miles from the Takao lighthouse and carried out a depth charge attack, with unknown results195. The NAGATSUKI and Minesweeper W-17 remained on scene until 2400 and continued to suppress the submarine. At 2030, the 2nd Escort Force clearly intercepted the submarine's communication (frequency 2,544 KC) and strengthened anti-submarine alerts, but no submarines attacked.
As night fell, the weather worsened, with a north-easterly wind of over 15 knots blowing at sea, with high waves and occasional squalls. It was also a dark night with a New Moon, making it difficult for the fleet units to navigate. On the 19th of December, 0300, the 1st and 2nd convoys mutually sighted each other in narrow visibility, and at 0530 the 2nd Convoy entered the rear of the 1st Convoy. This joint action was two days earlier than planned. At this time, the 3rd Convoy was also moving southward about 70 nautical miles to the north. The 1st and 2nd convoys changed course to 180° at 0620 on the 19th. The weather was still bad and a north- easterly monsoon was blowing across the Taiwan Strait. 1 Land Based Attack Aircraft of the 1st Naval Air Group, 8 Zero fighters and 4 land based reconnaissance aircraft of the TAINAN Naval Air Group and 24 seaplanes from each ship196 set out to directly guard the convoy, but half of the TAINAN Naval Air Group aircraft and 8 seaplanes failed to spot the convoy.
In the evening, the ship's position was confirmed by celestial observation and the course was 40 nautical miles ahead of the planned. At 1800, Rear Admiral Hara decided to change the course to 225° and adopt a diversion route in order to adjust the time of anchoring. The Naval Convoys were not spotted by the US air force until the evening of the same day and they also seemed to have escaped being pursued by submarines the previous day. However, the Hydrographic Department reported that a typhoon of 740 mm (985 millibars) was about 400 nautical miles southwest of the fleet, moving northwest at a speed of 30 km/h, increasing concerns of stormy weather.
On the 20th, the weather did not subside. The TAINAN Naval Air Group's 3 Zero fighters and 1 land-based reconnaissance aircraft departed to escort the convoy but returned after failing to find it. Other direct escort aircraft did not depart due to poor weather conditions. The seaplane squadron's anti-submarine direct escort was carried out only by the 3 seater reconnaissance seaplanes197. Early that morning, the 3rd Convoy came within sight of the 2nd Convoy, approaching from the rear. At 1500, the leading 1st Convoy changed course to 130° and turned towards Lingayen Gulf.
At 0700 on the 21st, the 3rd Convoy pursued the 2nd Convoy and entered its wake. The convoy force of more than 130 escort vessels and transports, which had completed the joint effort, continued on a single course towards Lingayen Gulf.
193After looking for all the TROMS of the Auxiliary Transports of the 3rd Army Convoy, I could not identify the identity of these 4 Auxiliary Transports.
194The MAKO Naval Air Group had a Naval Squadron of 4 Navy Type 94/96 Carrier Bomber (D1A1) (allied code name Susie).
195These could be the attack on the USS STURGEON. According with the Naval History and Heritage Command “the submarine found a convoy of five merchantmen accompanied by a cruiser and several destroyers on the 18th. As she came to periscope depth within attack range of the cruiser, she was sighted by one of the escorts approximately 250 yards away. She started going deep but had only reached a depth of 65 feet when the first depth charge exploded, breaking numerous light bulbs but causing no serious damage. STURGEON began silent running and evaded the escorts.“
196These are the seaplanes from the Seaplane Carriers SANUKI MARU (45864) and SANYO MARU (36117), the Heavy Cruisers ASHIGARA and MAYA and the Light Cruisers NATORI, NAKA and KUMA.
197These were the Navy Type 0 Reconnaissance Seaplane (Aichi E13A1) (allied code name Jake).
Anchoring and landing (103-118-121-125-135) (See Appendix II, Illustration 13)
The typhoon, which had been a cause for concern, moved and was about 300 nautical miles north-west of the Convoys on the morning of the 21st of December. The wind changed to a southerly direction and the wind speed was about 8 knots and by the afternoon it had subsided to 6 knots and the waves had calmed down.
Earlier, seaplane base personnel left Takao on board 5 fishing boats on the 17th and 18th to establish a seaplane base at Vigan. The fishing boats crossed the Luzon Strait through rough weather and arrived at Vigan on or after the 19th of December. However, the high waves on the Vigan coast made it difficult for seaplanes to take off and land on the water, so a suitable site was found at the mouth of the Abra River and a seaplane base was set up on the 20th. The reconnaissance seaplanes of ASHIGARA, MAYA, KUMA, NAKA and NATORI had been operating based on the TOKO Naval Air Group under the command of the Captain the SANYO MARU (36117) since the 19th, and when Vigan Seaplane Base was established, the aircraft of the NATORI and NAKA were to move into Vigan Seaplane Base together with SANYO MARU (36117) and Auxiliary Seaplane Carrier SANUKI MARU (45864) Squadrons. The Commander of Vigan Seaplane Base was Lieutenant Commander Asano Takeshi (56th Class), the Auxiliary Seaplane Carrier SANYO MARU (36117) Flight Commander.
6 Zero observer aircraft from Auxiliary Seaplane Carrier SANUKI MARU (45864) departed from Toko Port in the afternoon of the 21st, 4 of them escorted the convoy and 1 scouted Lingayen Gulf and reported that all aircraft had advanced to Vigan and found no underwater obstructions in Lingayen Gulf. The Auxiliary Seaplane Carrier SANYO MARU (36117) Type Zero reconnaissance seaplane also scouted Lingayen Gulf on the same day and reported: 'The beach where we will land is low and suitable for landing, and there are no enemy ships in Lingayen Gulf'. On the afternoon of the 21st, 6 other Type Zero observation planes and 1 Type Zero seaplane reconnaissance plane from the Auxiliary Seaplane Carrier SANYO MARU (36117) escorted the convoy and then proceeded to the Vigan seaplane base, while the Type 94 reconnaissance planes from the Light Cruisers NATORI and NAKA also proceeded to Vigan. Thus, 16 seaplanes were at Vigan seaplane base by the evening of the 21st.
In addition, the 24th Army Air Group of the 50th Army Air Group of the 5th Air Division at Vigan Air Base were on alert for the convoy all day with a total of 44 aircraft.
In the afternoon of the 21st, the sky had cleared but there was a mist on the sea. The fleet should have already reached a distance of about 50 nautical miles, but no land shadow of the Philippines could be seen. At 1430, the fleet turned 90° to confirm its position. At 1530, Rear Admiral Hara ordered the Destroyer HATAKAZE to move forward and send a landing party to occupy the San Fernando Lighthouse and turn on the white light at the time of the arrival of the 1st Convoy. The Army Auxiliary Transport RAKUYO MARU (996) also separated from the convoy to unload the Vigan airbase equipment and arrived at Vigan in the evening. At sunset (1841), the invasion Convoy changed course to 150° and observed a fire on the shore at about 1950. This was confirmed to be a fuel oil tank in San Fernando. At 2210, Rear Admiral Hara ordered the Convoys to prepare the Formation to enter the anchorage, and at about 2300, a
Harbour Approach formation was formed and the minesweepers began sweeping the front passage.
The 2nd Signal Corps aboard Auxiliary Transport KUMAGAWA MARU (38753) picked up a call from a US submarine. At 2240, the commander of the 3rd Escort Force issued an alert to all units, saying: 'According to intelligence reports from the 2nd Signal Corps, there are two enemy submarines in the vicinity of the western end of Lingayen Bay.
On the 22nd, the 1st and 2nd Army Convoys anchored at 0110 and 0140, respectively, and the 3rd Army Convoy anchored at 0430, a little later. As it was a dark night with a New Moon and it was difficult to check the ship's position, the anchoring position of the convoy was slightly to the south.
The aftermath of several days of stormy weather left a swell at sea and there were rocky waves on the shore, making it difficult for boats to operate. However, the right wing landed on the coast west of Agou at 0517, and the left wing near the mouth of the Aringai River at 0530. There was a little counterattack by the US and Philippine forces, and all landings were successful. Rear Admiral Hara reported as follows:
Successful landing of the landing force at 0545 Lingayen
With the anchoring of the Army Auxiliary Transports, the various Escort Forces were deployed to their designated anchorage guard posts, while the 3rd Escort Force began sweeping the bay and installing defensive facilities (bay mines, submarine nets, 16 air defence batteries and 1 underwater listening device) from around dawn, completing their work in the evening.
Enemy counterattack and antisubmarine action (103-118-125-134) (see illustration nº 14)
On the 22nd of December.
At 0315, the Destroyer ASAKAZE spotted a surfaced submarine at 340°, 15 nautical miles from the San Fernando Lighthouse. The submarine rapidly submerged and Destroyer ASAKAZE carried out a depth charge attack and continued to suppress the submarine further.
Around 0645, 2 light bombers attacked the anchorage but caused no damage.
At 0700, Destroyer NAGATSUKI, on patrol near the bottom of the bay, was bombarded from land.
Also at 0715, 2 fighters attacked and opened fire at low altitude, inflicting the following losses: Destroyer NAGATSUKI: 1 killed, 5 wounded.
Minesweeper W-17: 3 wounded.
At 0755, the Auxiliary Gunboat KAMITSU MARU (43455) of the 2nd Gunboat Division was attacked with 5 torpedoes from a submarine near the mouth of the bay. The torpedoes passed near the stern and did not hit. However, at 0910, the Army Auxiliary Transport HAYO MARU (124) of the 3rd Army Convoy was also hit by torpedoes and sank after being hit by a single torpedo. Nearby naval vessels made efforts to search for this submarine but were unable to detect it198.
Rear Admiral Hara decided to thoroughly sweep the bay for the submarines that had entered the bay, and at 1015 ordered the destroyers of the 2nd Escort Force on patrol outside the bay to concentrate in the bay and ordered the minesweepers and subchasers of the 3rd Escort Force to conduct anti-submarine sweeps on the west side of the 3rd Army Convoy. Rear Admiral Nishimura, commander of the 2nd Escort Force, dispatched 5 destroyers of the 9th Destroyer Division (Destroyers ASAGUMO, NATSUGUMO and MINEGUMO) and of the 2nd Destroyer Division (Destroyers HARUSAME and YUDACHI) to conduct anti-submarine sweeps in the bay.
At 1600, the 3rd Escort Force finished a brief sweep of the bay and setting up defensive installations. Destroyer NAGATSUKI left the anchorage at 1910 for Mako after recovering the casualties from the Minesweeper W-17.
A total of 8 Type Zero aircraft from Auxiliary Seaplane Carrier SANYO MARU (36117) and Auxiliary Seaplane Carrier SANUKI MARU (45864) conducted anti-submarine surveillance in Lingayen Gulf from 0800 to 1600 but failed to detect any submarines. In addition, the 50th and 24th Army Air Groups conducted all-day patrols over the anchorage with a total of 71 fighter planes.
The land operations went smoothly and the units occupied the following locations: Around 1400: San Fernando, Kamishima Detachment (in liaison with Tanaka Detachment)
1700: Bauang Military Reserve Corps 1840: Nagilian, left flank Detachment
1900: Damortis Left flank troops and part of right flank 1930: Rosario, main part of the right wing
At sea, however, submarine sightings continued to be detected.
At 1945, MURASAME detected a surfaced submarine off the south coast of San Fernando at a distance of 4,500 meters and fired at her, but the effect was unknown.
At 2050, Minelayer / Netlayer WAKATAKA detected a submarine at 190°, 4,000 meters from the San Fernando lighthouse and fired at her, but the effect was unknown.
On the 23rd of December.
0700, 4 heavy bombers attacked and bombed the area, but caused no damage. On that day, a total of 65 Army fighter planes conducted a vigil over the night anchorage. During the vigil by friendly aircraft, the area was not attacked at all, and it was judged that the US air force would attack early in the morning when our direct escort aircraft were not present. Submarine detection still continued as follows.
At 0805, the Auxiliary Gunboat KISO MARU (37489) of the 2nd Base Force was struck by a torpedo199 at 280°15 nautical miles from the San Fernando Lighthouse, but no damage was done.
At 1432, Light Cruiser NAKA and Destroyers MURASAME and SAMIDARE detected and attacked a submarine around 20 nautical miles outside the bay, but the effect was unknown.
At 1500, the Destroyer SATSUKI detected a periscope at 322°19 nautical miles from Bolinao200Lighthouse and in cooperation with the Destroyer MINAZUKI, attacked with 14 depth charges. The report said the Destroyer SATSUKI was certain to have sunk a submarine as a large quantity of oil floated in the vicinity201. She also received one torpedo but was not hit.
198According with the Auxiliary Transport HAYO MARU (124) TROM at combinedfleet.com, the attacker was theUSS S-38 (Lieutenant Commander Wreford G. Chapple).
199I was not able to find the responsible for this attack. According with U-boat.net, the USS STINGRAY due to material deficiencies in the submarine, was unable to attack; the USS S-38 during the 23rd is by the Hundred Islands on the other side of the Gulf. The USS SEAL also is nearby but not inside the Lingayen Gulf.
200On the original the name is “Lilipayan” but I was not able to find this lighthouse and according with the
Illustration nº 14 the Lilipayan stands in the place of the Bolinao Lighthouse.
201I could not find any report of any allied submarine to be sunk by this attack.
The 4th Destroyer Squadron was scheduled to withdraw from the area at 1200 on the same day, but Rear Admiral Hara had earlier postponed its withdrawal in view of the appearance of the submarine. Despite frantic anti-submarine searches by all units, no conclusive proof of the submarine's sinking could be obtained. However, the 4th Destroyer Squadron could not postpone its withdrawal any longer due to preparations for the next operation, so Rear Admiral Hara sent the squadron to Mako at 1700.
The seaplane force at Abra River seaplane base conducted anti-submarine alerts in the Lingayen Gulf with a total of 12 seaplanes but failed to detect any submarines. 1 aircraft capsized during landing on the water and was destroyed.
At 2130, Rear Admiral Hara received an important telegram about 1 US cruiser, 2 destroyers and 2 submarines that had left the North Channel of Manila Bay on this (23rd) day at 0900. This information was reported by an Army reconnaissance aircraft. The distance from the mouth of Manila Bay to the fleet's anchorage was 180 nautical miles. Therefore, if the US fleet intended to counterattack the flotilla, it was expected to attack that night. On the day of the attack, sunset was at 1833, with a New Moon, setting at 2242. Rear Admiral Hara immediately ordered the 5th Destroyer Squadron to assemble and headed out of the bay to search for the US fleet. The 5th Destroyer Squadron scouted southwards from the west entrance of Lingayen Gulf but reversed course as no enemy information was obtained.
Meanwhile, Vice Admiral Takahashi, at 2240, also ordered the 4th Destroyer Squadron to turn around after receiving the above information. However, the 4th Destroyer Squadron did not receive this telegram until 1130 on the following day, the 24th. The squadron immediately reversed, but on the order of Vice Admiral Takahashi, the squadron reversed again at 1200 and headed for Mako.
On the 24th of December, the 2nd Base Force was to continue to conduct the defence of Lingayen Gulf. The 4th Destroyer Squadron had already withdrawn from the area, and the 5th Destroyer Squadron had been ordered by the 3rd Fleet's classified cable nº 524 on the 18th to return to Mako on the 26th to escort the 2nd Malayan Convoy. For this purpose, the 5th Destroyer Squadron was required to leave the area on the 24th. Concerned that there would be no destroyers after 25th of December, Rear Admiral Hirose, Commander of the 2nd Base Force, submitted the following statement to the Chief of Staff of the Philippine Seizure Force at 0510 on the 24th of November:
The area is more unsuitable for landing equipment than expected, and it will take a considerable length of time.
The 2nd Convoy may be postponed for approximately one week.
This 2nd Convoy was to escort 14 Auxiliary Transports carrying the main elements of the 65th Brigade to the Lingayen Gulf, scheduled to depart from Takao on 29th of December. This escort was originally planned to be carried out by the 5th Destroyer Squadron, but as the squadron had been given the new task of escorting the 2nd Malayan Convoy by the Southern Force Commander, Vice Admiral Takahashi had given the task of escorting the 2nd Convoy to the 2nd Base Force, based on the 21st Torpedo Boat Division, on the 18th of December.
Rear Admiral Hara, who agreed with the opinion expressed above, ordered the 22nd Destroyer Division (lacking Destroyers NAGATSUKI and MINAZUKI) and the 5th Destroyer Division to remain behind for 2 more days to carry out anti-submarine sweeps and return to Mako on the 28th, and himself left Lingayen Gulf at 1800 on 24 December leading with Light Cruiser NATORI and the Destroyer MINAZUKI in the rear. Rear Admiral Hara's action was based on Rear Admiral Kondo's telegram of the 23rd of December, which had confirmed that the 2nd Malayan landing force would depart Mako on the 31st of December, and that the flagship needed to be in port at Mako on the 26th of December because of the operational agreement with the Army, but that the various preparations could be made before the flotilla sailed if each of the destroyers returned to Mako on the 28th of December.
In the morning of the 24th of December, the sweeping of St Thomas Bay was completed and the transports were successively anchored in the bay to hasten the landing.
The seaplane units at the Abra River seaplane base provided anti-submarine warnings and some land-based cooperation with a total of 16 aircraft. The seaplanes of the Light Cruisers NATORI and NAKA were recovered by the Light Cruisers prior to the departure of the 2 ships.
On the 24th, detection of submarine sightings continued as follows.
At 1240, Auxiliary Seaplane Carrier SANYO MARU (36117) observation seaplanes detected and attacked a submarine in proximity to a transport ship. The bomb landed 10 metres to the
right of the submarine and the submarine was observed to be sinking at a large angle and its propulsors spinning out. Observation aircraft guided nearby minesweepers to co-operate in the search but were unable to detect the submarine thereafter.
At 1330, the 11th and 30th minesweepers, in cooperation with the Auxiliary Seaplane Carrier SANUKI MARU (45864) seaplane, attacked a submarine (location unknown) in the bay, reporting 'great effect'.
At 1810, the Auxiliary Gunboat KISO MARU (37489) discovered and attacked a submarine in the bay (position unknown).
Subsequent Operations (69-102-103-108-125-135)
After Rear Admiral Hara left Lingayen Gulf on the 24th of December, 1800, the local command was taken over by Rear Admiral Hirose. The remaining units continued their anti-submarine sweeps on the 25th with the following results.
At 0110, Destroyer ASAKAZE discovered a submarine diving at 280°, 23 nautical miles from the San Fernando Lighthouse and attacked it with 10 depth charges. The ship observed a large amount of oil in the vicinity after sunrise and reported that she was "certain to be sunk".202
At 0450, Destroyer SATSUKI discovered a surfaced submarine at 267°, 28 nautical miles from the San Fernando Lighthouse and pursued it, but the submarine was completely sunk at a distance of 400 metres. Destroyer SATSUKI attacked the submarine with 3 depth charges and found a large quantity of oil in the vicinity, reporting that the submarine was certain to be sunk. She disposed of all her depth charges and was replenished by the second base group203.
The seaplane unit at Vigan Seaplane Base withdrew from the base that day and returned to Toko Seaplane Base204. Base personnel and base property were transported to Takao by the Auxiliary Netlayer SUMANOURA MARU (47051) of 2nd Base Force. The 2nd Gunboat Division also placed 240 mines, southwest of Santo Thomas Bay, on the same day.
On 26th, 0735, Destroyer ASAKAZE sighted a submarine at 283°, 19 nautical miles from the San Fernando Lighthouse and attacked it with 9 Depth Charges. Recognising a large quantity of oil, she reported that she was "certain to sink"205.
202This might be the attack on the Submarine USS S-38 (not sunk).
203This might also be related with the attack on the Submarine USS S-38 (not sunk).
204At Mako.
205I could not find any information of a submarine sunk at this location at this time.
On the 26th, the 2nd Gunboat Division left the area escorting 11 transports that had finished unloading, while the 6 remaining destroyers of the 5th Destroyer Squadron, at 1630, also headed for Mako. Other transports also left Lingayen Gulf after the 27thas follows after completing their unloading.
On the 27th, 17 Auxiliary Transports (escorted by the Minelayer / Netlayer WAKATAKA and the Auxiliary Netlayer SEIAN MARU (K703)).
On the 30th, 20 Auxiliary Transports (escorted by 53rd Subchaser Division)
On the 31st, 10 Auxiliary Transports (escorted by the 31st and 54th Subchaser Divisions)
With the above, the Lingayen Gulf landings were generally completed. However, 2 accidents subsequently occurred in the same area.
At 0615 on the 31st of December, the flagship of the 2nd Base Force, the Destroyer YAMAGUMO, in a mistaken movement, came in contact with a friendly mine about 8 nautical miles southwest of the San Fernando Lighthouse and flooded her machinery room. She was towed by the Auxiliary Gunboat NAMPO MARU (46423) of the 3rd Gunboat Division and anchored in Santo Thomas Bay. Upon receiving this news, Vice Admiral Takahashi dispatched the Auxiliary Repair Ship YAMABIKO MARU (43733) (attached to the 3rd Fleet) with the 4th Destroyer Squadron's Destroyer MURASAME as escort to the rescue.
Also on the 1st of January 1942, the Army Auxiliary Transport TEIUN MARU (733), carrying air base equipment, attempted to enter Santo Thomas anchorage from Batan Island, but without heeding the route signal of the Auxiliary Gunboat KISO MARU (37489), entered a minefield. Auxiliary Gunboat KISO MARU (37489) tried to stop her, but was unable to do so and at 0815, the Auxiliary Transport TEIUN MARU (733) was sunk by a naval mine.
Southern Force and Philippine Seizure Force Support (83-77-112-305206)
Vice Admiral Kondo led the Main Body of the Southern Force (missing the Battleship KONGO and the Destroyer MAIKAZE) to sail out of Camranh Bay on the 20th, at 1530, to support the Lingayen landings. On the day of the landings, the 22nd, the Main Body of the Southern Force operated 200 nautical miles west of the Gulf in preparation for a counterattack by the US fleet. At 1030 on the same day, Vice Admiral Kondo detached the Battleship HARUNA, the 1st Section of the 6th Destroyer Division (Destroyers HIBIKI and AKATSUKI) and the 8th Destroyer Division (missing the Destroyer MICHISHIO) and directed them towards Mako. The rest of the Southern Force units were assigned to support in the same area until 2100 on the 22nd, after which they left the area and returned to Camranh Bay at 1030 on the 24th. On the 23rd, Vice Admiral Kondo formed an Eastern Support Group207 with Battleship HARUNA, the 1st Section of the 6th Destroyer Division and the 8th Destroyer Division and ordered them to support the Philippine and Dutch East Indies Operations. For the time being, however, the 8th Destroyer Division was incorporated into the Malaya Seizure Force to engage in escort operations. Heavy Cruiser MAYA, which had been incorporated into the Philippine Seizure Force, was also incorporated into the Eastern Support Group on 25th.
On the day of the landings, Vice Admiral Takahashi led the Main Body of the Philippine Seizure Force (Heavy Cruisers ASHIGARA and MAYA and Light Cruiser KUMA) to support the landing operations, operating about 200 nautical miles northwest of Lingayen Gulf. Upon receiving the news of the successful landing, the Main Body of the Philippine Seizure Force immediately departed and arrived at Mako on the 23rd. This action by the Philippine Seizure Force Main Body was based on the judgment that, in light of the experience of the previous assaults, and under the circumstances at the time when the likelihood of a US fleet counterattack was low, it was more advantageous to provide general operational guidance at a base where radio communications could be conducted freely than to remain at sea, where radio communications had to be sealed off. (38)
Escorting the 2nd Landing Force (81-103-108)
The 14 transports208 embarked by the 65th Brigade and the 14th Armoured Corps were initially planned to sail from Takao on the 29th of December, escorted by the 5th Destroyer Squadron. However, as mentioned above, as the 5th Destroyer Squadron was to be diverted to operations in the Malayan area and Vice Admiral Takahashi gave that task to the 2nd Base Force, which was based on the 21st Torpedo Boat Division, on the 18th of December.
Vice Admiral Kondo also gave this escort mission to the 2nd Section of the 6th Destroyer Division (Destroyers INAZUMA and IKAZUCHI). Prior to the outbreak of war, this Section had been dispatched to the 2nd China Fleet to join the forces engaged in the Hong Kong campaign, but after the fall of Hong Kong, it rejoined the Southern Force on the 26th of December. The escort force therefore consisted of the 4 Torpedo Boats (HATSUKARI, TOMOZURU, MANAZURU and CHIDORI) commanded by Commander Kiichiro Wakita of the 21st Torpedo Boat Division and the 2 destroyers mentioned above.
Earlier, Rear Admiral Hirose had submitted a request for a one-week postponement of the operation. However, Rear Admiral Takahashi did not accept this request. The convoy sailed from Takao on the 30th, 1 day later than planned. On the 31st, 1800, the Torpedo Boat CHIDORI headed for Vigan escorting the Auxiliary Hospital Ship KAZUURA MARU (898) to unload at Vigan, while the 2nd Section of the 6th Destroyer Division also stopped escorting the convoy at 1900 and turned around for Takao for the next phase of the operation. The main fleet entered Santo Thomas Bay on the 1st of January, and the operation was completed without any enemy contact.
206I have left just like it is on the Original but there is no Note 305 as well as there is no Note 112.
207Not to be confused with the Eastern Support Force of the Philippine Support Force.
208I was not able to identify all the transports but according with the TROMS at tokusetsukansen.jpn.org, the Army Auxiliary Transports HAWAII MARU (832), OIGAWA MARU (480), BRISBANE MARU (702), YASUKAWA MARU (870), KAZUURA MARU (898) and the SHINANOGAWA MARU (920) are part of this convoy. The SHUNKO MARU (532) might also had been part of this convoy, at least at the departure at Takao.
End of Operation and Lessons Learned (62-69-102-103-124-139-140)
After confirming the arrival of the 2nd Army Convoy with the 2nd Landing Force, Rear Admiral Hirose transferred his Flag from the damaged Destroyer YAMAGUMO to the Torpedo Boat MANAZURU on the 1st of January and left Lingayen Gulf for Davao via Camiguin Island on the same day. The following units remained in Lingayen Gulf after that date: Destroyer YAMAGUMO, 3rd Gunboat Division (3 Auxiliary Gunboats), 53rd Subchaser Division (3 Auxiliary Subchasers), Auxiliary Survey Ship KYODO MARU nº 36 (35328) (with the 2nd Survey Group), part of 2nd Naval Defence Force, part of 2nd Navy Communications Force.
On the 3rd of January, the 3rd Southern Expeditionary Fleet was newly formed, and the units above, with the exception of the Destroyer YAMAGUMO and the Auxiliary Survey Ship KYODO MARU nº 36 (35328), were incorporated into the newly formed 31st Special Base Force of the 3rd Southern Expeditionary Fleet. The 14th Army raided the capital, Manila, as early as the 2nd of January, while the main US-Philippine forces retreated to the Bataan Peninsula and the Fort at Corregidor Island. Thereafter, a fierce battle developed between the 14th Army and the US and Philippine forces over the defence of the area, and in the end, Lieutenant General Wainwright signed the Instrument of Surrender on the 7th of May 1942, only after which Manila Harbour could be used. Thus, Santo Thomas Bay, together with Subic Bay, which was opened in late January, served as an important port during this period.
The Lingayen landings were a major operation in which some 90 transports were escorted ashore in the 1st and 2nd Landing Forces. During this period, only a total of 8 US aircraft attacked us on 3 occasions, and our losses were minor. This was because, at the time, the US air force had suffered a devastating blow and had few aircraft remaining, and the fleet units were under direct anti-aircraft defense by Army and Navy air forces from the start to the finish of the operation.
The problem lay with the anti-submarine action. A number of Auxiliary Transports succeeded in landing without any submarine attack while at sea. However, after the convoys were anchored, they were plagued by submarines from start to finish, and the escort units were forced to sweep them up day and night. During this period, there were 14 reports of submarines being sighted or detected, of which 5 times the submarines were hit by fire from naval guns and depth charges and 4 times the attack was reported to be certain to sink the submarines. The sinking reports were mainly made in recognition of the large amount of oil floating on the surface of the sea. However, even after the reports of sinking, submarines still appeared.
Earlier, the Chief of Staff of the Combined Fleet had given the following warning on 20 December:
1 When an enemy submarine is attacked, it may intentionally release oil or air bubbles and attempt to escape, so be careful when attacking.
2 The use of sandbags to protect mines and other explosive devices against the strafing of enemy aircraft is an advantageous idea.
As discussed below, there were 5 US submarines operating near Lingayen Gulf at the time, and 1, Submarine USS S-38, successfully entered the bay. Although the 5 US submarines were frequently attacked by our vessels and aircraft, none of them sank.
Reference.
At the time, it was generally difficult to confirm the sinking of a submarine, but it was customary to report the sinking of a submarine if a large quantity of oil was found to have gushed out.
3 Landing at Lamon Bay
Operational Readiness (102-115-133)
In order to protect the main force of the Army 16th Division landing at Lamon Bay on the 24th of December, the Philippine Seizure Force assigned to escort the 4th Escort Force, commanded by Rear Admiral Kyuji Kubo, Commander of the 1st Base Force, and its strength was as follows:
Flagship: Light Cruiser NAGARA.
24th Destroyer Division (Destroyers YAMAKAZE, KAWAKAZE, UMIKAZE and SUZUKAZE). 1st Section of the 16th Destroyer Division (Destroyers YUKIKAZE and TOKITSUKAZE).
1st Section of the 1st Patrol Boat Division (Patrol Boats PB-1 and PB-2). Main Force of the 1st Base Force:
Minelayer / Netlayer AOTAKA.
21st Minesweeper Division (Minesweepers W-7, W-8, W-9, W-11 and W-12). 1st Subchaser Division (Subchasers CH-1, CH-2 and CH-3).
2nd Subchaser Division (Subchasers CH-13, CH-14 and CH-15).
51st Subchaser Division (Auxiliary Subchasers KYO MARU nº 12 (47659) and KYO MARU nº 13 (47660) and Auxiliary Netlayer TOKO MARU nº 1 GO (44855)).
52nd Subchaser Division (Auxiliary Subchasers SHONAN MARU nº 17 (47836) and TAKUNAN MARU nº 5 (43629) and Auxiliary Netlayer FUKUEY MARU nº 15 (46382)).
1st Gunboat Division (Auxiliary Gunboats KEIKO MARU (44743), MYOKEN MARU (45197), KANKO MARU (44751) and BUSHO MARU (T454)).
Auxiliary Transport HAKUSAN MARU (29444) (1st Navy Communication Unit and 1st Navy Harbour Master's Office aboard).
Auxiliary Transports MYOKO MARU (43740) and KIMISHIMA MARU (44826) (With the 1st Navy Defense Unit aboard).
Auxiliary Minesweeper Tender IKUSHIMA MARU (42624). Naval Fleet Oiler HAYATOMO.
1st and 2nd Sasebo Combined SNLF (aboard SENKO MARU (40758)).
As shown above, the escort force of the 4th Army Convoy consisted of 1 Light Cruiser, 6 Destroyers, 6 Minesweepers, 6 Subchasers, 4 Auxiliary, 1 Minelayer / Netlayer and others. Most of these vessels took part in the Legazpi assault, some in the Camiguin Island Assault and some others had been waiting to advance at Amami Oshima since around the beginning of the war, and on 15 December their units were scattered in various locations as follows:
Legaspi:
1st Section of the 16th Destroyer Division. 1st Section of the 1st Patrol Boat Division. Minelayer / Netlayer AOTAKA.
21st Minesweeper Division.
Auxiliary Minesweeper Tender IKUSHIMA MARU (42624). Naval Fleet Oiler HAYATOMO.
Takao:
1st Subchaser Division.
2nd Subchaser Division.
Palau:
Auxiliary Gunboat MYOKEN MARU (45197).
Amami Oshima (Koniya Bay):
Forces other than those above.
The Army forces landing at Lamon Bay were the main force of the 16th Division, commanded by Division Commander Lieutenant General Satsuki Morioka, whose strength was as follows:
16th Division Headquarters. 20th Infantry Regiment.
Main force of the 22nd Regiment of Field Artillery. 16th Regiment of Recon Engineers.
Main force of the 16th Regiment of Engineers. 16th Regiment of Transportation Corps.
Units under the direct control of the division.
24 Auxiliary Transports (see Table 29).

Transports embarked by the landing force had advanced to Koniya Bay on Amami Oshima by the 23rd of December.
In the Army-Navy agreement, for the air support for the Lamon Bay assault, it was stipulated that support for combat during the voyage and while at the anchorage, landing and combat immediately after the landing would be provided by Naval Attack Aircraft and Fighter Squadrons of the Aircraft Carrier RYUJO’s Naval Air Group of the 4th Aircraft Carrier Division, while the 8th and 14th Army Air Groups would support the post-landing combat. However, as noted above, the 4th Aircraft Carrier Division was replaced by the Seaplane Carrier MIZUHO, and 2 new flying boats of the TOKO Naval Air Group were designated to advance to Legazpi.
The status of the various Air Groups supporting this operation was as follows: Seaplane Carrier MIZUHO:
On the 17th of December, departs out of Catanduanes Island Seaplane Base, ceased operations in the Legazpi area on the same day, and thereafter
operated at sea, north-east area of the Philippines to rendezvous with the Escort Forces and the 4th Army Convoy.
TAINAN Naval Air Group:
On the 18th of December, 9 fighters and 2 land based reconnaissance aircraft advanced to Legazpi.
TOKO Naval Air Group Squadron:
On the 17th of December, 2 flying boats advanced from Palau to Legazpi.
1st Naval Air Group:
On the 23rd of December, 2 Type 96 Land Based Attack Aircraft were due to advance to Legaspi.
8th Army Air Group Squadron (2 reconnaissance aircraft and 2 light bombers)
By the 21st of December, the squadron advanced to Tuguegarao and prepared to support the land combat.
14th Army Air Group Squadron (18 heavy bombers)
On the 22nd of December was at Chauchou Army Air Base in Taiwan.
76th Army Independent Air Squadron (11 reconnaissance aircraft)
Based at Aparri, planned to carry out reconnaissance in the Lamon Bay area.
Naval reconnaissance of Lamon Bay was often carried out by the Navy Land based Reconnaissance Units. Also, the Legazpi Detachment of the TAINAN Naval Air Group carried out attacks on the Central-Philippines airfields from the 18th onwards, and our air forces were almost in control of the entire Philippine island of Luzon. Therefore, it was judged that a counterattack by the US air force against the landing force at Lamon Bay was unlikely to be a large-scale attack, other than a surprise attack by a small number of remaining aircraft.
Progress of the operations (94-102-115-118-133-134)
At 1200 on the 17th of December, the 2nd Section of the 24th Destroyer Division209 and the 2nd Section of the 21st Minesweeper Division210 sailed out of Koniya Bay, Amami-Oshima, and began sweeping the bay. The rest of the 4th Convoy211 completed its departure by 1800. The 4th Army Convoy was formed into 4 Echelons of 6 vessels each, in 2 longitudinal columns, and escorted by the 4th Escort Force, began to sail at a course of 180° and a speed of 8 knots. The convoy sailed uneventfully through clear, calm seas and on the morning of the 19th turned to 210° and headed for Lamon Bay.
Meanwhile, the 1st and 2nd Subchaser Divisions212 departed from Takao on the 18th at 1600, and the Auxiliary Gunboat MYOKEN MARU (45197) also departed Palau that morning (18th) to join the 4th Convoy on the 22nd. the 1st Section of the 16th Destroyer Division 213 , Minelayer/Netlayer AOTAKA, the 1st Section of the 21st Minesweeper Division214, Naval Fleet Oiler HAYATOMO and Auxiliary Minesweeper Tender IKUSHIMA MARU (42624), which had been operating at Legazpi, left at 1800 on the 19th and headed north, joining the convoy early morning on the 22nd. On the morning of the 22nd, the Fleet received news of the successful landing at Lingayen Gulf. Anti-submarine alert for the flotilla was conducted by 2 flying boats that day.
As a result of the combined full strength of the 4th Convoy, the escort force was strengthened. The convoy reached about 100 nautical miles east of Lamon Bay on the morning of the 23rd, changed course to the west and headed for Lamon Bay. At 0920, the SUZUKAZE detected and attacked the submarine, but to no known effect. At 1400, the convoy began an Anti- Submarine Formation and by sunset changed to a Harbour Approach Formation and headed to the mouth of the bay. 5 minesweepers separated ahead to sweep the anchorage.
2 flying boats attempted to depart Legaspi for anti-submarine surveillance of the convoy, but as mentioned above, one of the boats ran onto a reef and caught fire, so the operation was cancelled for the day. 1 land based reconnaissance plane of the Tainan Air Force, 6 Zero fighters and 3 Zero observation seaplanes of the Seaplane Carrier MIZUHO conducted direct guard over the convoy, and 2 of the Seaplane Carrier MIZUHO’s observation planes reconnoitred Lamon Bay and Polillo Island, but no enemy contacts were found.
The weather was poor, with occasional squalls. The fleet entered the bay, facing narrow visibility, and turned further south-southeast, passing through the narrow channel 2.5 nautical miles wide between Luzon Island and Cagbalete Island at about 2400.
At about 0030 on the 24th, 6 Auxiliary Transports with the Hiro Unit (the core of the 2nd Battalion, 20th Infantry Regiment) separated from the main convoy and headed for Mauban. The main convoy continued further into the bay and anchored at Atimonan anchorage at around 0200.
The 1st Infantry Battalion of the Hiro Corps landed in Mauban around 0130, and the main force of the 16th Division landed on the eastern coast of Atimonan around 0240. The village unit (the first battalion of the 20th Infantry Regiment) landed at Siain in the eastern part of the area around 0230. The landing forces encountered considerable resistance from the US and US-Philippine forces after landing, but they were eliminated and began to advance.
From 0725, the installation of sea defences in the 2 nautical miles between Alabat and Cagbalete Island began, with the Minelayer / Netlayer AOTAKA installing anti-submarine nets and the 1st Gunboat Division installing mines to block the channel. As a result, the only way for submarines to enter the bay was through the narrow channel between Luzon Island and Alabat Island, and the fleet's anti-submarine concerns were significantly reduced. 2 platoons of the Sasebo 1st and 2nd Combined SNLF landed at 0800 and occupied the radio telegraph station on Alabat island and Cagbalete Island but met no resistance from the US and US- Philippine forces. The 1st Navy Defense Unit also established an air defence battery and watchtower on the shore near the main fleet anchorage, and a defensive guard post on Cabaret Island.
The day's air support (24th) was carried out as planned. In other words, early in the morning, the Seaplane Carrier MIZUHO launched her seaplanes on the northeast surface of Polillo Island, north of Lamon Bay, and then established a floating base in Anibawan Bay, north-east of the island. The ship's 28 Type Zero observation seaplanes and 6 Type 94 reconnaissance seaplanes 215 provided direct air-to-surface and land support for the 4th convoy. The observation aircraft on over-air patrol encountered 4 US fighters over Mauban around 1300 and engaged them in an air battle, shooting down 2 of them and repulsing the others. In addition, 14 Zero fighters of the TAINAN Naval Air Group conducted patrols over Lamon Bay. 2 of these aircraft further attacked Batangas Airfield and set 1 fighter ablaze but lost 1 Zero in the air battle with the 2 US aircraft. 2 Land Based Attack Aircraft of the 1st Naval Air Group were deployed twice in the morning and afternoon to support the land battles, while 2 flying boats of the TOKO Naval Air Group also conducted anti-submarine warnings in the anchorage areas.
209Destroyers SUZUKAZE and YAMAKAZE.
210The minesweepers departing from Koniya Bay were the Minesweepers W-9, W-11 and W-12. I do believe that the W-9 actually was part of the 1st Section with the W-7 and W-8 and the 2nd Section was the W-10, W-11 and W-12. Probably Minesweeper W-9 is also there to substitute the Minesweeper W-10, lost near Vigan on the 10th of December.
211See Table 29.
2121st Subchaser Division: Subchasers CH-1, CH-2 and CH-3. 2nd Subchaser Division: Subchasers CH-13, CH-14
and CH-15.
213Destroyers YUKIKAZE and TOKITSUKAZE.
214See footnote 210.
215This gives a complement of 34 seaplanes and the MIZUHO only carried 24. There is only 2 possibilities for this: the number 28 of Type Zero observation seaplanes is actually (18+6=24) or the MIZUHO is tendering other seaplanes from other units. I do believe that the 18 instead of 28 possibility it’s the most consistent.
Meanwhile, the Army Air Forces operations that day in support of the 16th Division were carried out by the Army 76th Independent Flying Squadron and the 14th Army Air Group.
However, more than a dozen US fighter planes came to the port at around 1400, cutting through the gaps in our aircraft's vigilance, and repeatedly opened fire on the escort vessels. As a result, they suffered a loss of two killed and 21 wounded.
There was no counterattack by the US forces after the 25th, and the landing proceeded smoothly. The Hydrographical Survey Ship (embarked by the 1st Naval Survey Group) arrived at Lamon Bay from Yokosuka on the 25th of December and began surveying. On the same day, Vice Admiral Takahashi ordered the 24th Destroyer Division, the 1st Section of the 16th Destroyer Division and the 2 Patrol Boats of the 1st Patrol Boat Division to be removed from the 4th Escort Group and each unit to return to Palau.
Air support on this day (26th) was provided by 22 Type Zero observation aircraft, 6 Type 94 naval reconnaissance aircraft, 6 Zero fighters of the TAINAN Naval Air Group and 2 Land Based Attack Aircraft of the 1st Naval Air Group. The Army Land Based Attack Aircraft attacked Calamba on the south coast of Laguna de Bay (a lake southeast of Manila), setting 1 Flying Boat ablaze and destroying 2 aircraft.
Rear Admiral Kubo sent the Minelayer/Netlayer AOTAKA, the 1st Gunboat Division and the 21st Minesweeper Division to Palau on the 26th, and the 1st Subchaser Division, the Auxiliary Minesweeper Tender IKUSHIMA MARU (42624) and the Auxiliary Transport SENKO MARU (40758) (Combined Sasebo SNLF) on the 27th. On the 28th, a fire broke out on the Auxiliary Aircraft Transport KOMAKI MARU (38561) belonging to the 11th Air Fleet, which happened to be heading south off Lamon Bay. Upon receiving this news, Rear Admiral Kubo immediately dispatched the 2nd Subchaser Division (missing the Subchaser CH-13) and the Auxiliary Transport HAKUSAN MARU (29444) to the rescue. However, Auxiliary Aircraft Transport KOMAKI MARU (38561) put out the fire by herself, and Rear Admiral Kubo ordered the rescue party to return to Palau. Early in the morning, the Auxiliary Aircraft Transport KOMAKI MARU (38561) also left Lamon Bay for Sasebo on the same day.
After unloading, the army transports began to pull back to Taiwan on the 29th. The 1st Navy Defence Force also withdrew its batteries, watchtowers and guard posts. On the 30th, Rear Admiral Kubo led the Light Cruiser NAGARA, the Subchaser CH-13, the 51st and 52nd Subchaser Divisions, the Auxiliary Transport MYOKO MARU (43740) (embarked by the 1st Navy Defence Force) and the Hydrographical Survey Ship TSUKUSHI, out of Lamon Bay.
During this period, on the 26th, the Seaplane Carrier MIZUHO carried out overnight patrols and cooperation with the Army units with 8 Type Zero observation seaplanes and 3 Type 94 naval reconnaissance seaplanes, and also directly kept close guard the ships with 4 Type Zero observation seaplanes. On the 26th, the Seaplane Carrier MIZUHO ceased support operations and headed for Palau. 2 Land Based Attack Aircraft of the 1st Naval Air Group also returned to Tainan from Legazpi on the same day, and the Legazpi dispatched units of the TOKO Naval Air Group also withdrew from the base on the 25th. However, the TAINAN Naval Air Group fighter squadron continued to carry out overhead patrols in the Lamon Bay sector but turned to other areas for offensive operations at the conclusion of the operation.
Thus, the Lamon Bay landing operation was all but over. Our losses in this operation were limited to no more than 20 killed and wounded when our escort vessels came under fire from US fighter aircraft.
The main force of the 16th Division succeeded in landing as planned. On the 30th, when the last units of the 4th Escort Force left Lamon Bay, its lead force had already reached Lipa, 70km south of Manila, and was poised to attack the capital, Manila, in response to the southward advance of the main force of the 14th Army, which had landed at Lingayen Gulf.

1 Operational Plan
Advance of the date of the attack (77-78-108)
In the attack on Davao by the 4th Aircraft Carrier Division and the 2nd Destroyer Division on the 8th of December, no US naval or air forces were detected in the Davao sector other than a single flying boat tender, and there was no US counterattack against the attacking force at all. Recognising that the defence of Davao was extremely weak, Rear Admiral Takagi, commander of the Eastern Support Force, decided that it was necessary to attack Davao as soon as possible in order to promote the southern campaign, and on the 11th of December, sent a message to Rear Admiral Tanaka, commander of the 2nd Destroyer Squadron, at sea, stating:
After observing the battle situation at Legaspi, I think it would be advantageous to attack Davao as soon as possible while the enemy's morale is still low.
and asked for its opinion. In response, Rear Admiral Tanaka said that he agreed to move up the date of the Davao invasion to an earlier date.
On the 12th, Rear Admiral Takagi submitted his opinion to the Philippine Seizure Force as follows:
In view of the enemy's current situation, it is permissible to attack Davao as soon as possible while the enemy is not fully prepared for battle.
Vice Admiral Takahashi, the Commander of the Philippine Seizure Force, who had postponed the attack on X+6 (14th of December) date according to the pre-war plan to X-14 (22nd of December) for the aforementioned reasons, of course wished to bring forward the attack date as much as possible, but the problem lay in the air campaign. Although the general situation in the air campaign was already developing in our favour, the attacks of our air forces did not extend to the whole of Central and Southern Philippines except for some reconnaissance by the TOKO Naval Air Group, and the movements of the main forces of the US Asian Fleet were still unknown. There was no counterattack by the US Naval Air Force during the Davao raid (on the 8th of December), but this did not guarantee that there was no chance of a counterattack in the future. According to the pre-war plan, the KANOYA Naval Air Group was to advance to Palau on the 11th and 12th of December, and the Davao offensive was to be carried out with the support of the KANOYA Naval Air Group, pending the results of its raid on Davao, but Vice Admiral Tsukahara, the commander of the 11th Air Fleet, had changed the plan so that the Land Based Attack Aircraft force216 would not advance to Palau, but directly to Davao. On the 12th, the Philippine Seizure Force received a telegram from the Chief of Navy General Staff to the Chief of Staff of the 11th Air Fleet, inquiring about the time when the air force could advance to Legaspi and Davao, and stating that the Philippine Seizure Force could advance the Davao offensive by two or three days. In response, the Chief of Staff of the 11th Air Fleet replied:
Legazpi: after surveying the base, about 6 Zero fighters will advance on the 14th, and the rest of the force are expected to advance on or after the 17th. Davao is scheduled to advance as soon as the base is ready. In addition, it is our intention to advance the date of the Davao invasion.
According to the plan at the time, half of the TAINAN Naval Air Group (27 Zero fighters) were to advance to Legazpi. Vice Admiral Takahashi, who anticipated smooth air operations against the Central and Southern Philippines due to the base air force's advance to Legazpi, issued the following order to move up the date of the Davao invasion:
Philippines Seizure Force Order nº 2, dated 13th of December, 1020. Classified Philippines Seizure Force Order nº 1:
As soon as the situation permits, Davao should be attacked as soon as possible.
In response, Rear Admiral Takagi ordered Rear Admiral Tanaka on the 13th of December to confer with the Army's Sakaguchi Detachment Commander to move up the attack date by two days.
Rear Admiral Tanaka, leading the flagship JINTSU and the 15th Destroyer Division, arrived in Palau early in the morning of 14th of December and immediately discussed the matter with Commander Sakaguchi and, with its consent, it was decided that the Davao invasion would be moved up 2 days to the 20th of December. Rear Admiral Tanaka reported as follows on the 15th of December, 1000:
The 5th Surprise Attack Force's attack on Davao is scheduled to be moved up by 2 days, and an agreement has been reached with the Army's Sakaguchi Branch.
Eastern Support Force (103-106)
Rear Admiral Takagi was appointed in the 2nd Configuration of the Philippine Seizure Force217, to co-operate with the operations of the 4th Convoy in the Lamon Bay operation and also to command the 5th Surprise Attack Force (5th Convoy) in the Davao and Jolo campaigns.
On the 16th, Rear Admiral Takagi sent a telegram to the Chiefs of Staff of the Southern Force, the Philippine Seizure Force and the Southern Force Air Force218 with the following summary:
1 On the day of the Davao invasion, if necessary, the fighters of the Aircraft Carrier RYUJO will be lifted to Davao Airfield.
2 The attack on Jolo has been agreed to be on the 25th, but it is desired to issue an order according to the situation of the advance of the air force and the enemy situation in the Central and Southern Philippine Sector.
3 The attack on the northern Mindanao airbase and the advance of fighter aircraft to Davao should be accelerated. It is also necessary to advance flying boats to the area as soon as possible after the occupation of Davao and carry out reconnaissance and attacks in the direction of Moro Gulf and the Sulu Sea.
4 The 4th Aircraft Carrier Division is requested to continue to operate in the Southern Philippines sector during the Jolo Operation.
216The KANOYA Naval Air Group.
217See Table 25.
218The 11th Air Fleet is part of the Southern Force and in the Philippine, Malaya and Dutch East Indies Campaigns
it’s the Air Force of the Southern Force.
In response, the Chief of Staff of the Southern Force replied that the 4th Aircraft Carrier Division was to operate as a support unit for the Southern Philippines until the invasion of Jolo, but that the landing of the RYUJO's Fighter Air Squadron in Davao would not be carried out, and that instead it was necessary to promote the advance of the Fighters Naval Air Squadron's units.
Rear Admiral Takagi placed Patrol Boats PB-38 and PB-39, 1 Platoon of the 1st Kure SNLF219 and 15 fishing boats under the command of the 11th Seaplane Tender Division Commander. The 2 Patrol Boats were 2 of the 10 units of the 1st Patrol Division, newly formed on 20 November, which were incorporated into the 3rd Fleet220 and advanced to Palau in early December. The 2nd Kure SNLF was formed at Kure on the 15th of October, incorporated into the Philippine Seizure Force on the 1st of December, and sailed to Palau in early December aboard the Auxiliary Transport KUNIKAWA MARU (43727)221 and Auxiliary Transport KANO MARU (39657). Among them, 1 Platoon was scheduled to take part in the Davao and Jolo attacks as a contingent aboard the Patrol Boats.
Davao Invasion Force (106)
The Army units to land in Davao and Jolo were the Miura Detachment of the 14th Army (backbone of 1 Infantry Battalion222) and the Sakaguchi Detachment of the 16th Army, with Major General Shizuo Sakaguchi, Commander of the 56th Infantry Division, set to command both Detachments together. The Sakaguchi Detachment (including the Miura Detachment) in the Davao invasion consisted of the following troops:
3 Battalions of Infantry and 1 company of field artillery.
5 Army Auxiliary Transports:
Auxiliary Transport YAMAZUKI MARU (982). Auxiliary Transport TEIRYU MARU (824).
Auxiliary Transport KURETAKE MARU (360). Auxiliary Transport HANKOW MARU (30).
Auxiliary Transport HAVANA MARU (860).
The following 9 Navy Auxiliary Ships were used, including those of the Jolo Attack Force: Auxiliary Transport KIRISHIMA MARU (36919) (embarked by 32nd Special Base Force). Auxiliary Transport TAITO MARU (40879) (embarked by 2nd Naval Construction Group).
Auxiliary Transport KINUGASA MARU (41285) (embarked by the 3rd Munitions Depot and the 103rd Aircraft Repair Force 223).
Auxiliary Transport TENRYU MARU (42623) (embarked by the 3rd Munitions Depot and the 103rd Aircraft Repair Force).
Auxiliary Transport / Oiler TONAN MARU nº 2 (43650).
Auxiliary Transport AMAGISAN MARU (38579) (Transporting 11th Air Fleet base equipment).
Auxiliary Ammunitions Supply TATSUKAMI MARU (45368) (Transporting 11th Air Fleet base equipment).
Auxiliary Transport EIKO MARU nº 2 GO224 (47587) (embarked by 1 Platoon of the 1st Kure SNLF, 3rd Naval Construction Group).
Auxiliary Transport KOSHIN MARU (30415) (embarked by 1 Platoon of the 1st Kure SNLF, 3rd Naval Construction Group).
219On the original it’s the 1 Platoon of the 2nd Kure SNLF, but later when assigning the forces to the Auxiliary Transports, it’s 1 Platoon of the 1st Kure SNLF. Also, all the information I could find for the Davao and Jolo Invasion Forces do not mention the 2nd Kure SNLF.
220The 1st Patrol Boat Division was composed by the Patrol Boats PB-1 and PB-2 (Ex Minekaze Class Destroyers) and PB-31, PB-32, PB-33, PB-34,PB-35, PB-36, PB-37, PB-38 and PB-39 (Ex Momi Class Destroyers). They were part of the 32nd Special Base Force that was part of the 3rd Fleet.
221KUNIKAWA MARU will be converted to an Auxiliary Seaplane Carrier between the 14th of July and the 23rd of August 1942. (combinedfleet)
222Of the 33rd Infantry Regiment.
223I do not know if this is the correct name. It might also be 103rd Air Base (in Kanji its 第百三航空廠乗船). On combinedfleet.com the name is 103rd Aerial Field Repair Shop.
224On the original the name is the EIKO MARU, but the EIKO MARU was renamed EIKO MARU Nº 2 GO (47587) on the 20th of November 1941. There is another EIKO MARU (44035), an Auxiliary Minesweeper Tender in the 9th Base Force and a unit of the Malaya Seizure Force.
The status of the naval land forces embarked on each of the above Auxiliary Transports was as follows:
32nd Special Base Force
On the 20th of November, it was formed at Kure and incorporated into the 3rd Fleet and embarked on the Auxiliary Transport KIRISHIMA MARU (36919), advancing to Palau on the 5th of December. It was scheduled to be assigned to the Davao campaign and to guard the area.
2nd Naval Construction Group
On the 20th of November, the group was formed in Kure and incorporated into the 3rd Fleet and embarked on board the Auxiliary Transport TAITO MARU to advance to Palau in early December. They were scheduled to engage in the construction of Davao Airfield.
3rd Naval Construction Group
On the 20th of November, the group was formed at Yokosuka and incorporated into the 3rd Fleet, embarking on the Auxiliary Transport EIKO MARU nº 2 GO (47587) and Auxiliary Transport KOSHIN MARU (30415) and arriving at Palau at the beginning of December. She was scheduled to be engaged in setting up the Jolo Airfield.
103rd Aircraft Repair Force
Newly formed on the 15th of November, part of the unit was planned to be located in Davao.
3rd Munitions Depot
Newly reorganised on the 31st of November, part of the unit was planned to be located in Davao.
1st Kure SNLF
Newly formed on the 15th of November of 1940 and returned to Kure after participating in the Hainan Island Operation. On the 20th of November of the following year, she was incorporated into the 3rd Fleet and embarked on the Auxiliary Transport MATSUMOTO MARU (28109) and advanced to Palau at the beginning of December. The unit took part in the Legaspi campaign and 1 Platoon was ordered to take part in the Jolo campaign.
Rear Admiral Tanaka, in consultation with the Army Detachment Commander Sakaguchi, issued Classified 5th Surprise Attack Force Order nº 1 on 15 December concerning the assault on Davao. The summary of the order is as follows: (See Appendix IV, Illustration nº 16)
1 Operational strategy:
A) As the speed of each Auxiliary Transport is generally low and irregular, the fleet is to be divided into 3 echelons for anti-submarine consideration, and each echelon is to sail from Palau and anchor in Davao at the same time.
B) According to intelligence, the Port of Davao area is heavily defended by US and US-Philippine forces. For this reason, the landing point will be bisected in 2, north and south of it, and the Sakaguchi's Detachment will be sent to Davao City after landing.
C) As the water is deep and it is difficult to anchor in the vicinity of the landing anchorage, the transports will anchor and land the landing force, and after the occupation of Davao, anchor near the piers and continue to lift the troops.
D) The Jolo invasion force convoy will also accompany the Davao invasion force convoy.
2 Distribution of Forces:
A) Underway (See Table 30).
B) After entering the anchorage (See Table 31).
3 Sailing, anchoring and landing:
A) Each Echelon will navigate the 1st part of the route and pass the Point C at 1900 on the 19th.
B) The Fleet will assume a formation of a single line with a distance of 600 metres between each ship. Each escort ship occupies the front and sides of the fleet.
C) At 1900, on the 19th, the 1st Section of the 15th Destroyer Division will advance ahead while carrying out anti-submarine sweeps and conduct anti- submarine sweeps and enemy reconnaissance on the sea surface from the mouth of the Panacan River to Tibungco.
D) At 2200, on the 19th, the Destroyers AMATSUKAZE and OYASHIO will advance ahead while carrying out anti-submarine sweeps and conduct surface search and reconnaissance from Talomo Bay to Ipil.
E) Other escort vessels are to lead the various Echelons to occupy the anchorage positions.
F) Landing points, landing times, etc., of each Echelon (See Table 32).
G) The formation for entering the anchorage shall be a single vertical column with a distance of 800 metres between each ship.
H) Landing combat procedures:
(1) The right wing and its follow-up units will land on the southern coast of Tibungco, assault Sasa Airfield (author's note: refers to Davao Air Base) and then occupy Davao City.
(2) The Left Wing lands at Talomo Bay, and in coordination with the Right Wing, captures the defeated enemy in the right bank of the Davao River. Some troops are to be landed on Samal Island.
(3) After capturing Davao, occupy Malalag with some troops.
4 Land combat support and anchorage guard:
A) Landing support fire will be carried out at the request of the Sakaguchi Detachment Commander.
B) Anchorage Guard is as specified in Table 31.
C) Minelayer / Netlayer SHIRATAKA will establish defensive arrangements in Malalag Bay after the 21st.
D) The actions of the Naval Land Forces (including the 32nd Special Base Force) are to be prescribed separately.



Jolo invasion force (106)
On 17 December, Vice Admiral Takahashi gave the following orders concerning the attack on Jolo:
1 The Eastern Philippines Support Force is to incorporate the 1st Kure SNLF, the 3rd Naval Construction Group, the Auxiliary Transport EIKO MARU nº 2 GO (47587) and the Auxiliary Transport KOSHIN MARU (30415).
2 The Commander of the Eastern Philippines Support Force, after consultation with Army Major General Sakaguchi, will capture the island of Jolo approximately on the 25th of December with the required forces after the capture of Davao, and will secure and maintain an airfield there.
The Army unit assigned to the task of assaulting Jolo was the Matsumoto Detachment of the Sakaguchi Detachment (the 3rd Battalion of the 146th Infantry Regiment under the command of Major Matsumoto Osamu, with 1 Artillery Battery225 and 1 radio squadron), embarked on the Auxiliary Transport YAMAZUKI MARU (982)226. The naval units were the 1st Kure SNLF, the 3rd Naval Construction Group, embarked on board the Auxiliary Transports EIKO MARU nº 2 GO (47587) and the KOSHIN MARU (30415).
On the 15th of December, Rear Admiral Tanaka issued the following order (summary) concerning the attack on Jolo: (See Appendix IV, Illustration 17)
1 Military classification (as shown in the Table 33)
2 Departure and sailing from Davao
A) Destroyer HAYASHIO and Patrol Boats PB-36 and PB-37, escorting the 2nd Echelon (Auxiliary Transports EIKO MARU nº 2 GO (47587) and KOSHIN MARU (30415)), will sail from Davao on the 22nd at 1900.
B) Destroyer OYASHIO escorting the 1st Echelon (Auxiliary Transport YAMAZUKI MARU (982)) will sail from Davao on the 23rd at 1200. The 1st Section of the 15th Destroyer Division joins them at the entrance of Davao Gulf.
C) Light Cruiser JINTSU will sail out of Davao on 23rd at 1100 and will be assigned to support all operations by acting accordingly.
3 Entry, Landing and Anchorage Guard
A) The 1st Section of the 15th Destroyer Division will sweep the anchorage ahead while carrying out anti-submarine sweeps in accordance with orders, and after anchoring the Echelons, carry out anti-submarine sweeps around the perimeter of the anchorage.
B) Time of anchoring of the fleet, etc: Anchor time: 0100
Time of landing (departure from the ship): 0200 Unloading schedule: approximately one day
C) Landing point
Proposal 1: West coast of Kaunayan227
Proposal 2: The coast from Daingapic Point to Mangalis Point228
D) 2 Patrol Boats are to be relieved by special order and engaged in guarding the fleet anchorage229.
E) The 2nd Section of the 15th Destroyer Division will lead the fleet to anchor and then engage in guarding the anchorage.
225Of the 56th Artillery Regiment.
226Also known as the YAMATSUKI MARU.
227The northern coastline to the east of Jolo City, around 5 miles from the Jolo Airfield (closer to the airfield than on proposal 2).
228Daingapic Point it’s the most western point in the northern Coastline, west of Jolo City and Mangalis Point is about 4.2 miles West from Jolo City Harbour. On proposal 2 the landing would be west of Jolo City in the northern Coastline.
229The Patrol Boats were carrying the 1st Kure SNLF, and after landing the SNLF, assume a guard duty of the anchorage.

Note: The identification of the Destroyers on the Table 33 is not in the Original (only the sections).
2 Davao Landings(See Chart nº 4)
Advance of the Force (77-102-106-108-115-117)
On the 16th of December, 1600, Destroyer HATSUKAZE and Patrol Boats PB-36 and PB-37 sailed out of Palau escorting the 3rd Echelon. 2 hours after the sortie, Patrol Boat PB-37 reported that it had detected a submarine near 4 km northwest of the West Passage and conducted an effective bombing attack230.
The following day, on the 17th, while the 3rd Base Force231, 5th Cruiser Division and the Seaplane Carrier CHITOSE were conducting anti-submarine surveillance. At 0600, the 15th Destroyer Division and the Destroyer AMATSUKAZE, followed at 0700 by the 2nd Echelon led by Minelayer / Netlayer SHIRATAKA, depart. At 1300, with the sortie of the 1st Echelon, the entire fleet completed its sortie, followed by Light Cruiser JINTSU, the Heavy Cruiser NACHI and the 4th Aircraft Carrier Division. At 0745, the Destroyer AMATSUKAZE, at 0810 the Destroyer NATSUSHIO and the 0825 the Destroyer KUROSHIO each detected and attacked submarines outside Palau Bay, of which the attack by the Destroyer KUROSHIO was reported to be effective232.
230According with the PB-37 TROM at tokusetsukansen.jpn.org, at 1815 PB-37 detects a submarine and at 1828 attacks with 6 depth charges.
231The 3rd Base Force, under the Command of Rear Admiral Nakamura, was at Palau and was composed by the 13th Minesweeper Division, the 4th Gunboat Division, the 55th Subchaser Division, the 4th Naval Air Group, 3rd Base Force Headquarters, 3rd Naval Defense Force, 3rd Communications Force and the 3rd Port and Docks Unit 232 According with Kuroshio TROM at combinedfleet.com the attack is made with 14 depth charges. No allied submarines were present.
Finally, at 1000 on the 18th, the 5th Cruiser Division (missing the Heavy Cruiser NACHI) and at 1300, the 11th Seaplane Tender Division (missing the Seaplane Carrier MIZUHO) and Patrol Boats PB-38 and PB-39 sailed out of Palau and followed the convoy.
The 5th Surprise Attack Force, after sailing, proceeded along the 1st route in the order of the 3rd, 2nd and 1st Echelons, followed by the Eastern Support Force.
As mentioned above, the flying boats of the Toko Naval Air Group reported the detection of 3 submarines at 120°, 230 nautical miles and 180°, 200 nautical miles respectively at the entrance of Davao Gulf, and a Seaplane Tender at Sorong, as well as a light cruiser at Menado and a Flying Boat at Ternate (North Maluku / Halmahera) on the 17th. Rear Admiral Tanaka, in view of these enemy conditions in the Dutch East Indies Sector, judged that there would be a considerable counterattack by naval and air forces at the time of the assault at Davao.
Since departing from Palau, the sea was calm. On the 18th, with a north-easterly wind of a few knots and visibility of 40 kilometres, the fleet continued to sail smoothly. However, submarine detection continued as follows, reminding the fleet of the many difficulties ahead:
0800: A Flying Boat spotted 1 submarine 20 nautical miles east of the 2nd Echelon and suppressed it in cooperation with aircraft of the 4th Aircraft Carrier Division.
1620: A Flying Boat spotted and attacked 2 submarines 40 nautical miles east of the 2nd Echelon and suppressed them for about one hour.
2000: The Minelayer / Netlayer SHIRATAKA escorting the 2nd Echelon detected and attacked the submarines.
2015: Patrol Boat PB-36, escorting the 3rd Echelon, detected and attacked a submarine.
On the 18th, 8 Flying Boats conducted a search for the submarines and found 3 submarines in the patrol area (location unknown), but lost sight of all of them. In addition, the Light Cruiser or similar vessel spotted in Menado the previous day had already sailed away and no sight of her was found.
In the early morning of the 19th, the 4th Aircraft Carrier Division reached about 100 nautical miles east of Davao Bay entrance and launched 3 Carrier Based Attack Aircraft to scout the Sarangani Bay area at the southern tip of Mindanao, but no enemy contact was obtained. 6 more Carrier Based Attack Aircraft were launched at 1300 with 250-kilogram bombs (4) and 60-kilogram bombs (24) to bomb the watchtower and warehouses at Cape San Augustine Lighthouse. Other planes scouted Davao but saw no people in the city and only small vessels in the bay. The Type 94 reconnaissance Seaplane from JINTSU also scouted the Dutch East Indies island of Miangas, 50 nautical miles south-southeast of Cape San Augustine, and observed a white flag on the summit of a mountain.
The 5th Surprise Attack Force continued westwards under direct anti-submarine protection by 6 Land Based Attack Aircraft from the KANOYA Naval Air Group but continue to detect submarines on the 19th.
0200: Patrol Boat PB-37, escorting the 3rd Echelon, detected and attacked a submarine.
0930: A Flying Boat spotted what appeared to be a submarine at 120 nautical miles south-southeast of the south-eastern tip of Mindanao Island.
1130: The Heavy Cruiser HAGURO recognised a periscope and opened fire.
1308: The Light Cruiser JINTSU spotted a periscope and together with the Destroyer KUROSHIO and 3 Land Base Attack Aircraft attacked and reported that the submarine was certain to be sunk.
1530: Patrol Boat PB-36 heard submarine sounds and attacked, reporting somewhat certain effect. A single torpedo was fired back but did not hit.
At 1300 on the 19th, the 1st, 2nd and 3rd Echelons joined at about 100 nautical miles southeast of the entrance of Davao Gulf and thereafter proceeded side by side. At 1800, Rear-Admiral Tanaka ordered the advance to the anchorage, and each Echelon moved forward to the anchorage. The 1st Section of the 15th Destroyer Division and the Destroyers AMATSUKAZE and the OYASHIO233, after 1900, leave formation as planned and advanced to Davao.
Landings (77-102-106-108-115-117-140)
On 20th, 0145, the 1st Echelon reached the coast of Tibungco, and the right wing departed from the Auxiliary Transports at 0330 and landed at 0400 to begin the assault. Troops of the 32nd Special Base Force followed and landed. The 3rd Echelon reached Talomo Bay at 0320, and the left wing also succeeded in landing at 0515. At 0440, a little later, the 2nd Echelon arrived off Tibungco. There were no surface vessels or mines in the bay and there was no resistance during the landing. Rear Admiral Tanaka reported at 0700 as follows:
0400, 1st Assault Force: The Main Force of the Sakaguchi Detachment Wright Wing landed at Tibungco Coast.
0515, 2nd Assault Force: Sakaguchi Detachment Left Wing successfully landed without any resistance at Talomo Coast, with expanding war results now.
Destroyer AMATSUKAZE dispatched 1 of its boats to capture a small vessel found near the pier on the south coast of Davao City. However, the boat was suddenly hit by a volley of gunfire from behind the shore, rendering it inoperable and resulting in the deaths of same the sailors aboard. The Destroyer AMATSUKAZE returned fire at 0715 on the attackers and a shell hit an oil tank, causing a huge fire in the whole pier area. These bombardment was protested by the Army as being against the Army-Navy Agreement, but the Navy defended the action as unavoidable.
The Miura Detachment, the front line of the right wing, was unable to occupy the airfield by sunrise due to resistance from the US and US-Philippine forces and also due to a friendly fire by a naval aircraft, which resulted in about 50 casualties. For this reason, the Sakaguchi Detachment Commander decided to reinforce with the Matsumoto Detachment and at 1000 landed the Battalion to attack and advance towards Davao City. The Miura Detachment and the 32nd Special Base Force occupied the airfield around 0750, while the Sakaguchi Detachment completely occupied Davao City by 1700. Both the US and US-Philippine forces fled west into the mountains.
Meanwhile, the left wing, which landed at Talomo Bay, approached the Davao River line from the west, but the US-Philippine forces stubbornly resisted, making it difficult for the force to advance.
233On the original it’s the Destroyer KUROSHIO, but this must be a mistake because on page 348, Point 3 D) it’s the Destroyer OYASHIO and it also says that its “as planed”. The Destroyer KUROSHIO was already going in the 1st Section of the 15th Destroyer Division with the Destroyer NATSUSHIO.

The 5th Surprise Attack Force carried out minesweeping and patrols as planned and captured more than a dozen small vessels.
The Eastern Support Force was assigned to support operations while operating on the southeast coast of Davao. Firstly, 1 seaplane from the Heavy Cruiser MYOKO and 1 seaplane from the Heavy Cruiser HAGURO and 3 Carrier Based bombers from the Aircraft Carrier RYUJO
scouted the southern area of Davao Gulf and the Celebes Sea and spotted a group of 500-ton class British tankers 30 nautical miles south of Sarangani Island. A total of 12 attack aircraft of the Aircraft Carrier RYUJO attacked it with 1 torpedo, 250-kilogram bombs (1) and 60 kilogram bombs (32), hitting the tanker with a torpedo and a 60-kilogram bomb (1), but the tanker was not sunk.
The Seaplane Carrier CHITOSE provided land support from 0630 to 1700 with a total of 26 Zero-type observation seaplanes, attacking Davao barracks, US and US-Philippine positions and vehicles. 1 of these aircraft crash-landed, but its crew was rescued. 6 other Type Zero observation aircraft and 4 Type 94 reconnaissance seaplanes carried out reconnaissance operations in Davao Bay and conducted anti-aircraft and anti-submarine alerts in the port. Patrol Boat PB-38 and Kure SNLF established a seaplane base in Talomo Bay, and Seaplane Carrier CHITOSE anchored in Talomo Bay at 1750.
The KANOYA Naval Air Group Land Based Attack Aircraft Squadron and the main force of the TOKO Naval Air Group stood by at the Palau Islands base for attack in preparation for the appearance of the US Fleet. However, the US fleet did not appear.
Rear Admiral Naosaburo Irifune, Commander of the 32nd Special Base Force, reported that day that "the airfield was ready for fighters and for the medium attack bombers on the 24th. However, 11th Air Fleet Headquarters, lessoned by the Legaspi experience, asked the head of the 2nd Naval Construction Group to report the detailed situation of the airfield later the same night.
Minesweeping and Naval Air Units Redeployment (35-77-104-108-115-117)
On 21st, the 2nd Section of the 15th Destroyer Division and the Minelayer / Netlayer SHIRATAKA finished sweeping Malalag Bay and setting up an anti-submarine net in the morning.
Air operations on this day focused on attacking Mindanao Island bases, mainly Del Monte. The 25 aircraft of the KANOYA Naval Air Group attacked Del Monte, Dansulan and Malabang airfields with 250 kilogram bombs (25), destroying 1 large aircraft and 10 buildings in Del Monte, and 2 small aircraft in Dansalan. 8 flying boats of the TOKO Naval Air Group then bombed Del Monte airfield with 60-kilogram bombs (60). Zero observation planes of the Seaplane Carrier CHITOSE also attacked various bases as follows:
6 Type Zero observation seaplanes destroyed 2 large aircraft out of 7 local aircraft in Del Monte
2 Type Zero observation seaplanes blew up a hangar at Cotabato airfield.
7 Type Zero observation seaplanes bomb the barracks, pier and 1 flying boat at Dansalan.
3 bombers of the Aircraft Carrier RYUJO scouted Davao Gulf and confirmed that a British tanker had run aground at Cape Chinaka on the southern tip of Mindanao the previous day, while 8 fighter planes carried out over-night patrols. In addition, 2 Type 94 wate reconnaissance seaplanes from the Seaplane Carrier CHITOSE conducted scouting in Moro Bay and cooperation with the Army in the land assault.
There were no counterattacks by US air forces that day, and land operations proceeded smoothly.
Before the war, there were about 20,000 Japanese residing in the Davao area. The Sakaguchi Detachment rescued about 10,000 Japanese who had been confined on the day of landing and continued to rescue the rest. At the request of the Commander of the Sakaguchi Detachment, the 5th Surprise Attack Force also rescued the following Japanese from various locations on the east coast of Davao Gulf:
Pandasan: 244 persons (Landing party from the JINTSU and OYASHIO on the night of 21st of December)234
Pantukan 191 persons (Landing party from JINTSU and HAYASHIO on the morning of 22nd)235
Lupon 29 (Landing party from the AMATSUKAZE on the evening of 22nd)236
234There is a conflicting information about this. In the Illustration nº 16 it’s the Jintsu and the KUROSHIO and not the OYASHIO at 2300.
235There is a conflicting information about this. In the Illustration nº 16 this action takes place at 0925 on the 21st.
236According with the Illustration nº 16 this action takes place at 1545.
1 US observation plane arrived at 1800 on the 22nd and 9 heavy bombers at 1823, dropping bombs on 2 Patrol Boats and in the vicinity of Auxiliary Transport / Oiler TONAN MARU nº 2 (43650), but no damage was caused.
The 11th Air Fleet Headquarters had decided to advance the aircraft squadron as soon as possible after the Davao base was cleared and scheduled the advance at the 21st for the fighters and flying boats and on the 27th for Land Based Attack Aircraft. For this reason, the 11th Air Fleet Headquarters had earlier inquired about the situation at the airfield to the Commander of the 2nd Naval Construction Group but received no reply. 9 flying boats advanced to Davao on the 22nd, but the fighter squadron did not advance on the same day, and on the 23rd the 11th Air Fleet Headquarters asked again the Commander of the 2nd Naval Construction Group to report the situation of the airfield.
On the same day, 16 Land Based Attack Aircraft of the KANOYA Naval Air Group and 6 flying boats of the TOKO Naval Air Group attacked Cebu, sinking a 5,000-ton class merchant ship and setting its oil tanks on fire. Also, 1 land based reconnaissance plane and 8 Zero fighters of the TAINAN Air Group Squadron from Legaspi made a series of strafing attacks on Del Monte, Cagayan, Dansalan, Malabang, Cotabato, Cebu and other airfields, setting fire to 2 heavy bombers, 1 twin-engine aircraft and 1 flying boat, and badly damaging 1 twin-engine aircraft. 6 Type Zero observation seaplanes from the CHITOSE also attacked Del Monte and blew up 1 large aircraft and a barracks, while 16 other aircraft of the same type attacked Cagayan airfield and blew up 2 large aircraft and a barracks. The RYUJO and aircraft of the 5th Cruiser Division conducted anti-submarine and anti-aircraft alerts.
Worried about the intensifying counterattack by the US air force, Vice Admiral Takahashi ordered the 4th Aircraft Carrier Division to operate in the Davao area that night. In response, Rear Admiral Takagi instructed that the 4th Aircraft Carrier Division would not participate in Jolo Operation and would operate in the Davao area, leaving the landing of carrier based aircraft in Davao to the Commander of the Philippine Seizure Force. Rear Admiral Takagi also ordered the 11th Seaplane Tender Division to attack Del Monte Air Base in the early hours of the following morning, the 23rd of December.
Around 0630 on the 23rd, 3 heavy bombers again attacked in the vicinity of the Auxiliary Transport / Oiler TONAN MARU nº 2 (43650), causing some damage to the ship and 3 boats were set ablaze. The Destroyer KUROSHIO, on patrol in Davao Bay, was also attacked and 4 men were injured.
Lieutenant Commander Masunaga, Staff Officer of the 21st Naval Air Flotilla, who had arrived in Davao and was surveying the airfield, expressed his opinion to the 21st Naval Air Flotilla Commander on the early advance of the fighter squadron that morning. Rear Admiral Tanaka also made a similar request to Rear Admiral Takagi, who in turn requested the early advance of fighters to the 11th Air Fleet Headquarters. At 0730, 8 fighters and 2 carrier based attacl aircraft of the Aircraft Carrier RYUJO advanced to the airfield and started patrolling.
On the same day, at 1238, the Jolo invasion flotilla, which was sailing westward in the south of Mindanao, was contacted by a Flying Boat As there were no aircraft in the air over the convoy at the time, Rear Admiral Takagi ordered the Aircraft Carrier RYUJO to send a Squadron to guard the convoy, and 2 fighters and 2 carrier based bombers rushed to the convoy to begin their direct escort.
4 Zero Seaplanes of the Seaplane Carrier CHITOSE scouted the airfields at Marabara (location unknown), Del Monte, Malabang and Dansalan, but saw no aircraft and bombed the facilities at Malabang airfield. In addition, 6 Type Zero observation planes patrolled the airspace above the anchorage, and 3 Type 94 reconnaissance seaplanes patrolled Davao Bay, and repelled one of the aforementioned heavy bombers that had attacked the area. The air force's operations that day focused on search and reconnaissance. 4 land attack aircraft of the KANOYA Naval Air Group and 4 flying boats of the TOKO Naval Air Group conducted search and reconnaissance within a range of 171° to 248° and 650 nautical miles of Peleliu Air Base, and spotted and bombed one flying boat at Sorong, but failed to hit it. 4 Flying Boats from Davao base conducted a wide search of the southern Sulu Sea and Celebes Sea and sighted and bombed 1 merchant ship on the east coast of Borneo, but to no avail.
On the same day, 12 Zero fighters and 2 land based reconnaissance aircraft of the 3rd Naval Air Group, commanded by Lieutenant Commander Takeo Shibata, the 3rd Naval Air Group Flight Commander, arrived at Davao Air Base from Takao at 1730. The Zero fighters had finally made their advance.
Davao Airfield (Sasa Airfield), which had been occupied as a foothold for the Dutch East Indies offensive and as a base for the control of the Southern Philippines sector, was, contrary to our expectations, not only too narrow to accommodate a large force of Land Based Attack Aircraft, but also the main runway had a considerable slope and the soil quality was poor. This made it impossible to deploy the planned forces, and together with the poor condition of the Jolo airfield, there were concerns about future operational support, etc.
3 The Jolo Landings(see Appendix IV)
Advance of the Force (77-102-106-108-115)
On the morning of the 22nd of December, Rear Admiral Takagi ordered the launch of Operation Jolo as follows:
1 The date of the attack on the Jolo airfield was set for the 25th of December.
2 Seaplane units were to be on guard against submarine attack and to search the route of the convoys in the Moro Gulf on the 23rd of December, and from the 24th of December onwards, to search the southern part of the Sulu Sea and to cooperate in the landing combat.
3 On the morning of the 24th, this squadron237 and 2 seaplanes squadrons238 will reach an area 60 nautical miles northwest of Sangihe Island239 and proceed to the Celebes Sea (generally south of the planned route240), after which they will be assigned to support operations Davao and Jolo in the Celebes Sea.
In response, Rear Admiral Tanaka, Commander of the 5th Surprise Attack Force, ordered the following at 1700:
Launch the Jolo invasion force in accordance with the planned plan.
At 1900 on the 22nd, the Destroyer HAYASHIO and Patrol Boats PB-36 and PB-37 sailed from Davao escorting the 2nd Echelon (Auxiliary Transports EIKO MARU Nº 2 GO (47587) and KOSHIN MARU (30415)). The 1st Kure SNLF, which had been split between the 2 Auxiliary Transports, was transferred to both Patrol Boats prior to the sortie.
On the 23rd at 0200, Rear Admiral Tanaka led the Light Cruiser JINTSU out of Davao and at 1200, the Destroyer OYASHIO sailed from Davao escorting the 1st Echelon (Auxiliary Transport YAMAZUKI MARU (982)). As mentioned above, a heavy bomber attacked the Destroyer KUROSHIO that morning, causing some casualties, and enemy twin-engine flying boats touched the Light Cruiser JINTSU and the 2nd Echelon for about an hour from 1300. At the time, the 2nd Echelon had no direct escort aircraft, and on the order of Rear Admiral Takagi, 2 fighters and 2 carrier based attack aircraft from the Aircraft Carrier RYUJO rushed in, but by that time the flying boats had already disappeared. At the time, the Light Cruiser JINTSU and the 2nd Echelon were north of Maru Island, while the 1st Section of the 15th Destroyer Division was at the mouth of Davao Bay and the 1st Echelon was heading south through Davao Gulf. Rear Admiral Tanaka judged that the entire 5th Surprise Attack Force had been scouted by airships and expected a substantial US counterattack. However, the air force's extensive scouting that day in the Southern Philippines and North Dutch East Indies sectors revealed only 1 flying boat at Sorong and 1 merchant ship on the east coast of Borneo.
The 1st Section of the 15th Destroyer Division joined the escort of the 1st Echelon at entrance of Davao Gulf in the evening. The day's weather was semi-clear and visibility was about 40 kilometres and the sea was calm. The 3 destroyers of the 15th Destroyer Division escorting the Auxiliary Transport YAMAZUKI MARU (982) increased speed and followed the 2nd Echelon241.
Enemy cruisers are sighted (77-106-108-115)
The 5th Cruiser Division and the 4th Aircraft Carrier Division, which had been in action at southeast of Davao until the evening of the 23rd of December, moved rapidly westward that night and entered the Celebes Sea early in the morning of the 24th, generally moving alongside the convoys several dozen nautical miles south of the convoy route.
At 0630 on the 24th, Rear Admiral Takagi ordered 3 seaplanes of 5th Cruiser Division to launch and search the Celebes Sea between the northern part of Celebes Island and the Sulu Islands. He also ordered the 4th Aircraft Carrier Division and 11th Seaplane Tender Division to engage in support of the Jolo campaign after the 24th, as the 3rd Naval Air Group Fighter Squadron had advanced into Davao on the 23rd, the same night.
On the evening of the 23rd, Rear Admiral Tanaka also requested the 11th Seaplane Tender Division "to limit seaplane operations, in view of the experience of the accidental bombing of Davao242, to patrol the sky above the fleet and anchorage anti-submarine surveillance in addition to special requests" and the 4th Aircraft Carrier Division "to place emphasis on early morning and dusk for direct air defense of convoys" in view of the counterattack by the US air forces in Davao.
2375th Cruiser Division.
238From the Seaplane Carrier CHITOSE.
239To the South of Mindanao, around 120 nautical miles from the Southern tip of Mindanao (Sarangani Strait), in the Celebes Sea.
240The Convoy route.
241The 15th Destroyer Division had the OYASHIO and HAYASHIO on the 2nd Section and the KUROSHIO and NATSUSHIO in the 1st Section.
242During the Davao assault, the Miura Detachment suffers a friendly fire incident which resulted in about 50 casualties after the bombing by a Naval plane.
The CHITOSE was to depart Talomo Bay in the evening of the 23rd and continue behind the 2nd Echelon with Patrol Boat PB-38 in the early morning of the 24th. On the morning of the 24th of December, the 1st Echelon was still some 80 nautical miles to the east of the 2nd Echelon. Due to the distance between the 2 Echelons, the 4th Aircraft Carrier Division agreed with the 11th Seaplane Tender Division that the 1st Echelon would be directly guarded by the 4th Aircraft Carrier Division and the 2nd Echelon by the 11th Seaplane Tender Division. In addition, the 4th Aircraft Carrier Division was expected to reach 30% of its remaining fuel level on 25th, so it requested Rear Admiral Takagi to take appropriate measures for refuelling. On the 24th, at 1800, the Aircraft Carrier RYUJO recovered the 8 fighters and 2 carrier based bombers that she had sent to the Davao Air Base at Davao Base and then began direct escort of the 1st Echelon. The Seaplane Carrier CHITOSE also acted as scheduled and began escorting the 2nd Echelon with 3 observation seaplanes from 0630. She also began to patrol of Zamboanga, Jolo, Sulu Sea, Moro Bay, etc., with 5 observation seaplanes and 2 Type 94 reconnaissance seaplanes.
Meanwhile, 18 Land Based Attack Aircraft of the KANOYA Naval Air Group launched from Peleliu Naval Air Base at 0600 to attack Sorong. However, they turned back en route due to heavy thunderstorms. 4 flying boats departed from Davao Air Base after 0515 to search in the Celebes Sea, Molucca Sea and Sulu Sea.
Earlier, Army reconnaissance aircraft reported, as already mentioned, that 1 cruiser and 2 destroyers had sailed out of the North Channel of Manila Bay at 0900 on the 23rd. Upon receiving this report, that night, Vice Admiral Tsukahara ordered the detachment of the Toko Naval Air Group at Legazpi to conduct a scouting mission in the Sulu Sea sector on the 24th. 2 flying boats departed from the Legazpi air base early in the morning of the 24th and went to search for the enemy.
At 0807, 1 of the flying boats departing from Davao sighted 1 cruiser and reported as follows:
0845 - Enemy cruiser sighted, position “Nurike 2”243, enemy heading 45°, speed 25 knots.
This report was received by Rear Admiral Takagi's flagship, the Heavy Cruiser MYOKO at 1040. The position was 295°, 110 nautical miles from Menado, about 170 nautical miles to the south of the Heavy Cruiser MYOKO. At 1050, Rear Admiral Takagi ordered the 4th Aircraft Carrier Division to take up the task, followed by, at 1130, the order for the Heavy Cruisers HAGURO and NACHI to catapult their seaplanes to search for the enemy. The 5th Cruiser Division, after launching their seaplanes, headed towards the cruiser's advance on a course of 110° and at a speed of 26 knots.
At 1145, the 4th Aircraft Carrier Division launched 3 carrier based attack aircraft to search the Celebes Sea (range of 180 nautical miles), and the seaplanes of the HAGURO and NACHI also scout 160 nautical miles to the south-east in search for the cruiser but were unable to find it by 1340.
Rear Admiral Takagi recognised that the enemy cruisers had fled along the coast near Celebes Island244 into the Moluccas or Makassar Straits but judged that there was still a possibility of a surprise attack on Davao, and that the US surface forces that had sailed from Manila Bay on the 23rd of December might counter-attack our Jolo convoy in response to this. For this reason, Rear Admiral Takagi ordered the Heavy Cruisers NACHI and HAGURO to continue their current duties, while he himself led the Heavy Cruiser MYOKO to reverse course and head for Jolo to support the 5th Surprise Attack Force.
At 1430, the 4th Aircraft Carrier Division launched 3 more search planes to search the western Celebes Sea but found no cruisers. On the way back, they discovered a large cargo ship 150 nautical miles south of Jolo Island, which they attacked and set ablaze. Heavy Cruisers NACHI and HAGURO also launched 2 more seaplanes to search for 150 nautical miles the eastern Celebes Sea and the Molucca Sea but found no enemy contacts. At 1630, the Flying Boat that reported the discovery of the US cruiser also reported that it had lost sight of the cruiser, and the Flying Boat from Legazpi base, which scouted the Sulu Sea, failed to find the US surface forces.
Rear Admiral Takagi judged that the US cruisers had already fled out of the search range of our aircraft but ordered the Heavy Cruisers NACHI and HAGURO to continue to keep a watch on the sea south of Davao. However, the 4th Aircraft Carrier Division had about 30% of fuel remaining, so was ordered to leave the area after 1800 and replenish in Palau. The Aircraft Carrier RYUJO left the area at 1900 and arrived in Palau on the 26th.
Assault on Jolo (77-102-106-108-115)
On the afternoon of the 23rd, the 5th Surprise Attack Force, having been touched by a Flying Boat, continued its advance on high alert. According to reconnaissance by JINTSU aircraft that day, no naval vessels or aircraft were seen on Jolo Island, and although there were 3 small steamers and a number of fishing boats in the harbour, there were no unusual circumstances in the vicinity of Jolo City.
On the 24th, 1013, Rear Admiral Tanaka received a report of the discovery of an enemy cruiser from a Flying Boat of the TOKO Naval Air Group, and ordered that if a cruiser appeared, the Light Cruiser JINTSU and the 15th Destroyer Division should take it, and the convoy should be escorted by 2 Patrol Boats to retreat to the north. The 11th Seaplane Tender Division scouted Zamboanga, Jolo Island, Sulu Sea and Moro Bay with 8 aircraft that day, and sighted 1 large aircraft at Jolo Airfield. In addition, the 4th Aircraft Carrier Division conducted an all-out search for cruisers, so a total of 18 aircraft of the 11th Seaplane Tender Division (3 aircraft in 1 straight line245) carried out direct fleet operations that day.

At 0800, the 1st Echelon was following the 2nd Echelon. At 1845, the 1st Section of the 15th Destroyer Division detached to sweep and keep watch at the anchorage, and Captain Torajiro Sato, in command246, reported the following at 2200:
We have not seen any enemy forces near the landing point.
No enemy soldiers seen near the landing point, white sand on the beach.
The convoy arrived at Anchorage nº 1 between 2335 and 2350, an hour ahead of schedule.
On the 25th, the Matsumoto Detachment landed on the west coast of Kaunayan at 0120, eliminated some resistance and at 0600 occupied Jolo Airfield and at 0800 Jolo City. 1 Platoon of the 1st Kure SNLF, which landed following the Matsumoto Detachment at 0210, also advanced onto the airfield by 0900, and the 3rd Naval Construction Group also landed and began to prepare the airfield.
The Matsumoto Detachment continued to sweep the area. The garrison consisted of about 200 soldiers, about half of whom were killed in action. However, the Moro (natives of the area) had a strong sense of defiance and resisted with bamboo spears and hunting rifles but were later subdued when the chief was subdued. Rear Admiral Tanaka reported the following at 1201:
1 0900 Army Forces have secured the Jolo airfield, with the enemy remaining to be cleaned up.
2 Runway runs east-west, approximately 150 meters wide and 1,000 meters long, with many drum cans on site, expected to take half a day to clean up, airfield ready for immediate use.
The Auxiliary Transports moved from the 1st Anchorage and anchored near the pier at Jolo Harbour, at the 2nd Anchorage, and in turn laid alongside the pier to hasten the landing, while the escorts began to guard the area.
Meanwhile, on the morning of the 25th, the Seaplane Carrier CHITOSE anchored in Pata Bay in the southern part of Jolo Island247 and conducted search operations on the sea in the vicinity with a total of 35 seaplanes and conducted anchorage vigilance and land warfare cooperation. 4 Mitsubishi F1M observation seaplanes and 2 Type 94 Kawanishi E7K reconnaissance seaplanes attacked and burned 1 transport ship and destroyed 1 flying boat, which were found at sea, south of Jolo Island. 2 observation planes on overnight alert also repelled one incoming flying boat. On the same day, 4 Land Based Attack Aircraft of the Kanoya Naval Air Group carried out attacks within the 200°~245°, 650 nautical mile radius of Peleliu Naval Air Base, and 6 Flying Boats from Davao carried out attacks in the Celebes Sea and Molucca Sea but did not get any enemy contact.
243I could not find this position. This might be a specific point on the Japanese maps where several points have code names so that if communications are intercepted, they cannot be understood. The exact position is revelled in the next paragraph.
244Today known as Sulawesi Island
245I’m understanding this as a 3 seaplanes making the same path (a straight line) at regular intervals.
246(43rd Class) and Commander of the 15th Destroyer Division.
247In Pata Island, in front of Tutu Bay at Jolo Island.
In addition, 9 Zero fighters and 1 land based reconnaissance aircraft of the TAINAN Naval Air Group and 6 Land Based Attack Aircraft of the TAKAO Naval Air Group advanced from Taiwan to Davao on the 25th of December with the objective of advancing to the Jolo Base.
Rear Admiral Takagi then ordered the Heavy Cruiser HAGURO to Palau for supply on the 25th, at 1200, and the Heavy Cruiser NACHI to join forces, as he had no information on the US surface forces. At 1600, the Heavy Cruisers NACHI and MYOKO join forces.
From 0805 on the 26th, 4 Zero fighters began an air patrol over Jolo, and on the same day, 9 Zero fighters and 4 Land Based Attack Aircraft advanced to the Jolo airfield.
The Navy Auxiliary Transports were expected to be late in unloading due to the large number of different types of cargoes on board. For this reason, Rear Admiral Tanaka had the Destroyer OYASHIO escort the Army Auxiliary Transport YAMAZUKI MARU (982) to Davao at 1530. The Heavy Cruisers MYOKO and NACHI stopped supporting operations on the same day and headed for Davao at 1800, as they had 30 per cent of fuel remaining.
The Seaplane Carrier CHITOSE continued to search for enemies around the port area and to keep vigil over the anchorage on the same day. At dusk, a Flying Boat attacked the port, and observation seaplanes pursued it, but were unable to catch it.
At 2100, the 11th Air Fleet Headquarters received a report from the Destroyer OYASHIO that 16 aircraft had attacked that evening. The Seaplane Carrier CHITOSE rapidly sailed out of Pata Bay during the night and followed the Destroyer OYASHIO. Later, this telegram was found to be a false alarm, but the Seaplane Carrier CHITOSE continued operations from the sea.
At 0710 on the 27th, 6 flying boats attacked the anchorage and bombed the Auxiliary Transports. However, there was no damage. 6 Zero fighters immediately attacked them and shot down 4. The destroyer caught and questioned 2 of the crew members who had parachuted in and found that the flying boat belonged to the US Navy's 10th Patrol Squadron. It was found that 28 PBY flying boats of the 10th Patrol Squadron were in the Manila Bay area at the beginning of the war, but that the remaining 9 aircraft then retreated to Surabaya, then advanced to Menado on the 25th, and that 6 aircraft had left Menado on the 26th in an attempt to attack our forces at Jolo.
The Matsumoto Detachment generally completed its sweep of the island on this day. Rear Admiral Tanaka ordered 2 Patrol Boats to guard Auxiliary Transports EIKO MARU nº 2 GO (47587) and the KOSHIN MARU (30415) and left Jolo for Davao at the head of Light Cruiser JINTSU with the 15th Destroyer Division at 1900.
The unloading of the Auxiliary Transports EIKO MARU nº 2 GO (47587) and KOSHIN MARU (30415) was unexpectedly delayed and was not completed until the evening of the 2nd of January 1942. Patrol Boats PB-36 and PB-37 escorted both Auxiliary Transports and left Jolo for Davao at 1830 on the same day, thus completing the Jolo campaign.
The Jolo airfield thus occupied, contrary to expectations, had only 1 sloping runway, its length was insufficient for the full width of a land based attack force and its space was insufficient for the deployment of a large force. However, the capture of Jolo and Davao prepared the way for the air force's eastward advance in the Dutch East Indies Campaign.

1 Transition to the 2nd phase of operations
Announcement of the Combined Fleet's redeployment (62-77)
The 2nd phase of the 1st stage of operations, as stipulated in Combined Fleet Order nº 1, was scheduled from the landing of the invasion of the main Army Force at the Philippines to the completion of the landing of the British Malay invasion army's main force.
Among the scheduled landing dates agreed upon by the 14th Army and the Philippines Seizure Force before the war began were the 22nd of December for Lingayen Gulf, the 24th of December for Lamon Bay, the 14th of December for Davao and the 21st of December for Jolo. These landing dates were postponed to the 20th of December for Davao and the 25th of December for Jolo, following the aforementioned process. However, the Philippine operation since the outbreak of the war had proceeded more smoothly than expected, and the main forces of the 14th Army succeeded in landing safely as scheduled, and the scheduled landing operations were all but completed with the landing at Jolo on the 25th of December.
On the 25th of December, the Combined Fleet Headquarters, which had confirmed the smooth progress of the operation, issued a letter under the name of the Chief of the Naval General Staff, stating that the following were the results of the landing operations.
On the 26th of December, 1200, the 2nd phase of operations is scheduled to be launched and the following orders were issued:
1st Stage of Operations, 2nd Phase, Forces Headquarters
The outline of the forces of the Southern Force in the 1st phase of the first stage of the second phase of the military force divisions, as set out in the classified Combined Fleet Order No. 1, was as follows:
1 Force Composition
The Philippine Seizure Force set out in the 1st phase of Operations was only to remain partly with the same forces and it’s the Main Body of was to be the Dutch East Indies Seizure Force. Other Forces are generally the same as in the first phase.
2 Main Mission
A) Continuation of the 1st phase of operations and expansion of the war effort
B) Sea escort and naval assault support for the main Army forces attacking Malaya
C) Capture of key areas in the Dutch East Indies
D) Occupation of the Philippines and defence of key areas 3 Operational procedures
A) Organise the operational forces on the Philippines and redeploy to the Dutch East Indies offensive formation, and promptly reinforce the destruction of air power and naval vessels in the Malaya and Dutch East Indies areas.
B) Some of the submarines and minelaying vessels will advance to the southern part of the Dutch East Indies and South of Java to carry out surveillance attacks on naval vessels, destroy maritime traffic and lay mines.
C)Key areas in the Dutch East Indies will be successively attacked under the promotion of air power. (Details omitted)
In other words, with the activation of the 2nd phase of the Combined Fleet's force deployment, the Philippine Operation was largely over as far as naval operations were concerned, and the main thrust of the operational forces was to be moved on to the next operation: the Dutch East Indies invasion.
Southern Force (77-78-81-107-123-135)
Earlier, the Commander of the Southern Force, Vice Admiral Kondo, had already issued the following measures in preparation for the next phase of the operation:
23rd of December 1941:
The Battleship HARUNA, the 1st Section of the 6th Destroyer Division (Destroyers HIBIKI and AKATSUKI) and the 8th Destroyer Division are formed into an Eastern Support Group248 to support the Philippine and Dutch East Indies Seizure Forces under the command of the Captain of the Battleship HARUNA, Captain Takama Tamotsu. This Eastern Support Group had been planned before the war started, but in response to the situation of the reinforcement of the British Fleet in the Malayan area, it was incorporated into the Main Body of the Southern Force, as mentioned above. However, the main British fleet was destroyed, so the Eastern Support Group was reorganised based on the original plan.
25th of December 1941:
1 The 5th Destroyer Squadron was transferred from the Philippine Seizure Force to the Malaya Seizure Force.
This was a measure to escort the Main Convoy of the 25th Army from Mako to the east coast of Malaya but was not stipulated in the classified Combined Fleet Order nº 1 and was a unique assignment for the Southern Force. The details of this process are discussed below.
2 The Heavy Cruiser MAYA is transferred from the Philippine Seizure Force to the new Eastern Support Group.
26th of December:
Together with the announcement of the 2nd phase of the Combined Fleet deployment forces, Vice Admiral Kondo also ordered the 2nd phase of deployment to be activated for the Southern Force on the same day, and at the same time ordered the following changes to the force assignments:
1 Reinstatement of the 5th Submarine Squadron to the Submarine Force of the Southern Force.
The squadron, which had been incorporated into the Malaya Seizure Force during the 1st phase of the campaign, was returned to the assignment in the original plan, as was the Eastern Support Force.
2 Redeployment of the 4th Aircraft Carrier Division from the Philippine Seizure Force to the Main Body of the Southern Force.
The 4th Aircraft Carrier Division, which had completed Jolo Operation, was to be diverted to operations in the Malayan area as per the original plan, and the right measures were taken.
248See footnote 207.
Having approved the outline of the naval operation to advance to the Philippines, Vice Admiral Kondo ordered the following on the 27th in order to extend the war results:
Southern Force Headquarters Order nº 37
1. The US Philippine Forces will soon be fugitives from the Philippines Islands area.
2 Air units are to continue the searching for the enemy and attack him in the Philippines.
3 Units are to respond to the attack by strangling enemy vessels in the vicinity of your position and capture and destroy them.
4 Depending on the situation, the Heavy Cruiser TAKAO and 2 destroyers will advance in the direction of the Spratly Islands (west of Palawan Island) and act to strangle the enemy's southern retreat.
Philippine Seizure Force (77-102-105-108-125-133-136)
Vice Admiral Takahashi, Commander of the Philippine Seizure Force, issued the redeployment of forces to the 2nd phase of the operations on the 28th of December. With the activation of this new phase, a large part of the existing Philippine Seizure Force became the Dutch East Indies Seizure Force, while a part of it continued to be engaged in the Philippine Operation as the New Philippine Seizure Force. The units were as follows:
Eastern Philippine Force
Commander: Rear Admiral Naosaburo Irifune, Commander of the 32nd Special Base Forces
Strength
32nd Special Base Force
Part of the 1st Kure SNLF
1st Gunboat Division (Auxiliary Gunboats KEIKO MARU (44743), MYOKEN MARU (45197), KANKO MARU (44751) and BUSHO MARU (T454))
51st Subchaser Division (Auxiliary Subchasers KYO MARU nº 12 (47659) and KYO MARU nº 13 (47660) and Auxiliary Netlayer TOKO MARU nº 1 GO (44855))
4 seaplane reconnaissance aircraft Western Philippine Force
Commander: Captain Teto Goro249, Commander of the 2nd Navy Defence Force Strength
Part of the 2nd Navy Defence Force
3rd Gunboat Division (Auxiliary Gunboats NAMPO MARU (46423), KISO MARU (37489), ASO MARU (37491))
53rd Subchaser Division (Auxiliary Subchasers KYO MARU nº 2 (45132) and KYO MARU nº 11 (45199) and Auxiliary Netlayer KOREI MARU (45717))
Part of the 2nd Navy Communication Unit
Among the forces of the Eastern Philippine Force, the 32nd Special Base Force and part of the 1st Kure SNLF had been in the Davao area since its invasion . The 1st Gunboat Division and the 51st Subchaser Division were previously part of the 1st Base Force, and after participating in the Lamon Bay landings, the 1st Gunboat Division advanced to Davao via Palau on the 8th of January 1942 and the 51st Subchaser Division via Takao on the 12th of January respectively. The 4 seaplane reconnaissance aircraft were units diverted from the 16th Naval Air Group of the 3rd Base Force in Palau to the Philippine Seizure Force. In other words, the Combined Fleet Headquarters transferred 4 seaplane reconnaissance aircraft from the 16th Naval Air Group to the Philippine Seizure Force for the time being in order to provide warning in the Davao area, and Vice Admiral Takahashi transferred them to the Eastern Philippine Force on the 27th and ordered them to advance to Davao as soon as possible. A new naval air group was to be formed with this seaplane reconnaissance aircraft as its core.
The units of the Western Philippine Force were all units previously attached to the 2nd Base Force. These units were engaged in the defence of Lingayen Gulf following the Lingayen Gulf landings. Furthermore, on the 31st of December, the 17th Minelayer Division (Minelayer ITSUKUSHIMA and Auxiliary Minelayer TATSUMIYA MARU (44853)) was incorporated into the Western Philippine Force, and Rear Admiral Kobayashi, Commander of the 17th Minelayer Division, was ordered to command the Western Philippine Force.
Prior to this, Vice Admiral Takahashi (who was to become the commander of the Dutch East Indies Seizure Force) had already indicated on the 19th of December the procedure for the advance of various units into Davao in preparation for the next Dutch East Indies Campaign. The units of the Philippine Seizure Force, which had completed operations in various regions, advanced to Davao one after another from late December to early January, as follows:
5th Cruiser Division: On the 31st of December (HAGURO on the 30th of December) 2nd Destroyer Squadron (missing the 8th and 18th Destroyer Divisions)
JINTSU, 15th Destroyer Division: On the 29th of December (OYASHIO on the 27th of December)
1st Section of the 16th Destroyer Division: On the 29th of December 2nd Section of the 16th Destroyer Division: On the 20th of December
4th Destroyer Squadron (missing the 4th Destroyer Division)
NAKA, 2nd Destroyer Division, 9th Destroyer Division: On the 2nd of January 24th Destroyer Division: On the 4th of January
11th Seaplane Tender Division
Seaplane Carrier CHITOSE: On the 27th of December; Seaplane Carrier MIZUHO: On the 2nd of January
17th Minelayer Division (Auxiliary Minelayer TATSUMIYA MARU (44853) absent) Minelayer ITSUKUSHIMA: On the 1st of January
YAEYAMA: On the 1st of January, 3rd of January Lingayen Gulf round trip from Davao250
12th Seaplane Tender Division
Auxiliary Seaplane Carrier SANYO MARU (36117): On the 5th of January
Units of the 1st and 2nd Base Forces, other than the Davao invasion force, also advanced to Davao from the end of December to early January.
Vice Admiral Takahashi led the 16th Cruiser Division (missing the NAGARA), and left Takao on 2nd of January and advanced to Davao on the 6th of January. NAGARA advanced to Davao on 2nd of January after completing the Lamon Bay landings.
The anchorage in Davao was mainly at Malalag Bay, partly in Davao Harbour and north-west of Samal Island. Vice Admiral Takahashi ordered Rear Admiral Tanaka, commander of the 2nd Destroyer Squadron, to take control of Davao's security and anchorages. This narrow Malalag Bay and the sea around Davao City was filled with numerous vessels from the end of December, adding further concerns about air raids.
249Can also be spelled as Tedo Goro.
250The text it’s not very clear in these part but according with the YAEYAMA TROM at combinedfleet.com, the Yaeyama arrives at Malalag Bay, in the Davao Gulf on the 1st of January, 1430. On the 2nd Of January, at 1530, departs Malalag for Davao arriving at Davao at 1800. On the 3rd of January, 1900, departs for the Lingayen Gulf where it will arrive on the 8th of January at 1320.
Southern Force Air Force (11th Air Fleet) (35-77-83-105)
On the 26th of December, when the 2nd phase of the Combined Fleet's operational force structure came into effect, the Southern Force Air Forces were deployed as follows:
11th Air Fleet Headquarters: Takao
21st Naval Air Flotilla Headquarters: Peleliu Naval Air Base
KANOYA Naval Air Group Detachment: Peleliu Naval Air Base 1st Naval Air Group: Tainan
TOKO Naval Air Group: Davao and Palau
23rd Naval Air Flotilla Headquarters: Takao
TAKAO Naval Air Group: Takao
TAINAN Naval Air Group
Main Force: Tainan
13 Zero fighters, 2 land-based reconnaissance aircraft: Legazpi
9 Zero fighters, 1 land-based reconnaissance aircraft: Jolo 3rd Naval Air Group
Main force Takao
22 Zero fighters, 3 land-based reconnaissance aircraft: Davao Peleliu Detachment
13 Type 96 fighters: Peleliu Naval Air Base 1001st Naval Air Group251
Transport aircraft Unit: Kagi252
1st Yokosuka SNLF (embarked on Auxiliary Aircraft Transport KAMOGAWA MARU (44513)), proceeding from Takao to Davao
3rd Yokosuka SNLF: Kagi
According to pre-war plans, half of the TAKAO and TAINAN Naval Air Groups were to move into Miri and Kuching airfields in British Borneo following their occupation. Miri Airfield and Kuching Airfield were occupied on 16 December and 25 December respectively, with the cooperation of the Malaya Seizure Force and the Army's Kawaguchi Detachment. However, earlier, Vice Admiral Tsukahara judged that, in view of the war situation in the Malayan area, it was no longer necessary to reinforce air power in that area, and around the 20th of December he cancelled the 2 units' advance to the North Borneo base and requested the Combined Fleet via the Southern Force that the 2 units operate in the Dutch East Indies area, and this change of plan was approved.
In a report on the 16th of December, 11th Air Fleet Headquarters reported that fighter aircraft and flying boats were scheduled to advance to Davao on the 21st of December, and land attack aircraft on the 27th of December. It was also planned that part of the TAINAN and TAKAO Naval Air Groups land attack aircraft would also advance to the Jolo base as soon as possible. As mentioned above, part of the flying boats of the Toko Naval Air Group and part of the fighters of the 3rd Naval Air Group advanced to Davao on 22nd and the 23rd of December, respectively, and part of the fighters of the TAINAN Naval Air Group also advanced to Jolo on the 26th of December. However, Davao Airfield could not be used by the Land based attack aircraft under the conditions of the 25th, except under light loads, and Jolo Airfield, contrary to expectations, was too small to be used in its full width by the Land based attack aircraft. Because of such conditions at both bases, the 11th Air Fleet was unable to move enough troops into Davao and Jolo to launch a full-scale operation against the Dutch East Indies and had to leave most of its forces at the rear bases.
Meanwhile, the land operations on Luzon were progressing well, but Manila had not yet fallen and Manila Bay had not yet been opened. Therefore, the air force still had operations in the rear to keep an eye on the remaining naval vessels and to attack enemy fortifications near the mouth of Manila Bay.
In view of the situation, Vice Admiral Tsukahara postponed the issuance of the 2nd phase of operational deployment of the 11th Air Fleet forces until 2 January, and also set the immediate operational policy as follows.
1 To promote the development of Davao and Jolo airfields, to advance the land based attack aircraft force as soon as possible, and to commence air operations against the Dutch East Indies.
2 The units at Taiwan Air Bases will continue the attack on the ships in Manila Bay, the Bataan Peninsula and Fort Corregidor Island.
3 Fighter units at Legazpi, Davao and Jolo airfields will thoroughly sweep US air forces in the Central and Southern Philippines areas and prevent counterattacks by Allied air forces from the Dutch East Indies sector.
2 Operational Activities of the various forces
Southern Force Air Forces (11th Air Fleet) (81-83-102-115)
Until the 28th of December, the TAKAO and the 1st Naval Air Groups at Taiwan Naval Air Bases mainly attacked ships in Manila Bay in support of the 14th Army's attack on Manila. As the US and Philippine forces retreated to the Bataan Peninsula and Corregidor Island, Vice Admiral Tsukahara ordered mainly the TAKAO Naval Air Group to attack Corregidor Island and the 1st Naval Air Group to attack the Bataan Peninsula.
For a summary of the attacks by both units see Table 34.
In other words, from the 25th of December to the 24th of January, the TAKAO and 1st Naval Air Groups, with a total of 583 land based attack aircraft and about 410 tons of bombs, attacked ships in Manila Bay, the Bataan Peninsula and Corregidor Island, and achieved significant results. In late January, part of the 1st Air Assault Force253 advanced to Nichols Airfield.
Meanwhile, the 11th Air Fleet Headquarters advanced to Davao on the 7th of January, and the 23rd Naval Air Flotilla Headquarters advanced to Jolo on the 3rd of January. In addition, 23 land based attack aircraft of the TAKAO Naval Air Group advanced to the Jolo airbase from the 2nd until the 8th of January. The Air units based at Taiwan Naval Air Base's ceased the Philippine Operation on the 24th of January, and thereafter concentrated all their efforts on the Dutch East Indies Operation.
2511001st Naval Air Group was part of the 21st Naval Air Flotilla and not the 23rd.
252Kagi is the Japanese name for the Chiayi Town in Taiwan.
253See Table 20


The Legaspi detachment of the TAINAN Naval Air Group continued its attack on the Central and Southern Philippines. The TAINAN Naval Air Group operations after 26 December were as follows:
26th of December 1941:
5 Zero fighters on alert over Lamon Bay.
28th of December 1941:
4 Zero fighters attacked Nichols and other aircraft (15 aircraft caught fire, 7 destroyed).
29th of December 1941:
7 Zero fighters attack airfields in the Central Philippines area.
30th of December 1941:
5 Zero fighters on alert over Lamon Bay.
31st of December 1941:
5 Zero fighters on alert over Lamon Bay.
1st of January 1942:
7 Zero fighters on alert over the Lamon Bay.
2nd of January 1942:
7 Zero aircraft on alert over Lamon Bay.
3rd of January 1942:
7 Zero aircraft on alert over Lamon Bay.
5th of January 1942:
10 Zero fighters attack Mariveles and Mindoro Island bases (2 P-40s shot down, 1 Seaplane reconnaissance destroyed, 3 Seaplanes destroyed, 1 Flying Boat destroyed).
6th of January 1942:
5 Zero fighters attack Manila area.
2 Zero fighters take air cover over the Auxiliary Aircraft Transport KAMOGAWA MARU (44513).
During this period, 16 Land based Reconnaissance aircraft scouted various locations in the Central and Southern Philippines area. 7 Zero fighters and 2 land based reconnaissance aircraft of the detachment254 moved to Jolo Airbase on the 7th of January. From the 14th of December until the 6th of January, the TAINAN Detachment with a total of 185 Zero fighters and 26 land reconnaissance sorties supported the invasion operation by keeping a watchful eye on the anchorage areas, and also thoroughly sweeping the airfields in the Central and Southern Philippines to wipe out the remaining enemy aircraft. During this time, more than 60 aircraft were destroyed and set ablaze, and the Tainan Detachment suffered damage to 5 Zero fighters, including an accident. Vice Admiral Tsukahara awarded the Detached Unit a letter of commendation for its contribution to the operation with a small number of aircraft.
The status of each of the Naval Air Groups advancing into Davao was as follows:
3rd Naval Air Group:
23rd of December: 11 Zero fighters, 2 land-based reconnaissance aircraft. 25th of December: 11 Zero fighters, 1 land-based reconnaissance aircraft. 29th of December: 31 Zero fighters, four land-based reconnaissance aircraft.
KANOYA Naval Air Group:
28th of December: 10 land based attack aircraft. 5th of January: 17 land based attack aircraft.
TOKO Naval Air Group:
22nd of December: 9 flying boats. 29th of December: 9 flying boats. 29th of December255: 1 flying boat.
The 21st Naval Air Flotilla Headquarters also advanced to Davao on the 27th of December. The 3rd Naval Air Group began air operations against the Dutch East Indies with an attack on the Menado area by 6 Zero fighters on the 26th of December. The units at Davao Air Base also carried out patrols in the Davao area and swept Central and Southern Philippines airfields and shipping in conjunction with the attack on the Dutch East Indies.
For a summary of the attacks on various parts of the Philippines after the 25th of December by both units see the following Table 35.
254The TAINAN Naval Air Group had a detachment at Legazpi
255On the original the 29th of December repeats twice


The 3rd Naval Air Group conducted air patrols over Davao with a total of 358 Zero fighters sorties from the time the Air Group advance into Davao until the end of January. During this period, it shot down 1 P-40 on the 24th of December, 1 of 4 B-17s that attacked on the 25th of December, and 1 P-40 on the 31st of December. On the 4th of January, 8 B-17s attacked and Heavy Cruiser MYOKO was hit by a direct hit, but due to bad weather at the time, Zero fighters did not carry out overhead patrols.
With the capture of the key areas in the Dutch East Indies, 10 Zero fighters and 1 land based reconnaissance aircraft advanced to Kakas Air Base near Menado on the 12th of January 1942, 28 Zero fighters and 4 land based reconnaissance aircraft on the 14th of January, and 9 Zero fighters and 2 land based reconnaissance aircraft on the 22nd of January, with the remaining aircraft having already advanced to the Dutch East Indies base by the end of January. Therefore, the 3rd Naval Air Group operations in the Philippines were all completed by the end of January.
The KANOYA Naval Air Group also advanced from Davao to Kakas base on the 21st of January with 10 land based attack aircraft and the remaining 20 aircraft on the 24th of January, and thereafter devoted its full strength to the Dutch East Indies campaign.
In addition to the above, the TOKO Naval Air Group was also engaged in the search and attack operations in the Dutch East Indies area, beginning with the advance of 8 aircraft to Menado on the 17th of January, after which they moved on to the Dutch East Indies campaign.
The 21st Naval Air Flotilla Headquarters also advanced to Menado on the 16th of January. The following shows the status of each unit that advanced to the Jolo Airbase:
TAINAN Naval Air Group:
26th of December: 9 Zero fighters, 1 land based reconnaissance plane. 29th of December: 8 Zero fighters, 1 land based reconnaissance plane. 2nd of January: 17 Zero fighters, 1 land based reconnaissance plane.
7th of January: 7 Zero fighters, 2 land based reconnaissance planes.
TAKAO Naval Air Group:
2nd of January: 4 land based attack aircraft. 6th of January: 6 land based attack aircraft. 8th of January: 11 land based attack aircraft.
The Jolo Air Base Air Forces conducted patrols over Jolo and the following attacks on various places in the Philippines, as well as the main force in the Dutch East Indies Operation:
1st January 1942:
8 Zero Fighter and 8 land based reconnaissance planes attacked Puerto Princesa wireless telegraph station, and 7 Zero Fighter aircraft attacked Zamboanga Airfield.
5th of January 1942:
6 Zero Fighter aircraft attacked Puerto Princesa.
10th of January 1942:
10 Zero fighters and land reconnaissance aircraft attack Cebu and Iloilo.
23rd of January 1942:
3 Zero Fighter attack Bacolod and Cebu.
The TAKAO Naval Air Group Land based Attack Aircraft concentrated all its efforts on the Dutch East Indies operation and did not carry out the attack on Philippine Islands. Both units successively moved to the bases of Tarakan and Balikpapan when they were occupied.
Southern Force Submarine Force (81-141-142) (see illustration nº 19)
The Southern Force Submarine Force for the 1st phase of operations consisted only of the 6th Submarine Squadron (missing the 13th Submarine Division), namely the flagship Submarine Tender CHOGEI and the 9th Submarine Division (submarines minelayers I-123 and I-124). The operational instructions ordered by the Southern Force were as follows:
1 Mission:
A) Patrol and monitor key areas and waterways in the Philippines, attack ships and lay mines.
B) Rescue of crash-landed aircraft crews.
C) Air weather reporting.
D) Cooperation in the Battle of Philippine Islands operations.
2 Operational instructions:
A) Deploy each submarine covertly to various parts of the Philippine Islands by X Day.
B) Submarines deployed to Manila Bay will surface from 0730 to 0830 on the first day of the air raid on the Philippines and will be assigned to the recovery of crash-landed aircrews.
X-2 Day, if a cruiser is anchored in Manila Bay, 5 nautical miles southwest of Lubang Island (40 nautical miles southwest of Manila Bay), or 15 nautical miles west of Point Botolan (south of Iba) if no cruiser is anchored.
Upon receiving the aforesaid orders from the Southern Force Headquarters, Rear Admiral Kono Chimaki, Commander of the 6th Submarine Squadron, established the following operational instructions for each submarine:
1 Each submarine will act in accordance with the orders of the Southern Command after the outbreak of war.
2 After the X+3 Day, each submarine will, depending on the situation, search southwards through the Sulu Sea, then through the Basilan and Sibutu Straits to the Celebes Sea, and replenish at Davao.
3 Deployment points are Manila Bay entrance for submarine I-124 and Balabac Strait (between Borneo and Palawan Island) for the submarine I-123.
The submarine force advanced to Sanya on the 27th of November to prepare for operations, and both submarines sailed from Sanya on the 1st of December. Submarine I-124 set 39 mines outside Manila Bay and continued to watch for passing ships and to observe and report air weather. On the 10th of December at 0100, she torpedoed and sunk 1 of 2 transports256being escorted out, but her engine broke down and she returned to Camranh Bay on the 14th of December.
The Submarine I-123 was also disabled due to a lateral rudder failure. However, she arrived at the Balabac Strait on a surface run, laid 40 mines and returned to Camranh Bay on the 9th.
Meanwhile, the 6th Submarine Squadron's 13th Submarine Division (Submarines I-121 and I- 122), which had been assigned to the Malaya Seizure Force, returned to Camranh Bay between the 12th and the 14th of December after completing operations in the Singapore area and was ordered to return to the original squadron on the 15th of December.
Rear Admiral Kono ordered that the malfunctioning submarines be urgently repaired and that each submarine should scout the Sulu Sea and then advance to Davao. The ships operated as follows:
Submarine I-121:
Departed from Camranh Bay on the 17th of December, and from the 21st of December, was assigned to the outer patrol area of Manila Bay, and arrived at Davao on the 27th of December after passing through the Mindoro Strait and the Sulu Sea.
Submarine I-122:
Sailed from Camranh Bay on the 18th of December, scouted the Balabac Strait, Puerto Princesa and Mindanao Sea arriving at Davao on the 27th of December.
Submarine I-123:
On the 15th of December, she sailed from Camranh Bay and headed south, and on the 18th of December, in the Karimata Strait (between Borneo and Sumatra), she discovered and attacked a merchant ship, but was unsuccessful. Early in
the morning of the 23rd, she reached outside Surabaya Harbour and laid 37 mines. On the same night, she found a strong force including aircraft carriers and reported: '2 aircraft carriers with four direct escorts are in sight, at 50°, 100 nautical miles from Surabaya, bearing 0°, speed 12 knots, and due to poor visibility we lost sight of the enemy'. She arrived at Davao on 31 December.
Submarine I-124:
Departed Camranh Bay on the 18th of December, switched places with submarine I-121 outside Manila Bay on the 22nd of December, and continued patrols until the 27th of December, arriving in Davao on the 31st of December.
256According with the I-124 TROM at combinedfleet.com, the victim was the British Steamer HARELDAWINS (ex- HARELDA) en route from Hong Kong to Singapore. The master of the steamer is taken POW. The given hour for the attack is 0430 and not 0100, but this could be simply the difference between local and Tokyo Time.

The submarine force's 2nd patrol was unsuccessful, apart from the laying of mines outside Surabaya Harbour. Rear Admiral Kono left Camranh Bay on the 17th of December with the Submarine Tender CHOGEI and, after resupplying at Mako advanced to Davao on the 31st of December. The entire force of the Southern Force Submarine Forces, including the 5th Submarine Squadron, which had rejoined, assembled in Davao to prepare for the next Dutch East Indies Campaign.
3 The formation of the 3rd Southern Expeditionary Fleet and the end of the Philippine Campaign
Formation of the 3rd Southern Expeditionary Fleet (66)
On the 3rd of January 1942, the 3rd Southern Expeditionary Fleet was newly formed as a result of a partial revision of the Combined Fleet Wartime Formation. (The previous Southern Expeditionary Fleet was renamed the 1st Southern Expeditionary Fleet257).
257The Southern Expeditionary Fleet had been created for the occupation of French Indochina in 1941.
The fleet was formed with small units based on the Light Cruiser Kuma, the Minelayer YAEYAMA, the 31st Special Base Force and the 32nd Special Base Force, and under the command of the Commander of the Southern Force, its main missions were to conduct naval operations in the Philippine Islands area, protect naval shipping lines, and in cooperation with the Army, to sweep the remaining enemies in the Philippine Islands and guard key areas. With this reorganisation, the Dutch East Indies and Philippine Islands Forces were clearly independent and reported directly to the Commander of the Southern Force, allowing them to concentrate on the Dutch Indies and Philippine Islands operations, respectively.
Vice Admiral Sugiyama Rokuzo, who was appointed Commander of the 3rd Southern Expeditionary Fleet, ordered the units under his command to continue their current duties for the time being, and left Tokyo on the 5th of January, accompanied by some of his staff, and advanced to Manila immediately after the occupation on the 9th of January, establishing a command post on land.
Battle results, damage, etc. up to the conclusion of the naval operation
After completing all scheduled landings in various parts of the Philippine Islands with the attack on Jolo on the 25th of December, the Philippine Seizure Force began preparations for the Dutch East Indies invasion in late December, and the Submarine Force of the Southern Force also began preparations for the Dutch East Indies invasion at the end of December. In addition, the Southern Force's Air Units began the Dutch East Indies offensive with some units in late December, but due to a lack of airfield capacity, all air units could not be deployed for the Dutch East Indies offensive until February or later. From then on, the focus of the Philippines Campaign shifted to land operations, mainly the attack and defence of the Bataan Peninsula and Corregidor Island.
A numerical summary of the results, losses, etc. of the various units from the outbreak of the war to the completion of the Philippines invasion operation is as follows. However, although attacks were also carried out in the Dutch East Indies area during the period under review, only the Philippine Operation is described below, excluding the attack on the Dutch East Indies Sector:
1 Southern Force Air Forces (from the start of the war to the end of January): (77-115)
A) Attack:
Number of aircraft participating in operations:
Land Based Attack Aircraft: 1,262 in total (about 970 tons of bombs used).
Fighter Planes: 454 in total. Flying Boats: 38 in total.
Reconnaissance, reconnoitring, patrols:
Land Based Reconnaissance Aircraft: 64 in total.
Land Based Attack Aircraft: 122 in total (including transport aircraft). Carrier Based Fighter Aircraft: 736 in total.
Flying Boats: 180 in total.
Fleet direct escort:
Land Based Attack Aircraft: 30 in total.
Land Based Reconnaissance Aircraft: 11 in total.
Carrier Based Attack Aircraft: 42 in total. Flying Boats: 6 in total.
B) Damage:
The Air Force reported the following losses up to the end of December:
Crews: 4 groups of Land Based Attack Aircraft, 1 group of Transport Aircraft, 14 groups of Seaplanes and 2 groups of Flying Boats.
Aircraft: 10 Land Based Attack Aircraft, 24 Zero Fighters, 1 Transport Aircraft, 2 Flying Boats.
Subsequently, 2 Land Based Attack Aircraft were lost at the Philippines during January.
C) Results:
According to the reports of the air units, the overall results of the war from the beginning to the end of December were as follows:
1) Certain to be shot down and set ablaze (number of aircraft shot down):
143 (68) Fighter, 28 (0) Medium Aircraft, 39 (5) Large Aircraft,
24 (6) Flying Boat, 7 (0) Observation Aircraft, Total 251 (79).
2) Anti-Aircraft fire - wrecked or shot down uncertain:
72 Small Aircraft, 4 Medium Aircraft, 15 Large Aircraft, 3 Flying
Boats, 15 Observation Aircraft, Total 105.
3) Ships sunk or badly damaged by fire:
4 Destroyers, 4 Submarines, 24 Merchant Ships over 1,000 Tons, 2 Merchant Ships with less than 1,000 Tons.
4) Vessels destroyed:
1 Light Cruiser, 1 Destroyer, 2 Submarines, 21 Merchant Ships.
According to US military records, there were 265 aircraft of various types on the islands at the start of the war, of which about 27 B-17s and PBY-4s retreated to the Dutch East Indies and Australia, 5 of which were later shot down. There were no aircraft reinforcements, which means that approximately 250 US and Philippines aircraft were lost.
The losses to naval vessels were as follows:
Sunk: Submarine USS SEALION 258 and Submarine Tender USS CANOPUS259.
Damaged: Submarine USS SEADRAGON 260 , Destroyer USS Peary 261 , Minesweeper USS BITTERN262.
The results of ship attacks from the beginning of the war to the end of January were approximately 20 ships sunk and 50 ships damaged.
Air units also bombed air bases, military ports, port facilities, Bataan and Fort Corregidor in the Philippines, inflicting heavy damage.
2 Philippine Seizure Force (from the beginning of the war to the end of December)
A) Ammunition used by ships:
About 1,100 rounds for the main guns, 200 rounds of high-angle guns263, 31,500 rounds of machine guns, 320 depth charges and approximately 1,200 mines.
B) Seaplane Carriers and Aircraft Carriers: (115)
Seaplane carriers: about 600 aircraft 264 (bombs used: 240 - 60 kilograms).
Aircraft Carrier RYUJO: About 104 aircraft 265 (ammunition used: 1 torpedo, 13 - 250 kilograms, 140 - 600 kilograms and 13 - 700 kilograms incendiary bombs).
C) Damage:
Sinking: Minesweepers W-10 and W-19.
Damage: Light Cruiser NATORI, Destroyer YAMAGUMO (friendly mine accident).
Aircraft casualties: 180 persons approx.
Aircraft: approx. 6 (due to emergency landings, accidents, etc).
Other damage: The sinking of the Army Auxiliary Transports HAYO MARU (124)266 and of the TEIUN MARU (733) 267 in torpedoes attacks, and the minor damage of the Army Auxiliary Transport HAWAII MARU (832)268.
D) War results:
1) Sinking submarines: The Navy General Staff reported that "7 submarines were definitely sunk" based on reports from the Philippine Seizure Force, but according to US military data, not a single submarine was sunk.
2) Destroyed and sunk Captured vessels: approx. 20 vessels. 3 Southern Force Submarine Force:
A) 79 mines laid.
B) Damage: None.
C) Results: 1 merchant ship destroyed.
258USS SEALION (SS-195) was bombed on the 10th of December (2 direct hits) at Cavite Navy Yard. On the 25th of December she was scuttled to prevent her use by the Imperial Japanese Navy.
259USS CANOPUS (AS-9) was bombed on the 29th of December (1 hit) and on the 01st of January (1 hit) causing substantial damaged. On the 9th of April 1942 she moved to deep waters and was scuttled by her crew to prevent her use by the Imperial Japanese Navy.
260USS SEADRAGON (SS-194) was a sistership of the USS SEALION and was next to her when she was bombed on the 10th of December and was damaged by the explosion of the SEALION.
261USS PEARY (DD-226), on the 10th of December took 1 bomb forward which damaged the superstructure and stack and killed eight of her crew.
262The USS BITTERN (AM-36) was under repair on the 10th of December, and although not hit was severely damaged by the explosion of USS SEALION and scuttled to prevent her use by the Imperial Japanese Navy.
263These are the Dual Propose Guns (Anti-Aircraft and Anti-Surface).
264These is not the number of seaplanes, but probably the number of sorties.
265These is not the number of carrier based aircraft but probably the number of sorties.
End of the Naval Offensive Operations
The Main Body of the 14th Army, which landed at Lingayen Gulf and Lamon Bay, marched towards Manila in concert with the forces advancing from the East and West. Faced with a powerful attack by our forces, Lieutenant General MacArthur, Commander of the US Far Eastern Command, decided to avoid a decisive battle with our forces and withdraw all his forces to the Bataan Peninsula and Fort Corregidor Island to fight against us.
The 14th Army learnt that the leading units of the US and Philippine forces were moving towards the Bataan Peninsula, but the units marched towards Manila as planned, and within 10 days of the Main Body of the Army landing they had already occupied the capital, Manila by the 2nd of January. During this period, the US and Philippine forces withdrew to the Bataan Peninsula and Corregidor Island without suffering much damage.
The 14th Army immediately moved to attack the US-Philippine forces on the Bataan Peninsula. However, the resistance of the US and US-Philippine forces based on the natural defences and fortifications of Bataan was extremely stubborn, and despite more than a month's worth of forceful attacks by various units, our forces suffered continuous losses and failed to achieve their objectives. For this reason, the 14th Army decided to abort the attack on the 9th of February and plan for the aftermath.
The subsequent operational policy was a conflict between a plan to attack and a plan to blockade, but in the end it was decided to force the invasion. The 14th Army, which had replenished its losses and received reinforcements, proceeded with preparations for a full- scale attack on Bataan, and launched a general offensive by the 3rd of April. 8 days after the attack resumed, on the 11th of April, the US and Philippine forces on the Bataan peninsula under Major General Edward P. King surrendered. The 14th Army continued to prepare for the attack on Fort Corregidor, and on the 5th of May made a landing on the island, and on 7 May Lieutenant General Wainwright finally signed the unconditional surrender of all the US and US forces.
Thus, the US and Philippine forces at Bataan and Corregidor, which had boasted of their impregnability, surrendered in full in compensation for the hardships and heavy losses of the 14th Army. By this time, the key areas in the Central and Southern Philippines were also occupied, and the capture of all the Philippines had been completed.
The Philippine Naval Forces, under the command of the 3rd Southern Expeditionary Fleet, cooperated with the 14th Army in this operation with some reinforcements from other units, and was then engaged in the clearance of the Philippines Islands.
266Auxiliary Transport HAYO MARU (124) was sunk by the USS S-38 on the 21st of December at Lingayen Gulf
267Auxiliary Transport TEIUN MARU (733) was accidentally sunk after hitting a Japanese mine at Lingayen Gulf on the 1st of January 1942. Very close to the place where the YAMAGUMO also hit a Japanese mine.
268Auxiliary Transport HAWAII MARU (832) was bombed at Vigan on the 12th of December.
1 US strategy in the Far East after the outbreak of World War II
Outbreak of the War and the US
On the 1st of September of 1939, Germany invaded Poland, and on the 3rd of September 1941, the United Kingdom and France declared war on Germany, plunging Europe into the Second World War. However, after Poland was partitioned and occupied by both Germany and the Soviet Union, the war in Europe went on for a time without incidents.
On the 9th of April of the following year, Germany advanced into Norway and Denmark, and on the 10th of May began an offensive to the west. The British forces were defeated from Dunkirk, Italy declared war on Britain and France on the 10th of June, and France surrendered to Germany on 17th June. The situation in Europe changed rapidly over a period of 2 months. The US policy in dealing with the situation in Europe and the Far East was to give priority to the Atlantic, with the Pacific as secondary, and to remain neutral for the time being while striving to strengthen its forces and assist the British.
On the 26th of January 1941, President Roosevelt gave guidelines for the political and military strategy of the United States. This was an important document that laid down the basis for subsequent cooperation with the UK and the revision of the Rainbow Plan, the essence of which was as follows:
1 Analysis of the international situation:
A) It is possible that Germany and Japan will start war against the USA at the same time, but the timing cannot be measured.
B) Britain would be able to go to war for the next six months. Even if the UK is defeated, it will take another two months for Germany to attack the US. Therefore, the US has eight months to prepare for war.
2 Naval policy:
A)The Pacific Fleet will be based in Hawaii and will seek a posture for defensive operations in the Pacific.
B) The Asiatic Fleet's defence of the Pacific Islands is left to the discretion of the Commander of the Asiatic Fleet. No reinforcements will be sent to the Pacific Islands.
C) Examine the possibility of bombing Japanese cities.
D) Continue with fleet escorts and coastal patrols in the Atlantic.
Prior to this, the US and the UK had been discussing military co-operation between the 2 countries, and a meeting of the staffs continued in Washington for about 2 months from the end of January 1941. As a result of these talks, an ABC-1 report was submitted to the respective governments with the following summary:
1 Basic policy of the 2 countries:
A) Europe and the Atlantic Ocean to be the main theatre of war.
B) If Japan enters the war, the Pacific area will explore defensive operations for the time being.
2 Strategic policy:
A) The most important area to be secured by the US is the Western Hemisphere.
B) The UK homeland must always be secured.
C) Consider deployment of Commonwealth forces in the Far East to ensure the ultimate security of the Commonwealth.
D) Emphasis will be placed on the protection of Allied maritime traffic.
3 Policy of attack:
A) Blockade the Axis Powers by all possible means and destroy their military power by sustained air attack.
B) Italy is to be attacked at an early date.
C) Prepare troops for the final offensive against Germany and secure the necessary forward bases.
4 Outline of naval cooperative operations:
A) Expect US Navy cooperation in protecting ships in the Atlantic.
B) If Japan advances into Malaya and Dutch East Indies, the US Navy will conduct aggressive operations in the Marshall area to check Japan.
C) If the US Navy builds up its forces in the Atlantic and Mediterranean, the Royal Navy will divert its forces to the Far East.
5 Outline of Pacific operations:
A)The UK will be responsible for the defence of the Far East, Australia and New Zealand, while the US will be responsible for the defence of British and US territories in the Pacific other than those mentioned above.
B) The defence of each country's territory in the Far East is the responsibility of the respective country.
C) Strategic guidance of the Allied naval forces in the Far East will be provided by the Royal Navy. The Philippine Islands area is not included in the operational naval forces under the guidance of the Royal Navy, but if the Asiatic Fleet retreats to the Malayan and Dutch East Indies areas, the Fleet will operate under the guidance of the Royal Navy.
6 Army and Air Force:
A) Rapidly build up the US Army Air Corps and supply new production aircraft to the UK until the US enters the war.
B) Reinforce US Army.
The ABC-1 agreement clarified US-UK co-operation guidelines. Based on this, technical modifications were made to the Rainbow V Plan (US Joint Army-Navy Basic War Plan). Furthermore, its detailed plans, 'Operational Plan nº 46' (US Navy Basic War Plan and Pacific Fleet Operation Plan), were completed in May and July respectively.
US-Philippines military build-up
By February 1941, the main US Asiatic Fleet stationed in China had retreated to the Philippines, leaving only a few river gunboats and marines in China. As the situation in the Far East became more urgent, the US-Philippine Army and Navy frequently requested the home country to increase their forces, but the President did not change his previous policy of not increasing the number of troops on the Philippine Islands.
Subsequently, the US changed its policy to increase its forces in the Philippines, especially air power, and after the Japanese occupation of Southern French Indochina, the US began to increase its forces in the Philippines. Furthermore, on the 19th of November, Amendment nº 1 to Rainbow nº 5 was approved, and the defence of the Philippines was rapidly strengthened. The status of the troop build-up after the summer of 1941 is as follows:
Naval Forces:
Strength at the end of July (excluding forces in China): 1 Heavy Cruiser, 1 Light Cruiser, 13 Destroyer, 17 Submarines, 4 Destroyer Tenders, 3 Submarine
Tenders, 5 Minesweeper, 6 Other, Flying Boat 24.
Reinforcements: 6 Torpedo Boats (September), several flying boats for coastal guard (August and September), 1 Light Cruiser, 1 or 2 Submarines (November and December).
Land Forces (Air Forces excluded):
Strength at the end of July: 2 companies of infantry, 2 companies of artillery, about 20,000 core troops.
Reinforcements:
20th Coastal Artillery Company, etc. approx. 2,000 (August, September). 192nd and 194th Battle Tank Companies, etc. approx. 2,000 (October). Philippine Army, approx. 90,000 (mobilized since August).
Army Air Forces:
Strength at the end of July approx. 120 aircraft. Reinforcements (including approx. 5,000 ground personnel):
31 P-40s and 9 B-17s (August and September): 40 aircraft. 50 P-40s (October): 50 aircraft.
26 P-40s, 26 B-17s and other: 60 aircraft.
The build-up of US forces in the Philippines continued and at the outbreak of war the following units were being transported from the US to the islands:
1 - Approximately 4,600 men and 52 A-24 light bombers, departing the USA on the 21st of November.
2 - Approximately 4,000 troops, 38 P-40 fighters, departing the USA on 5 and 6 December.
3 - 35 B-17 bombers in the air.
2 Operations at the beginning of the war
Deployment of US and US-Philippine forces at the outbreak of war
At the time of our country's opening of war against both the US and the UK on 8 December, US and Philippine forces were in the following deployments:
US Asian Fleet Headquarters, Manila: Commander, Admiral Hart.
Chief of Staff, Rear Admiral Purnell.
5 Task Force (Commanding Officer, Rear Admiral Glassford): Heavy Cruiser USS Houston (flagship): Iloilo.
Light Cruiser Boise269: Cebu.
Light Cruiser Marblehead: Tarakan.
58th Destroyer Division270 (4 destroyers)271: Tarakan. 29th Destroyer Squadron Flagship: Tarakan.
57th Destroyer Division272 (4 destroyers): Balikpapan. Destroyer Tender Black Hawk: Balikpapan.
59th Destroyer Division273 (4 destroyers): Manila. Gunboats USS Asheville, USS Tulsa, USS Isabel274: Manila. Minesweepers USS Lark, USS Whippoorwill275: Manila.
Supply Ships USS Pecos and USS Trinity276: Manila.
Submarine Force (commanded by Captain W.E. Doyle):
21st Submarine Division277 (6 submarines): Manila.
22nd Submarine Division278 (6 submarines): Manila.
201st Submarine Division:
SS-37, SS-38, SS-40 and SS-41: Manila.
SS-36: Lingayen Gulf, Bolinao.
SS-39: Southeast of Luzon, Sarosogon Bay.
202nd Submarine Division279 (4 Submarines): Manila.
203rd Submarine Division280 (7 Submarines) Manila.
Submarine Tenders USS CANOPUS, USS HOLLAND and USS OTUS: Manila.
10 Patrol Squadron (Commander Captain Wagner):
Seaplane Tenders USS LANGLEY and USS CHILDS: Manila. 28 flying boats, 5 seaplanes: Olongapo.
Seaplane Tender USS PRESTON (3 Flying Boats): Davao .
Seaplane Tender HERON (4 Seaplanes): Palawan.
Philippine Coastal Force (16th Naval District):
4 Minesweepers281: Manila Bay.
6 torpedo boats282, 4 miscellaneous ships, 1 Floating Dock283 .
3 gunboats284, underway from Hong Kong to Manila.
4th Marine Regiment (about 1,600 men) Manila.
US Far Eastern Command:
Commander: Lieutenant General MacArthur. Chief of Staff: Major General Sutherland.
Directly under command (approx. 30,000) Manila and vicinity.
Northern Luzon Force (Commanding Officer: Major General Wainwright): Approx. 35,000 North of Manila.
Southern Luzon Force (Commanding Officer: Brigadier General Parker):
About 10,000 South of Manila.
Visayas, Mindanao Force (Commanding Officer: Brigadier General Sharp): Approximately 20,500 Visayas and Mindanao.
Harbour Defences of Manila and Subic Bays (Commanding Officer: Brigadier General Moore):
Approximately 5,000 Manila Bay and Subic Bay.
269The Light Cruiser USS BOISE was not part of the USN Asiatic Fleet, she belonged to the Pacific Fleet (Based at Pearl Harbour). She arrived at Manila on the 04th of December 1941 escorting a convoy of reinforcements and because of the international situation remained at the Philippines.
270The 58th Destroyer Division was composed by the Destroyers USS STEWART (DD-224), USS BULMER (DD-222),
USS BARKER (DD-213) and USS PARROT (DD-218).
271On the Original instead of 58th Destroyer Division it’s the 29th Destroyer Division but this is incorrect. The USN Asiatic Fleet had the 29th Destroyer Squadron with 3 Destroyer Divisions and a flagship, Destroyer USS PAUL JONES (DD-230) (The Flagship is attached to the Squadron and not to any of the Division).
272The 57th Destroyer Division was composed by the Destroyers USS WHIPPLE (DD-217), USS ALDEN (DD-211), USS JOHN D. EDWARDS (DD-216) and USS EDSALL (DD-219). This force had been ordered to join the Royal Navy Force Z but could not arrive at time to assist before the sinking of HMS PRINCE OF WALES and HMS REPULSE. Later, on the 10th of December, will assist in rescue operations to look for survivors but found none.
273The 59th Destroyer Division was composed by the Destroyers USS POPE (DD-225), USS PEARY (DD-226, undergoing repair at Cavite), USS PILLSBURY (DD-227, undergoing repair at Cavite) and USS JOHN D. FORD.
274USS ASHEVILLE (PG-21) and USS TULSA (PG-22) were Coastal Gunboats and USS ISABEL (PY-10) was a River Gunboat / Armed Yacht . USS ISABEL was not at Manila but in routh to Manila.
275USS LARK (AM-21) and USS WHIPPOORWILL (AM-35) were part of the Mine Division 9.
276USS PECOS (AO-6) and USS TRINITY (AO-13) were Naval Replenishment Oilers.
277The 21st Submarine Division was composed by the Submarines USS SALMON (SS-182), USS SEAL (SS-183), USS SKIPJACK (SS-184), USS SARGO (SS-188), USS SAURY (SS-189) and USS SPEARFISH (SS-190).
278The 22nd Submarine Division was composed by the Submarines USS SNAPER (SS-185), USS STINGRAY (SS-186),
USS STURGEON (SS-187), USS SCULPIN (SS-191), USS SAILFISH (SS-192) and USS SWORDFISH (SS-193).
279The 202nd Submarine Division was composed by the Submarines USS SEADRAGON (SS-194, undergoing overhaul at Cavite), USS SEALION (SS-195, undergoing overhaul at Cavite), USS SEARAVEN (SS-196) and USS SEAWOLF (SS-197). 280 The 203rd Submarine Division was composed by the Submarines USS PORPOISE (SS-172), USS PIKE (SS-173), USS SHARK (SS-174, undergoing overhaul at Cavite), USS TARPON (SS-175), USS PERCH (SS-176), USS PICKEREL (SS-177) and USS PERMIT (SS-178).
281The Minesweeper force of the USN Asiatic Fleet was organized in the 3rd Mine Squadron with the 8th and 9th Mine Divisions. The 8th Mine Division was composed by the USS FINCH (AM-9) and the USS BITTERN (AM-36). The 9th Mine Division was composed by the USS TANAGIER (AM-5), USS QUAIL (AM-15), USS LARK (AM-21) and the USS WHIPPOORWILL (AM-35).
282The 6 Torpedo Boats organized in the 3rd Motor Torpedo Boat Squadron: PT-31, PT-32, PT-33, PT-34, PT-35
and PT-41.
283The Floating Dock USS DEWEY.
284The USS MINDANAO (PR-8), USS LUZON (PG-47) and USS TUTUILA (PR-4).
Air Force:
Commander, Major General Brereton.
19th Bomber Group (Commander: Colonel Eugene L Eubank): Direct control, 3 B-17s, Clark Field.
14th Bombardment Squadron, 8 B-17s, Del Monte. 93rd Bomber Squadron, 8 B-17s, Del Monte.
28th Bomber Squadron, 8 B-17s, Clark. 30th Bomber Squadron, eight B-17s, Clark.
24th Pursuit Group:
3rd Pursuit Squadron, 18 P-40s, Iba.
17th Pursuit Squadron, 18 P-40s, Nichols. 20th Pursuit Squadron, 18 P-40s, Clark.
21st Pursuit Squadron, 18 P-40s, Nichols.
34th Pursuit Squadron, 18 P-35s, Del Carmen.
27th Bomber Group:
Base personnel (52 A-24s in transit).
Philippine Army Aviation Group:
6th Fighter Squadron, 10 P-26s, Manila area.
28th Medium Bombardment Squadron, 3 B-10s, Cabanatuan.
Training Squadron PT 42 aircraft Cebu, Batangas, etc.
2nd Observation Squadron: 6 O-52s, Nichols.
12 O-46s Clark.
Others:
6 transport aircraft Nielson. 8 A-27s, 7 B-18s Clark.
3 B-18s Nichols.
2 B-18s, Del Monte.
As shown above, the US naval forces in the Philippines at the beginning of the war included 1 Heavy Cruiser, 2 Light Cruisers, 13 Destroyers, 28 Submarines, 5 minesweepers, 5 gunboats,
4 Seaplane Tenders, 3 Submarine Tenders, 1 Destroyer Tender, 6 Torpedo Boats and 2 Supply Ships. In contrast, the Southern Force Headquarters assessment of US troop strength prior to the outbreak of the war was not correct, with errors such as 1 Destroyer, 3 Submarines, 2 Tenders and 1 Gunboat, and it can be said to have not grasped the full picture of the US fleet in the Philippines.
The air force in the Philippines consisted of 50 bombers (35 B-17s, 13 B-18s and 3 B-10s), 100 fighters (72 P-40s, 18 P-35s and 10 P-26s), 18 observation aircraft, 42 training aircraft, 32 flying boats, 9 seaplanes and 14 others, a total of 265 aircraft of which about 200 were front- line aircraft. This was not much different from the strength of our air force at the time, which was judged to be 37-45 heavy bombers, 36 flying boats, 110 fighters, 20 observation aircraft and 10 seaplanes. However, in contrast to our judgment that the main force of fighters was the P-35, the P-40 was in fact the main force.
The war begins
The first report of the raid on Pearl Harbour by our task force on the 8th of December was first received in the Duty Room of Asiatic Fleet Headquarters, Marsman Building, Manila, at about 0330. Marine Lieutenant Colonel Clement, the officer on duty at the command post, immediately telephoned Admiral Hart at the Manila Hotel, and by about 0400, he sent the following telegram by special dispatch:
“Air raid on Pearl Harbour x no drill”
General Hart transmitted the following telegram and also telephoned Chief of Staff Rear Admiral Purnell, who arrived at headquarters around 0500:
“Japan has started hostilities. Govern yourselves accordingly.”
Chief of Staff Rear Admiral Purnell rushed to Army Headquarters and informed Chief of Staff Major General Sutherland of this.
Major General Sutherland learned of Japan's start of war via commercial broadcast around 0430 and immediately reported to Lieutenant General MacArthur at the Manila Hotel and told all his forces to immediately take up battle positions.
The air force at Clark Field also learned of the air raid on Pearl Harbour through a commercial broadcast around the same time, and immediately went into emergency posture.
Around 0630, instructions were received from Washington to MacArthur to begin operations based on the Rainbow Plan. The Asiatic Fleet did not receive the order to start the operation plan against Japan until around 1115.
Air forces
Around 0430, the radar at Iba airfield detected a formation of aircraft moving south over the South China Sea about 65 nautical miles offshore. At this time, news of the outbreak of war with Japan had not yet reached the Iba base. The 3rd Pursuit Squadron of the same base took off under cover of daybreak and headed towards this formation but returned without finding the target.
Note: This is unknown on our side. It may have been the 1st Weather Reconnaissance Squadron, but there is a large difference in time.
Major General Brereton, the commander of the Air Force at Fort McKinley (Manila area), learned of the start of the war in Japan and ordered the 19th Bomber Group to prepare an attack by about 0500, and reported to Far Eastern Command at about 0600. Major General Brereton proposed bombing Taiwan with B-17s after sunrise, but Lieutenant General MacArthur ordered only preparations for attack. Colonel Eubank, commander of the 19th Bomber Group, launched 1 B-17 on patrol at 0630 and reported to Air Force Headquarters after preparing the other B-17s for bombing.
In 0815, Major General Brereton again requested permission to bomb Taiwan, but General MacArthur did not give it.
Around 0900, an alarm was received that a large Japanese formation was moving southwards across Lingayen Gulf. All B-17s at Clark Air Base were airborne, while the 20th Pursuit Squadron at that base and the 17th Pursuit Squadron at Nichols Air Base were immediately launched and waited over the Lingayen Gulf floor. The Japanese formations, however, bombed Baguio and Tuguegarao around 1020 and then left to the north. Part of the 20th Pursuit Squadron saw this formation and pursued it but was unable to reach it. (Note: 5th Army Air Division attack).
At 1100, Major General Brereton asked 3 times for permission to bomb Taiwan. Lieutenant General MacArthur gave permission for the 1st time by direct telephone call. Colonel Eubank, who was at Air Force Headquarters, immediately flew back to Clark Air Base. Air Force Headquarters drew up the next plan of attack on Taiwan:
1- 2 B-17 Squadrons from Clark Field to bomb the southern part of Taiwan.
2- Photo reconnaissance aircraft immediately launched to select attack targets.
3- 2 Squadrons from Del Monte advance to Luzon in the evening and bomb Taiwan after the 9th.
Colonel Eubank ordered all B-17s that were airborne to land and prepare for attack. The 17th and 20th Pursuit Squadrons also landed at the base and began refuelling, except for a very few aircraft.
Around 1230, Iba radar again detected a large formation 100 nautical miles offshore. Major General Brereton immediately ordered the fighter units to deploy to:
17th Pursuit Squadron, over Bataan Peninsula and Corregidor Island. 20th Pursuit Squadron, over Clarke.
21st Pursuit Squadron, over Clark, later changed to Manila. 34th Pursuit Squadron, over Clark.
3rd Pursuit Squadron, over Iba and western sea.
The 17th Pursuit Squadron took off at 1230 and headed for the skies over Bataan, while the 21st and 3rd Pursuit Squadrons took off at 1240 and the former began a patrol over Manila and the latter over Iba. The 20th Pursuit Squadron also finished refuelling at 1315 and stood by at Fort Clark, while the 34th Pursuit Squadron was unable to take off due to sandbags preventing take-off and stood by at Fort Del Carmen.
Around 1335, the 3rd Pursuit Squadron was about to land at Iba Airfield for refuelling. At that time, a large formation of Japanese aircraft suddenly attacked. At the same time, Clark Field was also heavily bombed. At Clark Field, bombs fell 2 or 3 seconds after the air raid alarm, destroying most of the facilities on the ground. Aircraft on the ground were also destroyed and set ablaze by gunfire, and only 4 aircraft of the 20th Pursuit Squadron succeeded in taking off. Del Carmen's 34th Pursuit Squadron took off rapidly and engaged in a dogfight with Zero fighters, and reportedly shot down several of them, but suffered heavy losses themselves.
Over Iba, the 3rd Pursuit Squadron fought an air battle with Zero fighters on low oil and suffered heavy losses, with only 2 aircraft escaping to Rosales airfield. Japanese aircraft attacked the base thoroughly for several dozen minutes and all functions of the base, including radar, were lost. The 17th and 21st Pursuit Squadrons, on patrol over Bataan and Manila, were unaware of the Japanese attack.
Air unit losses on the day were generally as follows:
B-17: 15 ~ 18 (all at Clark Air Base, 2 or 3 aircraft repairable).
P-40: 42 ~ 55 (of which 30 ~ 35 on the ground). P-35: 3 (air combat over Clark).
B-10, B-18: about 15 (Clark ground). A-27: 5 ~ 7 (Clark ground).
O-46, O-52: 7 ~ 10 (Clark ground).
Total: 87 ~ 108 aircraft, casualties approximately 250.
The strength of the US Air Force was reduced by half on this day, and the air force faced serious operational difficulties. The remaining aircraft of the 3rd Pursuit Squadron were split and absorbed by the 17th and the 20th Pursuit Squadrons.
Around 0400 on the 9th, Nichols Airfield was bombed and 2 B-18s were destroyed. 6 B-17s of the 19th Bomber Group at Del Monte were ordered to attack a Japanese convoy spotted off Legazpi, but they failed to find the convoy and, with other B-17s direct from Del Monte, most landed at San Marcellino and some at Clark.
In the early hours of the 10th, patrol aircraft spotted the Japanese convoy at Vigan. At 0700, 5 B-17s departed Clark and attacked the 2nd Surprise Attack Force in conjunction with the 17th Pursuit Squadron (number of aircraft unknown). A further 2 B-17s and 7 fighters of the 34th Pursuit Squadron attacked the 2nd Surprise Attack Force. In this attack, our Minesweeper W- 10 was sunk and other vessels were damaged.
Another report claimed that a Japanese fleet had appeared off Aparri and that there was an aircraft carrier to the north of it. 2 B-17s departed from Clark Air Base around 1030 and 1 attacked the fleet through a cloud but was chased back by fighters. The remaining B-17 searched as far as southern Taiwan but did not find the carrier, and on its way back to Taiwan, spotted what appeared to be a battleship off Aparri and reported that it had attacked it and observed a direct hit. However, this B-17 was shot down by fighters. As mentioned above, it was the Light Cruiser NATORI that was bombed, but did not receive a direct hit.
Note: No record of the bombing of the Minesweeper W-19 at Aparri can be found in US military documents.
On this day, another Japanese air raid was carried out. At 1315, after receiving an alert, the Command deployed a fighter squadron over Manila and the Bataan Peninsula. 30 minutes later, bases Del Carmen, Nichols, Nielson and Cavite were hit by Japanese air raids. The air raid caused catastrophic damage to naval facilities at Cavite and the Nichols base lost its base functions. An all-out force of about 40 fighters engaged in a fierce air battle with the Japanese fighters. The crews reported losing more than 10 P-40s and 3 P-26s but shooting down more Zero fighters. 52 Zero fighters took part in the attack that day, with 3 losses from the air battle.
The B-17s evacuated to Del Monte after the attack on the Japanese convoy. Due to losses from the fighting that day, the remaining first-line aircraft were calculated to be 22 P-40s, 8 P-35s, 6 P-26s and 18 B-17s (of which 12 were operational).
On the 12th, 3 B-17s attacked the Vigan convoy. The Army Auxiliary Transport HAWAII MARU (832) was bombed in this attack. 1 P-40 also fired on the airfield and convoy at Legaspi. Another P-40 fired on local aircraft at Aparri airfield. Japanese air raids on Iba, Clark, Olongapo and other areas that day resulted in the loss of 1 Squadron (9 aircraft) of flying boats at Olongapo and more than 10 aircraft of various types at various locations.
On the 13th, more than 200 Japanese aircraft attacked various parts of Luzon, and the air force was mortally wounded; 1 B-17 spotted an aircraft carrier off Legazpi but lost the opportunity to attack it.
On the 14th, 3 B-17s attacked the 4th Surprise Attack Force and airfield at Legazpi. However, 1 aircraft was destroyed, 1 was a crash landing wreck and only 1 made it home to Del Monte.
Major General Brereton decided that it was no longer feasible for the B-17s to use the Philippines Air Bases, and on the 14th of December, at 1500, he submitted his opinion to Lieutenant General MacArthur that the B-17s should retreat to Port Darwin, Australia, for further operations. Lieutenant General MacArthur gave his permission, and the Air Force immediately began preparations. Japanese aircraft continued to attack after the 14th but the Air Force had lost the ability to mount a serious resistance.
Asiatic Fleet
The first Japanese strike against the Asiatic Fleet was an air attack on the Seaplane Tender USS PRESTON in Malalag Bay285. When attacked by Japanese air forces at about 0830 on the 8th of December, USS PRESTON was anchored in the bay, with 2 flying boats tied up and another on patrol. The 2 moored aircraft were destroyed by gunfire, but USS PRESTON and 1 of the flying boats took advantage of the narrow visibility to retreat in the direction of Menado.
Admiral Hart decided that day to conduct operations with the Submarine Force and Patrol Squadrons286, with the surface forces retreating towards the Dutch East Indies. Rear Admiral Glassford, commander of Task Force V, who was in Manila at the start of the war, arrived in Iloilo by air and embarked on the Heavy Cruiser USS Houston where he was joined by the Light Cruiser USS BOISE from Cebu. Both ships departed Iloilo on the night of the 8th and headed for Makassar Strait via the Sulu Strait. Seaplane Carrier USS LANGLEY, Oilers USS PECOS and USS TRINITY also left Manila Bay that night, escorted by 2 destroyers of the 59th Destroyer Division and the Submarines USS SCULPIN and SEAWOLF. The 2 submarines returned to Manila from their escort.
At the outbreak of war, there were two submarines deployed at sea, but the bulk of the submarine force sailed from Manila Bay on the 9th for their 1st Deployment:
21st Submarine Division:
USS Skipjack: Palau area.287
22nd Submarine Division:
USS SNAPPER: Hainan Strait Eastern entrance.288
USS STINGRAY: Lingayen Gulf.
USS SAILFISH: Lingayen Gulf.289
USS SWORDFISH: South of Hainan Island.
USS SCULPIN: Escort (sailed on 8th).290
201st Submarine Division:
USS S-40: Verde Channel (between Luzon and Mindoro).
USS S-41: Tablas Island (between Mindoro and Panay).
202nd Submarine Division:
USS SEARAVEN: Taiwan Strait.291
USS SEAWOLF: Escort (departing on 8th).292
203rd Submarine Division:
USS PERCH: West of Luzon Island.
USS PERMIT: West of Luzon Island.
USS SHARK: Northern Sibuyan Sea.293
USS PORPOISE: Balikpapan.294
USS TARPON: San Bernardino Channel.295
In addition, the following submarines were deployed by 15 December:
21st Submarine Division:
USS SEAL: West of Luzon.
USS SARGO: Southern French Indochina.296
USS SPEARFISH: East Coast of French Indochina.297
22nd Submarine Division:
USS STURGEON: Taiwan Sea.298
USS SCULPIN: Northeast of Luzon Island.
As seen above, 9 ships were deployed in the South China Sea and Taiwan Strait, and 7 around Northern Luzon. Of the 6 remaining ships in Manila Bay, USS SEALION and USS SEADRAGON were hit by direct shells in an air raid on 10 December and the former sank, while the latter escaped sinking and was repaired at a later date.
The operations of the Submarine Force during the first week of the war were nothing to write home about other than the following attacks:
USS S-39 torpedoed of a 5,000-tonne Auxiliary Transport ship off Legazpi on the 13th, with unknown effect.
USS SEAWOLF torpedoed what appeared to be a seaplane carrier off Aparri.
Note: This was the Auxiliary Aircraft Transport KEIYO MARU (44001) and the torpedo passed through the bottom of the ship but all were unsuccessful299.
Of the 10 Patrol Squadron, at the outbreak of the war, 1 squadron (9 aircraft) of flying boats was in Manila and 2 squadrons were in Olongapo. On the 8th of December, the Japanese air force attacked the Clark area, and the patrol squadron, judging that the fighters had been launched from an aircraft carrier approaching the waters near Luzon Island, a reconnaissance patrols were made in the South China Sea area but failed to find the carrier300. On the 10th of December, flying boats spotted a Japanese fleet with battleships about 100 nautical miles northwest of Lingayen Gulf, and 5 PBYs reported attacking this fleet and sinking the battleship KONGO. However, this was the Main Body of the Philippine Seizure Force and the 'KONGO' was an error for the Heavy Cruiser ASHIGARA, which was not hit by any bombs301. On the 12th, 7 PBYs went out to search for the enemy, and when they attempted to land at Olongapo without enemy contact, they were attacked by Zero fighters that had been following them and were completely destroyed. They were further attacked on the 13th, leaving only 11 aircraft remaining. The squadron's base personnel left Manila on the Seaplane Tender USS CHILDS for Menado on the night of the 14th, and 11 flying boats also evacuated to the Dutch East Indies the following day. All that remained were 4 aircraft whose damage needed to be repaired.
The Japanese air raid on the Cavite Navy Yard on the 10th of December instantly deprived the US Asiatic Fleet of its functions. The power station, munitions department, torpedo factory, radio telegraph station, arsenal, naval vessels, etc. were all hit by bombs, resulting in a huge fire that could not be extinguished until the following day. In particular, 230 submarine torpedoes were destroyed, which seriously hampered subsequent submarine operations.
On the same day, Captain Hudson, Commander of the South China Patrol Force, who had arrived in Manila from Hong Kong aboard the Gunboat USS MINDANAO, was ordered by Admiral Hart to lead all the gunboats to retreat to safe waters. Captain Hudson led five ships, the Gunboats USS ASHEVILLE and USS TULSA, Patrol Craft ISABEL and Minesweepers WHIPOORWILL and USS LARK, to Tarakan that night. The Submarine Tenders USS HOLLAND and USS OTUS also left Manila the same night and headed south.
The main US surface forces, which left Iloilo on the 8th of December, had already entered the Celebes Sea and were heading south by the 10th of December. The Japanese Air Force judged that the Asiatic Fleet's surface forces, which had not appeared since the outbreak of the war, had retreated to the Sulu Sea area, and subsequently strengthened their search and reconnaissance in that area, but by the 10th of December the main US surface forces had almost completely left the waters of the Philippines.
285This is the initial attack made by the Aircraft Carrier RYUJO.
286It’s not defined what are exactly the “Patrol Squadrons”, but I’m assuming it’s the Flying Boats Squadrons, the 10th Patrol Squadron.
287According with the Naval History and Heritage Command website the 1st Patrol of the USS SKIPJACK was on the East Coast of Samar Island.
288According with the Naval History and Heritage Command website USS SNAPPER departs Manila for its 1st Patrol on the 19th of December and not on the 9th.
289According with the Naval History and Heritage Command website the 1st Patrol of the USS SAILFISH was on the West Coast of Luzon. See note 140.
290According with the Naval History and Heritage Command website the USS SCULPIN “ along with USS SEAWOLF (SS-197), escorted USS LANGLEY (AV-3), and USS PECOS (AO-65) to the San Bernadino Strait in the Philippines”. 291 The Naval History and Heritage Command website it’s not explicit about the 1st Patrol of the USS SEARAVEN. It just says that “during her first two war patrols in December of 1941 and the spring of 1942, she ran supplies to the American and Filippino troops besieged on the Bataan Peninsula and Corregidor Island.”
292See note 290.
293According with the Naval History and Heritage Command website the USS Shark was patrolling Tayabas Bay (Northern Sibuyan Sea).
294According with the Naval History and Heritage Command website the USS PORPOISE “was at Olongapo, P.I., undergoing a refit. With all four main engines being overhauled and her entire after battery out, the required work was accomplished in record time. The sub moved to Manila 20 December…”
295According with the Naval History and Heritage Command website the USS TARPON “was assigned an area off south eastern Luzon.”
296According with the Naval History and Heritage Command website the USS SARGO started her 1st Patrol on the 8th of December.
297According with the Naval History and Heritage Command website the USS SPEARFISH started her 1st Patrol on the 8th of December.
298According with the Naval History and Heritage Command website the USS STURGEON started her 1st Patrol on the 8th of December.
299This attack probably was not noted by the KEIYO MARU (44001) and its not described in the Aparri Landings Chapter.
300This was the original Japanese plan. To have 3 Light Aircraft Carriers (Aircraft Carriers HOSHO, ZUIHO and
KASUGA MARU).
301This is the famous attack on the Battleship HARUNA (Sister ship of the Kongo) by the Captain Colin P. Kelly’s B-
17. The plane on the return is attacked by Japanese planes, crash lands, and Captain Kelly dies after saving his crew. Posthumously, Roosevelt conferred the Distinguished Service Cross upon Kelly for his sacrifice. It was only after the War was over that it’s found that the attack was not made on the HARUNA, but on the Heavy Cruiser ASHIGARA.
Land Forces
The North Luzon Force, commanded by Major General Wainwright, had deployed about 1 Infantry battalion out of a force of about 35,000 troops in the Cagayan Valley, with the rest of its forces south of San Fernando. Therefore, at the beginning of the war, there were no garrisons in Vigan and only 1 company dispatched from Tuguegarao was stationed in Aparri.
The garrison in Aparri judged the Japanese troops that landed in Aparri on the 10th of December to be a single brigade of about 3,000 men302. Therefore, it retreated to Tuguegarao without engaging in a single battle with the unit, while a battalion in the Cagayan Valley also retreated to the south without attempting to put up any resistance.
The US Far East Command was not informed of the Japanese occupation of the Luzon Strait Islands.
Legazpi was in the area of responsibility of the South Luzon Force commanded by Brigadier General Parker. However, for a force of only two divisions, there were a number of key areas to be defended. The 1st time the Japanese attacked the island, they were able to take out a large number of troops from the south. The Japanese landings on Legazpi were therefore completely unopposed.
3 Subsequent operations
Army Air Forces
On the night of the 15th of December, 3 P-40s departed Clark Field early the next morning for Vigan Airfield in response to intelligence reports of 25 Japanese aircraft at Vigan Airfield. The results of the battle were reported as 17 aircraft destroyed by fire and 1 aircraft shot down, but 1 P-40 was also shot down by ground fire.
Note: Approximately 25 aircraft of the 24th Army Air Group of the 5th Air Division were at Vigan at the time, but there is no record of this attack.
14 B-17s were ordered to evacuate to Australia: 4 on the 18th, 1 on the 19th, 3 on the 20th and 6 others, for a total of 14, retreated from Del Monte to Batchelor Airfield near Port Darwin. 2 other B-17s retreated from Nichols Air Base to Tarakan on the 18th of December.
On the 19th of December, Zero fighters attacked Del Monte for the 1st time. 3 B-17s in the area were cleverly disguised and escaped the attack, but 2 B-18s were destroyed.
On receiving news that the Japanese had landed in Davao, Major General Brereton ordered the 19th Bomber Group to attack the Japanese convoy303, and 9 B-17s were ordered to leave Batchelor shortly after noon on the 22nd of December, attack the Davao convoy in the evening and land at Del Monte at dusk, where they were to attack the Japanese convoy in Lingayen Gulf early the following morning. The next morning only 4 aircraft attacked the Japanese convoy in Lingayen Gulf and returned to Batchelor via Ambon. Of the remaining 5 aircraft, 2 returned directly to Batchelor due to malfunction, while the other 3 were ordered to attack the Lingayen Gulf convoy in formation. After taking off at 0530, the 3 aircraft made an effort to fly in formation, but were unable to form a formation, and eventually only 1 of them attacked the Davao fleet and then all returned to Batchelor.
On the 24th of December, a Japanese convoy arrived in Lamon Bay and all remaining fighters were ordered to launch an attack on the convoy. A total of 18 aircraft, including 12 P-40s and 6 P-35s from bases at Clark and Nichols, repeatedly attacked the Japanese convoy, but 2 P- 35s were shot down.
3 B-17s advanced to Del Monte on the 24th of December, and 2 aircraft attacked the Davao convoy early in the morning of the 25th of December. They were, however, pursued by Zero fighters but were able to return to Batchelor. The other aircraft did not attack and returned directly home.
On the same day, General MacArthur ordered Air Force Headquarters to withdraw to Australia and relay to Mindanao to conduct air operations. Major General Brereton left the Philippines in 2 PBYs with his staff, leaving the command of the fighters in the Philippines in the hands of Colonel George304. The remainder of the 19th Bomber Group withdrew from Clark Air Base to the Bataan Peninsula.
The remaining aircraft available on that date were 16 P-40s, 4 P-35s, 3 O-46s and 2 A-27s, for a total of 25 aircraft. However, the Japanese had already approached the Agno River line, so all these aircraft were moved to a concealed airfield at Lubao, 30km south of Clark Air Base. The Philippine Air Force also had 6 P-26s and a few PT training aircraft, but General MacArthur ordered the unit to burn all of its aircraft and withdraw to Bataan. Lubao Airfield was not complete, but when it was finally completed on the 1st of January 1942, an order was issued to abandon it. All aircraft at the airfield were moved to airfields on the Bataan peninsula by the 1st of January.
Asiatic Fleet
After withdrawing the 5th Task Force and the 10th Patrol Squadron towards the Dutch East Indies, the Asiatic Fleet's operations consisted mainly of submarine operations.
On the 16th of December, USS SWORDFISH, deployed in the vicinity of Hainan Island, sank a Japanese transport ship off Sanya. This was the Army Auxiliary Anti-Aircraft Transport ATSUTAYAMA MARU (818) (8,663 tons).
On the 21st of December, the submarine USS STINGRAY, on patrol in Lingayen Gulf, sighted and reported a Japanese invasion convoy. Rear Admiral Doyle 305 immediately ordered 4 submarines, USS SALMON, USS SAURY, USS S-38 and USS S-40, operating in the vicinity, to attack the convoy. However, when these submarines arrived in the Lingayen Gulf, the convoy was already in shallow water and the bay was well-protected. For this reason, only USS S-38 succeeded in entering the bay, and although USS S-38 failed to strike the Auxiliary Gunboat KAMITSU MARU (43455), she sank the Army Auxiliary Transports HAYO MARU (124). The ship was frequently sighted and attacked by Japanese naval vessels and aircraft, but she escaped the bay and finally succeeded in escaping from the Gulf on the 25th after much effort. The other 3 ships were unable to enter the bay and were frequently attacked by Japanese naval vessels but did not sink.
Unsuccessful submarine attacks between the 15th of December and the end of the month were as follows (See Table 36).
On the 24th of December, Admiral Hart held a strategy meeting with General MacArthur and decided that, with the withdrawal of Far Eastern forces to the Bataan Peninsula, the Surface Units of the Asiatic Fleet would withdraw to the Dutch East Indies as far as possible, and that the Submarine Force would use Manila Bay as a base as far as possible, after which the base would be retreated to Surabaya. Admiral Hart entrusted Rear Admiral Rockwell, Commander of the 16th Naval District, with the command of the remaining units in Manila Bay and boarded the submarine USS SHARK, which escaped from Corregidor at 0300 on the 26th of December and proceeded to Surabaya. The 2 Destroyers and the Seaplane Tender USS HERON, which remained in Manila Bay, were also the last to leave Manila Bay on the morning of the 27th of December. Of the 2 destroyers, the USS PILLSBURY arrived safely at Balikpapan. However, the USS PEARY was spotted and attacked by Japanese aircraft in the Sulu Sea. The ship escaped damage, but was damaged, this time by friendly fire by Royal Air Force aircraft and arrived at Port Darwin on 3 January. USS HERON was also attacked by Japanese aircraft but escaped unharmed.
On the 25th of December, the forces remaining under the command of Rear-Admiral Rockwell were as follows:
Submarine Tender USS CANOPUS, 4 Minesweepers, 3 River Gunboats, 6 Torpedo Boats and 1 Floating Dock.
Approximately 2,000 land-based personnel.
The 4th Marine Regiment came under the command of General MacArthur, and the submarines began to withdraw successively from around the 25th day, and thereafter shifted to operations based in Surabaya.

Land Forces
Although the US air force was destroyed in the early stages of the war, General MacArthur was placing his hopes on reinforcements from home. He therefore requested Washington to transport aircraft by carrier and Admiral Hart to provide an escort force. Washington informed that 56 B-17s and 15 British LB-30 bombers would arrive in Australia by 23 December to reinforce the Philippines operation. The problem, however, was time.
On the 20th of December, the Japanese advanced on Davao. The 101st Infantry Regiment, let by Lieutenant Colonel Roger B Hilsman, attempted to resist, but were forced to retreat into the mountains behind Davao City by the Japanese attack.
On the 22nd of December, a large Japanese force landed at Lingayen Gulf. The Far Eastern Command estimated their strength at 80,000-100,000 troops306. The head of the Japanese army reached 15 kilometres south-southeast of the Rosario on the 24th. On the same day, other troops landed in Lamon Bay, and Japanese troops were poised to attack Manila from the north and south.
General MacArthur decided to stay on the Bataan Peninsula and ordered all troops to retreat to the Bataan Peninsula around noon on the 24th of December, and himself left Manila around 2000 and moved to Corregidor Island.
The Far Eastern forces began a general retreat towards Bataan from the line of the Agno River in the north and the line of Laguna Bay in the south, avoiding the pursuit of the Japanese forces. As the front of the Japanese offensive was directed towards Manila, the route between Calumpit and San Fernando in northern Manila Bay leading to the Bataan Peninsula was held until the evening of the 2nd of January, and the bulk of the Far East Army Forces succeeded in retreating all the way to the Bataan Peninsula.
Thereafter, fierce fighting developed between the US and Japan over the offensive and defence of the Bataan Peninsula and Corregidor Island. On the 12th of March, General MacArthur escaped from Corregidor Island in a torpedo boat, and the command of the Far East Army Forces was given to Lieutenant General Wainwright (promoted on the 22nd of March). In the end, Lieutenant General Wainwright signed the full surrender on the 7th of May.
302The Tanaka Detachment numbered approximately 2000 men.
3035th Surprise Attack Force.
304Colonel Harold Huston George (“Pursuit George”).
305I could not find any information with a date for the promotion of Captain Doyle to the rank of Rear Admiral but it makes sense a promotions taking into account the number of forces he was commanding.
306 The Japanese invasion force numbered 43,110 men.
1. Overview of the military geography(16, 143, 144, 145)
Before the Second World War, the term "British Malaya" usually referred to the Straits Colony, the Federated Malay States and the non-Federated States of Pura in the Malay Peninsula. However, when it was used in a broader sense, it included Sarawak, Brunei, Labuan and British North Borneo on the island of Borneo.
British Malaya occupies the southern half of the Malay Peninsula, which sits juts out into the south-east of the Asian continent, from the northernmost border with Thailand to the southern tip of the peninsula, a distance of some 700 kilometres in length and a maximum width of some 300 kilometres in the centre. The Malay Peninsula shares the South China Sea with the Indian Ocean and is bordered on the south-west by the narrow and shallow Malacca Strait, which separates it from the island of Sumatra. The Strait of Malacca is an important route for maritime traffic between Europe, India and the Far East, and Singapore, at the southern end of the peninsula, was a strategic point on this route.
Britain took possession of Malacca under the Anglo-Dutch Agreement for the Colonisation of the Orient in London in 1824307, which established British control over the Malay.
British Malaya consisted of the Straits Colonies (Singapore, Penang, Malacca and Wellesley308), the Malay Federated States (Perak, Selangor, Negeri Sembilan and Pahang) and the non- federal Malay states (Johor, Malacca, Kelantan and Terengganu). The Straits Colony was a British colony under the administration of the Governor-General of the Straits Colony. The Federal States had considerable autonomy, a Federal Parliament, and a British resident advisers on matters other than religious and customary matters, while the non-federal states also concluded treaties with Britain for their protection and had British advisers.
According to the statistics of 1931, the total population of British Malaya was about 440,000, of which Malays, Chinese and Indians accounted for 98% and Westerners only 0.4%. However, because of the large number of people moving in and out of the country, the population at the start of the war must have increased considerably. The number of Europeans and Americans was 18,000 in 1939 and had fallen to 9,000 by the time the war broke out.
The peninsula has a mountain range running north-south in the east, but the mountains are not very high, and the highest peak, Mount Tahan, is only 2,185 metres above sea level. Many parts of the east coast are undeveloped, but the plains to the west of the mountain range are well developed, with a well-developed transport network of roads and railways. The west coast is dominated by mud banks, while the east coast is exposed to the winter monsoon, but the estuaries have established states and there are many sandy beaches on the coasts of Kelantan and Jahor States. The waters around the peninsula, as well as in the Strait of Malacca, are generally shallow, and even in the Gulf of Thailand on the eastern coast and in the southern part of the South China Sea, the depths rarely exceed 100 metres.
Needless to say, the climate in this area is a hot and humid oceanic tropical weather. The average temperature in January and August on the east coast of the Malay Peninsula is 25.6° and 32° respectively, and the average annual humidity is 80~85%. Rainfall is generally heavy, and in Terengganu, in the central part of the east coast, the average rainfall during the 9 years before the war was 3,373 millimetres.
The monsoon in this area is influenced by the winter high pressure area of the Asian continent and the summer high pressure area of the Indian Ocean. In other words, the winds blowing from the high pressure area of Siberia, which begins to stabilise around the beginning of October, become north-easterly winds in the South China Sea, and usually blow continuously for about 10 days in the early stages. However, south of latitude 10°N the north-easterly winds begin to blow a little later and do not become stationary until around November. It is strongest in January and February, but has an intermittent strength, and in March the wind strength wanes and the wind direction shifts to the east. The south-westerly wind begins to blow in the second half of April and is strongest in summer, ending in September in the northern part of the South China Sea, but continuing to blow in the south. Generally, the south-westerly wind period is the rainy season and the north-easterly wind period the dry season, but the opposite is true on the eastern coast of the peninsula. This is due to the influence of the peninsula's mountainous chain. The eastern coast in particular receives the most rainfall in December.
The ports of the Malay Peninsula are not spectacular on the mainland, but those near Singapore Island on the southern tip and Penang on the western coast are good ports. The British established a military port at Singapore Island as their core base in the East, which was fully fortified for defence and staffed with land, sea and air troops. Benin also had a small naval establishment.
The British possessions in Borneo are divided into Labuan, British North Borneo, Brunei and Sarawak. Labuan was a direct British colony under the administration of the Governor of the Straits Colonies. British North Borneo was under the control of the British North Borneo Company, Sarawak was a monarchy under British protection, and Brunei was governed by a governor under the command of the Governor-General of the Straits Colonies.
The terrain is generally mountainous, but there are fertile plains in the river valleys and coastal plains. However, the country has not been developed, and although it is blessed with vast areas of land and sources of information, there are no products to be seen apart from oil and rubber.
According to a survey conducted in 1931, the population was about 7.500 in Labuan, 270,000 in British North Borneo, 30,000 in Brunei, and according to the British government's estimate of 1930, about 440,000 in Sarawak. The inhabitants were natives and migrants belonging to various races, and their “level of civilisation” was very low.
Apart from Brunei Bay in the east (with Labuan Island in its depths), there are no good ports on the north coast of Borneo. There were also oil-producing areas and refineries near Miri.
307Also known as the Treaty of London, was a treaty signed between the United Kingdom and the Netherlands in London on 17 March 1824. The treaty was to resolve disputes arising from the execution of the Anglo-Dutch Treaty of 1814 and officially demarcated two territories: Malaya, which was ruled by the United Kingdom, and the Dutch East Indies, which was ruled by the Netherlands.
308Today is the region of Seberang Perai, where the island of Penang stands.
![]() |
2. Army-Navy Agreement and Malaya Seizure Force Operational Plan
(See Appendix 1 and 5)
Decision to land at Kota Bharu on X Day
As already mentioned, in the operational agreement between the Army and the Navy in Tokyo, it could not be decided to land at Kota Bharu at the same time as the landing at Singora on X Day. The decision was left to the agreement between the local commanders, saying that the simultaneous landing at Kota Bharu would depend on the situation. Both the Army and the Navy acknowledged that the landing at Kota Bharu on the X Day was necessary and effective to capture it at the beginning of the war in terms of landing operations and air operations in
the Malaya area. However, there was a difference between the Army and Navy on the prospect of success or failure of the surprise landing. It can be said that these differences arose from differences in the operational philosophy of the Army and Navy, the power of aircraft against ships, and the recognition of the threat of mines and submarines. Therefore, if the commander of the local naval units judged that there was a chance of success, it could be carried out.
Vice Admiral Ozawa was appointed the Commander of the Southern Fleet on the 18th of October 1941, from the post of Director of the Imperial Japanese Naval Academy.
On his way, he visited Commander of the Combined Fleet Admiral Yamamoto on the Flagship, the Battleship NAGATO in Saeki Bay and greeted him, but Yamamoto did not express much of an opinion on the Malaya Operation and left everything to him, according to his recollection.
Vice Admiral Ozawa was well aware of the Army's wishes, having been briefed by his predecessor, Vice Admiral Hirata, and having met with Lieutenant-General Yamashita, Commander of the 25th Army. Captain Tomari309 and Lieutenant Commander Ryuji Terasaki310, who had participated in the Tokyo Agreement, returned in the evening of November the 13th to report on the situation, while Lieutenant Commander Tatsukichi Mishiro311, a member of the 1st Section of the Naval General Staff (later is assigned to the 11th Air Fleet Staff), also arrived at Saigon for a meeting and informed the General Staff of the situation. As a result of this, Vice Admiral Ozawa learned the details of how the issue of the landing at Kota Bharu on X Day was left to the agreement between him and the Commander of the 25th Army Lieutenant-General Yamashita (56).
The task entrusted to Vice Admiral Ozawa was a serious one. Vice Admiral Ozawa, who had previously served as Commander of the 1st Aircraft Carrier Division in 1940312, was fully aware of the power of aircraft, and had even proposed that the air force should be integrated to form an Air Fleet as a strategic unit. The Admiral emphasized the importance of the landing at Kota Bharu on the X Day in the course of operations, and after considering the possibility of carrying out the landing, he found that there was a viable plan and decided to carry it out as soon as the situation permitted. He said, "As the General Staff has decided to leave the matter to the local commander, Ozawa, who is the local commander, will take the responsibility. The local commander, Ozawa, will be in charge, and the simultaneous landing at Kota Bharu will be carried out under his authority," he declared (56).
Thus, the difficult problem which could not be solved at the General Staff was finally resolved by the determination of Vice Admiral Ozawa. The date when Vice Admiral Ozawa made up his mind is not clear, but it is certain that it was between 14th and the 16th of November, considering the fact that the Navy side was already planning to land at Kota Bharu on the X Day according to the local agreement between the Army and Navy for the Malaya Operation, which started on the 17th of November.
309Captain Tomari Mitsuyoshi, Staff of the Southern Fleet (46th Class).
310Lieutenant Commander Ryuji Terasaki, Staff of the Southern Fleet. (50th Class).
311Lieutenant Commander Tstsukishi Mishiro, also known as Miyo Tatsukishi (51st Class).
312From November 1939 until November 1940.
After the war, Vice Admiral Ozawa wrote the following memoirs (56), in which he explained the reasons for his decision to go ahead with the assault:
Vice Admiral Ozawa's memoirs (extract):
“Early the following morning I left Oita Airfield and arrived at "Saigon" on the 24th via Takao (Kaohsiung).
When I arrived, the Chief of Staff and I were very busy flying from place to place in preparation for the operation, so that almost no one was at headquarters. At that time, I met frequently with an old acquaintance, Shojiro Lida313, the Commander of the 25th Army (During the Naval Review in 1927, onboard MUTSU, he was on the naval consulting staff). We met often to chat about future operations. However, in early November, I think, Lieutenant-General Yamashita suddenly came to the headquarters. He told me that he was going to replace Lida as commander of the 25th Army.
After the arrival of Yamashita, the Navy-Army Agreement became more and more serious. First and foremost was the issue of the "Kota Bharu". The Chief of the General Staff informed us of the intentions of the War Office and of the Combined Fleet and 2nd Fleet Staffs, and we also checked the opinions of the General Staff in detail. In the end, the Navy's main concern was the safety of the landing, while the Army’s main concern was the speed of the operation after the landing. (Of course, the Army also wanted to ensure the safety of the landing.) Both sides had their theories, but as the final decision rested with me, the supreme commander, I decided to make a detailed study of the actual situation presented. The decision was made on the basis of a detailed examination of local conditions:
1 There are no suitable airfields in the vicinity of the landing points outside Singora and Pattani to deploy our air force immediately after the landing, and there is no way to obtain air superiority immediately after the landing. Once the British has rallied, it would be impossible to continue with the landing. There is a small airfield at Singora, but a preliminary reconnaissance showed that it would be of no use at all. The Army's policy of blitzkrieg speed in its operations against Malaya and Singapore must be understood and respected.
2 At the time, there was frequent information that a powerful force in the "Ceylon" area, based on several British Capital Ships, would soon advance to Singapore, and from the point of view of securing the rear of landing operations, the Navy was keenly aware of the necessity of securing control of the waters east of the Malayan peninsula as soon as possible after the war started, and wanted to lure the enemy out of the area. The quickest way to do this was to take on the Kota Bharu. In view of British traditions, it was judged that it was extremely likely that they would launch a counterattack with all their naval forces.
3 The forces assigned to the Southern Fleet were not sufficient for sea escort and landing cover, as feared by the Naval General Staff, but if they were deployed with emphasis on the southern part of the landing zone, the northern part would not require much manpower, and overall, it was judged that there would be no major problems.
4 Since we were landing right in front of the enemy airfield, of course we had to be prepared for considerable damage, but since it was an assault raid at the very beginning of the war, we judged that success would be very likely. (For this reason, we recognised the need to have the Army prepare in advance for heavy losses from the landing force, and this was done in advance.)
Based on the above, we decided to proceed with the landing at Kota Bharu as soon as the situation permitted, and on this basis, we proceeded with an operational agreement with the Army, planning the allocation of transport ships, the method of landing operations, etc.
Army-Navy Agreement
The Army-Navy Agreement on the Malayan Campaign was signed in Saigon on November 17th and 18th. (34) There were no major problems with the landing operations because the issue of the Kota Bharu landings had been settled before the agreement. The problem lay in the air operations. The following points were the focus of discussion in the Army-Navy Agreement:
1 Fleet escort air cover: (34-37-147-148)
It goes without saying that anti-submarine surveillance of convoys by aircraft is an inherent part of the navy's role, but this was not an issue in the Saigon Agreement since in the Tokyo Agreement had been reaffirmed by Colonel Toranosuke Kawashima, Chief of Staff of the Army 3rd Air Division, and the navy had agreed to this.
Fleet air defence in the Gulf of Thailand on X-1 Day was the most problematic aspect. The Army 3rd Air Division requested the Navy for air defense of the fleet in the evening of the same day on the grounds that the Type I fighter314 had been adopted as a standard aircraft not long ago and had problems demonstrating its performance, and that the majority of the crews, with the exception of some outstanding officers, were not sufficiently skilled in ocean navigation and night landings. The Navy did not agree to the request, claiming that the number of aircraft available was too small, and that there was no time to spare as the planes would depart from their base at dawn on the following day to conduct an air patrol over Singora from sunrise. However, both the Army and the Navy recognised the importance of convoy escort on the same day, and extended the time stipulated in the Tokyo Agreement (anti-aircraft escort until two hours before sunset, and anti-submarine escort until one hour after sunset), so that both anti-aircraft and anti-submarine escorts could be carried out until sunset.
It was decided that the naval forces should be on anti-aircraft alert in the area of the Singora anchorage from sunrise to 1100 on X Day, and the army after 1100. It was also decided that naval seaplanes should conduct anti-submarine alerts and land combat support in the vicinity of the Singora area on and after X day.
2 Time of the 1st Air Raid: (37-90-91-147)
The guidelines for air operations in the Malayan area at the beginning of the war, as stipulated in the Central Agreement between the Army and Navy315, were that the Army and Navy would cooperate in launching the 1st air raids in the Malayan area, the Navy would attack Singapore and British Borneo as appropriate from the beginning of the operation, the Army would attack Singapore when possible, and the 1st air raid would be launched at the same time as the Navy. The time of the 1st air raid was to be almost the same for the Army and Navy, but the Army and Navy were to select the appropriate time to increase the overall war results depending on the situation.
As the Zero fighters were to be used in direct air cover over Singora on the morning of the X Day, the Naval Air Force planned a night bombardment of Singapore in the early morning of the X Day by the Land Based Attack Force alone316. Prior to the outbreak of war, the Land Based Attack Squadrons had been trained in night formation bombing and had gained experience in actual combat on the Chinese front and had reached a level of proficiency where they could generally acquire ground targets with a formation of 9 aircraft in 2 sections during night bombing raids with a moonlight up 2 the 3rd decreasing quarter. The moon on the 7th of December was like that, and the sunrise at Singapore on the 8th of December was at 0755, but the attack force had no direct escort fighters, so it was necessary to finish the attack by twilight and retreat outside the action circle of British fighters at Kuantan. For this reason, the Navy wanted the time of the first attack on Singapore on X Day to be between 0400 and 0500.
The main objective of the Army 3rd Air Division 1st attack was set at the air forces in the Kota Bharu317 and Kedah318 Province areas. The Army insisted on an attack after sunrise, as night bombing of airfields in rubber forests could not be reliably effective. The Navy compromised a little with the Army's claim to 0530. However, the Army did not change its insistence on a post-sunrise attack, and the Army and Navy were at odds with each other. Therefore, Lieutenant General Sugahara Michio, Commander of the Army 3rd Air Division, proposed a compromise of after 0600, and the Navy agreed to this proposal in principle, on the condition that a delay of around 30 minutes was possible due to weather and other conditions.
313Lieutenant General Shogiro Lida after being replaced by Yamashita becomes the Commander of the newly formed 15th Army.
314Nakajima KI-43, Type 1 Fighter Hayabusa. Allied codename Oscar.
315The Tokyo Agreement.
316For this Campaign the 11th Air Fleet employed the 22nd Naval Air Flotilla with the MIHORO and GENZAN Naval Air Groups and a detachment of the KANOYA Naval Air Group from the 21st Naval Air Flotilla with the Land Based Attack Aircraft.
317Kota Bharu belongs to Kelantan Region.
318For the Kedah Region see Illustration nº 20.
Having reached an agreement in accordance with the above, the 25th Army, the 15th Army, the Army 3rd Air Division and the Southern Fleet signed a Memorandum of Agreement on the 18th of November. The summary of the memorandum of agreement is as follows: (34)
Army-Navy Memorandum of Agreement (extract)319 1 Start of the Operations
1 In the event that the landing date of the 1st landing force of the 5th Division in Operation E should be changed due to weather or enemy conditions, the Commander of the 25th Army and the Commander of the Malaya Seizure Force will decide by mutual agreement by 1000, X-1 Day.
2 In the event that the Takumi Detachment's first landing party cannot be landed on the X Day, the Commander of the 25th Army and the Commander of the Malaya Seizure Force shall consult by 1000, X-1 Day and decide on the matter, and the fleet shall be evacuated to the vicinity of Phu Quoc Island320.
3 The method of contact mentioned in the preceding two paragraphs shall be determined separately.
2 Countermeasures against the enemy in the preparatory phase of operations 1 In the case of British troops entering Thailand
Southern Army
A) Mid to Late November
15th Army (6 Battalions) and 3rd Air Division - Overland: Central Thailand
15th Army (1 Battalion) - By Sea: Prachub
B) Early December
15th Army (6 Battalions) and 3rd Air Division – Overland: Central Thailand
15th Army (1 Battalion) - By Sea: Nakhon, Ban Dong, Chungpong and Prachub,
15th Army (1 Battalion) - By sea: Central Thailand Malaya Seizure Force321
A) The naval units will cooperate in the sea escort and air operations with the deployed Army Forces
B) Separate orders will be given for each unit's mission action.
2 In the event of a pre-emptive attack by the enemy
A) During October
1) In each area, land and naval forces will cooperate to intercept the invading troops and conduct operations as in the case of the British Forces entering Thailand.
2) The implementation of the invasion and infiltration operations will depend on separate orders ( Imperial Japanese Army and Navy ).
B) After early December
1) In each area, the Army and Navy will work together in air raids to attack the forces of the country concerned and carry out other operations "in the event that British troops enter Thailand".
2) The Commander of the Southern Fleet and the Commander of the Southern Army shall launch an air offensive immediately under the guidance of the Commander of the Southern Army. The date and time of the start of the air offensive operation in the Malaya Sector shall be decided by mutual consultation between the 2 Commanders.
3) In the case of the above 2 cases, if the order has not been issued on the X Day, the start of the air attack operation shall be by separate order (Imperial Headquarters).
Note: In the event of a pre-emptive attack by US forces, entry into Thailand will be by separate order (Imperial Headquarters).
3 Landing Point and their reconnaissance
1 Landing Point:
A) Landing of the 5th Division Group and the Takumi Detachment:
Right Wing: East coast of Singora.
Left Wing: East coast of Thepha, West coast at the mouth of the river Pattani.
Takumi Detachment: Kelantan East Coast at the mouth of the river (Note: Kota Bharu District).
B) Ueno Detachment (15th Army, but landing operations are under the commander of the 25th Army Commander):
Partly: Nakhon and Ban Dong.
Main force: Chungpong and Prachub.
C) The 5th Division and the 2nd Landing Force of the Takumi Detachment:
Main force: Singora.
Partly: Pattani (depending on the situation Singora and Kota Bharu).
D) The main force of the 25th Army: Main force: Singora.
Partly: Pattani.
E) Part of the Konoe Division322in the direction of Singora.
F) The main force of the 56th Division landed between Kuantan and Mersing.
2 Reconnaissance:
A) Pre-reconnaissance and pre-landing reconnaissance to the landing point shall be undertaken by both the landing force and the navy in without concealment of plans. However, reconnaissance carried out by limited land and naval aircraft at altitudes of 7,000 meters or more shall not be limited to such reconnaissance.
B) Immediately prior to landing, if possible, the Navy shall report to the Army any weather conditions in the vicinity of the landing point.
4 Deployment and order of Transport of the Army Forces: See Table 37.
5 Arrival and departure dates of transport vessels at assembly points and events See Appendix I (omitted in the original).
6 Date and hour of the start of the landing and the landing schedule
A) 1st Landing Party of the 5th Division
Start of landing on X Day, 0300, landing twice by dawn, to be completed in a day and a half.
B) 1st Landing Party of the Takumi Detachment
Start of landing on X Day, 0100 (If the situation is such that it cannot be resolved, landing will commence on or after 0100 on the X+1 Day). and 3 landings will be made before dawn. The convoy will then retreat to the Pattani area, and after midnight on the X Day, under naval escort, will enter the Kota Bharu port and complete landing before dawn the following day.
C) Ueno Detachment
1) Nakhon and Ban Dong landing units will begin landing after 0300 on the X Day and will be completed in about 4 days.
2) Chung Pong and Prachub landing units begin landing in the morning of the X Day and will be completed in about 2 days.
D) The 2nd Landing Force of the 5th Division and Takumi Detachment will start landing in the early hours of about X+8 and completed in 3 days.
E) The time and schedule of landing of troops other than those above will be agreed upon separately.
Remarks:
Taking advantage of the interval between the 5th Division's 1st Landing Force, the 2nd Landing Force and the 25th Army's Main Force, small boats (about 13) and trucks (about 20) will be used to transport munitions and parts of the Kanoe Division from Southern French Indochina to Singora. The escort units will be able to provide cover for these elements with their own forces. In this case, separate agreements shall be made with the commanding officers of the army concerned.
7 Division of Transport Fleet and Location of Commanding Officers: See Tables 38 and 39
8 Naval Escort
A) Escort Force (author's note: See below).
B) Convoy routes (Author's note, see Appended Chart nº 5)
C) Sea escort is determined by the escort commanders
1) The navigational speed of the 5th Division and Takumi Detachment’s 1st Landing Force is as follows:
High Speed: 15 Knots (After the Wabi-Branch detachment splits up, the same detachment will be 16 sections323).
Original speed: 14 Knots Half speed: 12 Knots Minimum speed: 9 Knots.
2) Escort instructions:
a) Conduct anti-submarine sweep when departing from the assembly point.
b) Transport convoys must maintain strict anti-submarine and anti-aircraft vigilance.
c) The use of aircraft for anti-submarine vigilance is primarily responsibility of the Navy.
d) Deployment of aircraft for anti-aircraft vigilance when the convoy is underway: From Cape Cà Mau to Paser Puteh (author's note: 40 kilometres southeast of Kota Bharu) - to the east of the line is the Navy, to the west of the line is the Army, and they cooperate with each other as required.
e) If enemy vessels appear, the 7th Cruiser Division, the 3rd Destroyer Squadron and naval aviation units will be used to deal with them.
D) Measures to be taken with convoys in the event of an enemy encounter:
In the event of an enemy air raid or attack by enemy submarines, each squadron will avoid the attack by turning simultaneously.
The escort commander will decide on the single evasion.
E) The use of self-defence weapons on transport ships shall be in accordance with special orders from the escort commander. However, the beginning, end and target of anti-aircraft fire and attacks shall be regarded as the convoy ship and shall be carried out in accordance with the orders of the transport commander.
F) Measures to be taken in the event of convoy breakdown or distress: Escort vessels shall be used for this purpose.
G) Light Control
While at anchor at the rendezvous point, warning lights (and emergency (battle) lights depending on the situation) are to be turned on.
After departure from the rendezvous point, emergency (battle) lights will be applied regardless of anchorage.
The commander of the escorting force will control the implementation of the same.
9 Deception Measures
During the time of preparation for the operation it is deceptively called the Kunming Operation324.
However, after the landing force passes Cape Camo, no check deception shall be conducted.
10 Air Operations
A) Forces
1) Army: Table 40
2) Navy: Table 41
B) Air Bases
1) Bases on Hainan Island and Southern French Indochina (Author's note, see Appendix I)
Army and Navy shared use of Haikou, Sanya, Huangliu, Da Nang325, Nha Trang and Saigon
Army Main use Hanoi, Haiphong, Phnom Penh, Tani, Kampong Trach, Phu Quoc Island, Kampong Chanang, Krakor, Siem Reap
Navy Main Use Thu Dau Mot, Soc Trang, Bienoa (Author's Note Bien Hoa). Under certain circumstances Phu Quoc Island or Kampong Trach or Tani may be temporarily used.
2) Bases in the south of Thailand
Shared use by Army and Navy: Ban Dong. Temporary naval use: Singora, Pattani.
Army use: Non-naval land bases
3) In addition to the above, the air bases may be used as required after consultation with the commanders of the Army and Navy air forces.
4) The security of airfields for constant use by the Army and Navy, airfield regulations, etc., shall be mutually agreed upon by the senior Army and Navy commanders of the units using the airfield, and in the case of airfields for temporary use, the senior commander of the unit using the airfield at all times shall decide on these matters and the temporary unit commander shall comply with them.
5) The Army and Navy shall mutually assist each other in repair, supply and accommodation.~
C) Mission Category
1) The Air Campaign in the Malaya Sector is mainly the responsibility of the Army Air Forces, with the Navy Air Forces cooperating.
2) Destruction of enemy ships is the responsibility of the Navy.
3) Air operations in the direction of British Borneo will be conducted by the Navy.
4) Air operations against Thailand and Burma will be conducted by the Army.
5) Landing operations of the vanguard Detachments326 on the east coast of Malaya327 will be supported by the Army and Navy Air Forces.
Landing operations of the Detachment on the east coast of Malaya will be supported by the Army and Navy Air Forces.
Anti-aircraft warning will be as follows:
a) The Army and Navy Air Forces will jointly be responsible for vigilance during navigation.
b) Vigilance of the anchorage shall be directed to Singora and Pattani, and after the advance of Army aircraft, the Army aircraft shall be in charge of the vigilance.
The Navy will be in charge of the Singora and Pattani anchorage areas before the advance of Army aircraft, and the Army will cooperate with the navy.
c) Singora airfield will be ready in the morning of the landing day. Pattani, Ban Dong and Nakhon airfields will be ready for the use of fighter aircraft on the landing day.
6) With the construction of air bases on the east coast of the Malaya Peninsula, the Army Air Forces will make rapid progress, and a part of the Navy Air Forces will also use them, as necessary, so as to ensure thorough air operations.
7) The Army is in charge of the maintenance of the Air Bases on the Malaya Peninsula, and the Navy is in charge of the maintenance of the Seaplane Base and will assist the Army units in the area.
In the early stages of the campaign, the Navy will use Air Bases in the vicinity of Ban Dong and Singora, and Seaplane Bases at Singora and Pattani.
8) The Escort of the Convoy with the Main Body of the 25th Army and vigilance at the time of landing are to be carried out by the Army and Navy Air Forces.
9) Cooperation with the landing forces in the southern part of the eastern coast of Malaya is to be carried out by the Army and Navy Air Forces.
10) Anti-aircraft surveillance in the Southern French Indochina is the responsibility of the Navy east of the Saigon and Cape Cà Mau link line, and the Army west of the same line.
D) Instructions for the implementation of Air Operation
1) The 1st Air Raid at the beginning of the war shall be launched on or after X Day at about 0600, and its objectives shall be outlined as follows, and the commanders of the Army and Navy Air Forces shall further consult with each other regarding the implementation of the raid:
a) The Army will assign air forces in the Kota Bharu and Kedah areas.
b) The Navy will assign fir forces, naval vessels and military installations in the vicinity of Singapore.
2) The Army will then be responsible for destroying enemy air forces in the same area and cooperating with land operations.
3) The Navy will then be tasked with searching and destroying enemy naval vessels and cooperate in destroying enemy air power when appropriate.
4) The 1st Landing of the advance Detachment will be in the Gulf of Thailand on X-1. The Army will use its main combat units to keep an anti-aircraft watch until sunset, and the Navy will use its seaplanes to keep an anti-submarine watch until sunset.
5) Cooperation on the day of landing of the 1st Landing Force of the advance Detachment will be divided as follows: Table 42.
6) After acquiring the airfields in southern Thailand, the 1st Fighter and Assault Squadrons are to be successively deployed to Singora and
Pattani, and then to Nakhon, mainly to provide cover for the Singora and Pattani anchorages and to assist in landing combat.
With the completion of the Tapeh airfield, the Light Bomber Squadron will finally be deployed.
7) On the 1st day of the landings of the advance detachments, after the establishment the Singora Seaplane Base, 1 army officer will board a seaplane to carry out reconnaissance for the purpose of command and liaison.
8) The Army will cooperate with the Navy in advance reconnaissance of key areas.
E) In addition to the above, details shall be discussed between the Army and Navy commanders on a case-by-case basis.
11 The time of anchoring and anchoring formations at the landing sites and transport convoys.
A) The 5th Division and the Takumi Detachment's 1st Landing Force
1) Anchorage: As shown in Appendix 5.
2) Anchoring time in the direction of Singora and Pattani is scheduled to be on X Day at 0100, and in the direction of Kota Bharu on X Day at 0000 (If the situation is such that it is unavoidable, in the direction of Kota Bharu, it will be after the X+1 Day at 0000).
12 Landing combat, landing cover and assistance in landing operations
A)Landing battles are to be carried out in anticipation of attacks by enemy land and naval forces.
B) Landing cover
1) In the event of a landing on X Day, the main force of the Army Air Force Squadrons will bomb the enemy airfields at Tanah Merah and Kuala Krai to cover the landings, while the Navy will cover the landing by naval gunfire as required after day X+1. In the event of a landing after X+1 Day, the main bombing emphasis on X Day will be on Kota Bharu airfield.
2) In the Singora and Pattani areas, naval support fire will not be used unless required by the Army.
C) Assistance in landing operations
In addition to the above, details shall be discussed directly between the commanders of the Army and Navy forces concerned.
13 Defensive Installations at Landing Points and Landing Site
A) The Army and Navy shall cooperate in establishing a landing base at Singora and an auxiliary base at Pattani.
B) The land defence of landing points and landing sites is the responsibility of the Army, while the naval defence is the responsibility of the Navy.
C) Naval Seaplane Bases are to be established at Singora and Pattani, and the Army is to assist the Navy in operations, security, accommodation and provisioning as far as possible.
D) The use of anchorage and land areas in the vicinity of "Singora" and "Patani" is as described in Appendix No. 6 (Omitted in the original and on the Appendix I ).
E) The defence plan for the Singora landing base (including seaplane bases) shall be mutually reported at Sanya.
(Author omitted hereafter)328
Furthermore, on 27 November, the 25th Army and the Malaya Seizure Force made an addendum to the Army-Navy Agreement in Sanya with the following summary. (81)
1 The procedures for changing the landing date of the 1st Landing Force due to weather or enemy conditions were established.
2 The Navy will deploy one submarine off Kota Bharu in advance and notify the Army of the weather conditions in the vicinity of the landing point by 0930 on X-1 Day.
3 The fleet classification, ship numbers and commanding officer embarkation of the convoys was partially revised.329
319The Saigon Agreement is the Main Agreement between the Imperial Japanese Navy and Army for the Malayan Campaign. The Iwakuni Agreement is the fundamental agreement for the Philippines Campaign.
320On the opposite side of the Gulf of Siam.
321On the original it only says Naval Force
322The Kanoe Division was also known as the Imperial Guard.
323According with Table 39, this represents the 16 ships in the 1st, 2nd and 3rd Echelons.
324The "Intelligence Bulletin 148: Possible Japanese Drive into Yunnan" from the US Army gives credit to this deception. To be fair Japanese Army had the intention to advance to Kunming as a way to cut the Burma Road and end the supply of war material to the Chinese Army.
325In the original is Turan.
326Initial Landings on the 8th of December.
327Although it’s only referred as Malaya, but the initial landing are also (in the greater part) in Thailand. And sentence can only be the 1st Landing Force because of the presence of the advance (vanguard) detachments that are used to take control of the air fields.
328See footnote 319.
329From what I could ascertain, based on Kimura Nagato History of the Greater East Asia War and the individual Ship TROMS at www.tokusetsukansen.jpn.org,the changes are related with individual ships position inside the Convoy. Only the Convoy for Singora and Pattani have some alteration. Table 39 already reflects the assignments made on the 28th of November 1941. The column “Nº/ Convoy” (not in the original) reflets the ships position inside the 2 Convoys. The column “Army Vessel” reflets the positions before the 27th of November alterations .








![]() |
Assessment of the Situation
The summary of the assessment of the Allied Forces strength in the Southern Area in early November is as described in Chapter III of the Introduction. After that, information about the reinforcement of the Allied forces kept coming in, and when the Malaya Seizure Force issued the 1st order on the 20th of November, Classified Malaya Seizure Force Order nº 1, it judged the allied forces as follows: (81)
1 Navy:
The British Fleet strength is estimated to be small, based on 4 to 5 Light Cruisers (HMS MAURITIUS, HMS DRAGON, HMS GLASGOW, HMS DAUNTLESS
and HMS DURBAN) and 5 to 6 Destroyers. However, the Dutch East Indies in coalition with the British, have a maritime force based on 5 Light Cruisers, 8 Destroyers and 19 Submarines. In the Indian Ocean area, it is certain that there is a strong British fleet based on 3 to 4 Battleships and several Heavy Cruisers, and it is also probable that there are Aircraft Carriers.
2 Air forces
A) Number of aircraft: Table 43.
B) Bases
1) Malaya
Main bases: Singapore, Kota Bahru, Kuantan, Alor Setar, Penang, Kluang.
Secondary bases: Sungai Petani, Kuala Lumpur, Taiping, Ipoh, Batu Pahat
2) Burma
Main Bases: Rangoon, Moulmein 330 , Dawei, Mergui, Victoria Point.
3) Borneo
Main bases: Miri, Kuching, Bintulu.
4) Sumatra
Main Base: Medan, Palembang
C) Allied Aircraft Main Performance: Table 44
The exact type of each aircraft, on the Table 44, in the Malayan area was unknown. After the outbreak of the Second World War, especially since the deep advance into western Europe in 1940, with Germany and Britain engaged in fierce air battles. In August of the same year, the German Air Force began full-scale air operations against the British mainland, but the Royal Air Force intercepted the German Air Force with new aircraft such as Hurricanes and Spitfires, frustrating the plans of the German Army and fulfilling its air defence duties over the British mainland. In particular, both new fighters were reported to be equipped with four 20 mm machine guns, and together with the skills of British pilots, the fighting capability of the British fighter force was considered to be considerably high. British bombers were carrying out bombing operations against Germany at the time, but it was not clear how well they could attack ships. As for the Torpedo planes, the attack on the battleship Bismarck in May 1941 was known, but compared with our torpedo attack aircraft, the British torpedo attack aircraft in Malaya were generally judged to be old and inferior in performance.
As mentioned above, the Royal Air Force was generally considered to have a high level of capability, but its naval air operations capability was not exactly known. At the time, Germany was concentrating all its efforts on the war against the Soviet Union, and Britain was engaged with the Italians on the North African front but compared with the height of the air war between Britain and Germany in the autumn of 1940, Britain had regained much more space, and the possibility of sending more troops to the Far East was increasing.
3 Land forces
North-eastern border area: approx. 5,000-6,000
North-west border area approx. 20,000
East Bank area approx. 2,000
West Bank area approx. 15,000
Southern sector approx. 30,000
330Today Mawlamyine, at the Gulf of Martaban



Operational plan
On the 20th of November, Vice Admiral Ozawa issued the Classified Malaya Seizure Force order nº 1. However, this order was not distributed to the various units until the 26th of November operational meeting of the Malaya Seizure Force at Sanya. The summary of the order is as follows: (81)
Classified Malaya Seizure Force Order nº 1 (extract) 1 Objective of the operation:
A) The 25th Army, in cooperation with the Army 3rd Air Division, will destroy the enemy in the direction of British Malaya and capture key areas, especially Singapore, in order to overthrow the British presence in East Asia.
B) In cooperation with the Kawaguchi Detachment of the Southern Army, occupy and secure key resource areas and air bases in British Borneo.
C) In cooperation with the 15th Army, secure stability in Thailand at the beginning of the war to make operations in the Malayan region easier, while preparing for subsequent operations against Burma.
D) After capturing Singapore, the Malacca Straits will be controlled, and in cooperation with the 25th Army, the key strategic positions in northern Sumatra will be captured.
2 Operation Policy:
A) With the close cooperation of the Army, begin operations against British Malaya and Southern Thailand with the rapid landing and occupation of strategic areas (under certain circumstances, with pre- emptive air raids) with advance detachments. Destroy enemy forces in the Malaya and British Borneo, capture those key areas, and then capture key areas in Northern Sumatra.
B) The plan of this operation shall be kept as secret as possible, and covert reconnaissance of enemy conditions shall be carried out in advance, so that a surprise effect can be achieved.
3 The use of force before the outbreak of war and the outbreak of war:
A) The date of the outbreak of war shall be indicated by (X Day) according to the order of the Emperor. The war will commence on and after X Day, 0000, and units will commence operations according to the schedule.
B) In the event of a serious 1st attack by the enemy prior to X Day, the following measures shall be taken:
1) The unit concerned that receives the attack will counterattack immediately. The land based air force will launch an offensive attack before the X Day of the war, as ordered by the High Command331.
2) On or after the X Day, the war will immediately commence and operations will be launched.
3) Before the X Day, the war will start with an order from the High Command.
4) If reconnaissance by enemy naval vessels and aircraft is carried out, efforts shall be made to prevent them as much as possible, but before the X Day, attacks (aircraft and fire) against them shall not be carried out until a separate order is issued.
C) If necessary, use force in accordance with the following after the order to prepare for the 2nd Phase of the war (when the first units necessary to carry out the operation are to advance to for the operation. The Commander of the Combined Fleet shall issue this order):
1) When ships or aircraft of the United States, the United Kingdom or the Netherlands approach our territorial waters and their actions endanger us.
2) Japanese Forces acting outside the vicinity of our territorial waters, if they are met with aggressive action by the forces of the above-mentioned countries, so as to endanger us.
4 Operations in the Malaya (British territory) area:
A) Plan A (If the situation on the British and Thai side is such that there is a high probability of a surprise landing):
The advance army detachments forces will enter the anchorages on or after the X Da, 0000, and make a landing in the vicinity of Ban Dong, Nakhon, Singora and Pattani, and occupy and maintain the air bases in the vicinity. The air units of the Army and Navy will begin air raids on or after the X Day, 0000, mainly to pre-empt enemy air forces and vessels in the British Malaya Sector.
B) Plan B (If the British side is on high alert, and it is acknowledged that the appearance of influential British naval vessels in the Gulf of Siam is likely to reduce the possibility of a sudden land assault):
The naval air force will cooperate and launch a pre-emptive air raid on enemy air and naval forces in accordance with Plan A from the X Day after 0000. The advance detachment will launch a small number of surprise landing forces (1 or 2 transport ships at each landing point) from the west coast of French Indochina and from around 0000 onwards will covertly enter the port of Ban Dong, Nakhon and, if necessary, Singora and Pattani. The main body of the advance detachments will begin landing after the X+1 Day and expand the results of the raid force.
C) The operation shall be conducted in accordance with Plan A. If it is in accordance with Plan B, a special order shall be issued by Headquarters before the advance detachment departs from the rendezvous point.
D) After the landing of the army detachments, as soon as the conditions of the escort and air base maintenance permit, a portion of the advance forces will land at Kota Bharu and occupy and maintain the air base; however, under certain circumstances, after consultation with the commanders of the Malaya Seizure Force and the 25th Army, a small army detachment will be used to assault Kota Bharu at the same time as the main landing.
E) On the day of the landing of the advance detachments, the naval air force is to be put in charge of anti-aircraft vigilance in the vicinity of the anchorage area.
With the development of the Air Bases in Southern Thailand, the Army Air Force will successively advance in the same direction to reinforce the air operations.
F) When enemy vessels move northwards from the direction of Singapore, use mines and submarines to strangle their advance and retreat, and use naval air and sea power to capture and destroy them.
G) Wait for a part of the vessels escorting the main force of the 14th Army in the Philippines Sector to turn around and land the 25th Army successively at Southern Thailand to extend the war results of the advance detachments and, as the operation progresses, land a detachment in the south-eastern coast of Malaya to make the attack on Singapore easier.
5 Operations in British Borneo:
At the earliest possible opportunity after the outbreak of the war, escort the Southern Army's Kawaguchi Detachment and seaplane base units to Borneo to make a landing at Miri and Seria and secure key resource areas and airbases.
Once Miri and Seria are occupied, continue to attack Kuching, rapidly acquire and maintain air bases, and strengthen the air operation against Kuching and the Dutch East Indies with some of the Naval Air units.
Attack Brunei at the right time and establish a supply base.
6. Operations against Thailand and Burma:
At the beginning of the war, escort a part of the 15th Army (the main body of which is assigned to the 25th Army) to enter Southern Thailand by sea and advance to Southern Burma to secure key positions in that area and partly occupy the area around Victoria Point.
7. Operation in Northern Sumatra:
After capturing Singapore and gaining control of the Straits of Malacca, part of the 25th Army is escorted to land near Medan on the west coast of the Malaya Peninsula and capture the key strategic locations in the Aceh area and, at the next opportunity, the island of Sabang.
8. The 11th Special Base Force332 in French Indochina will cooperate with the Army in securing the stability of French Indochina.
9 At each landing point, after the landing of the main forces, escorts for transport units shall be made with as many forces as conditions at the time permit, and for the return of empty ships, routes shall be designated if necessary, and escorts shall not normally be made directly.
For supply and Hospital ships, escorts will be provided as required. This ships will be grouped as far as possible, and the timing will be decided according to the operational situation at the time.
10 To protect the rear supply lines, bases for transports and patrols are to be established at key points along the main routes, and efforts made to navigate within the patrol area, and, if necessary, Convoys are to be established with direct escorting forces.
11 Naval Forces:
The Naval Formations of the Malaya Seizure Force are established as follows:
1st Phase Naval Disposition A (from the 20th of November until the completion of the 1st landing at Malaya by the 1st Landing party of the advance Detachment).
1st Phase Naval Disposition B (from the above onwards until the completion of the landings in British Borneo).
2nd Phase Naval Disposition (from the above onwards until the main landing of the Army invasion force in Malaya).
3rd Phase Naval Disposition (from the above onwards until the end of the southern campaign).
Malaya Seizure Force, 1st Phase Naval Disposition A: Table nº 45.
On the 22nd of November, Vice Admiral Ozawa also issued the Classified Malaya Seizure Force Order nº 2, indicating the policy of air operations.
On the 28th of November, the 5th Submarine Squadron was incorporated into the Malaya Seizure Force and Vice Admiral Ozawa incorporated it into the Submarine Force. Also, on the 2nd of December, half of the 21st Naval Air Flotilla’s Kanoya Naval Air Group (27 Land Based Attack Aircraft, commanded by Captain Fujiyoshi Naoshiro333) was also incorporated into the Malaya Seizure Force and added to the 1st Air Force. (102)
331By Order from the Hight Command I’m assuming that is an Order from the Imperial General Quarters.
332The 11th Special base Force was located at Saigon with a strength of 519 men. "Know Your Enemy!" CinCPac- CinCPOA Bulletin 11-45 - Naval History and Heritage Command.
33344th Class.



Notes:
(1) This order states that the landing at Kota Bharu on the day of the attack was a major problem and was to be carried out "in accordance with the circumstances of the situation". However, Vice Admiral Ozawa recalled that unless the situation was particularly bad, he was determined to go to Kota Bharu.
(A) According with www.tokusetsukansen.jpn.org,the Auxiliary Whether Ship Toyama Maru (26271) was assigned to the Southern Fleet.
(B) On the 10th of December 1941, the Auxiliary Transport Kasuga Maru (42068) was renamed Kasuga Maru nº 2 Go (42068).
(2)From the 20th Destroyer Division.
(3)Heavy Cruisers Mogami, Mikuma, Suzuya and Kumano.
(4)11th Destroyer Division: Destroyers Fubuki, Hatsuyuki and Shirayuki.
(5)Light Cruiser Sendai.
(6) 12th Destroyer Division: Murakumo, Shinonome and Shirakumo; 19th Destroyer Division: Ayanami, Isonami, Shikinami and Uranami; 20th Destroyer Division: Yugiri, Amagiri and Asagiri.
(7)Auxiliary Seaplane Carriers Kamikawa Maru (42936) and Sanyo Maru (36117).
(8)13th Submarine Division
The Malaya Seizure Force at Samah and the decision on the Plan A
Vice Admiral Ozawa left Saigon on the 23rd of November with the flagship Training Cruiser KASHII334 and arrived at Sanya on the 25th of November. On the following day, the 26th, the 7th Cruiser Division, the 3rd Destroyer Squadron and the 4th Submarine Squadron arrived at Sanya, and on the same day, Vice Admiral Ozawa gathered all the Commanders of all ranks and issued an operational order, outlining the operation policy. On the same day, the flagship was changed to the Heavy Cruiser CHOKAI. On the 30th, the Commander gathered the commanders of all ranks to the flagship again and conducted a chart exercise and the 2nd operational meeting. On the 2nd of December, the 3rd operational meeting was held and instructions were given to the commanders of all ranks. (149)
During this period, the Allied Forces in the Malayan area were gradually becoming more active. The situation is described in the Introduction, Chapter III and the preceding paragraph. On 3rd of December, the Naval General Staff reported the enemy situation in this area in the Classified Telegram nº 991, which stated that 2 or 3 more battleships had been dispatched to Singapore and that the British forces in Malaya were becoming more vigilant.
Note:
The original text of the Classified Telegram nº 991 of the Naval General Staff is not extant, but various documents contain articles on both 3 battleships and 2 ships.
1st War Diary of the 7th Cruiser Division:
On the 3rd of December, received the Classified Telegram nº 991 of the Naval General Staff, informing that the battleships at Singapore area were judged to be the PRINCE OF WALES, REPULSE and KING GEORGE V.
Logbook Commander Sugama Ryokichi, Captain of the Destroyer ISONAMI (3rd of December):
From the information I have received, it appears that the British fleet, consisting of 3 battleships, a cruiser and several destroyers, is now in Singapore. Together with the PRINCE OF WALES, which reinforced Singapore yesterday, there are 3 battleships in the fleet. (The PRINCE of Wales and the REPULSE are certain, and the other one is judged to be the KING GEORGE V or the REVENGE.)
Detailed Battle Report nº 1, 3rd Destroyer Squadron
Enemy forces at sea in Singapore include 2 battleships, 2 or 3 cruisers, several destroyers, 1 submarine, and a few other vessels. I’m generally certain that there are only a few others.
On the 2nd of December, the British announced that the battleships PRINCE of WALES and REPULSE had been reinforced to Singapore. This confirmed the presence of both vessels, but it seems likely that Navy General Staff had determined that a further battleship was also likely to be in Singapore around the 3rd of December.
On the 3rd of December, Admiral Nagano, the Chief of the General Staff, issued the following instructions: (60)
Directive nº 25, 3rd of December 1941
Instructions to Commander of the Combined Fleet Admiral Yamamoto
1. The following agreement is made concerning the operational procedures of the advance detachment.
2. The operational guidelines for the advance detachment shall be in accordance with Plan A. However, if, depending on the enemy situation or other circumstances, Plan B or other extraordinary measures are required, they shall be implemented after consultation and decision between the local army and navy commanders.
The reasons for the Chief of the General Staff decision to go with Plan A are clear from the following Army documents: (150)
From: Assistant Chief of the General Staff To: Southern Army, Chief of Staff, 25th Army 3rd of December, 2340
The purpose of the agreement on the operational procedures of the advance troops in the E direction is as follows:
1 The enemy in the E M area (E for Malaya, M for Philippines) is generally aware of our plans and will take action against them, and the change in enemy conditions in the E area is expected to be a little
quicker than expected. At present, the number of ships in Singapore is 4 B cruisers, and others, and it is judged that the number of ships in Singapore will increase by 3 or more to a main force of, a large A cruiser, ten B cruisers, and an aircraft carrier. The main force of the enemy air force in that area is in the vicinity of Singapore, and some of them are in the vicinity of the border of Thailand and are on strict patrol on the sea east of Kota Bharu, Kuantan and Singapore. In this case, there is a possibility that the enemy fleet will move northwards and collide with our advance Detachments in the South China Sea or in the Gulf of Siam.
2 As stated above, the current enemy situation in the Gulf of Siam, the South China Sea and the Thailand area is not very different from what we have previously determined, so we have decided on Plan A. However, if the situation described in paragraph 1 arises after the passage of 0000 and 0000 (author's note: unknown)335, the enemy navy will be first to be destroyed by air force and the main force of our fleet will be required to take action. In such a case, it is necessary to take measures in accordance with Plan B (or a similar plan) or other temporary measures, and in this case, it is decided to rely on the cooperation of the local army and navy commanders.
3 In order to avoid loss of opportunities it is thought that an agreement for emergency measures should be implemented between the commanders of the 25th Army and the Southern Fleet. The Navy General Staff wishes to do the same, just in case.
The following is a summary of the steps taken by Vice Admiral Ozawa in the lead up to the 4th of December sortie from Sanya:
1 Vigilance outside the port of Sanya (155)
From the 27th of November, Vice Admiral Ozawa ordered patrols within 100 nautical miles outside the port of Sanya with the 2nd Air Force's seaplane reconnaissance and shipboard aircraft, and with destroyers in the Beibu Gulf336. On the 1st of December, 1000, a seaplane reconnaissance of the Heavy Cruiser KUMANO sighted the Panamanian steamer HERON moving eastward 75 nautical miles south-southwest of Sanya, and another French steamer from Saigon to Macau 6 nautical miles south of Beibu Gulf. Vice Admiral Ozawa took further measures to strengthen vigilance to prevent 3rd country merchant vessels from gathering information on our forces.
2 The sortie from Sanya is brought forward 1 hour (151)
The scheduled time for the 1st Escort Force sortie from Sanya, which was at 0800 on the 4th of December, was changed to 0700. This measure was taken at the advice of Rear Admiral Shintaro Hashimoto, commander of the 3rd Destroyer Squadron, mainly to allow more time for fleet action.
3 Action against slow fleets (151)
The transports to be used for the first landing in Malaya were all planned to be fast ships of 14 knots or more. However, the Auxiliary Transports KANSAI MARU (858) and the ASAKASAN MARU (840) were found to be unable to go faster than 14 knots due to the condition of their hulls and engines. For this reason, Vice Admiral Ozawa had the Minelayer / Netlayer HATSUTAKA escort both vessels and sailed ahead of Sanya on the 3rd of December, to join the main fleet on the morning of the 7th of December.
4 Refuelling of small vessels (151)
The distance between Sanya and Singora is approximately 1,200 nautical miles. In contrast, the range of the Destroyers from the 3rd Destroyer Squadron (FUBUKI Class), Minesweepers W-5 Class and Subchasers W-7 Class was approximately 5,000 nautical miles, 1,500 nautical miles and 2,000 nautical miles respectively at speeds of 14 knots. For this reason, Vice Admiral Ozawa decided that all Minesweepers should be replenished en route, Subchasers should be replenished if necessary, and the Destroyers should be replenished as much as possible in preparation for an encounter with the British fleet, although they had enough cruising capability. The Auxiliary Minesweeper Tender EIKO MARU (44035) was stationed in Camranh Bay, and the Auxiliary Transport NOJIMA MARU (40112), NICHIEI MARU (45071) and Naval Fleet ERIMO in Poulo Condor to refuel the ships on their way to Malaya and back.
5 Establishment of Seaplane Bases (136-152)
As will be seen later, the 2nd Air Force planned to establish Seaplane Bases at Camranh Bay, Poulo Condor Island, Panjang Island337, Ream Bay338 and Singora. Although most of these base installations were planned to be carried out by the Second Air Force's 3 Auxiliary Seaplane Carriers, Vice Admiral Ozawa ordered the Auxiliary Minesweeper Tender EIKO MARU (44035) to transport base personnel and property between Sanya and Camranh Bay, and the Heavy Cruiser CHOKAI and the Heavy Cruisers from the 7th Cruiser Division to dispatch a total of 12 base personnel to the Poulo Condor Island seaplane base.
6 Dispatch of liaison staff officers to the Army (56-153-154)
In accordance with the Army-Navy Agreement, the following liaison staff and naval communications units were dispatched to the various Southern Army Commands:
General Headquarters of the Southern Army:
Captain Ishihara Itsu339, Staff of the Combined Fleet and Staff of the 2nd Fleet.
25th Army Headquarters
Captain Taro Nagai340, Staff of the Southern Fleet 1st Dispatch Signals Corps (6 personnel, 2 radio sets)
Army 3rd Air Division Headquarters
Commander Inoguchi Kaneo341, Staff of Southern Fleet and Staff of the 11th Air Fleet
3rd Dispatch Naval Communications Force (3 personnel, 2 radio sets)
15th Army Headquarters
Lieutenant Commander Sasaki Takanobu 342 , Staff of the Southern Fleet
334The Training Cruiser KASHII with the rest of her sisters of the Katori Class was proposedly built as Training Cruisers and, according with “Japanese Cruisers of the Pacific War” by Lacroix and Wells, were a different type of cruiser that didn’t count for the treaty roaster of heavy and light cruisers. A clear indication of these fact is their naming after Sanctuaries and not Rivers like the heavy and Light Cruisers. In case of war, they were to be employed as Flagships of Area Fleets (like the Southern Fleet) because they were more spacious inside.
335I left the text just like in the original, but I’m presuming that the intent is: if the enemy appears after the midnight of X-Day after the beginning of hostilities).
336Also known as Tonkin Gulf.
337There are a lot of Panjang Islands, but in this case I think that it’s the Tho Chu Island in the Gulf of Thailand, about 70 nautical miles southwest of Phu Quoc Island.
338There is a Ream Bay at about 80 nautical miles from Panjang Island and relatively close to Phu Quoc Island. According with the Auxiliary Seaplane Carrier SANYO MARU TROM at combinedfleet.com, she departed from Panjang at 0100 and arrive at Ream at 0900 on the 6th of December and from tokusetsukansen.jpn.org, established a seaplane base. With this information I’m inclined to assume that this is the Ream Bay in question.
33946th Class.
34048th Class.
34154th Class.
34247th Class.
3 Operational Readiness of each unit
(see attached charts 1 and 5)
Escort Force
The escort Force, which was given the task of directly escort the 1st landing party of the Advance Detachments, consisted of the following units, commanded by Rear Admiral Kurita. (102-149)
Main body of the Escort Force (Commander: Rear Admiral Takeo Kurita, Commander of the 7th Cruiser Division):
7th Cruiser Division:
Heavy Cruiser KUMANO.
Heavy Cruiser SUZUYA.
Heavy Cruiser MOGAMI.
Heavy Cruiser MIKUMA.
11th Destroyer Division:
Destroyer HATSUYUKI.
Destroyer SHIRAYUKI.
Destroyer FUBUKI.
1st Escort Force (Commander: Rear Admiral Shintaro Hashimoto, Commander of the 3rd Destroyer Squadron):
Light Cruiser SENDAI (Flagship).
12th Destroyer Division:
Destroyer MURAKUMO.
Destroyer SHINONOME.
Destroyer SHIRAKUMO.
19th Destroyer Division:
Destroyer AYANAMI.
Destroyer ISONAMI.
Destroyer URANAMI.
Destroyer SHIKINAMI.
20th Destroyer Division:
Destroyer ASAGIRI.
Destroyer AMAGIRI.
Destroyer SAGIRI, dispatched to the Main Body of the Malaya Seizure Force.
Destroyer YUGIRI.
1st Minesweeper Division:
Minesweeper W-1.
Minesweeper W-2
Minesweeper W-3.
Minesweeper W-4.
Minesweeper W-5.
Minesweeper W-6.
11th Subchaser Division:
Subchaser CH-7.
Subchaser CH-8.
Subchaser CH-9.
2nd Escort Force (Commander: Captain Hideo Kojima):
Training Cruiser KASHII.
Escort SHIMUSHU.
As shown above, the total strength of the convoy was 29 ships: 4 Heavy Cruisers, 1 Light Cruiser, 1 Training Cruiser, 13 Destroyers, 6 Minesweepers, 3 Submarines and 1 Escort Ship343.
The ships of the 7th Cruiser Division were originally completed in 1935344~1937345 as Light Cruisers with 15.5 centimetre guns, later replaced with 20 centimetre guns and 8,500 tons of standard displacement346. The Destroyers of the 3rd Destroyer Squadron all FUBUKI class destroyers completed in the early Showa period. These destroyers were the so-called "special type destroyers" which revolutionized the performance of destroyers. They were older than the Destroyers from the 2nd and 4th Destroyer Squadrons347 and carried the older Type 90 torpedoes, which was an ordinary air torpedo. (Nine 61 centimetre launchers and six 12.7 centimetre guns)348.
The 7th Cruiser Division and the 3rd Destroyer Squadron, which had made their final arrangements at Kure, left Kure on the 20th of November and temporarily anchored off Hashirajima Island in Hiroshima Bay that night. Rear Admiral Kurita led both squadrons out of Hashirajima the next day and advanced to Sanya, Hainan Island, arriving on the 26th of November. However, the Heavy Cruiser KUMANO was delayed in leaving Kure due to engine failure, and only arrived at Sanya on the 29th, and Rear Admiral Kurita changed the flagship to the KUMANO on the same day. (149)
The 1st Minesweeper Division, the 11th Subchaser Division, the Training Cruiser KASHII and Escort SHIMUSHU, which were in the French Indochina area, also assembled at Sanya by 26th. Having finished assembling all units except the KUMANO, the Escort Forces proceeded with preparations for the next operation from the following day349. (149)
343The Imperial Japanese Navy, being completely focused on the offensive but also with a limited industrial capacity was not able to develop a strong defensive force and by December 1941 only had 4 proposedly built Escorts of the Shimushu Class.
344Heavy Cruisers MOGAMI and MIKUMA.
345Heavy Cruisers SUZUYA and KUMANO.
346Officially 8,500 standard, in reality around 11,000 with full displacement and after the rebuilt with the adding torpedo bulges the full displacement rose to about 13,000 Tons.
347The 2nd Destroyer Squadron had ASASHIO and KAGERO type destroyers and the 4th Destroyer Squadron had
Shiratsuyu and Asashio Class destroyers
348The Appendix C have the main characteristics of all the Japanese ships involved in the Philippines and Malaya Campaign.
27th November 1941:
Morning aboard the Training Cruiser KASHII: 1st operational meeting of the Malaya Seizure Force.
Afternoon: Work on a joint detailed agreement between the Army 5th Division, Army Takumi Detachment, 7th Cruiser Division, 3rd Destroyer Squadron, 9th Base Force, 22nd Naval Air Flotilla and 12th Seaplane Tender Division.
28th of November 1941:
Afternoon: Signing of the Agreement.
Aboard the Heavy Cruiser SUZUYA, an Agreement is signed between the Takumi Detachment, the 7th Cruiser Division, the 3rd Destroyer Squadron and 12th Seaplane Tender Division350.
30th of November 1941:
Morning aboard the Heavy Cruiser CHOKAI: 2nd operational meeting of the Malaya Seizure Force with diagram exercises.
2nd of December 1941:
Morning aboard Heavy Cruiser CHOKAI: 3rd operational meeting of the Malaya Seizure Force with general and operational instructions from the Commander of the Malaya Seizure Force351.
Afternoon aboard Heavy Cruiser KUMANO: Operational meeting of the Escort Force with general and operational instructions from the Escort Force Commander352.
During this period, according to the general plan of the Commander of the Malaya Seizure Force, the Destroyers and the reconnaissance seaplanes of each ship353 were on vigilance outside Sanya Harbour, and each ship was busy preparing resupplying fuel and ammunition. (155)
1st Air Force
The 1st Air Force was commanded by Rear Admiral Sadaichi Matsunaga, Commander of the 22nd Naval Air Flotilla and at the time of the announcement of preparations for the 2nd War Readiness on the 21st of November, the Naval Air Groups were in the following situation:
22nd Naval Air Flotilla Headquarters: Saigon. GENZAN Naval Air Group: Saigon.
MIHORO Naval Air Group: moving from Taichu to French Indochina.
The MIHORO Naval Air Group had finished advancing all aircraft to Thu Dau Mot Air Base by the 25th. (90-91-92-155)
As already mentioned, the YAMADA Naval Air Group (27 Zero fighters, 9 Type 96 fighters354 and 6 land-based reconnaissance355) was detached from the 23rd Naval Air Flotilla to the 22nd Naval Air Flotilla. YAMADA Naval Air Group lost 2 Zero fighters during the move from Taiwan, but all remaining aircraft advanced to Saigon by the 1st of December. YAMADA Squadron deployed in French Indochina as follows: (109)
Soc Trang Naval Air Base: 25 Zero Fighters, 6 Land Reconnaissance Aircraft.
Saigon base: 12 Type 96 fighters (however, 3 of these aircraft had previously belonged to the Southern Fleet).
In addition, according to orders from the Southern Force Headquarters on the 2nd of December, a Detachment of 27 Type 96 Land Based Attack Aircraft of the KANOYA Naval Air Group commanded by Captain Fujiyoshi (With 9 aircraft in reserve) arrived at Saigon on the 5th of December. (90)
At the time, the Southern French Indochina Air Base was being diligently maintained by the Hainan Security Office, and its situation was generally as follows: (102)
Saigon Air Base: Capable of housing about 80 land based attack aircraft.
Thu Dau Mot Air Base: Same as above.
Soc Trang Air Base: Capable of housing about 40 fighter aircraft.
Nha Trang Air Base, capable of housing 25 land based attack aircraft.
On the 7th of December, the KANOYA Naval Air Group moved to Thu Dau Mot Air Base. (85)
The 1st Air Force's main missions were the destruction of enemy naval forces, the destruction of air forces in cooperation with the Army 3rd Air Division and the escort of the invasion convoys when needed.
Rear Admiral Matsunaga laid down the Operational Plan as follows:
1 Air Forces assigned (83): Table 46.
2 Air campaign operational instructions: (81-89-115)
A) Search and reconnaissance:
1) A, B and D Air Assault Forces will conduct search and reconnaissance in the South China Sea by order on separate instructions.
2) C Air Assault Force will conduct reconnaissance in the vicinity of Singapore and Miri by order on separate instructions.
B) Air Operation in the early stages of the Malaya Campaign:
1) Around 0600 on X Day, the 1st Air Force will launch against Singapore A and B Air Assault Forces. The target of the attack will be the enemy air force.
The D Air Assault Force will conduct partial search and attack operations and be on standby to attack enemy naval vessels.
2) Thereafter, the 1st Air Force will be tasked with destroying enemy naval vessels and air power in accordance with the enemy situation.
3) When the Invasion Forces are sailing south of Saigon and in the Gulf of Thailand and during landing, special vigilance is to be exercised against enemy surface forces that may be expected to appear.
4) The GENZAN and MIHORO Naval Air Groups will prepare 18 Land Based Attack Aircraft with torpedoes each, and the KANOYA Naval Air Group Detachment 28 Land Based Attack Aircraft torpedoes, in preparation for naval attack.
5) When enemy naval vessels appear, attack them with full force.
C) Cooperation with the 1st Landing Force of the advance detachments on X Day will be as described on Table 47. (34-151)
D) British Borneo Area Operational instructions: (81-151)
1) The main mission is to attack enemy air forces and naval vessels, and at the same time to take anti-aircraft vigilance when Invasion Forces are underway.
2) Support the landing operations of the Kawaguchi Detachment in Miri, Seria and Kuching.
3) After the Miri landings, await the establishment of an air base, and deploy a part of the land based attack force of the B Air Assault Force and some fighters of the C Air Assault Force to assist in the Kuching landings.
4) Assigned to anti-aircraft vigilance in Miri and Kuching.
349The Minelayer / Netlayer HATSUTAKA its not mention but she was attached to the 9th Base Force with Camranh Bay Naval Base as its home port. (just like the 1st Minesweeper Division, the 11th Subchaser Division).
350These are the forces involved with the Kota Bharu Assault Landing.
351Vice Admiral Ozawa.
352Rear Admiral Kurita.
353The Malaya Seizure Force units that carried 1 or more seaplanes were the Heavy Cruisers CHOKAI, MOGAMI, MIKUMA, SUZUYA and KUMANO, the Light Cruiser SENDAI and the Training Cruiser KASHII.
354A5M4 Fighter (allied Codename Claude).
355C5M2, Type 98 Reconnaissance Aircraft Model 2 (allied codename Babs).
![]() |

2nd Air Force (136-152-157-158-159)
The 2nd Air Force, commanded by Rear Admiral Osamu Imamura356, Commander of the 12th Seaplane Tender Division, was formed from the Auxiliary Seaplane Carriers KAMIKAWA MARU (42936) and SANYO MARU (36117) of the 12th Seaplane Tender Division and the Auxiliary Seaplane Carrier SAGARA MARU (47837) of the 9th Base Force. These were all Auxiliary Seaplane Carriers converted from merchant ships, and their main Naval Air Groups were as shown in the Table 48.
The Auxiliary Seaplane Carrier KAMIKAWA MARU (42936) had been in action in the Taiwan Strait area as the flagship of the 12th Seaplane Tender Division since the 3rd Fleet was formed, and returned to Sasebo in August 1941, where she continued to prepare for war readiness and training as the flagship. Auxiliary Seaplane Carrier SANYO MARU (36117) was commissioned in August of the same year 357 and was hurriedly outfitted as an Auxiliary Seaplane Carrier in Sasebo. On the 30th of September, she was incorporated into the 12th Seaplane Tender Division, and her Naval Air Group trained in naval reconnaissance, night patrols, air combat and anti-submarine warfare together with the Naval Air Group from the Seaplane Carrier KAMIKAWA MARU (42936) at Sasebo. The 12th Seaplane Tender Division departed Sasebo on the 22nd of November and arrived at Sanya on the 27th of November. The Auxiliary Seaplane Carrier SAGARA MARU (47837) was commissioned in early 1941358 and outfitted in Nagasaki, but construction was not completed until the end of October. On the 31st of October, she was incorporated into the 9th Base Force, and after preparing for war readiness at Sasebo, she arrived at Sanya on the 26th of November and came under the command of Rear Admiral Imamura.
The 12th Seaplane Tender Division Headquarters, which belonged to the 3rd Fleet, anticipated that it would be ordered to operate in the Philippine Sector in the event of an emergency, and was collecting military information and researching operations in the Philippine Sector. It was during the Combined Fleet Operational Conference in Iwakuni in mid-November that it was learned that they were to operate in the Malaya Sector. Moreover, the Auxiliary Seaplane Carriers SANYO MARU (36117) and SAGARA MARU (47837) had just finished being outfitted, and there was no time to fully prepare for battle before sailing to the Inland Sea. The 2nd Air Force, both the Headquarters and each unit, made operational readiness in a short period of time and rushed to Sanya. (158-159)
The main tasks of the 2nd Air Force in the Air Assault Force A were to provide offshore escort for the Advance Detachments in the 1st Landing Force, to guard the Singora and Pattani anchorages, and to support the Army in this area. The 2nd Air Force Headquarters had 4 intermediate seaplane bases between Sanya and Singora, namely Camranh Bay, Poulo Condor Island (about 120 nautical miles south of Saigon), Panjang Island (100 nautical miles northwest of Cape Cà Mau, the southern tip of French Indochina) and Riem Bay (about 70 nautical miles north of Panjang Island on the southwest coast of French Indochina). The plan was to have seaplanes and Seaplane Carriers at each base as the fleet advanced, to ensure full escort. This is seen in Illustration nº 21.
35640th Class.
357According with tokusetsukansen.jpn.org and combinedfleet.com, the Auxiliary Seaplane Carrier SANYO MARU (36117) was requisitioned by the Imperial Japanese Navy on the 6th of August to be converted to an Auxiliary Seaplane Carrier. Just 9 days later, on the 15th of August, with internal order nº 936, the Auxiliary Seaplane Carrier SANYO MARU (36117) is incorporated in the Imperial Japanese Navy in the Sasebo Naval District.
358According with tokusetsukansen.jpn.org and combinedfleet.com, the SAGARA MARU receives a General Conscript Order on the 16th of January of 1941 to be a “General Service Ship” at the Yokosuka Naval Base. On the 11th of September the SAGARA MARU is relieved and on the same day is requisitioned by the Imperial Japanese Navy to be converted to an Auxiliary Seaplane Carrier. Just 9 days later, on the 20th of September, with internal order nº 1093, the Auxiliary Seaplane Carrier SAGARA MARU (47837) is incorporated in the Imperial Japanese Navy in the Yokosuka Naval District. The final work will be done at Mitsubishi Heavy Industries in Nagasaki.
![]() |

Base Forces (82-150-151)
The Base Forces were the main force of the 9th Base Force, commanded by Rear Admiral Kumeichi Hiraoka. The 9th Base Force was formed on the 31st of October of 1941, assembled at Kure, departed from Kure on the 8th of November, and arrived at Sanya on the 17th of November.
In the 1st Phase Naval Disposition A, of the Malaya Seizure Force, the Auxiliary Seaplane Carrier SAGARA MARU (47837), the Auxiliary Gunboat Minelayer CHOSA MARU (28075), the 1st Minesweeper Division, the 11th Subchaser Division, the Auxiliary Subchaser SHONAN MARU nº 12 (46257) of the 91st Subchaser Division and one and a half platoons of the 91st Naval Defense Force were assigned to other Forces.
The tasks assigned to the Base Forces were the indirect escort of convoys, the establishment of a landing base in Singora (or an auxiliary base at Pattani, depending on the situation) and assistance in setting up a seaplane base at Singora. Despite the fact that the mission in Singora had to start as soon as the advance convoy arrived, the ships of the 9th Base Force were generally slow and of inferior performance, and the supply ships had to be ahead of the convoy, waiting in route and ready to replenish the convoy. Rear Admiral Hiraoka therefore drew up the following summary plan:
1 Operational policy:
A) The units would sail from Sanya 2 or 3 days ahead of the convoy's Sanya sortie, and would be alerted on the convoy's planned route, following the convoy's arrival at Singora.
B) The only surface defence at Singora will be anti-submarine nets.
C) The night patrol at the anchorages will be conducted mainly in Singora and partly in Kota Bharu and Pattani. The vigilance procedure will be mobile patrols by naval vessels.
D) After arriving at Singora, the Ground Forces359 will be landed immediately to establish a base.
2 Assignment of Forces: Table 49.
3 Overview of actions of the various units:
A) The Main Force360 departs Sanya at 1800 on X-5, directly escorting 2 slow transports, and arrives at Singora early in the morning of X Day, after having the transports join the 1st Landing Force convoy near Panjang Island at about 1800 on X-1.
B) The Guard Force left Sanya in the evening of the X-6 and arrived at Singora on the X+1.
C) The 1st Supply Unit departs Sanya in the evening of the X-7, replenishes the 3 minesweepers of the 1st Landing Force convoy in Camranh Bay, and arrives at Singora early in the morning of the X Day.
D) The 2nd Supply Group departs Sanya on X-5 and arrives at Poulo Condor Island by 1000 on X-3, refuels 3 Minesweepers (plus 4 Destroyers by special order) of the 1st Escort Force and arrives at Singora early in the morning of X Day.
E) The 91st Naval Defense Force and 91st Naval Communications Force embark on board the Auxiliary Transport NOJIMA MARU (40112).
359Ground Forces of the 9th Base Force were the 9th Base Force Headquarters, the 91st Naval Defense Force, the 91st Naval Communications Force and the 91st Ports & Docks Force.
360Minelayer / Netlayer HATSUTAKA.
![]() |
Submarine Force (82-102-162)
On the 28th of November, the 5th Submarine Squadron was incorporated into the Malaya Seizure Force by the Southern Force Headquarters Order nº 10. With this the Malaya Seizure Force, Submarine Force at the start of the war consisted of the following forces under the command of Rear Admiral Setsuzo Yoshitomi361, Commander of the 4th Submarine Squadron:
4th Submarine Squadron (Commander: Rear Admiral Yoshitomi):
Flagship Light Cruiser KINU.
18th Submarine Division: Submarines I-53, I-54 and I-55. 19th Submarine Division: Submarines I-56, I-57 and I-58. 21st Submarine Division: Submarines RO-33 and RO-34. Auxiliary Submarine Tender NAGOYA MARU (37699).
5th Submarine Squadron (Commander: Rear Admiral Tadashige Daigo362): Flagship Light Cruiser YURA.
28th Submarine Division: Submarines I-59 and I-60. 29th Submarine Division: Submarines I-62 and I-64. 30th Submarine Division: Submarines I-65 and I-66.
Auxiliary Submarine Tender RIO DE JANEIRO MARU (35928). 6th Submarine Squadron (Commander Captain Miyazaki Takeji):363
13th Submarine Division: Submarines I-121 and I-122.
However, as the 21st and 28th Submarine Divisions were undergoing repairs in the Inland Sea, only 12 submarines were operational at the start of the war.
The 2 ships of the 13th Submarine Division were minelayer submarines completed in 1927. Both were equipped with four torpedo tubes (12 torpedoes) in addition to 42 sea mines. The other submarines belonged to the ocean size (Kaidai364) type (mainly designed to participate in fleet combat), completed between 1927 and 1937, and were equipped with 6 to 8 torpedo tubes (14 to 16 torpedoes).
The 4th Submarine Squadron, excluding the 21st Submarine Division, left Hiroshima Bay on the 20th of November and advanced to Sanya on the same day, and the 13th Submarine Division arrived at Sanya on the following day. The 5th Submarine Squadron, excluding the 28th Submarine Division, departed Sasebo on the 28th of November and was advancing into the Philippine waters when, in accordance with the aforementioned Southern Force Headquarters Order nº 10, Vice Admiral Ozawa ordered the division to advance to Sanya. The 13th Submarine Division arrived at Sanya on the 2nd of December.
The immediate missions of the submarine force of the Malaya Seizure Force were mainly to intercept and attack the British fleet, which was expected to counterattack northwards from the Singapore area, to lay mines in the Singapore Straits, and to conduct weather reconnaissance.
Rear Admiral Yoshitomi's operational plan at the beginning of the war was as follows. (see Illustration nº 22):
1 P3-S3 dispersal line: 3 submarines of the 18th Submarine Division. However, until the 5th Submarine Squadron arrives at the operational area, 1 of its submarines will be deployed on the P11-S11 dispersal line.
2 P4-S4 dispersal line: 3 submarines of the 19th Submarine Division. However, 1 of them will be deployed on the P5-S5 dispersal line to engage in weather reconnaissance in the Kota Bharu area.
3 P11-S11 dispersal line: 4 submarines of the 5th Submarine Squadron.
4 The 2 submarines of the 13th Submarine Division will lay mines at the east entrance of the Singapore Straits and then monitor the Straits, 1 of the submarines will observe the weather in the area and report to the air force.
36139th Class.
36240th Class
363On the Original it’s Captain Tamaki Tomejiro (45th Class), but according with combinedfleet and “Materials of IJN websites the Commander of the 13th Submarine Division was the Captain Miyazaki Takeji (46th Class). Captain Tamaki Tomejiro was the Commander of the 29th Submarine Division, also assigned to the Malaya Seizure Force but with a deployment and assigned area completely different.
364The Kaidai Submarine were Large Type Submarines or 1st Class Submarines. The Kaichu Type Submarines were Medium Size Submarines or 2nd Class Submarines.
![]() |
Minelayer Force (102-130-153)
The 2 ships of the Minelayer Force, Auxiliary Minelayer TATSUMIYA MARU (44853) and the Auxiliary Gunboat Minelayer CHOSA MARU (28075), were both commissioned as Auxiliary Minelayer and Auxiliary Gunboat Minelayer respectively. In other words, the Auxiliary Gunboat Minelayer CHOSA MARU (28075) (2,538 tons) was commissioned in the autumn of 1940 and became an Auxiliary Gunboat Minelayer carrying an estimated 300 mines and was incorporated into the 9th Base Force when it was newly formed. In August 1941, the Auxiliary Minelayer TATSUMIYA MARU (44853) (6,343 tons) was commissioned together with her sister ship TATSUHARU MARU (45329) and outfitted as an Auxiliary Minelayer with a capacity of 650 mines. She was also incorporated into the 9th Base Force when it was newly formed. On the 15th of October of the same year, upon completion of the construction work, she was incorporated into the 17th Minelayer Division of the 3rd Fleet. Both ships had only been in service for a short period of time, and Auxiliary Minelayer TATSUMIYA MARU (44853) in particular was completed just before the outbreak of war, so there was not enough time to prepare for operations.
The standard offensive minelayer operation overview for the 1st offensive minelayer operations were set out in the classified Combined Fleet Order nº 1, and in response to this, the commanders of the units and the Malaya Seizure Force gave the following general operational instructions to the Minelayer Force:
1 Operational objectives:
A) Covertly lay mines off the east coast of Malaya to intercept and destroy enemy vessels moving northwards from Singapore, or to control their movements.
B) Separately, to lay mines in the northwest channel of Borneo to intercept and destroy enemy vessels operating in the same area.
2 Operational policy:
A) Both ships will covertly advance to the assigned areas to lay mines.
B) After the 1st laying of mines, both ships will return to Camranh Bay to replenish and carry out the 2nd minelayer operation.
3 Minelaying Instructions:
A) Timing of laying:
1st Minelayer Operation: X-2 Day or X-1 Day at night. 2nd Minelayer Operation: X+10 Day or X+11 Day.
B) Place of laying and laying specifications: Illustration nº 23 and Table 50.


Other units
The Saigon Base Unit and Camranh Bay Base Unit were part of the 11th Special Base Force, commanded by Vice Admiral Togari Takamoto365, Commander of the 11th Special Base Force with the Base Units as the core, plus a part of the 9th Base Force and the Repair Ship ASAHI366.
The Saigon Base Unit consisted of the Headquarters, the main unit, the 81st Naval Communications Force, air base security units, the 81st Naval Communications Force Hanoi Detachment, and the Auxiliary Minesweepers OTOWA MARU (27092) and RUMOI MARU (26708) (each with 200 tons), whose main duties were to act as a regional communications centres, guard various bases and liaise with the Army. The Camranh Bay Base Unit consisted of the Repair Ship ASAHI, the Auxiliary Gunboat and Minelayer EIFUKU MARU (45694), the Auxiliary Subchaser SHONAN MARU nº 12 (46257) and the Camranh Bay Detachment Unit of the 11th Special Base Force and was in charge of emergency work, Camranh Bay defence, port duties and liaison with the Army in the area.
The following units were attached to the Malaya Seizure Force: 2nd Yokosuka SNLF: (66)
Commanded by Commander Tomonari Kiyoshi 367 was newly formed on the 15th of October 1941 with 746 men. On the 20th of November, it was attached to the Combined Fleet and at the same time incorporated into the Malaya seizure Force of the Southern Force. The unit was ordered to advance to Sanya by the 2nd of December and was planned to engage in operations in the Borneo area after the war started.
4th Naval Construction Force: (56)
Organised in Yokosuka on the 20th of November 1941 and incorporated into the Malaya Seizure Force. The Force planned to engage in setting up an air base on Borneo after the outbreak of war and worked together with 2nd Yokosuka SNLF.
Southern Fleet Auxiliary Meteorological Squadron:
Began operations around August of 1941, but its scale was small. At the outbreak of the war, it was led by Lieutenant Commander Kuze Iida and consisted of about 20 personnel. 4 observation ships were deployed in the South China Sea, and the unit was in close contact with the Army's meteorological organisation at the Saigon Air Base. (163)
Supply Ship: (73)
Table 51.
36537th Class.
366From combinedfleet Repair Ship ASAHI TROM: the Repair Ship ASAHI is the former Pre-Dreadnought Battleship ASAHI, built in 1898 in the United Kingdom as the 2nd ship of the Shikishima Class of Battleship and incorporated in the Imperial Japanese Navy on the 29th of September 1899. After fighting in the Russo Japanese War (present at the Battle of the Yellow Sea and the Battle of Tsushima) in 1914 is rerated as a Gunnery Training Ship and after the Washington Naval Treaty as a Submarine Depot and Training Ship. In 1928, Asahi is rated as a Reserve Ship. In 1937, the Asahi comes out of Reserve and is refitted as a Repair Ship.
36749th Class.

1 Advance to the Malaya Peninsula
(See Appendix 5 and 6)
Sortie from Samah (102-149-151-155-160)
On the 2nd of December, upon receiving the Combined Fleet order nº 20, Vice Admiral Ozawa, the commander of the Malaya Seizure Force, issued the following order, at 2008 with the Malaya Seizure Force order nº 1 on the same night:
1 Date X is set for 8 December.
2 All units are to act in accordance with the scheduled plan.
By this time, a part of the Malaya Seizure Force had already left Sanya and taken the following actions:
1st of December 1941:
0800~1200:
8 submarines of the 18th, 19th and 13th Submarine Divisions had departed to assign deployment points east of the Malay Peninsula.
1700:
Minesweepers W-1, W-5 and W-6 of the 1st Minesweeper Division depart Sanya to sweep the fleet route ahead, refuel in Camranh Bay and then join the 1st Convoy at 1530 on the 5th .
1710 :
Auxiliary Minesweeper Tender EIKO MARU (44035) departs from Sanya for Camranh Bay to be on stand by for refuelling.
1900:
Auxiliary Gunboat Minelayer CHOSA MARU (28075) depart Sanya to lay mines in the Api Channel.
2nd of December 1941:
1100:
Auxiliary Seaplane Carrier SANYO MARU (36117) departs Sanya sets up Seaplane Bases at Panjang Island and Riem Bay.
At an unknown time 368 , Auxiliary Seaplane Carrier SAGARA MARU (47837) departs Sanya to sets up a Seaplane Base at Poulo Condor Island.
1400:
Minesweepers W-2, W-3 and W-4 of the 1st Minesweeper Division and Subchaser CH-9 of the 11th Subchaser Division depart Sanya to sweep the fleet route ahead, refuel at Poulo Condor Island and then join the 1st Escort Force on the 6th at 0830.
1730:
Due to their low speed, the Auxiliary Netlayer / Subchaser CHOKO MARU (46915) and the Auxiliary Subchaser SHONAN MARU nº 7 (45143) of the 91st Subchaser Division departs Sanya Singora.
The following units of the Malaya Seizure Force, after receiving the Malaya Seizure Force Order nº 10, commenced action on the 3rd of December:
1100:
The Auxiliary Transport NOJIMA MARU (40112) departs from Sanya to refuel at Poulo Condor.
1200:
Auxiliary Minelayer TATSUMIYA MARU (44853) departs from Sanya to lay mines at east of Tioman Island.
1900:
Minelayer / Netlayer HATSUTAKA departs Sanya escorting the low speed Army Auxiliary Transports KANSAI MARU (858) and ASAKASAN MARU (840) to Sanya.
The 4th of December was the day of the departure of the 1st Landing Force Convoy with the advance detachments. As shown above, the 6 minesweepers of the 1st Minesweeper Division's and 1 subchaser of the 11th Subchaser Division were sent ahead and so the 1st Escort Force consisted of the flagship, the Light Cruiser SENDAI, 10 Destroyers and 2 Subchasers, a total of 13 vessels.
Rear Admiral Hashimoto, commander of the 1st Escort Force, initially designated the 4 Destroyers and 2 Subchasers of the 19th Destroyer Division and from the 11th Subchaser Division as an anti-submarine sweeping force. The anti-submarine sweeping force would sweep outside Sanya Harbour before the convoy sailed, and while the convoy was underway, it was planned to sweep the route ahead of the convoy by 10 to 15 kilometres. However, since for a few days, there had been a number of hostile merchant vessels appearing in the South China Sea, there was the high probability that submarines would also be lying in wait in the South China Sea and there was the necessity to refuel the destroyers as much as possible for the future operations, Rear Admiral Hashimoto revised the plan so that the Sweeping Force without the 2 Subchasers, would sweep 16 kilometres ahead the fleet route, refuel at Poulo Condor Island, and then join the 1st Escort Force in the afternoon of the 6th.
On the 4th of December, at 0600, the anti-submarine sweeping force sailed from Sanya and began anti-submarine sweeps around the shipping lanes up to 20 nautical miles from Sanya. At 0620, following the Light Cruiser SENDAI, the Army Convoy echelons, each led by a destroyer, sortied followed by the Main Body of the Escort Force. After confirming that the entire convoy had sailed, Vice Admiral Ozawa led the Main Body of the Malaya Seizure Force and sailed at the rear. Immediately after the departure, the Subchaser CH-7 suffered engine failure and Rear Admiral Hashimoto ordered the boat to be repaired at Sanya and then to pursue the convoy. The 19th Destroyer Division went ahead as planned, sweeping the forward course 16 kilometres ahead.
By 0800, all the forces had completed the positioning at the alert navigation formation shown in Illustration nº 24, and the Main Body of the Escort Force took up a position to the left of the Convoy Echelons, while the Main Body of the Malaya Seizure Force began to take up a vigilance around the convoy. The weather was sunny, a north wind with a speed was 5 knots, and the visibility was about 30 kilometres . On the 1st day of the war, the Japanese Army, under the command of Lieutenant General Yamashita, sent a total of 18 Auxiliary Transports369 with the 25th Army advance detachments of about 20,000 men, escorted by a total of 21 ships, including 5 Heavy Cruisers370, 1 Light Cruiser371, 14 destroyers372 and 1 Subchaser373 and started advancing through calm seas towards the Malay peninsula.
Meanwhile, Commander of the Southern Force, Vice Admiral Kondo, also led the Main Body of the Southern Force, consisting of 2 Battleships374, 2 Heavy Cruisers375 and 10 Destroyers376, and sailed from Mako at 1245, on the same day, and continue in the direction of the Malayan invasion force, some 700 nautical miles to the south-west, to begin operations in support of the Malayan Campaign.
368According with the Auxiliary Seaplane Carrier SAGARA MARU (47837) TROM at tokusetsukansen.jpn.org, on the 3rd of December Auxiliary Seaplane Carrier SAGARA MARU (47837) departed Sanya and arrived at Poulo Condor on the 5th of December. Appendix nº 5 have the same departure hour for both auxiliary seaplane carriers.
369According with the Table 39, the 4 echelons of the 1st Convoy had 20 transports, but 2 could not achieve the necessary speed and departed earlier on the 3rd, at 1900, escorted by the Minelayer / Netlayer HATSUTAKA.
3701st Section of the 4th Cruiser Division: Heavy Cruiser CHOKAI; 7th Cruiser Division: Heavy Cruisers MOGAMI, MIKUMA, SUZUYA and KUMANO.
3713rd Destroyer Squadron: Light Cruiser SENDAI.
3723rd Destroyer Squadron, 11th Destroyer Division: HATSUYUKI, SHIRAYUKI and FUBUKI; 12th Destroyer Division: MURAKUMO, SHINONOME and SHIRAKUMO; 19th Destroyer Division: AYANAMI, ISONAMI, SHIKINAMI and URANAMI; 20th Destroyer Division: YUGIRI, AMAGIRI, ASAGIRI and SAGIRI.
37311th Subchaser Division: Subchaser CH-8.
3742nd Section of the 3rd Battleship Division: Battleships KONGO and HARUNA.
3751st Section of the 4th Cruiser Division: Heavy Cruisers ATAGO (Flagship of the Southern Force) and TAKAO.
3764th Destroyer Division: ARASHI, HAGIKAZE, MAIKAZE and NOWAKI; 1st Section of the 6th Destroyer Division: Destroyers HIBIKI and AKATSUKI; 8th Destroyer Division: ARASHIO, ASASHIO, MICHISHIO and OSHIO.

Advance (136-152-157)
As the 1st Convoy with the Escort Forces sailed from Sanya, the air units also started operational action at once.
The 2nd Air Force's Naval Air Groups, which until the previous day had been engaged in patrols outside Sanya Harbour, began its anti-submarine direct escort and search of the nearby sea in response to the sortie of the flotilla:
1 Three Type Zero Observation Seaplanes of the Auxiliary Seaplane Carrier SANYO MARU (36117) searched the within a 50 nautical mile radius outside Sanya Harbour from 0720 to 1230, and 1 Type Zero Reconnaissance Seaplane searched up to 117° 110 nautical miles from Sanya.
2 Eight Type Zero Observation Seaplanes from the Auxiliary Seaplane Carrier SAGARA MARU (47837) and 3 Type Zero Observation Seaplanes from the Auxiliary Seaplane Carrier SANYO MARU (36117) conducted anti-submarine direct patrol of the convoy from 0845 to 1800.
3 Six Type Zero Observation Seaplanes and 4 Type Zero Reconnaissance Seaplanes from the Auxiliary Seaplane Carrier KAMIKAWA MARU (42936) and 2 Type Zero reconnaissance Seaplane from the Auxiliary Seaplane Carrier SANYO MARU (36117) departed Sanya and advanced into Camranh Bay while searching along the convoy route.
The 2nd Air Force Commander, Rear Admiral Imamura, gave the following criteria for the actions to be taken by the Naval Air Groups:
1 The submarines that are within 5~6 kilometres of the 1st Convoy and are clearly poised to attack are to be attacked.
2 Any aircraft in contact with our forces will be attacked. However, other aircraft will be monitored and not attacked.
However, the 2nd Air Force Naval Air Groups did not detect any aircraft or submarines that day.
The 1st Air Force, commanded by Rear Admiral Matsunaga, also started patrolling on this day. Its plan was as follows: (89-90-91-92-102-109-115)
1 With Land Based Reconnaissance Aircraft, covertly gather information on the Singapore and British Borneo areas.
2 Patrol the South China Sea and the Gulf of Thailand with Land Based Attack Aircraft. The patrol area is based at Saigon Air Base, and the patrol is divided into 3 sections at 216° and 160° of the air base, and is called A Patrol Area, B Patrol Area and C Patrol Area, respectively, from west to the north. The distance of advance is up to 20 nautical
miles from the shore of the other country if there is a shore, 600 nautical miles from the sea in Patrol B and 650 nautical miles in Patrol C. The northern boundary line of Patrol C is the 50° line of Saigon Air Base. Thus, this patrol sea area included the whole of the Gulf of Thailand and the South China Sea, bounded by the Hong Kong, Thailand, Malaya, Borneo and Philippine islands.
Note: Each patrol area was assigned its own patrol line. However, the exact patrol line numbers are unknown except for a few.
On the 4th of December, 11 Land Based Attack Aircraft of the Air Assault Force A conducted patrols in Patrol Area B and 10 Land Based Attack Aircraft of the Air Assault Force B conducted patrols in Patrol Area A. On the 4th of December, the Air Assault Force A conducted a patrol in Patrol Area B. During these patrols, 1 surfaced submarine was spotted at 96°, 120 nautical miles from Cape Cà Mau on the southern tip of French Indochina, a British cargo ship and 2 cargo ships of unknown nationality in Patrol Area B, and a British cargo ship east of French Indochina. In addition, 5 Land Based Attack Aircraft of the Air Assault Force B advanced to Sanya on the 3rd, departed from there on the 4th at 0755, scouted extensively around the route of the 1st Convoy, east of French Indochina and returned to Thu Dau Mot.
Note: The 2 cargo ships of unknown nationality are presumed to be the Auxiliary Gunboat Minelayer CHOSA MARU (28075) and the Auxiliary Minelayer TATSUMIYA MARU (44853), which were heading south to lay mines.
3 Land Based Reconnaissance Aircraft of the Air Assault Force C were dispatched to gather information but failed to achieve their objective due to poor weather conditions in the Singapore area.
Meanwhile, the 1st Convoy with the 1st Escort Force, the Main Body of the Escort Force and the Main Body of the Malaya Seizure Force continued their advance without encountering any ships or aircraft since their sortie. Rear Admiral Kondo also telegraphed to the various units as follows, indicating the intentions of the Main Body of the Southern Force: (151)
The Main Body of the Southern Force [ 4S (missing 2D), 2D/3S, 4dg, 6dg (missing 2D), 8dg377] will move south from Mako. Departure from Harbour at 1200 on the 4th and will be southwest of Poulo Condor Island at 1200 on the 6th.
The 19th Destroyer Division was the Advanced Sweep Force along the 1st Convoy route, advancing in a search line. At 0240 on the 5th of December, the URANAMI on the left end of the search line (east end), spotted a merchant vessel at 40°, 135 nautical miles from the Tagne lighthouse378 in Camranh Bay, which was the Norwegian ship SALLDOR (1,500 tons), sailing from Bangkok to Hong Kong. Soon after, the Main Body of the Escort Force arrived and Rear Admiral Kurita ordered the Destroyer URANAMI to proceed in an 80° direction and watch the merchant vessel until the convoy passed in the vicinity. (151)
Earlier, on the 3rd of December, the Combined Fleet had been ordered, under strict orders, to "treat Panamanian, Norwegian, Danish and Greek vessels in the same manner as American and British vessels". When Rear Admiral Hashimoto received a report from the Destroyer URANAMI on the action taken, he was not satisfied with the ship's treatment and ordered all units under his command to take the following measures:
This morning, 0500, the Destroyer URANAMI sent an inspection party to the 'Norwegian' steamer, but without destroying the communication system, it is not appropriate to release this vessel and send it to Hong Kong.
The ship was given attention by signalling this. (151)
On the 5th, the weather was fine again. The wind speed was 10 knots from the east and visibility was about 20 kms and the sea was calm. The 1st Convoy sailed smoothly and reached Point A 2 hours ahead of schedule at 0453 and turned the heading to 190°. The first time the ship was seen, it was in the middle of the night. Around 1000, Rear Admiral Hashimoto received a message from a patrol aircraft of the 1st Air Force, which said:
1 submarine at 130° and 196 nautical miles from Saigon, heading north, speed 10 knots, 0945.
The submarine was seen in the vicinity of the Saigon, 130° at 196 nautical miles. The submarine's position was about 200 nautical miles south-southwest of the 1st Convoy position at the time, and it was judged probable that the submarine would meet the fleet around 180 nautical miles if it continued on its present course. Rear Admiral Hashimoto reported his intention to proceed along the planned route for the time being to the Malaya Seizure Force Headquarters, who gave the following instructions in the name of the Chief of Staff at 1400: (151)
1 The nationality of the submarine found by the 1st Air Force is likely to be Thai or Dutch, and the joint objective is to monitor Camranh Bay or to reconnoitre and intercept the transport fleet.
2 Action:
A) If the following information is not received by 1400, reconnoitre the submarine with patrol planes.
B) As a result of the reconnaissance, the convoys will change course to avoid the submarines if necessary.
The 7th Cruiser Division launched 4 reconnaissance seaplanes at 1530, 110 nautical miles from Camranh Bay, and the Heavy Cruiser CHOKAI, Light Cruiser SENDAI and the 7th Cruiser Division launched a total of 6 reconnaissance seaplanes to search within 180° to 300° 200 nautical miles of the 1st Convoy. As a result, the Heavy Cruiser SUZUYA's reconnaissance seaplane spotted a mud carrier (40 meters long and 7 meters wide, with a shed at the rear, but no human figures were observed) near the submarine detection position, and it was judged that the patrol aircraft had mistakenly identified it as a submarine. The seaplanes were recovered and the convoy continued on its scheduled route. (149)
At 0730, 9 Land Base Attack Aircraft of the Air Assault Force A launched from Saigon and searched the assigned patrol area B but found no other irregularities apart from the submarines mentioned above. At 0730, 8 Land Based Attack Aircraft of the Air Assault Force B also departed from Saigon. 1 aircraft hit a truck on take-off and caught fire, but a replacement departed. The 8 aircraft patrolled the Patrol Area A, spotted 1 British merchant ship and 1 Norwegian steamer, and returned to the Thu Dau Mot Air Base. (115-149)
On the same day, the 1st Air Force received information that 2 Battleships, 2 Heavy Cruisers, a Light Cruiser (number unknown), 9 Destroyers, 2 Special Purpose ships and a number of merchant ships were berthed in the Seletar Military Port, Singapore. (109-149)
Rear Admiral Imamura led operations from the Auxiliary Seaplane Carrier KAMIKAWA MARU (42936) at Sanya. 6 Type Zero Reconnaissance Seaplanes from the Auxiliary Seaplane Carrier KAMIKAWA MARU (42936) and 2 from the Auxiliary Seaplane Carrier SANYO MARU (36117) scouted within 200 nautical miles of Camranh Bay and sighted 1 US merchant ship. 4 observation seaplanes from the Auxiliary Seaplane Carrier SANYO MARU (36117) advanced into Camranh Bay from Sanya and conducted convoy escort with 5 observation seaplanes from Auxiliary Seaplane Carrier KAMIKAWA MARU (42936). The Auxiliary Seaplane Carrier SAGARA MARU (47837) arrived at Poulo Condor Island at 1000 and began setting up a seaplane base, while 2 reconnaissance seaplanes from Auxiliary Seaplane Carrier SANYO MARU (36117) and a squadron of aircraft from the Auxiliary Seaplane Carrier SAGARA MARU (47837) advanced to Poulo Condor Island from Camranh Bay and Sanya respectively. (152)
Meanwhile, 3 minesweepers379 of the 1st Minesweeper Division, which sailed from Sanya on 1 December, refuelled at Poulo Condor Island and then joined the 1st Escort Force on the 5th at 1500. (151) In addition, the Training Cruiser KASHII and the Ueno Detachment Army Auxiliary Transport YAMAURA MARU (970), Auxiliary Transport JAHORE MARU (966), Auxiliary Transport FUSHIMI MARU (287) and Auxiliary Transport RYOYO MARU (488) 380, which were waiting at Cap Saint Jacques381, left the same day at 1945 and began moving south to join the 1st Convoy, while Escort SHIMUSHU with also Ueno Detachment Army Auxiliary AA Transport ZENYO MARU (266), Auxiliary Aircraft Repair Ship TOHO MARU (516) and Auxiliary Transport MIIKE MARU (888) also left Saint Jacques by evening and headed for Phu Quoc Island382 (western part of French Indochina, eastern part of Gulf of Thailand) with their respective ships. (102)
The Navy General Headquarters sent the following information on the recent movements of the Royal Air Force that night: (151)
Comprehensive information on recent Royal Air Force movements in the Far East:
1 As a joint force of the Royal Air Force, it is certain that aircraft from the USA and the US are in action in the Malaya area, but the number of aircraft seems to be small.
2. The bomber squadron is presumed to have moved to the peninsula, although a Buffalo and a small number of training aircraft have recently been seen in the skies over Singapore.
3 According to the reports of people returning from the same area, the base at Kuantan in the eastern part of Malaya has recently been completed.
4 Frequent communication information in the vicinity indicates that there are a considerable number of aircraft operating from the Kuantan and Kota Bharu bases.
5 Until the beginning of October, the Malaya Air Force mainly trained in single- engine land navigation and bombing, but there were no reports of formations in naval navigation or naval bombing drills, and judging from the recent communication situation, formation training (with 7 or more aircraft) and long- distance flights lasting 6 to 10 hours were conducted. Based on the above, we have concluded that the British Air Force units in the eastern and northern parts of Malaya may take aggressive action in the event of an outbreak of war with us.
At 0700 on the 6th of December, the 1st Convoy reached about 70 nautical miles east of Poulo Condor Island, and the 3 minesweepers383 and the Subchaser CH-9 of the 1st Minesweeper and 11th Subchaser Divisions, which had departed from Sanya on the 2nd, joined the 1st Escort Force at this time. Next, at 0900, the Minelayer / Netlayer HATSUTAKA flotilla (Minelayer / Netlayer HATSUTAKA, Auxiliary Transport KANSAI MARU (858) and ASAKASAN MARU (840)) joined the 1st Convoy. These 2 forces were scheduled to join together in Gulf of Thailand on the morning of the 7th, but because the fleet's speed was slower than scheduled and the 1st Convoy was earlier, they joined together a day earlier. At that time, the Training Cruiser KASHII fleet was proceeding south-west to the west of Poulo Condor Island. The fleet was scheduled to join the main fleet at 1000 on the same day, but as the main fleet was ahead of schedule, the meeting course was modified and the joining was hastened. The Main Body of the Escort Force, at 1000, also reached 50 nautical miles east of Poulo Condor Island. Rear Admiral Kurita ordered the 11th Destroyer Division to detach from the Main Body of the Escort Force and refuel at Poulo Condor Island, while the 7th Cruiser Division384 was to wait in the vicinity until this was completed.
377See Footnotes 375 (4S), 374 (3S) and 376 (4, 6 and 8dg).
378I could not identify this lighthouse. Today at Camranh Bay there isn’t a Lighthouse with this name. The 2 that
exist are at Dao Bin Hung (apparently built in 1988) and at Dao Bin Ba Islands.
379Minesweepers W-1, W-5 and W-6.
3805th Echelon, 2nd Convoy.
381Today Vung Tau.
382On “Japanese Cruisers of the Pacific War”, Lacroix and Wells have a schedule and route for the Escort SHIMUSHU Group. According to them the Escort SHIMUSHU departed from Camranh Bay on the 1st of December with the Training Cruisers KASHII and arrived at Phu Quoc Island on the 2nd (The Training Cruiser Kashii went to Cap Saint Jacques). On the 5th the Training Cruiser KASHII departs Saint Jacques to join the 1st Convoy, but the Escort SHIMUSHU with her auxiliary transports only depart from Phu Quoc Island on the 7th, at 0300 and joins the rest of the forces at 1000. On SS24, in the narrative it’s not clear when the Escort SHIMUSHU departs Phu Quoc to join the rest of the forces but Appendix 5 map shows that the Escort SHIMUSHU departs Phu Quoc and joins the rest of the forces on point F at 0700.
383Minesweepers W-2, W-3 and W-4.
384The rest of the Main Body of the Escort Force.
At that time, the various forces were instructed that:
The British have formed a new Eastern Fleet, and their flagship, the Battleship HMS PRINCE OF WALES, is certain to arrive at Singapore on the 2nd of December.
The British are expected to send 1 main ship and about 2 armoured vessels to the same area.
Around midday, the 1st Air Force Headquarters received a report of the previous day's information on ships in Singapore. The Malaya Seizure Force became extremely nervous when they learnt that 2 British battleships were certain to enter Singapore, and that a decisive battle between the British and Japanese fleets was inevitable.
At 1200, the 1st Convoy changed course to 275° at point D. The Training Cruiser KASHII with part of the 2nd Convoy was sailing 35 nautical miles northwest of the 1st Convoy and the 19th Destroyer Division, which had finished replenishing at Poulo Condor Island, was hurrying to follow the fleet and join it. The 11th Destroyer Division was still refuelling on the island, while the 7th Cruiser Division was waiting for the 11th Destroyer Division, operating southeast of the island. The SHIMUSHU force with the other part of the 2nd Convoy had already entered the Gulf of Thailand. The Auxiliary Seaplane Carrier SAGARA MARU (47837) and the Auxiliary Oiler NICHIEI MARU (45071) were at anchor at Poulo Condor Island, while the Auxiliary Minesweeper Tender EIKO MARU (44035) and the Auxiliary Transport NOJIMA MARU (40112) had completed their supply missions at Camranh Bay and Poulo Condor Island respectively and were sailing to Singora near the southern coast of French Indochina. On the 6th, a British aircraft made contact with them.
Order to shoot down a British aircraft on the 6th (103-104-105-115-115-136-149-151-152-157-164- 165)
Around noon on the 6th, the weather was cloudy, the wind was blowing east, at a speed of 10 knots. At 1345, ships escorting the convoy spotted the shadow of an aircraft in the distance on the horizon to the south-west, where there was a lot of cloud cover. However, the aircraft was hidden in the clouds and was too far away to be identified as friend or foe at first. The aircraft soon approached the main fleet from the south-west, circled it at a long distance and sailed together with the fleet, and then approached the Training Cruiser KASHII with part of the 2nd Convoy and circled over it. When the units confirmed that it was a British aircraft, they issued the following alerts one after the other:
Commander of the 20th Destroyer Division: Aircraft inbound, British aircraft, heading south, 1420.
1st Destroyer Squadron Commander: Aircraft departing, Enemy aircraft have contacted us, 1500.
The British aircraft flew over the Training Cruiser KASHII with part of the 2nd Convoy and further south of the Main Body of the Escort Force, and continued reconnaissance while operating outside the firing range of the escort vessels. Upon learning of this, Vice Admiral Ozawa decided to shoot down the British aircraft with aircraft and, at 1500, ordered the Commanders of the 1st and 2nd Air Forces that:
British large aircraft are in contact with us, shoot it down. The order was given.
![]() |
Earlier, on the 1st of December, the Imperial Japanese Navy Headquarters had ordered that "any US, British or Dutch aircraft carrying out overturning reconnaissance against our important bases of operations or convoys will be shot down". However, our intention was to start the war with independent and planned operations after midnight on 8 December. Therefore, we were extremely wary of any unforeseen combat action occurring before that time.
On the morning of this day385, an Army aircraft carrying classified documents for the current operation crash-landed off the coast of China, and the Navy General Staff at the Imperial Headquarters was informed that, due to various circumstances, the documents were suspected to have fallen into the hands of the Chinese Army. There was great concern, therefore, that the downing of the British aircraft might trigger a state of war between the British and Japanese forces. If such a situation occurred, the impact on not only the operations in the Malayan area, but also on our overall operations, was expected to be extremely large. However, it would be difficult for a large fleet of ships to operate undetected on a heavily guarded sea surface. Vice Admiral Ozawa took these factors into consideration and immediately decided to shoot down the British aircraft.
Reference:
Vice Admiral Ozawa stated the following about this decision in his memoirs in 1956:
At last, on the 4th of December, the units departed from the assembly point at Sanya and began operational action. Just on this day, I think, information was received from the Navy General Staff that the main British ships HMS PRINCE OF WALES and HMS REPULSE had arrived in Singapore on the 2nd of December.
The units continued to operate smoothly according to the detailed plans of the General Staff, and at around 2pm on the 6th, a large British aircraft appeared in the sky off Cape Cà Mau, the southern tip of French Indochina, and began to converge down on me. I saw this and immediately ordered the base at Saigon to shoot down the enemy aircraft in contact. At the time, the entire fleet was under radio silence, and also because of the surprise attack in Hawaii, the staff were very surprised and worried (I later heard that the Imperial Headquarters and the General Staffs were also very worried).
When I plan and carry out exercises, I have always had the habit of imagining various possible enemy formations in my mind and thinking of countermeasures to deal with them. In this case, too, I thought about it beforehand. One of them is that the fleet may be touched by enemy aircraft during the course of the mission. That's why, in advance, we requested the Army 3rd Air Division to provide overhead cover for the 1st Convoy in the operational agreement between the Navy and Army forces. If they had only been spotted by enemy aircraft, their intent would have been clear from their sustained contact. In less than a dozen hours, the fleet would separate and head for their respective landing points (until then, they were heading for the false route "Bangkok"). A surprise attack on Hawaii is of course would not have been considered in advance, but it cannot be considered a failure of this magnitude. It was more like "worrying too much".
When the Army and Navy General Staffs learned of Vice Admiral Ozawa's order to shoot down the British aircraft, they became very concerned about the future course of events. The same was true of the Combined Fleet Headquarters.
Reference:
Extract from the Chief of Staff of the Combined Fleet Ugaki's diary, "Fading Victory"386:
“Saturday, 6 December 1941.
In the evening, a convoy of troops stationed in southern Thailand, heading for the Gulf of Siam in southern India, came into contact with a large British aircraft and was ordered to shoot it down.
If this is the case, the most worrying thing is what will happen in the Gulf of Siam tomorrow. If it goes badly, there will be some clash between the two parties. In this case, if the U.S. does not make a positive move, I think it might be best that the day (to open hostilities) remain designated as the day after tomorrow as planned.
It would be disadvantageous, in general terms, if, at this time of urgency, instructions were to be given in place of conventional ones. It is possible to control the situation in an ideal way, but I fear that the stage will be too big and too small. Tomorrow's possible trouble might be no more than a skirmish between planes of ours and the enemies. In this case, I suggest that you should not be to upset.
How will the next day go? A day is a thousand thoughts. There is no such thing as a better thought in the world. This is the greatest drama in human history, in which the fate of a nation and the lives of many people are at stake. Don't worry. It will be as it should be. The "naru" is the divine will. Of course, the divine country is moving with divine power. This is where our strength lies.
Sunday, 7 December 1941.
No special telegram has reached here from the convoys dispatched towards Siam, contrary to my expectation of some trouble between the two parties, and I was wonder if rain held them up. Nonetheless, my guess was right. Naturally England will show Dutch courage, but it’s sure that she won’t willingly fight in the Far East. Seeing that a Japanese Convoy was heading west, she might think that it was headed for Thailand, not for her own territory. She won’t have the courage to open fire on us, so their surface ships won’t come northward. As yet they have neither preparation nor resolution to do that.”
Earlier, Rear Admiral Matsunaga received an urgent message from the Navy General Staff warning of an emergency landing of an Army aircraft and to be on the alert for an expected air raid. The Air Assault Force A launched 10 Land Based Attack Aircraft for Patrol Area A and the Air Assault Force B launched 9 Land Based Attack Aircraft for Patrol Area B, both at 0730. The Air Assault Force C was also in charge of the day's flotilla anti-aircraft direct escort, but the 1st aircraft were turned back en route due to bad weather, and no further direct escort aircraft could depart. After receiving the telegram above from Vice Admiral Ozawa at 1620, the Air Assault Force C launched 1 Land Based Reconnaissance Aircraft and 2 Zero fighters at 1640 to attack the British aircraft. However, the Zero squadron was unable to find the British aircraft and returned home at night.
Auxiliary Seaplane Carrier KAMIKAWA MARU (42936) of the 2nd Air Force departed from Sanya for Camranh Bay at 1000, while the Auxiliary Seaplane Carrier SAGARA MARU (47837) was anchored at Poulo Condor Island and the Auxiliary Seaplane Carrier SANYO MARU (36117) at Riem Bay. 6 Observation seaplanes and 4 Reconnaissance seaplanes from Auxiliary Seaplane Carrier KAMIKAWA MARU (42936) moved and scouted from Camranh Bay to Riem Bay, while 1 other Observation seaplane advanced from Sanya to Riem Bay. 4 Observation seaplanes from Auxiliary Seaplane Carrier SANYO MARU (36117) moved from Camranh Bay to Riem Bay in the morning, while 2 Reconnaissance seaplanes left Poulo Condor Island at 1540 and arrived at Riem Bay at 1840, searching on the way.
The fleet's anti-submarine direct escort that day was the responsibility of the Auxiliary Seaplane Carrier SAGARA MARU (47837) Naval Air Group. In other words, 6 Observation seaplanes (2 planes per station387) conducted fleet anti-submarine direct escort from 1015 to 1815 from their base at Poulo Condor Island. Of these, the 2nd group was engaged in direct escort from 1333 to 1510. At the time, cloud cover was 5388 and cloud height was about 500 meters, but cloud cover was low around 300 meters. The aircraft were on alert in front of the convoy at an altitude of 300-400 metres, but did not detect any British aircraft, nor were they notified of their appearance.
At 1525, Rear Admiral Imamura received the telegraphic order from the Malaya Seizure Force Commander but took no action in response to it. The Auxiliary Seaplane Carrier SAGARA MARU (47837) Naval Air Group, which was on Poulo Condor Island closest to the convoy, did not receive a telegraphic order to shoot down British aircraft.
At 1640, as no report was received after the order to shoot down the British aircraft, Vice Admiral Ozawa judged that the British aircraft had been lost and gave the following telegram regarding his assessment of the situation and the measures to be taken:
1 On the 6th, a British plane in the vicinity of Cape Cà Mau, from 1345 to 1500, was able to reconnaissance the entire Malaya Seizure Force Escort Force and the Army Convoy.
2 The enemy has been on high alert in the Kota Bharu area, and since this evening has been moving rapidly northwards with its naval forces from Singapore.
3 The Malaya Seizure Force will remain on alert and continue with its scheduled action. If enemy forces appear off Kota Bharu tomorrow morning, the convoys will be evacuated to Komposom Bay and the 1st Air Force will attack them and gather decisive forces to lure them to the Main Body of the Southern Force.
4 Position 0800 tomorrow morning: Heavy Cruiser CHOKAI, 3rd Destroyer Squadron, 290°, 120 nautical miles from Cape Cà Mau, 7th cruiser Division, 50 nautical miles southeast of the same cape.
Author's note: Komposom Bay (or Kampong Som Bay), southwest coast of Riem Bay, north of Riem Bay.
3856th of December.
386This translation is from the “The Diary of Admiral Matome Ugaki, 1941-1945: Fading Victory”, translated by Masataka Chihaya, Naval Institute Press (1991).
3873 groups of 2 planes each.
388The Okta system of measurement goes from 0 (Completely clear sky) to 8 (Completely cloudy sky) and 9 (Sky obstructed from view). A Claud Cover of 5 is a little bit more than half cloudy sky.
At the same time, Vice Admiral Ozawa ordered the 5th Submarine Squadron, which had sailed from Sanya on the 5th and was heading for the deployment point, to advance promptly on the surface to 100 nautical miles south of Cape Cà Mau.
At 1800, Vice Admiral Ozawa also sent the following summary to General Terauchi, Commander of the Southern Army at Saigon, and Lieutenant General Yamashita, Commander of the 25th Army in the Landing Craft Depot Ship SHINSHU MARU (900): (64)
1 In view of today's reconnaissance of British aircraft, the Malaya Seizure Force units expects repeated attacks by British aircraft on the 7th tomorrow at dawn.
2 On the 7th tomorrow, we should be prepared for a sea battle or an attack by British aircraft, and in that case, we would like to start an air advance operation without losing our chance.
In response, at midnight, the Southern Army replied that it agreed with this.
Meanwhile, the 11th Destroyer Division, which had finished refuelling, joined with the 7th Cruiser Division around 1800, while the 1st Convoy headed south eastern of Cape Cà Mau. The 1st Convoy and the Training Cruiser KASHII with part of the 2nd Convoy joined forces south of Cape Cà Mau around 1900, and shortly afterwards changed course to 355° and headed for the centre of the Gulf of Thailand. The 19th Destroyer Division also joined forces at 1930, and with the exception of the Subchaser CH-7, which was delayed due to a malfunction, the entire force of the 1st Escort Force was assigned to protect the fleet.
Rear Admiral Hashimoto took the following measures in preparation for an enemy attack based on the orders of Vice Admiral Ozawa:
1 After 0715 on the 7th, the Army Convoy Echelons will be spaced 2,000 metres apart, and in the event of an air attack, the convoys will avoid the attack by turning simultaneously under the order of the lead destroyer.
2 Each ship will be on standby for one hour in section 24 after 2000 on the 6th, on standby immediately in section 24 after 0720 on the 7th, and on standby for one hour in section 28 (2 minesweepers should be prepared)389.
3 Aircraft will be on first standby after 0720 on the 7th.
At midnight, Rear Admiral Hashimoto ordered all torpedoes to be fitted with practical heads (heads equipped with explosives for actual combat use). Preparation of the regular torpedoes had already been completed on the Sanya. The units of the 1st Escort Squadron continued to work through the night fitting practical heads to reserve torpedoes390.
Meanwhile, the Main Body of the Southern Force led by Vice Admiral Kondo was moving southwards on the east side of the French Indochina Sea in the afternoon of the 6th. At 1530 on the 6th, upon receiving news of the contact of British aircraft with the convoy, Vice Admiral Kondo had the destroyers of his Force refuelled from the Battleships KONGO and HARUNA, taking the risk of the inclement weather to prepare for an anticipated battle with the British fleet.
On the 7th, a British aircraft was shot down (102-109-115-136-148-150-151-152-154)
On the 7th of December, Vice Admiral Ozawa, anticipating a pre-emptive British attack on our convoy, at 0300, ordered the 2nd Air Force to conduct night reconnaissance of the area bounded by 5°30' N, 7°30' W, 103°30' E and 104°30' W (Area 6 A in the attached chart)391 with 3 Auxiliary Seaplane Carriers. At that time, Auxiliary Seaplane Carrier SANYO MARU (36117) arrived at Riem Bay on the 6th, and 11 Observation seaplanes and 6 Reconnaissance seaplanes from the Auxiliary Seaplane Carriers KAMIKAWA MARU (42936) and SANYO MARU (36117) had also entered the bay by the 6th. On the order of Vice Admiral Ozawa, 3 Type Zero Reconnaissance seaplanes from the Auxiliary Seaplane Carrier KAMIKAWA MARU (42936) and 2 from the Auxiliary Seaplane Carrier SANYO MARU (36117) left Riem Bay at 0515 to search for enemy ships in the designated area, while 2 aircraft from each of the 2 ships scouted from Riem Bay at 180°, 200°, 210° and 230° from 0730, respectively, and advanced to the bay at a distance of 160°. The 2 ships' aircraft made surveys of 180, 200, 210 and 230° from Riem Bay at an advance distance of 160 nautical miles each, but none of them found anything.
However, the Ensign Ogata Eiichi on a Type Zero Reconnaissance Seaplane from the Auxiliary Seaplane Carrier KAMIKAWA MARU (42936) spotted a British flying boat (PBY type) near Panjang Island at 0950, 300°, 20 nautical miles. In an attempt to separate the British aircraft from our convoy, Ensign Ogata took up a position in front of and below the British aircraft and headed eastwards, firing with his machine gun. The British aircraft followed him as he returned fire and moved away from our convoy. During this engagement, at 1015, about 10 of our Army fighters 392 spotted and shot him down. Reserve Ensign Ogata immediately telegraphed the situation, and the captain of the Auxiliary Seaplane Carrier SANYO MARU (36117) reported the following at 1100:
According to Unit E's classified cable nº 103, no ship's shadow was seen in the designated area.
Author's note: Unit E refers to the Malaya Seizure Force. The time of the downing of the British aircraft is based on the "Kamikawa Maru Battle Report nº 1". According to the " Inoguchi Southern Fleet Staff Diary " and "Matsumae Matsumae Southern Army Staff Diary ", the time is given as 1025.
The 1st Air Force also responded to the Malaya Seizure Force Commander's order to strengthen the base alert with fighters and planned a two-stage search for the South China Sea by the Air Assault Force D, while the Air Assault Forces A, B and D Land Based Attack Aircraft, except for the search mission, stood at the Airbase for attack the British surface forces that were expected to appear. Firstly, the first stage of search planes, consisting of eleven Type I Land Based Attack Aircraft, departed from Saigon Airbase at 0600 and scouted the assigned patrol area, obtaining the following results:
1 cargo ship of unknown nationality and 1 submarine (time and location unknown). 1 British flying boat: at 1455, 183°, 157 nautical miles from Saigon, heading 200°.
1 Seaplane: at 1815, 230°, 280 nautical miles from Saigon.
1 surfaced submarine: at 0830, 200°, 335 nautical miles from Saigon.
At the time, the Auxiliary Gunboat Minelayer CHOSA MARU (28075), the Auxiliary Minelayer TATSUMIYA MARU (44853), submarine units and surface reconnaissance aircraft of the Malaya Seizure Force were in action at sea, and other than the certain British flying boats, the enemy side was unknown. Rear Admiral Matsunaga judged that there was no sign of an attack by the British fleet based on the results of the search operations and ordered the Land Based Attack Force to stand by for the attack on Singapore on the 8th. However, he recognised that the danger of an attack by British aircraft was still present, so he moved some of the Zero Fighter planes from the Soc Trang base to Saigon in the afternoon to strengthen the air defence of the base. At 1200, 9 of the second-stage Land Based Attack Aircraft departed from the base and scouted their assigned area, discovering 1 Flying Boat and 2 cargo ships of unknown nationality.
The 1st and part of the 2nd Convoy Echelons continued on its scheduled route and reached point F at 0700, 30 minutes before sunrise393. This was 3 hours ahead of schedule. The Convoy turned to 270° at point F. The weather that day was cloudy, the wind was 10 knots east, and the visibility was about 10 kilometres, but the visibility was intermittently blocked by low clouds coming and going.
The Naval Air Groups of the Auxiliary Seaplane Carriers KAMIKAWA MARU (42936) and SANYO MARU (36117), based at Riem Bay, began anti-submarine direct escort around sunrise, and fighters of the 12th Army Air Brigade, based on Phu Quoc Island, also began anti-aircraft direct escort. The 1st and 2nd Convoys, which were heavily guarded by surface and air units, marched forward, wary of a British counterattack. However, no British forces appeared.
The Forces disperse to their respective landing points
In view of the absence of the anticipated British air counterattack and the fact that the British fleet had not been recognised despite extensive searches by air forces since dawn, Vice Admiral Ozawa decided to land as planned and ordered the Heavy Cruiser CHOKAI to approach the Landing Craft Depot Ship SHINSHU MARU (900) to inform her of his intention to "make the landing by the plan A as planned and land Kota Bahru simultaneously". In response, Lieutenant General Yamashita replied that he agreed.
At 1030 the convoy reached point G. Vice Admiral Ozawa issued an order to "proceed as planned", and the units disbanded and marched towards the planned landing points as follows:
Kota Bharu area:
Light Cruiser SENDAI, 19th Destroyer Division, Minesweepers W-2 and W-3 and Subchaser CH- 9.
3 Transports394 (Takumi Detachment).
Singora, Pattani area:
20th Destroyer Division (missing the Destroyer Sagiri), 12th Destroyer Division, Minesweepers W-1, W-4, W-5 and W-6 and Subchaser CH-8, Minelayer / Netlayer HATSUTAKA, Auxiliary Minesweeper Tender EIKO MARU (44035) and the Auxiliary Transport NOJIMA MARU (40112).
17 Transport395 (25th Army Advance Force).
Nakhon area:
Escort SHIMUSHU.
3 Transport396 (Ueno Detachment).
Ban Dong, Chungpong area: Training Cruiser KASHII.
3 Transport397 (Ueno detachment).
Prachub area:
1 Transport398 (Ueno detachment).
389I’m assuming that Rear Admiral Hashimoto had to send these instructions by radio and by referring to sections in a map is a way of preventing the gathering of information by enemy by interception of messages.
390The Fubuki Class Destroyers had 3 triple torpedo mounts with 9 torpedoes, plus another 9 torpedoes in reserve. Rear Admiral Hashimoto is ordering the preparation of the reserve force of torpedoes in anticipation a naval battle in the next morning where 2 attacks with torpedoes could be made.
391This chart was not provided in the copy of SS24 at Library & Historical Records of the Naval Institute for Defense Studies (NIDS). Probably it’s the same chart of the Footnote nº 382.
392According with the combinedfleet Kamikawa Maru TROM, the Army fighter were from the 1st Army Air Group of the 12th Air Brigade. They also refer 5 Fighter planes and not 10.
393See the Footnote nº 382.
394The 4th Echelon of the 1st Convoy (see Table 39)
395The 1st, 2nd and 3rd Echelons of the 1st Convoy (see Table 39).
2 Landing of the Advance Detachments
(see Appendix Table I and Appendix 5)
Malaya Seizure Force before the start of the landings (143-151)
After confirming the advance of each force from Point G, the Main Body of the Malaya Seizure Force moved south-eastward on the east side of the Kota Bharu landing convoy. At 1100, Vice Admiral Ozawa instructed Rear-Admiral Hashimoto, who commanded the Kota Bharu forces, that the landing would be carried out as scheduled and:
If there is any change in the enemy's situation, the Naval Commander will evacuate the Army Detachment on the transports as soon as possible.
Shortly after noon, Vice Admiral Ozawa received a report from the Auxiliary Seaplane Carrier SANYO MARU (36117) that an Army aircraft had shot down a British flying boat.
Meanwhile, the Main Body of Escort Force was in the vicinity of Poulo Condor Island to the south in the afternoon of the 7th. At 1600, Vice Admiral Ozawa gave the following orders to the Main Body of the Escort Force:
The Main Body of the Malaya Seizure force will move south to point "Mamela 00" at 1900 on the 7th and advance to point "Kohi 55" at 0110 on the 8th to support the landing, and the Main Body of the Escort Force should act accordingly.
The author's note: The points are not known, but from the action plan it is assumed to be roughly as follows:
Mamela 00: about 8° north latitude and 104° east longitude
Kohi 55: lat. 6°25' N, long. 104°E
The Main Body of the Malaya Seizure Force began to move south at a course of 180° from around 1900, and the Main Body of the Escort Force increased its speed to 24 knots and began to advance rapidly to the east of Kota Bharu.
In addition, the submarine I-56, which had been ordered to reconnoitre the weather off Kota Bharu, sailed off Kota Bharu at 0620 on the 7th of December and reported:
Kota Bharu, 20 nautical miles from the coast, the weather is cloudy with a wind direction of 10° and a wind speed of 7 knots with a wave height of 1 meter and suitable for landing operations.
However, the flagships 399 did not receive this telegram until around 2030. This report indicated that the waves were a little too high for boats to navigate, but that there was no obstacle to landing operations. At midnight, the submarine reported again:
2005: No enemy in the vicinity.
The 1st Air Force separately reported the discovery of the following three surfaced submarines:
0830: 200° 235 nautical miles from Saigon.
1140: 130°, 70 nautical miles from Khoai Island (south of Cape Cà Mau). 1540: 260° 70 nautical miles from Khoai Island.
Based on the various information he had obtained up to that time; Vice Admiral Ozawa judged the situation as follows:
1 As a result of today's spotting, no British fleet was seen around the east coast of the Malaya Peninsula, the submarines discovered by aircraft were all surfaced, and our convoys, which had already been fully reconnoitred on the 6th, were not attacked by British forces at all.
2 The movements of British naval vessels in Singapore have not been known since the 5th but judging from the results of the search for the enemy in the South China Sea, it is highly probable that they have not yet sailed.
3 The British forces in the Kota Bharu area are thought to be on high alert in preparation for our landing. However, except for Kota Bharu, the landings is likely to be successful with little resistance.
4 It is therefore necessary that each unit should enter each anchorage as planed and make the landing, while the Main Body of the Malaya Seizure Force and the Main Body of the Escort Force should stay in the Kota Bharu area and prepare for a counterattack by the British fleet.
Thus, at midnight on the 7th, the Main Bodies of the Malaya Seizure Force and of the Escort Force reached the area of 80-100 nautical miles off Kota Bharu and prepared to support the landing operations while preparing for a counterattack by the British Fleet.
Kota Bharu Landings (102-151-164-166) (See Illustration nº 26)
The landing force on Kota Bharu, which was given the most difficult task of the Malayan landings, was the Takumi Detachment (56th Infantry Regiment, with one small battalion of mountain artillery) commanded by Major General Hiroshi Takumi, with a strength of about 5,500 men. The Auxiliary Transport AWAJISAN MARU (882), Auxiliary Transport AYATOSAN MARU (850) and Auxiliary AA Transport SAKURA MARU (844) were all fast ships, and SAKURA MARU was equipped as an air defense ship. The 3 ships, with a combined capacity of about 60 landing craft, were capable of transporting about 2000 men at one time.
The following is the information obtained on the British forces in Kota Bharu before the outbreak of war:
1 In the coastal area of Kota Bharu and Terengganu (140 kilometres south-east of Kota Bharu) there are about 9,000 garrison troops, and in Tanah Merah (40 kilometres south of Kota Bharu) there is the headquarters of the North-East Malay Army.
2 In the vicinity of Kota Bharu, there are several airfields such as Kota Bharu, Tanah Merah and Kuala Besut, of which Kota Bharu Airfield is the best maintained.
3 On the Kota Bharu coast, positions have been built and barbed wire nets and mines have been erected. There are also several lines of barbed wire and mines on both banks of the Sabak River400, and on the shore there are pillboxes and artillery positions.
4 Near the mouth of the Sabak River to the mouth of the Kelantan River, there are a number of creeks parallel to the shore.
396The 6th Echelon of the unified 1st and 2nd Convoy (see Table 39).
397The 5th Echelon of the unified 1st and 2nd Convoy (see Table 39).
398The 5th Echelon of the unified 1st and 2nd Convoy (see Table 39).
399Malaya Seizure Force: Heavy Cruiser CHOKAI; Escort Force: Heavy Cruiser KUMANO; 1st Escort Force: Light Cruiser SENDAI.
400According with Illustration nº 26: Sungai Peng Datu.

The summary of the Kota Bharu landing plan agreed by the Army and Navy was as follows:
1 Anchorage and anchorage formation as shown in Illustration nº 26.
2 Date and time of anchoring: midnight, X Day
3 Starting time and schedule for landing:
The landing will commence at 0130 on X Day (or after 0130 on X+1 day if unavoidable), and after 3 landings by dawn, the transport fleet will retreat to
the Pattani area. The transports will re-enter Kota Bharu anchorage by midnight X+1 under naval escort and finish landing by daybreak.
4 Others
A) No supporting fire will be given by the Navy except at the request of the Army.
B) In the event of an Auxiliary Transport being disabled or lost, the Naval Escorting Force are responsible for securing the ship.
C) The convoy will assist in the emergency repair of Army landing crafts and will prepare an Auxiliary Repair Ship in the vicinity of transports for naval assistance.
On the basis of the above, the Takumi Detachment established the following general landing points:
1 Landing point:
Mainly left bank of Sabak River.
Partly between the mouth of the Paamat River401 and Kelantan Rivers.
2 Landing Division
The following 3 landings are to be completed by 0630:
A) Most of the 56th Infantry Regiment, Detachment Intelligence Officer
B) Detachment Headquarters, the remainder of the 56th Infantry Regiment, reserve units and communications units (launched 30 minutes after the first landing)
C) Independent 7th Motorized Anti-Tank Company, independent field anti-aircraft guns, half sections of the 2nd Field Hospitals, horses of various units ( Departs after the return of the first boats).
The Kota Bharu landing force, commanded by Rear Admiral Hashimoto, after breaking off at Point G, advanced at a heading of 215 °, on a parallel course with the Landing Forces of the advance detachments of the 25th Army going for Singora and Pattani. In the formation, the destroyers AYANAMI, ISONAMI, Minesweepers W-2 and W-3 and Subchaser CH-9 directly escorted the 3 Army Auxiliary Transports, while the flagship Light Cruiser SENDAI with the Destroyers SHIKINAMI and the URANAMI formed a sweeping formation 30 kilometres wide, 20 kilometres ahead of the convoy. At 1400 the forces changed course to 175 ° and headed for Kota Bharu. The seaplanes of the 2nd Air Force and the fighters of the 12th Army Air Brigade had been engaged in direct escort of the invasion forces, but this was not done any more. At 1300, the Light Cruiser SENDAI launched its seaplane (Navy Type 94 Reconnaissance Seaplane Model 2) to search the route ahead, but no enemy was detected and returned to Riem Bay.
401According with Illustration nº 26 between points A and B, in front of the Airfield (point C).
At 1630, the Destroyer URANAMI, occupying the left end of the sweep party, sighted the Norwegian merchant ship HAFTHOR (1,350 tons) at 355°, 105 nautical miles from Kota Bharu. The Destroyer URANAMI sent an inspection party to investigate, and as the merchant ship was suspected of carrying out intelligence activities, the entire crew was transferred to a cutter, after which the ship's bottom valves were opened and the ship was sunk by itself402. Around 1925, the Destroyer URANAMI spotted and fired on a British Blenheim bomber near Kota Bharu at 345°60 nautical miles, but it soon disappeared. At sunset on 1935, the convoy had already reached 60 nautical miles north of Kota Bharu. As dusk fell, the danger of British aircraft attack diminished, but it was now clear that the landing at Kota Bharu would be a landing without the element of surprise.
At 2400, the Light Cruiser SENDAI received the aforementioned weather report from submarine I-56. The moon was waning into the last quarter and appeared at 2300. It was cloudy, but the moonlight opened up visibility. At this time lights were seen shining on the southern shore and the lighthouse at Tunbat Harbour was also sighted. The mountains of Malaya were also discernible against the moonlight sky, and the ship's position was reliably measured.
At 2330, Minesweepers W-2 and W-3, sweeping ahead, first entered the anchorage, followed by the transports led by the Destroyer AYANAMI, and anchored 6,000 meters off the mouth of the Sabak River at 2355.
The escort force was immediately deployed for 2.5 to 3 kilometres around the Army Auxiliary Transports as they began to unload their boats. At the same time as the Auxiliary Transports anchored, the lights on land were all extinguished, and it was thought that the British forces had learned of the arrival of our fleet. Around the time of anchoring, the easterly wind became stronger and the waves became higher. By 0050, the boats were ready and the first landing party began to transfer to the boats. However, the transfer was extremely difficult, with many falling into the sea due to the heavy waves. At 0114, about 1300 members of the first landing party finally finished transferring to about 20 boats, and at 0135 boat leverages were formed up and launched simultaneously towards the land shore.
A little after 0200, the fire arrow signal (a small rocket signal fired into the air) was raised near the landing point, and a scene of gunfire and flashes of light was seen from the ships. The fighting at the landing point seemed to continue fiercely, but no 'Seco' protocol signal was sent to indicate a successful landing. Rear Admiral Hashimoto , however, acknowledged the success of the landing and reported that the landing had been successful:
1st Landing Force reported that the first landing had begun at 0215 and that there was significant resistance.
The 2nd Landing Party was scheduled to depart 30 minutes after the 1st Landing Party departure, but it went much later than scheduled, and the 0245 Nasu Infantry Regiment commander and others departed403.
Some of the first landing craft returned to the convoy around 0330. At that time, 3 British aircraft attacked and began to attack the fleet and the ships. The British planes attacked one after another for the next hour, repeatedly bombing and shooting from low altitudes, and the fleet fell into a difficult situation. Rear Admiral Hashimoto judged that further landing would only cause unnecessary damage due to the heavy continuous attacks by British aircraft and expressed his opinion to the Army that the landing should be stopped after the 2nd landing and the convoy should immediately retreat to the Singora area. However, the Detachment Commander said that to abort after 2 landings would be unacceptable for the execution of the landing combat and that 3 landings were necessary, and eventually, based on the Detachment Commander's judgement that the 3rd Landing would be completed by 0630, both commanders agreed to evacuate the convoy at 0630, regardless of the landing situation.
At 0500, 4 British aircraft attacked again. The convoy shot down 1 of the planes. However, the transports were also damaged, and at 0525, the Auxiliary Transport AWAJISAN MARU (882) was hit, causing a fire which spread and finally became impossible to salvage the ship. Rear Admiral Hashimoto ordered the Subchaser CH-9 to the rescue.
The plan was to launch the 3rd Landing Force after the 1st Landing Force boats had returned. However, the boats were returning in pieces and the Army Auxiliary Transports was under attack by British aircraft, so there was no time to delay the transfer and departure. For this reason, the 3rd Landing Force under Commander Takumi had no choice but to wait for the return of the boats before transferring and departing one after another.
At 0600, 3 raids by 4 aircraft continued for about 30 minutes. These 3 air raids caused heavy damage to the transports as follows:
Auxiliary Transport AWAJISAN MARU (882) was hit by more than 3 bombs and was disabled by fire.
Auxiliary Transport AYATOSAN MARU (850) was hit by 3 bombs, 60 men were killed and 70 wounded. 7 derricks were damaged (1 usable), and a hole of 1m in diameter was made 2 meters above the waterline at the front.
Auxiliary AA Transport SAKURA MARU (844) was hit by 2 bombs, 3 killed, over a dozen wounded, 1st storehouse flooded, 5th storehouse breached.
Rear Admiral Hashimoto reported that the damage on the Auxiliary Transport AWAJISAN MARU (882) was “heavily damaged and not expected to be recovered" and ordered the 1st Section of the 19th Destroyer Division (AYANAMI and ISONAMI), minesweepers W-2, W-3 and the subchaser CH-9 to rescue the Auxiliary Transport AWAJISAN MARU (882), and the 2nd Section of the 19th Destroyer Division (SHIKINAMI and URANAMI) to escort other ships to evacuate. At 0630, the Auxiliary Transport AYATOZAN MARU (850) and Auxiliary AA Transport SAKURA MARU (844) pulled anchor and began to evacuate escorted by the Destroyers SHIKINAMI and URANAMI.
At 0700, Rear Admiral Hashimoto ordered the ships in the anchorage to "evacuate for convenience now", and he himself left the anchorage with the SENDAI.
At the same time, he reported:
The Auxiliary Transport AYATOZAN MARU (850) and Auxiliary AA Transport SAKURA MARU (844) were to be evacuated under escort.
The Auxiliary Transport AYATOZAN MARU (850) and Auxiliary AA Transport SAKURA MARU (844) left with the Minesweepers also following the SENDAI.
Captain Ooe Ranji404, Commander of the 19th Destroyer Division, ordered the Destroyers AYANAMI and ISONAMI and the Subchaser CH-9 to engage in rescue work. The escort vessels rescued 396 men, almost all of whom were on board the Auxiliary Transport AWAJISAN MARU (882), which had jumped into the sea. However, the fire on the ship was not expected to be extinguished, so the rescue vessels also left the anchorage and began evacuation by 0825. 1 British aircraft bombed the Destroyer SHIKINAMI at 0807, and 5 more aircraft at 0845, torpedoed the Destroyer URANAMI, but none hit. SENDAI went straight to Singora, while the rest of the ships arrived off Pattani around noon.
At 0910, Rear Admiral Hashimoto sends a report informing:
On the first night of the landing at Kota Bharu, the Auxiliary Transport AWAJISAN MARU (882) was lost to enemy aircraft bombing, and the Auxiliary Transport AYATOZAN MARU (850) and Auxiliary AA Transport SAKURA MARU (844) were also considerably damaged, but the destroyers were undamaged, and without aircraft support, landing tonight would be extremely difficult.
Vice Admiral Ozawa requested a more detailed report and accordingly, Rear Admiral Hashimoto sent the following report:
1 The 2nd landing was on schedule, although the landing force was not yet certain. The 3rd landing was partially on schedule.
2 The 1st landing at about 0215. The landing met with considerable resistance on the shore, after which it gradually advanced, but for some time afterwards it came under fire from inland.
3 Several enemy planes counter-attacked around 0400, 1 of which was shot down, 3 or more hits on the Auxiliary Transport AWAJISAN MARU (882) resulting a large fire, 3 hits the Auxiliary Transport AYATOZAN MARU (850) and 2 hits on the Auxiliary AA Transport SAKURA MARU (844):
Auxiliary Transport AYATOZAN MARU (850): 51 killed, 34 seriously wounded, 15 lightly wounded.
Auxiliary AA Transport SAKURA MARU (844): 3 killed, some seriously injured, 15 lightly injured.
The escort vessels have rescued about 210 men, of which 2 is seriously injured and 4 are lightly injured.
402The HAFTHOR crew made several reports about what had happen, looking for compensations after the war and the Norwegian Naval Museum (Norsk Maritimt Museum) have them in their collection. The report, translated to English is available as Appendix I.
403Colonel Y. Nasu was the Commander of the 56th Infantry Regiment, the Main Force of the Takumi Detachment.
40447th Class
Landing at Singora (See Illustration nº 27) (109-115-136-151-152-157-160-161-167)
Singora is located in Thailand, about 70 kilometres from the Malay-Thailand border, and is a major distribution centre for goods in the central east coast of the Malay Peninsula, as well as an important point for land, sea and air transportation. It is also a major hub for land, sea and air traffic. It is served by a branch railway line between Bangkok and Singapore and has both old and new airfields. The port of Singora is shallow and narrow, but it is an important port on the east coast of Malaya, where there are few good ports, and there is a regular liner service between Bangkok and Singapore.
The plan of the 25th Army Advance Detachments, commanded by Lieutenant General Matsui Taikuro, the Commander of the 5th Division, was to land the main force at Singora and the Ando Detachment near Pattani and Thepha before dawn on X Day. With the main force in the direction of Sadao and with the Ando Detachment in the direction of Betong breaking through the Malay-Thailand border, eliminating resistance from British forces in the area and advancing south through western Kedah as soon as possible. The aim was to eliminate resistance from British forces in the area and to advance southwards through western Kedah. It was estimated that about 30,000 British troops were deployed near the northern Malay border, mainly at Alor Setar, and depending on the situation, British troops could be expected to advance into southern Thailand prior to the outbreak of war. In addition, despite our political manoeuvring, the Thai Army's movements were unpredictable and there was a possibility that the Tai Army would attack our landing force.
The landing force of Singora consisted of the following units: Army Anchorage Command.
Kawamura Detachment:
The Main Force of the 11th Motorized Infantry Regiment, the Main Force of the 41st Motorized Infantry Regiment and the 5th Field Artillery Regiment, commanded by Major General Kawamura, Commander of the 9th Infantry Brigade.
Saeki Force:
The main core of the 5th Reconnaissance Regiment, commanded by Lieutenant Colonel Saeki Shizuo, the commander of the 5th Reconnaissance Regiment.
Railway Assault Force:
1st Battalion of the 41st Infantry Regiment Headquarters in conjunction with the 9th Railroad Regiment (securing and advancing on the railway).
Landing Operations Group:
The Main Force of the 11th Independent Engineer Group, the 1st Naval Anti- aircraft Artillery Group and the Naval Communications Group.
Directly Attached Forces:
1st Tank Regiment, others.
The above forces consisted of about 12,000 men, 390 vehicles and 50 tanks, which were to be landed in about 120 landing craft, divided into 10 transport ships.
The landing plan as laid down by the Army-Navy Agreement and the Matsui Advance Force was as follows:
1 Anchorage as shown in Illustration nº 27.
2 Date and time of arrival: X Day, 0100.
3 Start of landing and landing schedule:
The landing was to commence on X Day, 0300, with the full strength of the Main Force to be landed twice by dawn, and all vehicles, munitions and cargo to be landed by daybreak of the following X+1 Day, to complete the work.
4 Landing plans and duties of the various units:
A) Kawamura Detachment (85 Landing Crafts): The 1st Landing, 1st Point, will be on the east bank of Singora from the old airfield to the new airfield, occupy the airfield, seize vehicles, trains and ships, and then push on to the Sadao area.
B) Saeki Force (18 Landing Crafts): The 1st Landing, 2nd Point, will be made near the new airfield and advance to Hat Yai (about 30 km southwest of Singora), seize vehicles and railway materials, and then advance to Sadao.
C) Railroad Assault Force (14 Landing Crafts): 1st Landing, 2nd Point, will be made near the southern end of the old airfield and advance immediately to Singora train station, seize railway materials, then break through the border by rail to Hat Yai and Pardan Besar.

The 17 405transport convoy with the Main Force of the Advance Force of the 25th Army on board, was escorted from Point G to Singora by the 20th Destroyer Division (SAGIRI missing), the Destroyer MURAKUMO from the 12th Destroyer Division, 4 Minesweepers from the 1st Minesweeper Division (Minesweepers W-1, W-4, W-5 and W-6) and Subchaser CH-8406. The force is commanded by Captain Yuji Yamada, commander of the 20th Destroyer Division407. The Minelayer / Netlayer HATSUTAKA, and the Auxiliary Minesweeper Tender EIKO MARU (44035) and the Auxiliary Transport NOJIMA MARU (40112) of the 9th Base Force also join the convoy.
405On these 17th Transports it’s also included the 6 Transports for Pattani and Thepha.
406From the 11th Subchaser Division.
407Aboard the Destroyer YUGIRI.
The 2nd Air Force escorted the convoy from the early morning of the 7th and guarded the convoy after the point G. The number of aircraft participating in the operation was 5 observation seaplanes and 4 reconnaissance seaplanes from the Auxiliary Seaplane Carrier KAMIKAWA MARU (42936), and 4 observation planes and 2 reconnaissance seaplanes from the Auxiliary Seaplane Carrier SANYO MARU (36117). The 4 observation planes of the Auxiliary Seaplane Carrier SAGARA MARU (47837) searched from 1340 to 1700 to the southwest of Panjang Island. However, 1 of the observation seaplanes of the Auxiliary Seaplane Carrier KAMIKAWA MARU (42936), which had set out on her last direct escort vigilance, escorted the Invasion Force until 2030 and returned, but due to a sudden squall in addition to the narrow night vision, it came into contact with a mountain on Koh Rong Island (at the entrance to Kampong Som Bay) and was wrecked. As a result, one crew member was killed and another was injured. Another observation aircraft was also wrecked when it capsized on landing in the water. Fighters of the Army 12th Air Brigade also made efforts to protect the Invasion Force in the midst of dark clouds several hundred meters high.
The convoy, closely guarded in the air and sea, reached a point from 45 degree at 55 nautical miles east of Singora at about sunset on the 7th without encountering any enemy on route. The Ando Detachment Convoy Echelon was detached at 2200. Around 2230, the escort force sighted the glow of the Singora lighthouse, and as it approached, the lights of the city of Singora began to shine. The flotilla anchored at an anchorage 3,000 meters off the east coast of Singora at 0305, 30 minutes ahead of schedule.
As soon as anchor was cast, the ships began to prepare their boats. At the time of anchoring, the clouds parted and a moon going to the last quarter began to shine brightly over the sea. At the same time, however, the easterly wind strengthened and the waves became high. Due to the difficulty in berthing the landing craft, the transfer was not easy, and the 1st Landing Force was launched 40 minutes behind schedule, with the lead party succeeding in landing at 0412. When they reached the beach, they met no resistance from the Thai forces. However, the beach was highly rocky, and many soldiers on foot were swallowed by the waves, making it almost impossible to lift artillery and vehicles, and boats were dispersed to various locations.
After the convoy was anchored, the escort vessels were sent to guard the perimeter and the minesweepers began to sweep the anchorage. At 0430, Captain Yamada reports:
“Singora unit, 0300, successful start of landings.”
The Base Force’s Minelayer / Netlayer HATSUTAKA, and the Auxiliary Minesweeper Tender EIKO MARU (44035) and the Auxiliary Transport NOJIMA MARU (40112), arrived at 0630 and began preparations for the establishment of berth defences. The 91st Naval Defense Force and 91st Naval Communications Force and the 2nd Air Force Base Personnel on board the Auxiliary Transport NOJIMA MARU (40112) and the Auxiliary Minesweeper Tender EIKO MARU (44035) landed at Singora, occupied the British Consulate, opened a telegraph office there and began to set up a landing base and a seaplane base in Singora harbour.
Around sunrise on 0817, 9 Zero fighter planes of the 1st Air Force arrived to guard the sky, and 1 British bomber attacked at 0930, but a Zero fighter shot it down.
4 Zero Type observation seaplanes of the Auxiliary Seaplane Carrier SAGARA MARU (47837) and 3 of the Auxiliary Seaplane Carrier KAMIKAWA MARU (42936), which were based at Riem Seaplane Base, left Riem at 0650 and advanced to Singora. Captain Toshimitsu Murayama (57th Class), the Commander of the Air Group of the Auxiliary Seaplane Carrier SAGARA MARU (47837), arrived at Singora with a Type 95 seaplane and took command of the seaplane squadron. When the seaplane squadron landed in the port of Singora, there was still an ongoing battle between our troops and the Thai troops on land, and the base personnel had only just arrived at the port of Singora and had not yet started setting up the base. The seaplanes, however, was rapidly replenished and carried out the following operations:
1 Land Support Warfare
A) Auxiliary Seaplane Carrier SAGARA MARU (47837), Naval Air Group:
1) 2 Observation Seaplanes: From 1100 to 1230, reconnaissance attack on British forces across the border
2) 2 Observation Seaplanes: From 1045 to 1245, reconnaissance on the road to the border in the direction of Pattani.
3) 1 Observation Seaplane: From 1130 to 1430, land reconnaissance (with an army officer on board).
4) 2 Observation Seaplanes: From 1235 to 1445, attack on the Tai Army barracks south of Singora.
B) Auxiliary Seaplane Carrier KAMIKAWA MARU (42936), Naval Air Group:
3 Observation Seaplanes: 1315, British Army vehicle unit attack; 1440, attack on the Tai Army barracks south of Singora.
2 Patrols
A) 1 Type 95 Seaplane Reconnaissance (Auxiliary Seaplane Carrier SAGARA MARU (47837)) also patrolled the sea east of Singora from 1600 to 1740 in search of missing Army fighters.
B) 2 Observation Seaplanes (Auxiliary Seaplane Carrier SAGARA MARU (47837)) patrolled within 90 nautical miles north-east of Singora from 1815 to 2000.
C) 1 Observation Seaplane (Auxiliary Seaplane Carrier KAMIKAWA MARU (42936)) patrols within 100 nautical miles east of Singora from 1800 to 1945.
Meanwhile, the Commander of the Army 12th Air Brigade of the 3rd Air Division, commanding the Army 1st Air Group, left the Kukan Army Air Base, Phu Quoc Island, and advanced to Singora and from 1100 onwards was engaged in overhead patrols in rotation with Type Zero Seaplanes. A part of the squadron landed at Singora Airfield for the first time around 1110. The Army 11th Air Group also took up a watch over Pattani, but as Pattani airfield was not occupied by 1200 and the airfield was heavily flooded, the Air Group landed at Singora airfield at 1330.
By evening, the main force (about 90 fighters) of the Army 12th Air Brigade had completed its advance to Singora and air defence security in the area was secured. The Singora airfield was inadequate and could only be used by light aircraft such as fighters, and it was also inadequate in terms of space. The Army 12th Air Brigade took the risk of sending its main force into the area for operational needs.
Landing at Pattani and Thepha (Illustration nº 28) (151)
The Ando Detachment was commanded by Colonel Tadao Ando, commander of 42nd Infantry Regiment, and consisted of about 7,200 men and 230 vehicles, backed by the 42nd Infantry Regiment. Of these, a detachment of about 2,800 men, consisting of 1 battalion of infantry plus various units, was scheduled to land at Thepha. The detachment was divided into 6 transports (45 Landing Crafts), with the landing force for Thepha embarked on 2 of them.
The detachment's mission was to land the main force on the west bank of the Pattani estuary and a part of it on the north of Thepha promptly occupy Pattani and Thepha airfields , as well as to break the border from near Betong and advance into Kedah Province in coordination to the main force of the Advance Force of the 25th Army.
The plan was for the convoy to dock at the designated anchorage (see Illustration nº 28) at 0100 on X Day, and start landing at 0300, making 2 landings before dawn and completing the landing in about a day and a half.
The problem of landing in Pattani was that the coast was shallow and the anchorage was far from the landing point. The Bay of Pattani is surrounded by a peninsula about 10 kilometres long jutting out to the northwest. The coast is shallow and there is a five-mile stretch of water from the point of landing to the five-mile depth line. The anchorage for the fleet was chosen to be at the lighthouse at the tip of the peninsula, so it was 9 kilometres from the landing point. In addition, the Pattani estuary is overhung by the state and even the passage of boats was expected to be difficult.
At about 2200 on the 7th, the Ando Detachment Convoy separated from the main fleet (Singora) and headed for Pattani led by the Destroyers SHIRAKUMO and SHINONOME under the command of Commander Nobuki Ogawa408, Commander of the 12th Destroyer Division.
![]() |
At about 0015 the convoy for Pattani changed course to 113 ° and headed for the Pattani Lighthouse. The lighthouse shone brightly, and as they approached the lights of the city of Pattani began to be seen. At 0035, the remaining force changes course to 235, and with the SHINONOME leading 2 Auxiliary Transports continues to Thepha. Both convoy detachments anchored almost simultaneously at about 0115 and began to prepare the boats.
Both anchorages, exposed to the open sea, suffered from severe wind and waves, as did Kota Bharu and Singora. The preparation of the landing craft and the transfer of the landing party was extremely difficult, with many landing crafts crashing into the port side and many men being injured. The first landing party finally completed its transfer and departed at about 0330. Due to the shallow water, the boats were only able to enter about 15 kilometres409 from the shore. The landing party was trapped in the deep mud and had to swim halfway to the shore, finally arriving at around 0430. Commander Ogawa arrived at the shore by 0530. By 0300 Commander Ogawa reports:
Pattani and Thaphe units, 0300 (author's note: official record) Successful start of landing.
During the first 4 waves of the landing, there were completely quiet, but the Tai Army troops counterattacked at Pattani. The fighting continued throughout the morning, but at about 1140 the Tai troops raised the white flag and ceased their resistance. The Detachment occupied the airfield and started to march towards the border in the afternoon. The Thepha landing party also captured the airfield by the time.
At sea, 1 to 3 British aircraft appeared on 3 occasions, at 0904, 1050 and 1247, but left without attacking. Shortly after noon, Kota Bharu troops pulled up off Pattani.
As mentioned above, the Pattani estuary was shallow and muddy, so that boats could only pass through at high tide. As a result, the army troops had to dig a channel and continue landing until the boats could pass.
Ueno Detachment (See Illustration nº 29) (34-102)
The Ueno Detachment was part of the 55th Division of the 15th Army. It was commanded by Colonel Setsu Ueno, commander of the 143rd Infantry Regiment, and consisted of various units based on the 143rd Infantry Regiment. Its mission was to land at various places in southern Thailand and occupy the nearby airfields in order to facilitate the 25th Army's attack on Malaya, and to quickly cross the Malay Peninsula to reach Victoria Point on its western shore and occupy its airfields to cover the flanks of the Malay Area Operations Division. The purpose of the airfield was to provide cover for the flank of the Malay Division.
The overview of the landing plan of the Ueno Detachment was as follows: Table 52.
Separately, the Yoshida Detachment (3rd Battalion, 4th Regiment, 4th Infantry Regiment of the Imperial Guard) embarked on the Auxiliary Transport HAKUSAN MARU410 and planned to land on the southern coast of Bangkok on the X Day. However, the ship left Saint-Jacques in the evening of the 5th of December411, and entered the anchorage alone, unescorted by naval vessels412.
The Ueno Detachment was under the command of the 25th Army Commander and sailed from Saint-Jacques on the 5th of December to join the 25th Army convoy was separated at point G, and SHIMUSHU escorted the Nakhon Echelon, and KASHII escorted the Chung pong and Ban Dong Echelon, but no escort ship was attached to the Auxiliary Transport JOHORE MARU (966) heading for Prachub.
The Nakhon Echelon escorted by the SHIMUSHU arrived at the planned anchorage about 5 nautical miles northeast of the mouth of the Pak Phaying River at around 0030 on the 8th without encountering any enemy. After anchoring, the boats were immediately prepared and the first landing party was transferred to the landing crafts by 0340. The landing party departed around 0400, but by this time torrential rain had fallen and visibility was poor, making navigation extremely difficult. Relying on the compass, the boat party finally reached the shore at about 0520 but could not find the mouth of the Pak Phaying River. The landing party commander searched for the mouth of the river and finally found it at 0730 and started to go upstream. The landing party reached the vicinity of Nakhon railway station at about 1000 and having eliminated the resistance of the young Thai troops, occupied the area around Nakhon city and the airfield. During this time, the “Occupying Force” kept a watchful eye on the area around the anchorage but did not find anything unusual.
After separating at point G, the Training Cruiser KASHII twice detected submarines. However, she evaded the submarines and proceeded, and at about 30 nautical miles east of Tao Island413 around 2100 on the 7th, the convoy separated in the direction of Bang Dong and Chungpong.
40846th Class. Aboard the Destroyer SHIRAKUMO.
409This is probably a mistake and it should be 1.5 kilometres.
410The Kanji for the HAKUSAN MARU at SS24 is 白馬山丸.At tokusetsukansen.jpn.org, the Kanji is 白山丸. Because of this I’m not completely convinced that this is the most correct translation for the name. But being a correct translation then the ship in question is the Imperial Japanese Army Auxiliary Transport HAKUSAN MARU (405).
411See Footnote nº 382.
412This paragraph deals with the 1 ship “convoy” for the IJA landing near Bangkok. This is the only time where this operation is described because this is not an operation involving the Imperial Japanese Navy. From an article at mekong.ne.jpabout the Malaya Operation:
“The Yoshida Detachment was responsible for direct landing operations on the Bang Phu coast near Bangkok. On the night of the 3rd of December of 1941, they boarded the HAKUSAN MARU in Saigon, moved to Phu Quoc Island and stood by in the vicinity of the island.
Yoshida's detachment, which was to land from the sea at Ban Phu on the southern coast of Bangkok, departed from Phu Quoc Island on the 7th of December and on 8th of December, between 3:00 and 4:00 am, the combat troops landed on the Bang Phu beach without meeting any resistance.
After landing on the Bang Phu coast, Yoshida's detachment was tasked to rush to Bangkok and occupy the Rama VI Bridge, but after being informed of the situation from Bangkok, it was decided to wait at Bang Phu for a while before advancing and only at Bangkok in the afternoon of the 9th of December.” The source for the Article is the The Malayan Offensive Operation: Military History Office, Defence Training Institute, Defense Agency, Asagumo Newspaper, December 1969.
413Ko (island) Tao. According with the Appendix 5 map and Illustration nº 29, the convoy split up in 2 echelons and the one for Ban Dong passes to the north of Ko Tao and the one for Chung Pong passes between Ko Tau (south) and Ko Pha Ngan.


The Training Cruiser KASHII escorted the Auxiliary Transport YAMAURA MARU (970) to an anchorage about 23 nautical miles north of the mouth of the Ban Dong River414 at about 0230 on the 8th. The reason why the anchorage was so far from the landing point was that the water in the vicinity was very shallow and the shore was 25 nautical miles from the 10 meter line. The landing party set off at 0410, but the moonlight was interrupted by rain and visibility was poor, making it difficult for the boats. After sunrise, at 0840, the boat party finally found the mouth of the Silat River415 and began to sail up the river, entering the city of Bang Dong at about 1000 and occupying the airfield by the end of the day.
The Chungpong detachment, led by Colonel Ueno, proceeded to the anchorage at about 0300. The area was also troubled by torrential rains and mud on the shore, and after landing it was met with resistance from the Thai Army. However, the Ueno detachment soon disarmed the Thai troops and occupied the airfield.
The Auxiliary Transport JOHORE MARU (966) , bound for Prachub, proceeded single-handed from Point G and entered the 0430 anchorage. The landing party braved the waves and landed at about 0630, overpowered the resistance of the Thai Army and soon occupied the airfield.
Forced Re-Landing at Kota Bharu (151-164-168-169)
After pulling out of Kota Bharu, the SENDAI arrived off Singora at 1330. Rear Admiral Hashimoto dispatched Lieutenant Commander Shiro Yamaguchi416, Gunnery Chief, ashore to request the Army to conduct an air patrol over Kota Bharu by Army fighter planes from daybreak on the 9th. Yamaguchi landed at the pier of Singora harbour and looked for the headquarters of the 25th Army, but he heard that the headquarters had advanced to the front, so he tried to contact the Navy Headquarters to try to contact the Army Headquarters. However, here too he was unable to get any information, and as the time for departure was approaching, the Gunnery Officer had no choice but to return to the ship. The Commander of the 25th Army, Yamashita, had landed at 0530, and from 0800 had set up a battle headquarters at the governor's residence to guide the operation. However, due to the confusion caused by the engagement with the Tai Army after the landing, the negotiation of a ceasefire, and the rapid southward advance of the various units, it is thought that the location of the military headquarters was not well known.
Rear Admiral Hashimoto was concerned that the Destroyer Squadron, which was to be a decisive a force against the US fleet in the future, might be damaged in the landing operation, and he did not want to carry out the re-landing of Kota Bharu unless he could negotiate an air vigilance over Kota Bharu by Army fighters. However, Major-General Yamashita was determined to resume the landing with the rest of the Takumi Detachment, which was already fighting at Kota Bharu, because he could not leave them behind. At 1430, the Rear-Admiral Hashimoto orders the 19th Destroyer Division Commander417 to take command of the operation and ordered:
Kota Bharu unit to depart at 1600 for Kota Bharu, and SENDAI to join them off Pattani at around 1700.
414According with Illustration nº 29, it’s the Phunphin River.
415Ta Pi River.
41656th Class
In addition, it was decided that the re-landing would be carried out with the full available power of the 3rd Destroyer Squadron, and the security of the Singora harbour was entrusted to the 9th Base Force units.
Rear Admiral Hashimoto left Singora at 1540 leading 4 destroyers418 from the Light Cruiser SENDAI and ordered 2 destroyers419 from the Pattani area to join the Kota Bharu contingent. In the end, the two transports were escorted by 14 ships: 1 Light Cruiser, 10 destroyers420, 2 Minesweepers421 and 1 Subchaser422.
Shortly after noon, the Kota Bharu Force that had evacuated to the coast of Pattani, hurried to repair the damage to the transports and treat the wounded. Captain Ooe orders the transports to prepare to leave port. However, the transports sent a signal saying "Why are we leaving? Captain Ooe did not care about this, but accelerated the anchoring, which delayed the sortie by about one hour.
Unable to make contact with the 25th Army, Rear Admiral Hashimoto decided to seek the support of the Naval Air Force, and sent a telegram to the Chief of Staff of the Malaya Seizure Force:
The 1st night's landing at Kota Bharu has already been reported, and in order for tonight's landing to be successful, the cooperation with the Air Force is absolutely necessary, and we ask for your special consideration.
All units met for 1800. The derrick of the Auxiliary Transport AYATOSAN MARU (850) was damaged, making it difficult to unload, and the Auxiliary AA Transport SAKURA MARU (844) had a hole about 1 meter in diameter near the water line. Both ships had no time to unload the casualties at Pattani, so they were left on board.
At 2130, the following telegram arrived from the Chief of Staff of the 25th Army:
In view of the damage to the transports, both ships will be stranded as close to the shore as possible, and after the landing, the injured and crew are to be taken to the escort vessels as quickly as possible.
Rear Admiral Hashimoto agreed with this course of action and gave the following instructions for entering the anchorage and landing:
1 Tonight's anchorage entry will be made by suspending the advance minesweeping during the approach to the anchorage and sending the transports as close to shore as possible.
2 In the event of heavy damage to the transports, the ships should be stranded on the shore and all efforts should be made to proceed with the landing. In this case, the wounded and sailors should be accommodated mainly in the Minesweepers, Subchaser and the Destroyers of the 19th Division.
In addition, Rear Admiral Hashimoto placed the 6 destroyers of the 12th and 20th Destroyer Divisions and two minesweepers within a radius of 12 Kilometres , the SENDAI within a radius of 5 miles, and four destroyers of the 19th Destroyer Division within a radius of 3 miles, with the Subchaser assigned to watch the area around the transport ships. From 2130 onwards, the ships were on immediate standby in section 26, and moved southwards while keeping a tight watch in the first alert deployment (a deployment in which all ships are in combat positions). At about 2300, when we had reached about 30 nautical miles north of Kota Bharu, a large explosion and fire were observed in the direction of Kota Bharu. At 0130, the convoy arrived at the anchorage. The fire was judged to be near Kota Bharu airfield. At that time, a white star (a signal firework fired into the air) was seen on land, and Rear Admiral Hashimoto reported to Lieutenant Vice Admiral Ozawa and the Commander of the 25th Army:
Arrived at Kota Bharu anchorage at 0130, contact made immediately by conventional means.
Heavy fire near Kota Bharu airfield
When the fleet arrived at anchor, visibility was poor due to the black smoke from the fire and nothing could be seen apart from the fire on land and the still burning Auxiliary Transport AWAJISAN MARU (882) . The fleet anchored and waited for the landing craft to arrive. However, no landing craft arrived and the time passed in vain. Forced by necessity, Rear Admiral Hashimoto ordered the ships to search for the boats. From about 0200 onwards, the ships approached the shore and searched, but only 1 or 2 landing crafts could be found here and there. The landing crafts were scattered in the shadows of the grass on the shore and far out to sea in a state of total disorganised, and some of them mistook our approaching vessels for British ships and rushed away. Rear Admiral Hashimoto reported the situation and temporarily evacuated the transports and continued the search for more boats.
At 0350, Rear Admiral Hashimoto again requested the naval air force to be on alert over the anchorage after sunrise. At 0500, also reported the following:
As there are no landing craft, it is impossible to unload, so transports are temporarily evacuated from the anchorage, and the escorts are to take in drifting landing craft and then decide on the next course of action.
During this time, at 0210, the SHINONOME detected what appeared to be a submarine and attacked it with a depth charge, but the effect was unknown. Also, a Royal Air Force Lieutenant and a soldier, who had been shot down during an attack early in the morning of the 8th, were parachuted down and captured by landing crafts, were taken aboard the Light Cruiser SENDAI. By 0600, each ship was finally able to collect more than a dozen landing crafts.
Rear Admiral Hashimoto decided to return to the anchorage and ordered the transports to dock again. The anchorage for the 9th was to be off the Tumbat harbour, but as the situation of the fighting on land was unknown, the anchorage of the 8th was used. The transports anchored at around 0720 and immediately resumed landing operations. Around this time, the easterly skies began to whiten. The escort force remained on alert around the transports as planned, but no British aircraft attacked. At 0745, Rear Admiral Hashimoto, who had been in charge of the convoy reports:
Having assembled more than a dozen landing crafts, the convoy re-entered the port and resumed landing at 0730.
At 0950, Army fighter planes flew in and began an aerial patrol, which boosted the morale of the troops. The Light Cruiser SENDAI sent an engineering party to the Auxiliary AA Transport SAKURA MARU (844) to assist in repairing the damage. At the same time, a transport reported that the first landing had been completed and that there was no enemy resistance, indicating that the landing was proceeding smoothly. Rear Admiral Hashimoto had been reporting the situation of the operation in a timely manner, but the Malaya Seizure Force headquarters requested another report on the situation at 0920. At 1000, Rear Admiral Hashimoto reports:
Landing progressing smoothly with the assistance of friendly aircraft.
At 1100, 5 Army fighter planes again came in as reinforcements. The squadron passed over in about 15 minutes, but as Army aircraft arrived frequently thereafter, the force was not counter attacked by British aircraft and the landing proceeded smoothly.
Rear Admiral Hashimoto, taking into consideration the situation of the landing and the preparations for later operations, at 1125 ordered as follows:
The Commander of the 12th Destroyer Division will lead the 12th Destroyer Division and the Destroyer ASAGIRI bound for Camranh Bay and the 20th Destroyer Division (without the Destroyer ASAGIRI) will patrol the outer perimeter of the anchorage. The
Minesweepers and the Subchaser will return to Singora. The 3 naval vessels423 are to stand by as soon as possible at Section 21.
At 1130, the 12th Destroyer Division and the Destroyer ASAGIRI left Kota Bharu for Camranh Bay, while the minesweepers and the subchaser left for Singora.
Prior to this, on the 8th, at 1800, Vice Admiral Ozawa had ordered that, with the exception of those units still in operation, all units would be transferred to the 1st Phase Naval Disposition B after midnight on the 9th. In this Naval Disposition, the 12th Destroyer Division was to become the 2nd Escort Force and engage in the attack on British Borneo, while the Minesweepers and Subchaser were to return to the base force424. Therefore, these units left Kota Bharu and were no longer under the command of Rear Admiral Hashimoto. Around this time, 2 British aircraft attacked and bombed the Minesweepers and Subchaser but failed to hit them.
Around noon, the transports informed that 70% of the unloading had been completed, and it was expected that all the unloading would be finished by 1600. At 1300, Rear Admiral Hashimoto made the following report to Vice Admiral Ozawa at 1200:
Work is expected to be completed at around 1600 (it appears that no particularly urgent items will be unloaded) due to the expediency of the squadron's next operation. Stop supply at Poulo Condor from this place at 1500. On the morning of the 11th, we will arrive at Camranh Bay and proceed directly there, but 2 destroyers will be assigned to escort the transports until sunset, during this operation we were attacked by two enemy planes but suffered no damage.
Rear Admiral Hashimoto left Kota Bharu at 1515 with the Light Cruiser SENDAI, the 2nd Section of the 19th Destroyer Division (Destroyers SHIKINAMI and URANAMI), and part of the 20th Destroyer Division (Destroyers YUGIRI and AMAGIRI), while the 1st Section of the 19th Destroyer Division (Destroyers AYANAMI and ISONAMI) also left Kota Bharu at 1830 after the landing of transports was completed. At 1800, Rear Admiral Hashimoto received a message from Captain Taro Nagai, who was dispatched to the 25th Army:
At 2300, on the 8th, the Takumi Detachment occupied the Kota Bharu airfield and at 1100, on the 9th, Kota Bharu town.
The landing of the landing force was hampered by high rocky waves and the front line troops struggled in the face of the strong British waterfront positions. As a result, the original objective of capturing Kota Bharu Airfield by sunset could not be achieved. However, after a fierce battle with the Takumi Detachment suffered more than 800 casualties, including 2 battalion commanders seriously wounded, it occupied Kota Bharu Airfield at midnight on the 8th, entered Kota Bharu city in the morning of the 9th and continued its southward march in rapid pursuit of the retreating British forces.
The Army 3rd Air Division also attacked Tanah Merah and Kuala Besut airfields with 11 fighters and 28 light bombers of the Army 12th Air Brigade from 0800 to 0900, destroying 3 local aircraft and shooting down 10 others. In the following 2nd attack, it attacked Kuala Besut airfield with 22 light bombers, destroying 3 local aircraft. Twin-engine aircraft were sighted at Kota Bharu airfield on the 8th, but the airfield attack was not carried out according to the original plan. However, in view of the ground fighting in Kota Bharu on the 8th, an attack on Kota Bharu airfield was planned for the 9th, and some units of the Army 3rd Air Division went to attack, but at that time the airfield was already occupied by the Takumi Detachment. The main forces of the Army 3rd, 10th and 12th Air Brigades also attacked Tanah Merah and Kuala Besut airfields on the 9th, and the British air forces around Kota Bharu were wiped out by the attacks on both days.
417Captain Ooe Ranji (47th Class).
41819th Destroyer Division.
419Destroyers Shinonome and Shirakumo from the 12th Destroyer Division.
420Although the wording it’s not explicit but to achieve a number of 10 destroyer, the 3 Destroyers from the 20th Destroyer Division (AMAGIRI, ASAGIRI and YUGIRI) and the MURAKUMO from the 12th Destroyer Division have to be counted. According with orders this force departs Singora at 1600 to be at Pattani at around 1700.
421From the original Kota Bharu escort force, the 1st Minesweeper Division: Minesweepers W-2 and W-3.
422From the original Kota Bharu escort force, the 11th Subchaser Division: Subchaser CH-9.
423By 3 naval vessels I’m understanding it’s the 2 Minesweepers W-2 and W-3 and the Subchaser CH-9. They were to return to Singora and stand by at Section 21 (unknown exact position but probably around Singora). 424 9th Base Force.
Kota Bharu re-landing completed
As already mentioned, the landing at Kota Bharu was the most problematic point between the Army and Navy before the outbreak of war in the Malayan campaign. The Kota Bharu landing was eventually carried out in accordance with the Army's plan, but the difficulty of making an assault landing in heavily defended enemy territory is evident from the course of the operation. Moreover, the Kota Bharu landing force was not attacked at all before entering the dock due to misjudgement of the situation by the British Command before the war began and inadequate air patrols (see below), and although it was able to enter the anchorage without being blocked by sea defences, it suffered heavy losses in the landing battle and air raids after entering the anchorage. However, the units concerned fought valiantly and achieved the objectives of the operation and contributed greatly to the Malayan campaign.
The timing of the attack on Hawaii and the landing on Malaya was also a problem in the planning of the operation. As already mentioned, the Army and Navy had agreed in principle to give priority to the start of the Hawaii campaign. The landing at Kota Bharu was planned for the first landing force to be launched at 0130, and the landing was expected to be around 0200, but the actual landing was at 0215. On the other hand, the Combined Fleet planned to start the attack on Hawaii around 0130 (just before sunrise). However, due to the difficulty of launching the attacking force at night and the large force assembling at night and flying in formation, the task force changed its plan to launch the attacking force at dawn and attack at 0330 (Japan Central Standard Time), and the actual start of the attack was around 0335. This meant that the landing at Kota Bharu began about 1 hour and 20 minutes earlier than the attack on Hawaii. In the end, however, the Hawaii operation was not affected in any way by this.
3 Air Force Operations(See Appendix Figures 1 and 6)
Air Raids on Singapore (90-91-102-115-154-155)
The initial attack of the 1st Air Force was aimed at airfields in Singapore, and the time of attack was, in principle, set at the 8th of December, 0600 in accordance with the Army-Navy Agreement.
By order of Vice Admiral Ozawa, the 1st Air Force strengthened the reconnaissance and observation vigilance against the counterattack of the British fleet on the 7th of December, as mentioned above, and the main force of the Land Based Attack Aircraft was put on standby to attack the ships. However, as a result of the first reconnaissance flights, Rear Admiral Matsunaga judged that there was no sign of the British fleet moving northwards, and in the afternoon released the Land Based Attack Aircraft Force from its standby and ordered them to carry out preparations for the attack on Singapore on the 8th of December.
Commander Inoguchi Kaneo, the liaison officer dispatched to the Army 3rd Air Division Headquarters in Phnom Penh 425 , sent the following information to the 1st Air Force Headquarters on the 7th, 1220:
1 There is no airfield at Pegan426 (40 kilometres south of Kuantan) and there are both old and new airfields in Kuantan.
2 According to the intelligence, on the night of the 6th, an all-night patrol flight was conducted in Singapore. There are also 7 aircraft at Kuantan and 9 at Kota Bharu.
The 1st Air Force Headquarters also reported the following search information to the Army 3rd Air Division Headquarters:
8th of December, 0815, according to the report of our patrol aircraft, we have observed a seaplane reconnaissance aircraft at 235°, 280 nautical miles from Saigon, and, at 1045, a flying boat at 183°, 157 nautical miles from Saigon. Also, according to communication information, an aircraft departed from Singapore at 1115.
An exchange of information between the Army and Navy revealed that the British forces were on high alert. The problem, however, was the weather. This was the wettest season of the year on the east coast of Malaya, and the daily patrol flights demonstrated this. For this reason, a weather reconnaissance was planned before the attack on Singapore in the early hours of the 8th. At 1900 on the 7th, the 1st weather reconnaissance aircraft of the Air Assault Force B departed from Thu Dau Mot Air Base. After departure, the 1st weather reconnaissance aircraft proceeded on a route from Poulo Condor Island to Cape Datok427 at the south-eastern tip of the Malay Peninsula. However, at about 183° and 100 nautical miles from Saigon, it encountered dense cloud cover and found it difficult to fly in formation with a large force. For this reason, the aircraft changed course to 220°, reported the weather every minute, and turned back. Next, at 2225, the 2nd weather reconnaissance aircraft of the same Assault Force was launched. This aircraft changed its course to the west. The aircraft's weather reconnaissance report was also unsuitable for the Land Based Attack Aircraft action. However, Rear Admiral Matsunaga ordered the scheduled attack.
The general plan of the 1st Air Force for the attack on Singapore on the 8th of December was as follows:
1 Attacking Force
Commander: Lieutenant Commander Sonokawa Kamerou (52nd Class), Chief of Flight, GENZAN Naval Air Group
Strength
1st Attack Group (Air Assault Force A):
1st Echelon, 1st Squadron 428 : 8 Type 96 Land Based Attack Aircraft.
1st Echelon, 2nd Squadron: 9 Type 96 Land Based Attack Aircraft. 2nd Echelon, 3rd Squadron: 9 Type 96 Land Based Attack Aircraft. 2nd Echelon, 4th Squadron: 8 Type 96 Land Based Attack Aircraft.
2nd Attack Group (Air Assault Force B)
3rd Echelon, 5th Squadron: 8 Type 96 Land Based Attack Aircraft. 3rd Echelon, 6th Squadron: 8 Type 96 Land Based Attack Aircraft. 4th Echelon, 7th Squadron: 8 Type 96 Land Based Attack Aircraft. 4th Echelon, 8th Squadron: 8 Type 96 Land Based Attack Aircraft.
Total: 66 Type 96 Land Based Attack Aircraft.
2 Attack Force Action:
The attack force will enter the bombing target from the mouth of the Johor River via Saigon, Poulo Condor Island and Pemanggil Island (off Mersing). The direction of approach is west or northwest, bombing altitude is 3,000 meters for the 1st Attack Group and 3,500 meters for the 2nd Attack Group.
3 Attack Targets (Secondary Targets) (See Illustration nº 30):
1st Echelon, Seletar Airfield (Sembawang Airfield). 2nd Echelon, Sembawang Airfield (Seletar Airfield). 3rd Echelon, Tengah Airfield (Kallang Airfield)
4th Echelon, Kallang Airfield (Tengah Airfield)
4 Bombs:
Each Aircraft:
250 kilograms: 1
600 kilograms: 2
700 kilograms Incendiary bombs: 2
5 Other:
A) Destroyer HAKAZE is positioned 120 nautical miles south of Poulo Condor Island and is used as a navigation marker. The ship will turn on its searchlight for 2seconds at 10-second intervals when the squadron passes.
B) The Auxiliary Meteorological Observation Ship TOYAMA MARU (26271) is positioned at 5°N, 105°E.
C)The submarine I-122, which is on patrol east and west of the Singapore Strait, will report on the weather.
On the 7th of December, at 2354, the 1st Attack Group sailed from Saigon Air Base, and the 2nd Attack Group sailed from Thu Dau Mot Air Base on the 8th of December, at 0015. The 1st Attack Group proceeded along the planned route, but the weather worsened as it proceeded. At 0230 the 1st Echelon finally gave up the attack and turned around, and by 0330, all the Squadrons had no choice but to turn around. Thus, all aircraft of the 1st Attack Group returned to base by 0655.
The 2nd Attack Group, commanded by Lieutenant Commander Major Shibata Yagorou (56th Class), a squadron commander of the Mihoro Naval Air Group, assessed the weather by intercepting weather reconnaissance aircraft and weather reports from the 1st Attack Group, and proceeded by navigating its way through the dense cloud cover. 1 of the aircraft was forced to reverse due to engine failure, but the others managed to break through the bad weather and reach the skies over Singapore. The attack target was changed as the 1st Attack Group reversed. 1st at 0538, 5th Squadron bombed Seletar Airfield, followed at 0540, by the 6th Squadron bombing military installations near the Royal Air Force Headquarters. At 0545, the 7th Squadron bombed near the Commercial Harbour, and finally, 8th Squadron bombed Tengah Airfield. The lights of Singapore, which were shining brightly on the approach, were all extinguished just before the bombing, and about 80 searchlights were illuminated and anti- aircraft fire was intense. However, because of the low level of bombing, only 1 aircraft was
hit. 1 damaged attack aircraft bombed Pegan429 on its way home and, by 1030, all planes of the 2nd Attack Group returned to Thu Dau Mot Air Base.
425At Cambodia.
426I could not find a Pegan or Began, but probably its referring to Pekan around 40 kilometres south of Kuantan.
427Sepang Point or Kota Tinggi Island depending on the south eastern point of the Malaya peninsula, but Cape or Point Datok is a little bite more to the southwest near Teluk Ramunia.
428On the original it’s 1st Daitai, 1st Chutai. According with Mark R. Peattie, Sunburst, Appendix 3 the Daitai is a formation of 18 to 27 aircraft and the Chutai of 9 Aircraft, the Chutai is composed by 3 Shotai of 3 planes. This goes exactly with the original: 1 Daitai (17 aircraft) with 2 Chutai (the 1st lost 1 aircraft and the 2nd is complete). The problem is a correct translation: I could not find any translations and Peattie was smart enough to not try to translate advising that “many organizational equivalents do not always exist in Western terminology”. But looking at these particular case: The 1st Attack Group, according with Table 46 is the GENZAN Naval Air Group that belongs to the 22nd Naval Air Flotilla of the 11th Air Fleet. The GENZAN Naval Air Group is composed by 36 Aircraft (4 Chutais of 9 planes and 16 Shotais of 3 planes). The use of a Daitai is only for level operational level and it doesn´t exist on the Administrative level: a Daitai is group of 3 to 4 squadrons flying together. In these translation I have chosen the word “Echelon” although there is also on the operational level the Hikokitai (Aircraft Echelon) but these should be applied to the 1st Attack Group.
429Could not find any Pegan at Singapore, but there is Pengerang immediately to the east of Singapore near Tekong Island.
![]() |
Other operations of the 1st Air Force (90-91-102-115-149-154)
The Air Assault Force C launched 9 Zero fighters of the 1st Squadron from the Soc Trang air base at 0530 on the 8th for an air patrol over Singora. 8 Zero fighters of the 2nd and 8 Zero fighters of the 3rd Squadrons followed at intervals of about an hour each, and from around 0745 to 1100 they were assigned to the air patrol over Singora. A Zero fighter of the 2nd Squadron shot down 1 Blenheim bomber that was counterattacking, but the Commander's aircraft was damaged and crash-landed, and his wingman was wounded.
The 1st and 2nd Zero Squadrons, excluding the commander's aircraft, were guided back to base by the Land Based Attack Aircraft Detachment (4 each from the Air Assault Force A and B). On the way back to base, 8 Zero fighters of the 3rd Squadron encountered a land based attack aircraft, and the commander's aircraft recognized it as transport aircraft and continued. The other aircraft in the column, however, judged that the commander's aircraft had mistakenly identified the patrol plane as a transport plane, and separated from the commander's aircraft. Due to bad weather and poor visibility in the Gulf of Thailand at the time, 2 of the aircraft crash-landed in the swamps on the French Indochina coast and the others at sea. However, the crews were rescued by Vietnamese and allied ships and returned home later. The commander's aircraft was also guided by a land attack and returned safely to Soc Trang. The C Air Assault Force's land based reconnaissance aircraft also scouted Singapore and reported at 1309:
"2 battleships, 2 cruisers and 4 destroyers in 'Singapore' Bay".
In response to this report, Imperial Japanese Navy General Staff reported:
'the battleships are judged to be the HMS PRINCE OF WALES and HMS REPULSE'.
Following the previous day, the Air Assault Force D conducted search and attack operations in the South China Sea, the Sulu Sea and North Borneo. 9 Land Based Attack Aircraft of the 1st Squadron430 left the base at 0600, conducted search and rescue operations in the Kuching area, and returned at 1325. They found 1 submarine of unknown nationality and 1 merchant ship (time and location unknown), but no other enemy contacts. The other three land-attack aircraft departed from the base at 0800 and searched Puerto Princesa (Palawan Island), Dumaran Island (north-east of Palawan Island), Miri in North Borneo, Burney and Jesselton431 (180 kilometres east-northeast of Burney), but no enemy activity of note was found. 9 Land Based Attack Aircraft of the 2nd Squadron departed from the base at 1200 and returned at 1930 after spotting a flying boat and 5 submarines of unknown nationality (time and place unknown).
Meanwhile, in view of the anticipated counterattack of the British fleet, Vice Admiral Ozawa issued the following Malaya Seizure Force Order nº 20, at 1550 on the 8th:
1 The 1st Air Force's search and attack strategy were changed as follows:
A) Daily "B" Sector.
B) Daily covert reconnaissance of "Singapore" as far as possible
C) Covert reconnaissance of Miri and Kuching airfields until the 11th of December.
D) At any time on the sea where there is a danger of the appearance of enemy naval vessels.
E) Once a day, 1 aircraft will be sent on reconnaissance to the Saint-Jacques and Cape Cà Mau areas.
2 The commander of the 2nd Air Force is to conduct the following alerts:
A) Within 100 nautical miles of Camranh Bay.
B) Within 80 nautical miles of Pattani.
Furthermore, on the same night, the Commander of the Malaya Seizure Force ordered the 1st Air Force to attack the Main British Ships in Singapore with the Malaya Seizure Force Order nº 22, in order to force the British Eastern Fleet in the area to evacuate.
In addition, Rear Admiral Hashimoto, who was operating in Kota Bharu, made repeated requests for naval fighter aircraft to be on alert over Kota Bharu. In addition, the 1st Air Force Headquarters inquired about the operational status of the Army 3rd Air Division. In response to this, Commander Inoguchi Kaneo reports that at 1605:
At about 1200 hours, according to the reconnaissance of the army planes, 20 friendly planes landed at Singora and the airfield at Kota Bharu had been occupied.
In addition, the following report was sent at 2213:
1 Today aircraft attacked airfields in the Kota Bharu and Kedah areas. 9 enemy aircraft were shot down, 45 destroyed on the ground, and others were destroyed in hangars, and we lost 11 aircraft (including those that crash-landed).
2 A fighter squadron has advanced to Singora and the situation in the "Kota Bharu" area is unknown.
3 At Singapore, 46 land-based aircraft and 20 seaplanes and 10 aircraft are known to be in Kuantan. It is certain that a considerable number of naval vessels are certain to be at anchor in Singapore, but details are not known.
Furthermore, in response to an enquiry as to the operational status of the Army 3rd Air Division on the 9th, Commander Inoguchi Kaneo sent the following reply at 2256:
Tomorrow, Heavy Bombers will attack the airfields in the Kedah and Kota Bharu areas under the cover of the advancing Fighters Squadrons.
Rear Admiral Matsunaga decided that the attack on the Main British ships would be carried out before dawn on the 10th and, for the 9th, ordered the prescribed reconnaissance and attack for the enemy and an attack on the Kuantan airfield. On the 9th, the units carried out the following operations:
Attack on Kuantan Airfield:
At 0845, 9 Land Based Attack Aircraft of the Air Assault Force A commanded by Lieutenant Makino Shigeji432 (61st Class) and 8 Land Based Attack Aircraft of the Air Assault Force B commanded by Lieutenant Shira Yoshimi (65th Class) departed the base433 and headed for the attack on Kuantan Airfield. The Air Assault Force B Squadron, at 1252, bombed the airfield setting fire to 1 medium twin-engine bomber, destroying 2 and damaging several others. The Air Assault Force A Squadron, at 1306, also bombed the airfields, and out of 30 aircraft in the area, 6 were set on fire, 4 were destroyed and 2 hangars were blown up.
Search and Attack:
3 Land Based Attack Aircraft of the Air Assault Force A departed from the base at 0700 and searched for the enemy at Patrol Area B. However, due to bad weather, they returned to the base at 1500.
The Air Assault Force B launched 3 Land Based Attack Aircraft at 0835, searched the Patrol Area B and found 1 Norwegian ship at 0955 and 1 cargo ship of unknown nationality 1548.
Air Assault Force C, at 0745, launched434 1 Land Based Reconnaissance Aircraft to scout Singapore and reporting the results at 1120: 2 Battleships, 4 Cruisers and 4 Destroyers in the bay. On the way back, the reconnaissance aircraft landed at the Saigon base and reported the reconnaissance situation to the Headquarters, and also submitted the original reconnaissance photographic plates at the Soc Trang Air Base.
The Air Assault Force D launched 3 Land Based Attack Aircraft from the air base435 on 0800 and reconnoitred the same areas as on the 8th, but no enemy information was obtained.
The 2nd Air Force (136-152-157)
At the outbreak of war, the Auxiliary Seaplane Carrier KAMIKAWA MARU (42936), flagship of the 2nd Air Force, was in Camranh Bay and the Auxiliary Seaplane Carrier SANYO MARU (36117) was in Riem Bay. The Auxiliary Seaplane Carrier SAGARA MARU (47837) was at Poulo Condor Island and sailed for Panjang Island on the 8th. All the seaplanes were in Riem Bay and Panjang Island, except for 2 observation seaplanes aboard the Auxiliary Seaplane Carrier SAGARA MARU (47837).
It was already described the operations of the 4 observation seaplanes of the Auxiliary Seaplane Carrier SAGARA MARU (47837), 1 Type 95 reconnaissance seaplane and 3 observation seaplanes of the Auxiliary Seaplane Carrier KAMIKAWA MARU (42936) witch advance to Singora on the 8th. 1 observation seaplane and 3 reconnaissance seaplanes of the Auxiliary Seaplane Carrier KAMIKAWA MARU (42936) at Riem Bay and 2 observation seaplanes and 2 reconnaissance seaplanes of the Auxiliary Seaplane Carrier SANYO MARU (36117) moved to Camranh Bay in the afternoon of the 8th. Therefore, on the evening of the 8th, the deployment of the seaplane Air Groups was as follows:
Singora: 7 observation seaplanes, 1 Type 95 reconnaissance seaplane. Camranh Bay: 5 observation seaplanes, 5 Type Zero reconnaissance seaplanes. Riem Bay: 4 observation seaplanes.
Auxiliary Seaplane Carrier SAGARA MARU (47837): 2 observation seaplanes.
However, of those above the Type 95 reconnaissance seaplane was a reserve seaplane of the Auxiliary Seaplane Carrier SAGARA MARU (47837). On the 7th , 2 observation seaplanes from the Auxiliary Seaplane Carrier KAMIKAWA MARU (42936) were damaged, but they were replaced with reserve seaplanes.
On the 8th, at 0800, Vice Admiral Ozawa ordered a thorough sweep of submarines in the South China Sea and the Gulf of Thailand, and with the aforementioned Malaya Seizure Force Order nº 20 ordered the 2nd Air Force to be on alert within 100 nautical miles of Camranh Bay and within 80 nautical miles of Pattani. In response to this order, Rear Admiral Imamura issued the following warning instructions for Kamran Bay on the 9th at 0205:
1 Date of implementation:
Until a separate order is issued on the 9th.
2 Search route:
From Tanu Island 436 (Camranh Bay), 25, 67, 107, 147 and 189°, advance distance 100 nautical miles, north of which search line numbers are to be assigned in sequence.
3 Time of departure:
0800 (0900 on the 9th) and 1600.
4 Deployment of Seaplanes (search line assignment):
Auxiliary Seaplane Carrier KAMIKAWA MARU (42936): 3 (1 to 3).
Auxiliary Seaplane Carrier SANYO MARU (36117): 2 (4 to 5).
On the 9th, 2 observation seaplanes and 3 reconnaissance seaplanes of the Auxiliary Seaplane Carrier KAMIKAWA MARU (42936) and 2 observation seaplanes and 2 reconnaissance seaplanes of the Auxiliary Seaplane Carrier SANYO MARU (36117) carried out the above patrol from Camranh Bay but found nothing unusual in any of them.
On the 9th, the seaplane force at Singora continued to cooperate with the Army and to conduct anti-submarine vigilance around the anchorage. 4 observation seaplanes bombed a British vehicle units in Chalung, on the road between Singora and Alor Setar, 10 km south of the border line, and some were engaged in reconnaissance in the direction of Yala and Betong on the Ando Detachment's route of advance. The other 4 observation seaplanes patrolled within 100 nautical miles of Singora but found nothing unusual.
The Auxiliary Seaplane Carrier SAGARA MARU (47837) arrived at Panjang Island on the evening of the 8th, and after dismantling her seaplane base, left the island on the morning of the 9th for Riem Bay in the afternoon and was scheduled to depart Riem Bay for Singora the same night. The Auxiliary Seaplane Carrier SANYO MARU (36117) also dismantled her seaplane base in Riem Bay and left for Poulo Condor Island at 1200.
430According with the Table 46, the Air Assault Force D (Kanoya Naval Air Group Detachment), had 27 land based attack aircraft. 3 Squadrons of 9 land based attack aircraft.
431Jesselton point is at Sarawak (Borneo) at Kota Kinabalu. Northern Borneo in front of Gaya Island.
432According with the Naval data Base website, Lieutenant Makino Shigeji will survive the war and be one of the few Imperial Japanese Navy Officers to be part of the Japan Air Self-Defense Force. In 1965 becomes the Director of Training at the National Defence Academy. Retires in 1967 with the rank of Air General.
433According with Table 46, Air Assault Force A from Saigon and Air Assault Force B from Thu Dau Mot.
434According with Table 46, Air Assault Force C from Soc Trang.
435According with Table 46, Air Assault Force D from Thu Dau Mot.
436I’m assuming this to be Đảo Bình Hưng, the southern island at the mouth of Camranh Bay.
4 Operations of the submarine force
(See Appendix 5)
4th Submarine Squadron (102-162)
The 6 submarines of the 18th and 19th Submarine Divisions of the 4th Submarine Squadron sailed from Sanya on the 1st of December, and by the time the start of the war were spread out and standing by at the following deployment points to prepare for the British Fleet's northward advance:
18th Submarine Division:
Submarine I-53, P11~S11
Submarine I-54, Q3
Submarine I-55, P3
19th Submarine Division:
Submarine I-56, Q5
Submarine I-57, Q4
Submarine I-58, P4
Of the above, the submarine I-56 was given the task of reconnoitring and reporting on the weather off Kota Bharu. While engaged in this duty, on the 8th, at 2015, she sighted a surfaced submarine and fired a torpedo, but failed to hit it.
Submarine RO-33 of the 21st Submarine Division completed repairs and departed Sasebo at 0800 on the 8th for Camranh Bay, while Submarine RO-34 was undergoing repairs at Maizuru.
Rear Admiral Yoshitomi led the Light Cruiser KINU out of Sanya on the 4th of December, and at the beginning of the war, he was in charge of all operations while operating south of Poulo Condor Island. Auxiliary Submarine Tender NAGOYA MARU (37699) arrived at Camranh Bay from Sanya at 0800 on the 8th and thereafter engaged in replenishment operations for submarines in the area.
5th Submarine Squadron (102-162)
On the 5th of December, 4 submarines of the 5th Submarine Squadron, which had sailed from Sanya and were advancing to the deployment point, were ordered to break up at 100 nautical miles south of Cape Cà Mau in the evening of the 6th in preparation for the northward counterattack of the British fleet, which was anticipated when British aircraft spotted our fleet and touched it in the afternoon of the 6th. The squadron was then moving south along the east coast of French Indochina, but on this order, the squadron moved forward rapidly and began patrols along the break-up line at around 1730 on the 7th. However, Rear Admiral Yoshitomi ordered the squadron to withdraw from its present deployment and take up position on the 22nd dispersal line (roughly at the 5° north latitude line) on the 8th at 0500 on the order of Rear Admiral Ozawa. Each ship withdrew from its patrol area and headed for a new deployment point, arriving at the next deployment position between 1300 and 1800 on the 8th, and began patrolling.
29th Submarine Division:
Submarine I-62, R4 Submarine I-64, S4
30th Submarine Division
Submarine I-66, east of S4 Submarine I-65, east of I-66
The 28th Submarine Division was undergoing repairs at the Inland Sea and at the outbreak of the war, the Submarine I-59 was at the Tama Shipyard in Okayama Prefecture and the Submarine I-60 was at Sasebo.
Rear Admiral Daigo, commander of the 5th Submarine Squadron, sailed from Sanya on the 5th aboard the flagship Light Cruiser YURA, and after the outbreak of the war, the squadron generally worked together with the Light Cruiser KINU437 in the waters to the south of Poulo Condor Island. During this period, at about 1500 on the 8th, she discovered and inspected the Norwegian ship WAHELIOS, which had been inspected earlier by the Destroyer NOWAKI of the Main Body of the Southern Force. On the 8th, the Auxiliary Submarine Tender RIO DE JANEIRO MARU (35928) arrived in Camranh Bay to supply submarines.
13th Submarine Division438 (102-162)
The mission of the Submarines I-121 and I-122 of the 13th Submarine Division was to lay mines at the east entrance of the Singapore Strait and then to take charge of the surveillance patrol in the vicinity, while the submarine I-122 was given the task of observing and reporting the aviation weather necessary for the attack on Singapore by the 1st Air Force. The submarines sortied from Sanya on the 1st of December and conducted the following operations:
Submarine I-122
Between 2038 and 2241 on the 7th, laid 42 mines (Type 85439, Model 1) at a latitude of 1°40' north and longitude of 105°E. After reporting weather conditions to 2145 and 2337 on the 7th and 0036 on the 8th, patrolled at a point 80 nautical miles east of the Singapore Strait.
Submarine I-121
Between 2319 on the 7th and 0035 on the 8th, the submarine laid 42 mines at latitude 1°38'N and longitude 104°39'E, and then patrolled around 50 nautical miles north of the east of the Singapore Strait.
437The Light Cruiser KINU was Flagship of the 4th Submarine Squadron.
438The 13th Submarine Division, with the 9th Submarine Division (Assigned to the Philippine Seizure Force) formed the 6th Submarine Squadron of Rear Admiral Kono on the Submarine Tender Chogei.
439Although it’s referred as a Type 85, I think this is a mistake and in fact it’s the Type 88. This was the Japanese naval mine deployed by submarines. Also, the I-122 TROM at combinedfleet.com refers as a type 88, Mark 1 naval mine.
5 Operation of the minelayer force(102) (See Appendix, chart nº 5)
The offensive minelayer warfare of the Auxiliary Gunboat Minelayer CHOSA MARU (28075) and the Auxiliary Minelayer TATSUMIYA MARU (44853) was an operation in the waters around British territory, which were expected to be heavily guarded, especially as the Auxiliary Minelayer TATSUMIYA MARU (44853) operational area was only about 100 nautical miles from the east entrance to the Singapore Strait. Therefore, both vessels were disguised and planned to approach the operational areas to lay mines covertly at night.
The slower Auxiliary Gunboat Minelayer CHOSA MARU (28075) sailed from Sanya on 1st of December ahead of the Auxiliary Minelayer TATSUMIYA MARU (44853) and continued southward on a straight course. Around 0730 on the 6th, she reached about 60 nautical miles east of Natuna Besar Island. At 1030, however, she was spotted by a large patrol boat and was in contact with it for 15 minutes. She continued southwards and reached the Api Channel (near the north-western tip of Borneo) at around 1730, a distance of 70 to 80 nautical miles. At that time a large aircraft appeared again and began to make contact. The large aircraft descended to an altitude of less than 100 meters, approached the bridge as if to peer over it, and repeatedly made persistent reconnaissance. The captain of the Auxiliary Gunboat Minelayer CHOSA MARU (28075) judged that it was impossible to lay mines, and abandoned the operation and turned around at 1750, before arriving at its area of operations.
The Auxiliary Minelayer TATSUMIYA MARU (44853) sailed from Sanya on the 3rd of December, and by sunrise on the 6th had reached about 160 nautical miles north-northeast of Anambas Island. As she proceeded south-westward, she was sighted by a Dutch aircraft at 1120 and was in contact with it until 1400. Then, at 1610, a British Lockheed patrol aircraft appeared and continued to make contact for about an hour. The captain of the Auxiliary Minelayer TATSUMIYA MARU (44853) did not give in and proceeded and reached its area of operations at 0130 on the 7th. The Auxiliary Minelayer TATSUMIYA MARU (44853) laid 456 Type 93 mines (one line, interval 60~70m) in the planned laying line (between Anambas and Tioman Islands) and began to evacuate at 0230. The number of mines planned to be laid was 650, but in order to escape from the attack area of the British aircraft expected after sunrise, not all of them were laid.
At 0900, the Auxiliary Minelayer TATSUMIYA MARU (44853) was spotted by a Dutch flying boat and was subjected to a low-altitude intimidation flight for about an hour and a half. However, at 1035 a Japanese land based attack aircraft came into view and the Dutch flying boat disappeared. This was followed by the appearance of aircraft again at 1120, and then a submarine at 1220. The submarine continued its surveillance by frequently opening its periscope. The Auxiliary Minelayer TATSUMIYA MARU (44853) prepared to fire just in case and attempted to escape from the submarine by making repeated hard movements. At 1545, the ship was touched by British aircraft for the third time that day. At sundown, however, the Auxiliary Minelayer TATSUMIYA MARU (44853) finally succeeded in shaking off the submarine and aircraft and escaping.
Both ships returned to Camranh Bay in the afternoon of the 9th.
(See Appendix Chart nº 7)
The Battle of Malaya began on the 9th of December at 1515 when the submarine I-65 discovered the main force of the British Eastern Fleet (called the Oriental Fleet by our side) about 100 nautical miles north of the Anambas Islands, and from the afternoon of the same day to the afternoon of the following 10th, a naval battle was fought between our naval forces in the Malayan sector and the Main Force of the British Eastern Fleet. In this naval battle, our base air force single-handedly sank the HMS PRINCE OF WALES, which was said to be the world's strongest unsinkable battleship at the time, together with the high-speed battleship HMS REPULSE with a single blow, and completely destroyed the main force of the British Eastern Fleet. This was the first time in the history of world naval warfare that a battleship underway had been sunk by aircraft alone.
In describing the battle, first, the situation of each unit before the battle will be summarised and described, then the course of the battle will be described mainly after the units received the first report of the discovery, and finally, the operations of the British Fleet, the results of this operation, the war lessons and their impact will be discussed.
1 The situation before the battle
Malaya Seizure Force Operational Instructions
1 - Vice Admiral Ozawa, commander of the Malaya Seizure Force, acknowledged that the 1st Landing operation at Malaya had been completed, on the 8th at 1900, ordered:
"9th of December, 0000, Convert to 1st Phase Naval Disposition B"
and switched to the formation for the next 2nd Malay landings and the British North Borneo Operation. The most feared 2nd landing of Kota Bharu on the 9th had to start with the temporary evacuation of the transports from the anchorage to gather boats, as almost the entire force of the 1st Escort Force could not gather the landing crafts while escorting 2 transports to re-enter at the Kota Bharu anchorage on the 9th, 0130. However, after spending 6 precious hours and finally collecting more than a dozen landing crafts, they were able to resume the previous night landing at 0730.
Vice Admiral Ozawa requested two reports on the situation in Kota Bharu, one at 0900 and the other at 1140, and according to the report of Rear Admiral Hashimoto, the commander of the 1st Escort Force, the landing proceeded smoothly without any counterattack by the British Royal Air Force, unlike the previous day, and it was expected that 70% of the landing would be completed by 1200 and all the landing would be completed by 1600. Although the details of the situation on the ground at Kota Bharu were not known, the Malay Seizure Force headquarters received a report from liaison officer Commander Inoguchi Kaneo on the 9th of December that the Takumi Detachment had already occupied Kota Bharu Airfield. Therefore, it was judged that the First Malay Landing Operation, with the most difficult landing at Kota Bharu as the last, had all been completed successfully and that the landing of supplies would be completed as planned.
2 - The pre-emptive attack by the 1st Air Force on Singapore at the beginning of the war was unsuccessful because of bad weather conditions for the Air Assault Force A, but the Air Assault Force B overcame the weather obstacles and attacked the area and is judged to have achieved considerable success.
In addition, according to the report of the Liaison Officer Commander Inoguchi Kaneo, the air operations of the Army 3rd Air Division against the northern part of Malaya are generally progressing well.
The British air units have counterattacked our convoy at Kota Bharu, and some of them have appeared in the Singora area, but their activities have generally been slow, especially in the South China Sea and the Gulf of Thailand, where our troops have not been attacked by British aircraft, and even their scouts have not appeared. Judging from the above, it is judged that the British air forces are forced to defend against the advance of our air forces and landing forces and are completely passive in their operations.
If the Army 3rd Air Division advances to the airfields already secured in Southern Thailand, Kota Bharu and the airfields in northern British Malaya which are expected to be occupied in the near future, to promote the offensive air campaign, and if the Naval Air Force continues its air operations in the direction of Singapore, the results of the attacks on the British air force will rapidly increase and the prospect of gaining air control over the Malay area will be certain. The prospect of gaining control of the Malayan airspace seems certain.
3 - The Commander of the Malaya Seizure Force received a report from the land based reconnaissance that a British battleship was anchored at the Seletar Military Port on the 9th at 1430.
After the British aircraft found our fleet on the 6th, Vice Admiral Ozawa judged that there was a great probability that the British would make a pre-emptive attack on our troops, and he kept a strict vigilance against this. However, there was no counterattack by British forces, and our forces had already succeeded in landing in various places, and now only the unloading of supplies from the transports was continuing. Even if the British fleet counterattacks in the future, there will be no damage to the landing force, and only some loss of supplies and empty ships. In other words, the opportunity for the British fleet to counterattack against our fleet has already passed, and the dangerous time for our troops has passed without incident. However, it is unlikely that the British fleet has abandoned its plan to counterattack at all, and there is no doubt that it will seize the opportunity to counterattack in the future. In response to this, it is necessary to strengthen patrols in the South China Sea and launch air attacks on British warships in Seletar to force them to retreat from that port.
4 - There are frequent reports of enemy submarines on the operational area, and it appears that at least 3 or more submarines have been deployed in the operational area. Therefore, it is necessary for all units to carry out a thorough anti-submarine sweep to suppress and destroy them.
Based on the above assessment of the situation, Vice Admiral Ozawa decided that for the time being the Air and Submarine Forces would be used mainly to prepare for the counterattack by the British naval and air forces, while the bulk of the surface forces will be used to prepare for the next phase of the campaign and issued the following order: (151)
Malaya Seizure Force Order nº 23, 9th of December, 1500:
1 The Main Body of the Escort Force will leave the east coast of Malay on the 9th and arrive at Camranh Bay in the afternoon of the 10th, and the convoy will act in accordance with the following:
A) The Main Body of the Escort Force will deploy a cruiser and a destroyer or 2 in the vicinity of the present position, and alternately replenish.
B) The 1st and 2nd Escort Forces shall proceed to Camranh Bay as soon as possible, but the commander of the 3rd Destroyer Squadron may, if necessary, leave some units in the vicinity of the landing anchorage440.
2 The Malaya Seizure Force Order nº 17 regarding the deployment of submarine has been lifted, and the Light Cruiser YURA is to arrive at Camranh Bay by 1200 on the 11th.
3 All other units are to continue their present duties.
4 All forces to be ready for deployment by 1600 on the 14th.
5 On the 11th, a meeting will be held in the Heavy Cruiser CHOKAI441 to discuss the escort of the 2nd Landing Force and the Borneo operation.
Situation of the Malaya Seizure Force
1 The Main Body of the Malaya Seizure Force (Heavy Cruiser CHOKAI and Destroyer SAGIRI):
At 1100, on the 8th, the Main Body, which had come as close as 20 nautical miles east of Kota Bharu on the 8th, approached about 100 nautical miles east of Kota Bharu, and at the same time changed its course to the northeast and headed for south of Cape Cà Mau, where it remained for the rest of the day, providing guidance and support for all operations. At 1500 on the 9th, Vice Admiral Ozawa gave the aforementioned order to the Malaya Seizure Force while he led the Main Body to Camranh Bay. The position of the Main Body at 1730 was 215° off Poulo Condor Island, about 90 nautical miles.
2 The Main Body of the Escort Force (7th Cruiser Division, 11th Destroyer Division):
The Main Body of the Escort Force, which had been operating in the vicinity of the Main Body of the Malaya Seizure Force since early morning on the 8th, was within the northern sight of the Main Body at 1500 on the 9th. At the same time, Vice Admiral Ozawa gave the above-mentioned Order442, also sent a message to Rear Admiral Kurita, the commander of the convoy's main body:
The Main Body of the Escort Force (2nd Section of the 7th Cruiser Division and some of the destroyers are missing) is to be ready for the next operation.
The message was sent by signal (149):
“By noon on the 11th, sail to Camranh Bay.”
As a result, at 1600, Rear Admiral Kurita, sent the Heavy Cruiser MOGAMI and 1 Destroyer443 to Poulo Condor Island for refuelling, while the rest of the squadron was heading northeast alongside the Main Body of the Malaya Seizure Force, 10-15 kilometres to the north of the Main Body of the Malaya Seizure Force.
3 The 3rd Destroyer Squadron (Commander: Rear Admiral Hashimoto):
In the 1st Phase Naval Disposition A, the 3rd Destroyer Squadron with the exception of the 11th Destroyer Division and Destroyer ASAGIRI, were in the 1st Escort Force. In the 1st Phase Naval Disposition B, the 1st Escort Force was divided as follows:
1st Escort Force: Light Cruiser SENDAI, 19th Destroyer Division, 20th Destroyer Division (missing Destroyer SAGIRI) (for the 2nd Naval Landings at Malaya)
The 2nd Escort Force: 12th Destroyer Division (Attack on British Borneo)
The 12th Destroyer Division and the Destroyer ASAGIRI (from the 20th Destroyer Division444) left Kota Bharu at 1130, while the Light Cruiser SENDAI , the 2nd Section of the 19th Destroyer Division (Destroyers URANAMI and SHIKINAMI) and 2 destroyers of the 20th Destroyer Division (Destroyers YUGIRI and AMAGIRI) also left Kota Bharu at 1515 for Camranh Bay. The 1st Section of the 19th Destroyer Division (Destroyers AYANAMI and ISONAMI) were ordered to guard the transports in Kota Bharu until 1830. The positions of the 3 groups on the 9th at 1730 was as follows:
12th Destroyer Division and Destroyer ASAGIRI at 50°, 110 nautical miles from Kota Bharu.
Light Cruiser SENDAI, the 2nd Section of the 19th Destroyer Division and 2 destroyers of the 20th Destroyer Division, at 50°, 40 nautical miles from Kota Bharu.
1st Section of the 19th Destroyer Division at Kota Bharu.
4 Training Cruiser KASHII and Escort SHIMUSHU:
Since the 8th, the Training Cruiser KASHII was on guard in the anchorage at Chungpong and the Escort SHIMUSHU at Nakhon. Both ships were to be incorporated in the 1st Escort Group of the 1st Phase Naval Disposition B and were scheduled to take part in the 2nd Naval Landing at Malaya. Both left Chungpong and Nakhon for Camranh Bay in accordance with the Malaya Seizure Force Order nº 23.
5 The 1st Air Force (Commander: Rear Admiral Matsunaga):
On the 8th of December, according to the reconnaissance of the land based reconnaissance aircraft, a British battleship was at anchor in Singapore, and the 1st Air Force was ordered to attack it (90-149). On the 9th, a reconnaissance of Singapore reported at 1120 that there were "1 Battleship, 4 Cruisers and 4 Destroyers in the bay". (83-149)
In the early morning of the 10th, Rear Admiral Matsunaga decided to attack the British battleships in Singapore, and in the afternoon of the 9th, the commanders of each unit and the main officers were assembled at the headquarters to discuss the method of attack. At that time, each Land Lased Attack Air Group was standing by at the base with torpedoes or bombs for attacking ships, but from the evening of the 9th , each unit hurriedly prepared the armament for attacking British battleships in Singapore. (85-91)
The situation of the 1st Air Force at 1730 on the 9th was that apart from the 9 Land Based Attack Aircraft of the Air Assault Force A, which had sortied to attack Kuantan, and 3 Land Based Attack Aircraft of the Air Assault Force B, which had sortied to search for the enemy, had not yet returned, and all other aircraft were still at base. (115)
6 The 2nd Air Force (Commander: Rear Admiral Imamura): (136-152-157)
The flagship Auxiliary Seaplane Carrier KAMIKAWA MARU (42936) was in Camranh Bay, and the Auxiliary Seaplane Carrier SANYO MARU (36117), with 4 observation seaplanes on board, had left Riem Bay at 1200 and was proceeding around Poulo Condor Island, at 1730, some 70 nautical miles northwest of Cape Cà Mau. The Auxiliary Seaplane Carrier SAGARA MARU (47837) was also at anchor in Riem Bay and was due to sail for Singora at 2000.
Around 1730, the deployment of the Naval Air Groups (including auxiliary aircraft in service) at was as follows:
Camranh Bay:
6 Observation Seaplanes: 4 from the Auxiliary Seaplane Carrier KAMIKAWA MARU (42936) and 2 from the Auxiliary Seaplane Carrier SANYO MARU (36117).
5 Type Zero Seaplane: 3 from the Auxiliary Seaplane Carrier KAMIKAWA MARU (42936) and 2 from the Auxiliary Seaplane Carrier SANYO MARU (36117).
Singora:
7 Observation Seaplanes: 3 from the Auxiliary Seaplane Carrier KAMIKAWA MARU (42936) and 4 from the Auxiliary Seaplane Carrier SAGARA MARU (47837).
1 Type 95 Reconnaissance Seaplane from the Auxiliary Seaplane Carrier SAGARA MARU (47837).
Auxiliary Seaplane Carrier SAGARA MARU (47837) with 2 Observation Seaplanes on board.
Auxiliary Seaplane Carrier SANYO MARU (36117) with 4 Observation Seaplanes on board.
7 The Submarine Force (Commander: Rear Admiral Yoshitomi):
The flagship of the 4th Submarine Squadron, Light Cruiser KINU, was leading its submarine force in the waters south of Poulo Condor Island, and at 1730 was at 180° 87 nautical miles from the island and 95° 50 nautical miles from the main force445.
The Light Cruiser YURA, the flagship of the 5th Submarine Squadron, had been also leading its submarine force in the vicinity of the Light Cruiser KINU during the morning of the 9th, but as she was scheduled to be under the command of Rear Admiral Kurita, who was in command of the British Borneo operation, she separated from the Light Cruiser KINU at 1357 and headed to meet 7th Cruiser Division. At 1730, the Light Cruiser YURA was at 27°, 37 nautical miles from Rear Admiral Kurita in the 7th Cruiser Division.
Each submarine was in patrol in its designated patrol area. However, the Submarine I- 121 was returning to Camranh Bay from the eastern entrance of the Singapore Strait.
8 The Base Forces:
The main force was operating in the Singora area, but the Minesweeper W-4 left Singora for Camranh Bay in the evening of the 8th while the Subchaser CH-7 was waiting in Camranh Bay.
9 The Minelayer Force:
After completing the 1st phase of the minelaying operation, they were returning to Camranh Bay in the afternoon of the 9th.
440With the exception of the 11th Destroyer Division and the Destroyer SAGIRI from the 20th Destroyer Division, the 3rd Destroyer Squadron is at Kota Bharu.
441Flagship of the Vice Admiral Ozawa.
442Malaya Seizure Force Order nº 23.
443I could not identify the 11th Destroyer Division destroyer that goes to Poulo Condor with the Heavy Cruiser MOGAMI, but the Auxiliary Tanker NICHIEI MARU (45071) is the tanker that is resupplying at Poulo Condor (NICHIEI MARU TROM at combinedfleet.com and tokusetsukansen.jpn.org). There is also is the possibility that on the way, they were recalled due to the urgency of the situation .
444On the original it’s the 29th Destroyer Division, but that is a evident mistake.
445It’s not clear with Main Force it is because the Malaya Seizure Force and Escort Force Main Bodies are very close to each other. There is also the chance that because both Main Bodies are operating so close to each other that this “Main Force” are the 5 Heavy Cruisers and the 4 Destroyers of the two Main Bodies.
Situation of the Main Body of the Southern Force
The Main Body of the Southern Force, which had been operating on the southeast coast of Poulo Condor Island since the outbreak of the war in support of the whole operation, left that coast for Camranh Bay on the 9th at 1500. The position of the Main Body of the Southern Force, at 1730, was 73°, 127 nautical miles from Poulo Condor Island, and the distance from the Main Body of the Malaya Seizure Force was about 110 nautical miles. (102-158)
2 Northward movement of the British fleet
The discovery of the British fleet
As already mentioned, the deployment of the submarine force was to be made where the probability of the appearance of the British fleet planning a counterattack against our attack force was judged to be the greatest, that is, on the sea from approximately the centre of the southern South China Sea to the coast of the Malay Peninsula, from the eastern mouth of the Singapore Strait in the south to the coast of Terengganu in the north, in a vertical and deep spreading line. The intention was to capture the British fleet moving northwards and attack it by deploying the required number of submarines.
Of these lines, the most important was the 22nd Dispersal Line. The line initially had a square shaped Patrol of 20 nautical miles per side centred on 5°N, 104°E, designated as Patrol P4, with Patrols Q4, R4 and S4 of the same area to the east of it. Later, however, when the 5th Submarine Squadron was incorporated into the Malaya Seizure Force Submarine Force, Rear Admiral Yoshitomi added a 2nd submarine patrol with the same area to the east of S4, and six submarines were deployed to each patrol in the following order from west: Submarines I-58, I-57, I-62, I-64, I-66, and I-65. (102-163-170)
Submarine I-65 was the flagship of the 30th Submarine Division of the 5th Submarine Squadron, under the direct command of Captain Teraoka Masao446. At the outbreak of the war, the submarine was on a dispersal line about 100 nautical miles south of Cape Cà Mau, but on the 8th, at 0500, Rear Admiral Yoshitomi ordered the submarine to move to the eastern end of the 22nd patrol line, where it arrived in the afternoon of the 8th to conduct the patrol. This patrol area was centred at 5° North latitude and 105° 40 minutes East longitude and had a perimeter of 20 nautical miles. (170)
The submarine continued to patrol the area using the north and south as its reference course, but for the first day of its patrol it was unable to detect anything. On the 9th, at 1515, the submarine sighted two ships at a distance of 110° true bearing. Due to the poor visibility, the patrol commander could not clearly identify the type of ship, but he recognized it as a destroyer and immediately reported it to the Lieutenant Commander Harada Hakue, and Captain Teraoka. The Captain and Lieutenant Commander followed suit and observed the ship's shadow through the periscope. At the time, dense clouds hung low and occasional squalls made visibility poor, and the distance was judged to be more than 20 Kilometres. However, Captain Teraoka observed that 1 of the ships was a Repulse type Battleship because of the shape of the front mast and other factors, and the other was a new type of Battleship that was not listed in the naval yearbook. Raising the short mast, I-65 telegraphed the first report of the discovery of the next British battleship: (102-170)
2 enemy Repulse type battleships seen, position Kochisa 11, heading 340°, speed 14 knots, 1515.
After discovering the British fleet, the submarine I-65 began to make contact with it while still under water, surfaced at 1542 when her shadow was faintly visible, and continued to make contact with it at a course of 20° and a speed of 20 knots. The course of the British fleet at that time was judged to be between 0° and 340°. However, Captain Teraoka judged that the fleet would change its course to the west and head for the east coast of Malaya in the near future. In addition, the British fleet was not making any "zigzag manoeuvres" (a movement to change the course to avoid submarines and the destroyers directly under her command were not able to see him447.
446Captain Teraoka Masao (46th Class) is the Commander of the 30th Submarine Division, using the Submarine I- 65 as his Flagship . The Submarine I-65 his under the Command of Lieutenant Commander Harada Hakue (52nd Class).
447The I-65.
The submarine tried to make contact with the British fleet in poor visibility, which changed intermittently due to squalls, but lost sight of the British fleet in squalls at 1720. While continuing to advance, at 1822 the submarine again sighted the British fleet in the distance in the direction of her bow. The submarine dived to avoid being detected by the British fleet, and then surfaced again to make a surface attack. At that time, a reconnaissance plane appeared in the sky and made a movement to attack the submarine, so the submarine dived rapidly. At 2000, she surfaced again and searched for the British fleet at a speed of 18 knots on a course of about 20° but was unable to find the British fleet again. In the meantime, the ship was transmitting the enemy's situation from moment to moment. (170)
Note:
1 Most of the main officers of I-65 were subsequently killed in action. The situation described above is based on various documents available from the time and the post- war recollections of Captain Teraoka, the only survivor of the main officers.
2 The exact location indicated by "KOCISA 11" is unknown, as it is unclear how it was used, although a chart with location marks from the time has survived. A few sources show the position, but they differ from one another. Of the various sources, the position given in Vice Admiral Ozawa's report, namely, "165°, 225 nautical miles from Cape Cà Mau, seems to be the most reliable.
3 According to the GENZAN Naval Air Group Battle Report, the 1st Air Force Headquarters transmitted the following message:
"Enemy position at 1552, KUMOHA 26, course zero°, speed 20 knots.”
In view of the fact that this indicated speed is different from that of the first report of the Submarine I-65, it is assumed that this is based on a report made after the 2nd report after of the same submarine. In addition, the flagship Light Cruiser KINU reported from the same submarine at 1845 that:
"the enemy is moving at 100 (author's note: code unknown), heading zero, speed 18 knots.
There are other documents that attest to reports after the second report, but the exact full text of these reports is not known to exist.
4 According to the British Data "War against Japan" (16) (hereinafter abbreviated as "British data"), the British fleet at that time had a course of 0° and a speed of 18 knots, and the number of destroyers in direct escort was 4 until 2005 and 3 thereafter.
5 The reconnaissance seaplane recognized by the submarine I-65 was the KINU's observation seaplane.
Delayed 1st report of the discovery of the British fleet
The first report of the discovery of the British battleship by the submarine I-65 came very late, and it was not until 1710, some two hours after the submarine's discovery of the British fleet, that the units received it.
The following is a summary of what each unit received.
Heavy Cruiser ATAGO, the Flagship of the Southern Force:
1725 [According to the War Diary of the warship ATAGO, ("Sakken Ma nº1 (Malay Operation Research Department)", lists the reception as 1730].
Heavy Cruiser CHOKAI, the Flagship of the Malaya Seizure Force:
Estimated to be between 1710 and 1720. (Estimated from various documents, "Operation Research Materials" lists the reception as 1710).
Heavy Cruiser KUMANO, the Flagship of the 7th Cruiser Division:
Acknowledged by signal from the Heavy Cruiser CHOKAI which was in sight at 1740. (According to the detailed report of the 7th Cruiser Division).
Light Cruiser SENDAI, the Flagship of the 3rd Destroyers Squadron:
Acknowledged by transmission from the Heavy Cruiser CHOKAI at 1834. (According to 3rd Destroyers Squadron Battle Report").
Light Cruiser KINU, the Flagship of the 4th Submarine Squadron:
1715 (According to the detailed report of the battle of the 4th Submarine Squadron).
Light Cruiser YURA, the Flagship of the 5th Submarine Squadron:
Estimated to be around 1715. (There is no record at that time, but it is based on the recollection of persons involved).
1st Air Force Headquarters:
Recorded as having intercepted a relay telegraph at 1710 of the Light Cruiser KINU (According to the supplementary 1st Air Force Battle Report nº 2).
At the time, the Light Cruisers KINU and YURA and at Saigon the 81st Naval Communications Force were permanently manned by submarine radio frequencies, but the reception status of the 81st Naval Communications Force.
In "Sensōroku" (the diary of Rear Admiral Ugaki, Chief of Staff of the Combined Fleet), it is written:
“There was a two hour gap between the time of discovery and the time of reporting it. This gap delayed everything that should have been done thereafter. But we must not overlook the merit of I-65 who sighted them.” 448
In the logbook of Captain Sone Akira449 (Commander of the Heavy Cruiser MOGAMI of the 7th Cruiser Division), it is written:
This telegram was sent by the 1515 Submarine I-65 at 1515... (Omitted by the author)... received at 1730, and the time spent was great. It requires attention.
448See footnote 386.
44944th Class.
In both cases, it was stated that the 1st report of discovery was delayed by more than 2 hours. This delay in the 1st report of the discovery had a great influence on the execution of the operation, and the situation of the communication will be described later.
Plans for a night battle by the Commander of the Malay Seizure Force
Vice Admiral Ozawa received the first report of the discovery of a British battleship by the Submarine I-65 between 1710 and 1720. This report was different from the report of the reconnaissance of Singapore by the Land Based Reconnaissance Aircraft which he received three hours earlier at 1420, and fundamentally overturned the report that "the British battleships were berthed in Singapore". As already mentioned, Vice Admiral Ozawa had expected a counterattack by the British fleet, but the daily search by aircraft and submarines in the South China Sea did not find British surface forces at all, and a reconnaissance report was received that the main force of the British Eastern Fleet was in Singapore by 1120 on the 9th, so he prepared for a British counterattack with air and submarine units, and by 1500 he ordered preparations for the next operation. The next operational preparations were ordered at 1500. Furthermore, if the submarine reports were correct, the flagship Chokai and the British battleships were estimated to be in close proximity at 110 to 120 nautical miles by 1730. Rear Admiral Ozawa immediately judged and decided as follows: (56-149-153)
1 Although the truth of the submarine's report was unknown, he immediately launched Scouts from the Heavy Cruiser CHOKAI and the 7th Cruiser Division to search for the British fleet.
2 Have the 1st Air Force make a surprise attack.
3 The Main Body of the Southern Force and the 3rd Destroyer Squadron too far away to be able to join forces quickly, but for the time being, the surface forces in the vicinity, namely the Main Body of the Malaya Seizure Force, the Main Body of the Escort Force, the Light Cruiser KINU and the Light Cruiser YURA (5 Heavy Cruisers450, 2 Light Cruisers and 4 destroyers451), will be assembled to capture the British fleet at midnight on the 9th and destroy it through night battle.
4 Rapid evacuation of the transports from the anchorages at the landing beaches on the east coast of Malaya.
Accordingly, Vice Admiral Ozawa gave the following orders one after another: (90)
Malaya Seizure Force Order nº 24, 9th of December, 1730: To: 1st Air Force.
1 Acknowledge Submarine I-65, 1515, 2 REPULSE type Battleships at Kochisa 11, heading 340°, speed 14 knots.
2 The 1st Air Force will search and attack.
Malaya Seizure Force Order nº 73452, 9th of December, 1740: (149)
To: 7th Cruiser Division.
According to a report of the Submarine I-65, 2 REPULSE type Battleships at Kochisa 11, heading 340°, speed 14 knots. The 7th Cruiser Division is to carry out flying patrols at high speed.
Malaya Seizure Force Order nº 25, 9th of December, 1750: (102-151)
To: Malay Seizure Force Units.
1 According to a report of the Submarine I-65, 2 REPULSE type Battleships at Kochisa 11, heading 340°, speed 14 knots.
2 The 7th Cruiser Division is to search at 190, 200, 220, 230°, 150 nautical miles range and 20 nautical miles to the immediate starboard.
3 The Heavy Cruiser CHOKAI is to reconnoitre at 210°, 150 nautical miles.
Southern Expeditionary Fleet, Classified Order nº 161, 9th of December, 1800: (102)
To: 3rd Destroyer Squadron.
Destroyers, low on fuel, are to be rapidly refuelled at Poulo Condor Island.
During this time, the Main Body of the Malaya Seizure Force and the Main Body of the Escort Force, both within sight of each other and moving north-east at a speed of 14 knots, exchanged signals and hastened to prepare for the launch of their scout seaplanes and to prepare for battle, changed course to the east at 1800. (149) Rear Admiral Kurita also ordered the Heavy Cruiser MOGAMI and the destroyer, which had been detached for refuelling, to join together immediately at 1820. (149)
The 2 Main Bodies changed course further to the south, and between 1820 and 1823, 5 seaplanes (1 Type 94 Reconnaissance Seaplane from the Heavy Cruiser CHOKAI and 1 Type 95 Reconnaissance Seaplane from each ship of the 7th Cruiser Division) were launched. Immediately afterwards, the Main Body of the Malaya Seizure Force increased speed to 26 knots and changed course to 245° to head forward to the British fleet. (149) The Main Body of the Escort Force followed the Main Body of the Malaya Seizure Force and at 1857 each ship of the 7th Cruiser Division launched another Type 95 Reconnaissance Seaplane which were to proceed for Poulo Condor Island on the return from the search. (149)
450Heavy Cruisers CHOKAI, MOGAMI, MIKUMA, SUZUYA and KUMANO.
45111th Destroyer Division: FUBUKI, HATSUYUKI, SHIRAYUKI and the 20th Destroyer Division SAGIRI.
452The Heavy Cruiser CHOKAI with Vice Admiral Ozawa was probably in visual contact with the Heavy Cruiser
KUMANO, flagship of Vice Admiral Kurita, and it’s possible that the message was sent by signal light.
At 1855 Vice Admiral Ozawa announced to the Malaya Seizure Force:
We are heading for the enemy, Point Kesachi 15, heading 245°, speed 26 knots.
He then ordered the 3rd Destroyer Squadron and the Light Cruisers KINU and YURA to join the 7th Cruiser Division. (151)
At 1830, the 1st Air Force Headquarters reported:
"As a result of a photographic survey, there is no enemy battleship in 'Singapore” and the report of the Commander of the 30th Submarine Division is certain (102).
Making the appearance of British battleships a certainty. However, at 1840, the Submarine I- 65 submarine reported that:
1720, lost contact with the British battleships due to rain.
At 1845, the Main Force of the Malaya Seizure Force increased speed to 28 knots, set a course of 240°, and launched all on-board aircraft to prepare for a decisive battle. (149)
At 1850, Vice Admiral Ozawa ordered Rear Admiral Imamura and the Captain of the Auxiliary Seaplane Carrier SANYO MARU (36117)453 as follows: (151-152)
1 Prepare for night contact with the enemy's main force.
2 Dispatch 1 Auxiliary Seaplane Carrier to Poulo Condor Island and set up a seaplane base.
Auxiliary Seaplane Carrier SANYO MARU (36117), which had left Riem Bay at 1200 on the day of the order, and was already approaching northwest of Cape Cà Mau, rushed to Paulo Condor Island in accordance with the above order.
In addition, at 1900, in the afternoon, Vice Admiral Ozawa ordered his troops to:
Deploy the 1st Night Battle Communications (No.1 radio organization) and to use the main ultra-short wave telephone. (Author's note: Deployment of communications for the 1st Night Battle is unknown).
"Prepare for the night battle”. (151)
453Captain Fujisawa Takamasa (35th Class).
The weather at that time was rainy, sometimes cloudy, with a wind direction of east- southeast and a wind speed of 8 knots. Also, the sunset that day was around 1939, and the moon rise was 0008 on the 10th (almost at the last Quarters). (143) Both Main Bodies advanced west-southwest in search of the British fleet over the rainy waters that would soon reach sunset.
Meanwhile, at 1357, the Light Cruiser YURA had separated from the Light Cruiser KINU to prepare for the next phase of the campaign and was heading for the 7th Cruiser Division. While proceeding southward about 50 nautical miles to the east of the main squadron, at 1715, the Light Cruiser KINU received the first "1515 British Fleet sighting" signal from the Submarine I- 65, which was immediately relayed. Rear Admiral Yoshitomi gave the necessary orders to the submarine force (see below), and at 1748, also ordered the Type 94 seaplane of the Light Cruiser KINU to be launched for a reconnaissance, and also turned the Light Cruiser KINU to change course to the southwest and start advancing towards the enemy. (102-152) The launch of the Light Cruiser KINU aircraft was about 30 minutes earlier than those of the Heavy Cruiser CHOKAI and the 7th Cruiser Division. At the time, however, the Commander of the Malaya Seizure Force was unaware of this fact.
The Commander of the Southern Force plans a decisive battle for the following morning
Since the outbreak of the war, the Main Body of the Southern Force had been in the waters east of the Poulo Condor and had been responsible for supporting all operations. On the 9th, Vice Admiral Kondo learned from a Land Based Reconnaissance Aircraft report that the British battleships were still in Singapore, and he sent the main body to Camranh Bay at 1500 for replenishment. However, at 1725, the Vice Admiral Kondo learned from the relay message of the Light Cruiser KINU that the British battleship had already sailed. The position of the British battleship at 1730 was 220° at about 300 nautical miles from the Main Body of the Southern Force. The Main Body of the Southern Force headed straight for a position to the east of Poulo Condor Island at a course of 245° and a speed of 14 knots. (102) Vice Admiral Kondo then issued the following order: (151)
Southern Force Order nº 20, 9th of December, 1800:
Main Body is scheduled to reach 80°, 30 nautical miles from Poulo Condor Island on the 10th.
Furthermore, at 2015, the Vice Admiral issued the following orders: (151)
1 The air force will wait for daybreak in the morning and attack the enemy's main force with all its strength.
2 The surface forces will combine for a decisive battle coordinated with the air force attack.
Reference:
As the British battleships had sailed, although we had anticipated it, our Southern Force had to fight a decisive battle against the British battleships. It was judged that the enemy had a great advantage in the strength between his and our battleships, but we had a far greater advantage in the auxiliary forces. The enemy had the advantage in Battleships, but we had a far superiority in auxiliary units. In other words, he has the advantage in gunnery, while we have the advantage in torpedoes and air power. However, his speed is greater and we expect considerable difficulty in attacking with torpedoes and the enemy is thought to be equipped with radar. Therefore, we should consider ourselves at a disadvantage when fighting on the sea surface, where visibility is often poor due to rain and other factors. It should be noted that at that time only a few in our navy thought that they could sink a battleship by air attack. In addition, the HMS PRINCE OF WALES was said to be an unsinkable battleship. It was therefore with great determination that Southern Force Commander responded to the appearance of this British battleship. (171)
The intentions of Vice Admiral Kondo were as stated in the above telegram, but his logbook at the time stated as follows:
The 2 British battleships from Singapore were detected at 1515 by the 30sg454 and reported at 1700, and the enemy forces were to be first decimated by Y (author's note: aircraft) and S (author's note: submarines) , and the troops in the south were to gather forces and plan a decisive battle (mainly a Submarine battle and if possible night time aircraft).
Reference:
In his post-war memoirs, Vice Admiral Kondo (later Admiral) "Impressions from the Service in the Great East Asia War", wrote the following:
Comments on the Battle of Malaya:
1 This battle is the most important in which I, as Commander of the Southern Force, was engaged during the 1st Stage of Operations.
2 Assessment of the situation at the time:
During the 1st Landing Operation, the I- 65, Flagship455 of the 30th Submarine Division, which was stationed in the area between Shinkasaka 456 and the landing sites in order to intercept enemy troops and reconnoitre the enemy's situation. On the 9th of December 1941 by the 1515, the Submarine I-65 informs (Heavy Cruiser ATAGO457: 1700) that it was heading north in pursue of 2 enemy battleships and several destroyers. This was the first time that I had been able to see the enemy's main fleet in the South China Sea, and I was concerned that they were planning to counterattack our Army Forces, who were in the process of landing, with other light units (our army was expected to take 3 or 4 days after starting around 1030 on the 8th of December).
In response to this, we used all means at our disposal to bring the enemy within the range of our aircraft at Saigon to the north and concentrated the full power of my aircraft and surface forces to destroy them. The submarines deployed were used in the operations.
3 Action to be taken on the basis of the above decision:
A) The Transport Convoys were to cease their landing operations immediately and move northwards to evacuate as deeply as possible into the Gulf of Siam.
B) The 22nd Naval Air Flotilla was ordered to make a full-scale attack before dawn of the 10th.
C) The Southern Expeditionary Fleet (including the 7th Cruiser Division and the 3rd Destroyer Squadron in a temporary unified formation) were to combine into the Support Force.458
D) We made efforts to attract the enemy by radiating radio waves to the north. The 3rd Destroyer Squadron, which at that time was engaged in direct landing operations, had been fully loaded with fuel in Sanya, and was already in a situation where it needed to be replenished and hurried to the supply ships stationed at Poulo Condor Island to complete the replenishment, but were unable to join the Main Bodies in due course.
At first we thought of attacking the enemy at night, but the 3rd Destroyer Squadron was in need of refuelling and the units of the Southern Force had not undergo the fierce training of a night-fighting force before the time of this battle. Thus, it was impossible to conduct a night battle under orderly control. If the enemy continued to move northwards at the same speed as they were discovered during the day, we would not be able to fight a night battle under proper control, as the ships could be destroyed individually. So, the night battle was abandoned and a daytime decisive battle was planned for after dawn on the 10th. Taking into consideration the above plan and the deployment situation of the ships of the Southern Force, the time of assembly has been set for the 10th at 0400 hours, and the assembly point has selected at about 40 nautical miles south- east of Poulo Condor Island.
Reference:
Rear Admiral Shiraishi459, Chief of Staff of the Southern Force, recalled after the war that the reason Rear Admiral Kondo did not plan a night battle on the 9th was that, in addition to the reasons mentioned, there was information that the British battleships had a new weapon called Radio Wave Detection (Radar) and had the ability to detect and measure even when visibility was poor, and he judged that since it was raining that day, the visibility was poor and a night battle could not be undertaken carelessly.
45430th Submarine Division.
455Submarine I-65.
456Shinkasaka is probably a code name, just like Kochisa 11. According with the I-65 TROM at combinedfleet.com the Submarines I-65 and I-66 were positioned 50 miles east of Trengganu, to the South of Kota Bharu.
457The Heavy Cruiser ATAGO is the Flagship of Vice Admiral Kondo.
458I’m assuming that Vice Admiral Kondo is using Southern Expeditionary Fleet as a way to refer to the Malaya Seizure Force Main Body. It makes sense since the Vice Admiral Ozawa is the Commander of the Southern Expeditionary Fleet and the Southern Expeditionary Fleet is the Malaya Seizure Force during the Malaya Operation (Operation M). With this assumption, Vice Admiral Kondo is stating that he wants the Main Body and the Escort Force of the Malaya Seizure Force to join with his forces and operate as support force. Witch in fact happened.
The 1st Air Force commander's decision to launch a night attack
While the squadrons were busy preparing for the attack on the ships of Singapore in the early hours of the 10th, the headquarters of the 1st Air Force received a telegram at 1710, stating that a British battleship had been spotted by the Submarine I-65. Rear Admiral Matsunaga immediately ordered 1 Land Based Reconnaissance Aircraft and 3 Land Based Attack Aircraft to search for them. (83-172) At the same time, he re-examined the photographs of Singapore taken during the reconnaissance of the day. As a result, it was found that the buoys where the battleships had been moored on the 8th had no battleships on the 9th and it was confirmed that the 2 battleships had left port. (91-173) Rear Admiral Matsunaga then telegraphed to the various departments to that effect at 1745, as already mentioned. (102)
At that time, the weather was bad and unsuitable for flying and a night attack was extremely difficult, but Vice Admiral Ozawa's forces, who were inferior to the superior British fleet, reported its determination to launch a night attack against the superior British Fleet , so Rear Admiral Matsunaga decided to push hard to attack despite the bad weather. At the time, the distance from the base to the British fleet was estimated to be about 300 nautical miles, so he thought that if the attack force could launch immediately, it might be possible to attack before nightfall. (91-173) Rear Admiral Matsunaga then issued the following attack order at 1730: (90-172)
1 Tonight's attack on the ES (author's note: an abbreviation of the name of a place in Singapore) is cancelled.
2 Each squadron is to attack the enemy ships with all possible speed. The position of the enemy fleet at 1525 was 26° and the course is 0° and the speed is 20 knots.
Note:
The position of this British fleet is 57°, 163 nautical miles from Kuantan, according to the notes of Commander Maeda of the GENZAN Naval Air Group.
459Rear Admiral Shiraishi, Kazutaka (42nd Class). In 1944, 15th October is promoted to Vice Admiral. More precisely he is Chief of Staff of the 2nd Fleet, working close together with Vice Admiral Kondo that is also the Commander of the 2nd Fleet.
The officers of the air force, who had long and painstakingly trained for attack on battleships, were anxious about the bad weather, but they were also determined that this was their chance to actually attack a battleship and show the results of their intense training. The attack force, which was preparing for the attack on Singapore, hurriedly changed their equipment to torpedoes. During the preparations, the Kuantan attack force returned to Saigon at 1800, and Lieutenant Makino Shigeji, the commander of the Kuantan attack force, learned of the plan to attack the British battleships and strongly requested his superiors to take part in the attack immediately. (85-91)
The attack force left the base as soon as it was ready.1st, at 1815, 18 Land Based Attack Aircraft (9 torpedo armed and 9 with bombs) of the Air Assault Force D460, commanded by Lieutenant Commander Miyauchi Shichizo (56th Class), then at 1904, 17 Land Based Attack Aircraft (torpedo armed) of the Air Assault Force A 461 , commanded by Lieutenant Commander Nakanishi Niichi (57th Class), and finally 18 Land Based Attack Aircraft (torpedo armed) of the Air Assault Force B462. Of these, those armed with bombs had their armament not changed to torpedoes, as they were considered to be at risk of losing the opportunity to fight. The Air Assault Force B was delayed in its departure, and due to poor weather conditions, it was immediately turned back. Rear Admiral Matsunaga immediately informed all departments of the attack force's departure. According to the squadron's battle report, the number of aircraft launched was 26 armed with torpedoes and 9 with bombes. This was probably due to the fact that those that turned back immediately after launching were excluded.
460According with Table 46 from the KANOYA Naval Air Group Detachment.
461According with Table 46 from the GENZAN Naval Air Group.
462According with Table 46 from the MIHORO Naval Air Group.
Efforts to lure the British Fleet by the Malaya Seizure Force
Vice Admiral Ozawa, who was on his way south with the intention of fighting a night battle with his forces, received the Southern Force Order nº 20 around 1930. This Southern Command Order, which ordered the Main Force of the Malaya Seizure Force to attract the British main force ships, was different from the intention of Vice Admiral Ozawa at that time.
When the Malaya Seizure Force headquarters received the report of the discovery of the British ships, its Main Force was some 200 nautical miles away from the Main Body of the Southern Force and of the 3rd Destroyer Squadron. For this reason, Vice Admiral Ozawa decided to launch a search and attack with his surface, air and submarine forces. However, when he received the telegraphic order for the Southern Force, he immediately issued the following orders: (149-151) (Received by the 7th Cruiser Division at 1942)
Malaya Seizure Force Order nº 26:
1 The 1st Air Force and the Submarine Force will contact and attack the enemy's main force tonight.
2 After the sunrise, the surface force will follow the attack of the Air and Submarine forces with a timely attack, and after attracting the main force of the allied forces, the battle will be decided.
3 The 3rd Destroyer Squadron will join the 7th Cruiser Division as soon as possible, tomorrow on the 10th.
At 1748, the 1st report from the seaplane of the Light Cruiser KINU, which had departed and headed towards the assumed British position was sent and reached the Heavy Cruiser CHOKAI at 1930:
“2 enemy battleships seen, position Wamisa, heading 340°, speed 14 knots, 1835”.
Note: There is an error in the character for, which is "Wamisan sa".
Then, from the same aircraft:
“The enemy has 3 destroyers in direct escort”. (102)
This was the first time that the Malay Seizure Force Commander had learned that the seaplane from the Light Cruiser KINU was searching for the enemy and 50 minutes after receiving the report that the submarine had lost contact with the enemy, they were able to learn the movements of the British fleet again. However, the position of the British fleet reported by the Light Cruiser KINU was about 60 nautical miles different from the estimated position of the British fleet based on the report of the Submarine I-65, and the command was unable to make a decision. The reason for this positional error was not only the error in the position of the submarine and the Light Cruiser KINU seaplane itself, but also the fact that according to British data from the time, the British fleet was sailing at a course of 0° and a speed of 18 knots, but there was an error in the course and speed reported by the Submarine I-65.
The Main Body of the Malaya Seizure Force changed course to 220° by 1920 in order to get ahead of the enemy fleet but slowed to 24 knots by 1930 due to poor visibility. (149)
The following report from Heavy Cruiser SUZUYA's seaplane, which had set off to search for the enemy, was received at 1940 by the Malay Seizure Force Commander. (102)
I see 2 enemy...(author's note, illegible)...type battleships, bearing from my point of departure 185°, 83 nautical miles, heading 2°... 1915.
![]() |
According to the position reported above, the British fleet should be at approximately 170° and 70 nautical miles from the main fleet at 1915. This enabled Vice Admiral Ozawa to accurately determine the relative position of the British fleet, which had been ambiguous since it was first discovered.
By this time, it was sunset. As the sun went down, the visibility of the sea was rapidly diminishing. In addition to the fact that the operation to attract the British fleet ordered by Vice Admiral Kondo was itself an extremely difficult operation, compounded by the fact that there was insufficient observation of both sides positions due to poor visibility. In addition, the Light Cruisers KINU and YURA had not yet join, and their positions were not yet accurately known, so there was concern about friendly fire, and even the control of each unit was difficult. The Main Body of the Malaya Seizure Force and the Main Body of the Escort Force lost sight of each other and continued to march while communicating by telephone. In order to get close to the British fleet, the Main Body of the Malaya Seizure Force changed its course at 1950, 200°, and the Main Body of the Escort Force followed suit. (149)
Malay Seizure Force Commander learned that the 1st Air Force had been launched at around 2000. At the same time the Light Cruiser KINU reported:
“1800 KINU position, heading 220°, speed 24 knots, and acting as if in contact with the enemy's main force.” (149-152)
This was reported to Vice Admiral Ozawa at 2005 and he replayed to the Light Cruiser KINU that: (152)
“From 2030 onwards, as appropriate, drop flares from the aircraft on the enemy”.
From Heavy Cruiser KUMANO's seaplane, 2016: (149)
2 enemy battleships of the RENOWN type were seen, bearing from my departure point 185°, 70 nautical miles, course 50°, speed 16 knots, 1950.
This was followed by a report from the same aircraft that:
The enemy's main force is accompanied by a direct escort of five destroyers.
Judging from the above position, the British and Japanese fleets, at 2000, were within 50 nautical miles of each other. However, the British fleet's course of 50° was unexpected. Vice Admiral Ozawa also believed that the British fleet was planning to attack our transports in the Singora area. For this reason, Vice Admiral Ozawa advanced to the southwest to control the British fleet's advance. (56) After receiving the report, some of the officers of the Vice Admiral’s staff speculated that the British fleet was planning to disrupt our rear, and Vice Admiral Ozawa was unsure of its decision. In any case, it was clear that the present course we would be increasingly separated from the British Fleet. Therefore, the Main Body of the Malaya Seizure Force changed its heading to 165° at 2020, and the Main Body of the Escort Force also changed its heading to 165° at 2026, followed by 130° at 2030 and 21 knots at speed. (56-149)
At 2030, a shadow appeared in front of the Heavy Cruiser CHOKAI to the left and this was the Light Cruiser KINU. The Light Cruiser KINU was ordered to join the Heavy Cruiser CHOKAI and entered the line behind the Heavy Cruiser CHOKAI at 2037. (102) At 2040 Vice Admiral Ozawa received Vice Admiral Kondo's order (transmitted at 2015) planning for a decisive battle after Sunrise. (149)
Abandoning the efforts to lure the British Fleet by the Malaya Seizure Force
By this time, it was already an hour after sunset and visibility was getting worse and worse. Earlier, in the 7th Cruiser Division, the Heavy Cruiser SUZUYA nº 3 Seaplane (Type 95 Reconnaissance Seaplane), which had departed at 1857 and was flying to Poulo Condor Island, made an emergency landing at around 207°, 25 nautical miles from the island at 1930, and Rear Admiral Kurita requested the Destroyer HAKAZE (attached to the 1st Air Force) to rescue it. The Heavy Cruiser SUZUYA's seaplane report of the enemy's discovery was not received until 2015, and the Heavy Cruiser KUMANO seaplane, which was in contact with the main British ship, also reported enemy contact at around 2016, but no contact was received after that, leading to fears that the seaplane of the Heavy Cruiser KUMANO had made an emergency landing. The Main Body of the Malaya Seizure Force, recognising the danger of high-speed movement on the treacherous sea, slowed to 16 knots at 2040, and 3 minutes later the Main Body of the Escort Force followed suit. (149)
Vice Admiral Ozawa was at a crossroads as to whether or not to make further contact with the enemy. He decided to wait for the moonrise (0008) to make contact with the enemy, and ordered a turn to 90° at 2050, followed by a turn to 50° to keep alongside the main British ships. (56-102) The Main Body of the Escort Force also turned 170° at 2050, and then changed to a course parallel to that of the main body at 2100. (149) Vice Admiral Ozawa made this decision on the basis of the following judgement: (56)
1 The submarine I-65 did not subsequently send any reports of the British fleet being rediscovered afterwards, nor did any reports come in from the seaplanes in contact. In addition, the seaplane of the Light Cruiser KINU was ordered to drop hanging light bombs (Flares) after 2030, but there is no sign of these bombs. In addition, the Land Based Reconnaissance and the Land Based Attack Aircrafts that went out to search for the enemy from the 1st Air Force were expected to begin contact with the British fleet at dusk, but no reports have been received as yet. In view of the above circumstances, there was little likelihood that the submarines and planes would again discover the British fleet and continue to make contact all night.
2 The Light Cruiser KINU has finished joining the Main Body of the Malaya Seizure Force, but the Light Cruiser YURA was also in action in the vicinity. She was in telephone contact with the Main Body of the Escort Force, but they could not see each other.
3 The present weather conditions were not expected to improve rapidly and this visibility was expected to continue until moonrise.
4 In these conditions it is difficult to carry out a controlled lure operation and there was even a danger of friendly fire.
When the Main Body of the Malaya Seizure Force changed course to 50° at 2058, Vice Admiral Ozawa judged that the British fleet was in the direction of 110~110°, 35~40 nautical miles from his position. (102)
Note :
After the war, Lieutenant-General Ozawa recalled, "I still clearly remember that at that time I judged the distance to be 35 nautical miles." In fact, according to British sources, the British fleet changed course to 280° at 2025, so that by 2050 the distance between the main fleet and the British fleet was estimated to have been less than 20 nautical miles. The British and Japanese fleets passed each other from east to west and then rapidly separated.
Meanwhile, a Land Based Reconnaissance Aircraft which had left French Indochina Air Base to search for the enemy encountered bad weather and its search attempts were frustrated. 3 Land Based Attack Aircraft commanded by Lieutenant Hachiro Takeda (59th Class) also encountered bad weather, but as they continued southward, they found two white wakes and two black shadows on the dark sea. Their position was slightly different from the estimated position of the British fleet. However, since the shadows were moving north, Lieutenant Takeda judged that this was indeed the British fleet. The Land Based Attack Aircraft immediately began to make contact at low altitude and reported:
"enemy in sight", 2130.
Followed by:
"150° 90 nautical miles from Obi463 Island", 2132. (172-174)
463According with the Appendix 6: 1st Malaya Operation Air Force Action Chart, Obi Island is Hòn Khoai (Khoai Island), situated about 7.5 nautical miles to the South of Cape Cà Mau.
Shortly before 2130, the Heavy Cruiser CHOKAI sighted an approaching aircraft with its aeronautical lights on. Vice Admiral Ozawa thought this was a friendly aircraft approaching, but the aircraft first dropped its navigational target lights (note: these are lights on the surface of the water that aircraft use to measure winds at night) and then its hanging light projectiles, clearly misidentifying the Heavy Cruiser CHOKAI as the British fleet. The Heavy Cruiser CHOKAI hurriedly signalled "We are CHOKAI" with a flash signal, but it did not go through, and further signalled with a searchlight, but the Land Based Attack Aircraft did not seem to understand. The Heavy Cruiser CHOKAI, sensing danger, turned its course to 0° to retreat at 2130 and reported to the 1st Air Force Headquarters that 3 medium attack planes were over the Heavy Cruiser CHOKAI and that the Land Based Attack Aircraft was not acknowledging:
"3 medium attack aircraft over CHOKAI".
Following this, the Heavy Cruiser CHOKAI alerted:
"The CHOKAI was under a hanging flares" (56-149-153)
Upon receiving this messages, Rear Admiral Matsunaga ordered the Land Based Reconnaissance Aircraft to:
"turn back over friendly airspace"
But the action of the Land Based Attack Aircraft continued until around 2200, when the same force acknowledged the order. (172)
In this confused situation, Vice Admiral Ozawa found it difficult to carry out an orderly and controlled operation to lure the British Fleet and so he decided to abandon the contact with the enemy after moonrise, and to leave the battlefield and join the Main Body of the Southern Force (56) and changed his course to 220°. In addition, at 2230, Vice Admiral Ozawa ordered the Commander of the 9th Base Force and the Commander of the 3rd Destroyer Squadron that all transport ships should retreat to Phu Quoc Island or Bangkok. (149-151)
The Commander of the Southern Force gives instructions on the course of attack
Meanwhile, at 2140, Vice Admiral Kondo is leading the Southern Force was still advancing at a course of 245° and a speed of 14 knots.
The order of battle for the Southern Force (author's note: in the case of battle, the order in which the units line up, from the front) is as follows:
11th Battle Order: Malaya Seizure Force.
12th Battle Order: General Order for Disposition of Forces.
At 2250, the order of Battle after the joining of forces and advance strategy was announced as follows: (164)
1 1st Advance Deployment: Battleship Force (3S, 6dg464), Cruiser Force (4S, 4dg, 8dg465) Separated Advance: In this case, the Battleship Force is about 20 kilometres behind the Cruiser Force.
2 2nd Advance Deployment: Assuming the current Formation466
At 2300, Vice Admiral Kondo, after learning that the Malaya Seizure Forces were in close proximity to the Southern Forces informs Vice Admiral Ozawa of the predicted position of the Southern Force and the formation to be deployed after the joining of both forces: (151)
1 Southern Force position at 0100 is at Maninu 35 point and at 0400 at Mayas 39467. Course, 175°, and the speed of 16 knots.
2 The Malaya Seizure Force will act as if they were in the front of the Main Body of the Southern Force.
3rd Destroyer Squadron, rush up to join forces (151-164)
Rear Admiral Hashimoto learned of the appearance of the main force of the British Fleet by telegram from the Heavy Cruiser CHOKAI at 1834. About 3 hours had already been lost since the first sighting by the submarine. Subsequently, the units of the 3rd Destroyer Squadron had finished the Kota Bharu operation as already mentioned, and were sailing to Kamran Bay in 3 groups, each group was in the following positions:
Flagship Light Cruiser SENDAI, 2nd Section of 19th Destroyer Division468 and 1st Section of the 20th Destroyer Division469: 55°, 70 nautical miles from Kota Bharu.
12th Destroyer Division470 and the Destroyer ASAGIRI: 75°, 70 nautical miles from the Light Cruiser SENDAI.
1st Section of 19th Destroyer Division471: 240°, 60 nautical miles from the Light Cruiser SENDAI.
Assuming the British battleships' course and speed to be 340° and 14 knots, the position British Fleet at 1900 would be at 115° and about 150 nautical miles from the Light Cruiser SENDAI, and if the British Fleet turned to the east coast of the Malaya Peninsula, it was expected that the 3rd Destroyer Squadron would encounter it first.
In order to check the situation, Rear Admiral Hashimoto sailed on at a heading of 60° and a speed of 18 knots, remaining in the present formation for the time being, but the following orders were received one after another from the Commander of the Malaya Seizure Force:
Replenishment 1800 (Radio):
Destroyers that are low on fuel are to be replenished at the Poulo Condor Island as fast as possible.
1825 (Radio):
1935, we are heading in the direction of the enemy. Speed: 26 knots.
Main use of telephones, 1900 (Radio):
The 3Sd472, KINU and YURA join 7S473 at speed.
1935, 1st Night Battle Communications Deployment (1st radio wave organization) medium and ultra-short wave.
Rear Admiral Hashimoto also received a message from Rear Admiral Kurita at 1938 stating: "Our point Kehoto 25, heading 240°, speed 28 knots, 1900".
At 2000, Rear Admiral Hashimoto changed the course to 80° and headed for the Main Body of the Escort Force to combine forces for a joint action, increased the speed to 21 knots and at the same time ordered the rest of his forces to join. Acknowledging this telegram, the preceding 12th Destroyer Division and the Destroyer AMAGIRI reversed to a course of 230° at 2015, while the following 1st Section 19th Destroyer Division, plotted an interception movement with a course of 70° and a speed of 30 knots at around 2030.
At 2045, Rear Admiral Hashimoto received a message from the Southern Force, sent at 2015, and at 2100, another message from the Vice Admiral Ozawa indicating that the surface forces had no intention of a night battle, but were planning to wait for daybreak and fight a decisive battle by coordinating with the air and submarine forces. However, the immediate problem was that the destroyers were low on fuel. For this reason, Rear Admiral Hashimoto reported to Vice Admiral Ozawa:
The remaining fuel for the destroyers is 230 tons (about 40.5%).
Rear Admiral Hashimoto also inquired about the action of Rear Admiral Kurita on 2130. At the same time, the same Rear Admiral Kurita also informs that:
"2100, at our position at Kemaso 14, heading 50°, speed 16 knots, with the main squadron and KINU together"
Rear Admiral Hashimoto also learned that the Main Body of the Malaya Seizure Force and the Main Body of Escort Force had already changed course to the northeast.
At 2140, Rear-Admiral Hashimoto received Southern Force Telegram nº 20, and learned that the Main Body of the Southern Force was advancing west-southwest, and that Vice Admiral Ozawa’s forces were planning to join the Vice Admiral Kondo’s Southern Force Main Body. Therefore, Rear Admiral Hashimoto decided to set a course of 30° at 2218 and sail to join Vice Admirals Ozawa and Kondo’s Main Bodies avoiding a meeting the British fleet. However, because of the possibility of an untimely encounter with the British fleet, at 2230, Rear Admiral Hashimoto ordered the units to be on high alert. After that at 2300, the 12th Destroyer Division and the Destroyer AMAGIRI joined the Light Cruiser SENDAI.
4643S means 3rd Battleship Division, in this case the 2nd Section of the 3rd Battleship Division: Battleships KONGO and HARUNA; 6dg means the 6th Destroyer Division, in this case the 1st Section of the 6th Destroyer Division: Destroyers HIBIKI and AKATSUKI.
4654S means 4th Cruiser Division, in this case the 1st Section of the 4th Cruiser Division: Cruisers ATAGO and TAKAO; 4dg means the 4th Destroyer Division: Destroyers ARASHI, NOWAKI, HAGIKAZE and MAIKAZE; 8dg means the 8th Destroyer Division: ASASHIO, OSHIO, MICHISHIO and ARASHIO.
466The 1st Advance Deployment is the Southern Force. The 2nd Advance Deployment is the Malaya Seizure Force and at that time (2250) the Main Body of the Malaya Seizure Force is leading with the Main Body of the Escort Force Following close by.
467Maninu 35 is a point at 30 nautical miles east of Poulo Condor Island; Mayas 39 should be intended joining point of the 3 Main Bodies, that will happen at 0400 as intended.
468Destroyers SHIKINAMI and URANAMI.
469Destroyers YUGIRI and AMAGIRI.
470Destroyers SHINONOME, SHIRAKUMO and MURAKUMO.
471Destroyers AYANAMI and ISONAMI.
4723Sd means the 3rd Destroyer Squadron.
4737S means the 7th Cruiser Division, but in this case I’m assuming that it’s a reference to the Escort Force with also the 11th Destroyer Division.
Change of Deployment of the Submarine Force (95-162-175-178)
Upon receiving the first report of the discovery of the main British ship by the Submarine I- 65, Rear Admiral Yoshitomi immediately ordered the following operations:
1 The 5th Submarine Squadron (Submarines I-62, I-64, I-65 and I-60 ) will pursue the British fleet.
2 The 19th Submarine Division of the 4th Submarine Squadron (Submarines I-57 and I- 58) will move northward while Submarine I-56 will advance to the front of the British fleet.
3 The 18th Submarine Division of the 4th Submarine Squadron (Submarines I-53, I-54 and I-55) will change its position to prepare for the reversal of the British fleet.
Note:
Although there are no documents showing the new deployment point of the 18th Submarine Division, but it is thought to be roughly between the 4th parallel of north latitude and 104°30' and 105°30' east longitude based on the action of the squadron.
Rear Admiral Yoshitomi also ordered the Light Cruisers KINU and YURA to advance in the direction of the British fleet and to search for and shadow the enemy with their aircraft. As mentioned above, at 1748, the Light Cruiser KINU aircraft launched its seaplane and succeeded in finding the main British ships.
Note:
The Light Cruiser YURA also launched her aircraft, but their movements are not known.
In addition, at 1740, Rear Admiral Yoshitomi ordered the 18th Submarine Division to make a surface a surface advance at 16 knots, and at 1950, the 5th Submarine Squadron to radiate 2421 kc of directional radio waves every minute when a submarine came into contact with a British ship. (106)
At 1800 the Light Cruiser KINU increased her speed to 24 knots and changed her course to 240° in order to contact the British fleet and reported her actions. Around this time, Rear Admiral Yoshitomi ordered the 5th Submarine Squadron and the 19th Submarine Division to:
The 5th Submarine Squadron east side, the 19th Submarine Squadron west side, in pursuit of the enemy's main force.
British Force 1515, position, Kochisa 11, course 340°, speed 14.(106)
After surfacing, the above submarines proceeded to the north or northeast of the course and searched for the British fleet.
The Light Cruiser KINU estimated from the position of the main British ships reported by the aircraft that they were expected to meet the British fleet around 2100. According to a telegram received at around 1900, the Malaya Seizure surface force was advancing towards the British fleet, and the Light Cruiser KINU was ordered to join the Main Body of the Escort Fleet, so Rear Admiral Yoshitomi knew that the Malaya Seizure surface force was planning a night battle. For this reason, the Light Cruiser KINU changed her course to 270° at 1930, then to 310° at 1950, and hurried to join up with the Main Body of the Escort Fleet. (152-155) At around 2000, however, she received Southern Force Telegram nº 20, and learned that Vice Admiral Kondo had no intention of a night battle. The Light Cruiser KINU saw the shadow of a ship ahead of her at 2030, confirmed that this was the Main Force of the Malaya Seizure Force and joined the rear of the Heavy Cruiser CHOKAI at 2037, and thereafter acted together. The Light Cruiser YURA moved southwards and endeavoured to join the Main Body of the Escort Force, but she was unable to achieve her goal. (162-175)
The submarines of the 4th and 5th submarine squadrons all made patrols or stood by in dispersed positions but failed to spot the main British ships. In addition, the Submarine I-121 was returning to Camranh Bay after leaving the patrol area. Rear Admiral Yoshitomi ordered the following changes to the operation at 2130: (106)
1 The 19th Submarine Division should disperse and stand by at a point between Kochisa and Khochoo... (author's note, characters unknown).
2 The 29th and 30th Submarine Divisions are in contact with the enemy's main force as soon as possible.
3 The Submarine I-121 is to spread out and wait for the enemy at Point 55.
Rear Admiral Yoshitomi had earlier ordered the 19th Submarine Division to follow the British mainline ships on the west side, but judging from their subsequent position, the division had already fallen behind and was unlikely to be able to shadow them, so he ordered the division to spread out and wait for the British mainline ships to move south. The line of dispersal is unknown.
In accordance with this order, the 29th and 30th Submarine Divisions continued to search northward at a course of 0~20°, and the 19th Submarine Division began to move to a new line of dispersal.
Lost contact with the British fleet
The Submarine I-65 had lost contact with the British fleet at 1822 and had not sent any reports of her rediscovery. In addition, there was no contact from the seaplane of the Light Cruiser KINU, which had been in contact with the British fleet, after a report at around 1930, and the Heavy Cruiser KUMANO’s seaplane was assumed to have made an emergency landing as it had been unable to contact since its report around 2016. The Land Based Reconnaissance Aircraft of the 1st Air Force was prevented by the bad weather and turned back from the middle of the flight, and the 3 Land Based Attack Aircraft misidentified the Main Bodie of the Malaya Seizure Force as the British fleet and were ordered by Rear Admiral Matsunaga to return to base. Therefore, after 2200, when the Malaya Seizure Force decided to combine with the Southern Force, the only ones who could expect to find the British fleet again were the 1st Air Force's Land Based Attack Aircraft and the Submarine Force.
The 1st Air Force, Air Assault Force D departed from Thu Dau Mot Air Base at 1815. However, due to bad weather on the way, they were unable to proceed, and by order of Rear Admiral Matsunaga, the bombing party dumped their bombs in the sea near Cape Cà Mau, and the torpedo planes returned to base with their torpedoes. (85-172)
17 Land Based Attack Aircraft armed with torpedoes of the Air Assault Force A also departed from Saigon Air Base at 1904 but turned back to the base by 2355 because of the bad weather south of Cape Cà Mau, which made approach impossible. The 18 Land Based Attack Aircraft armed with torpedoes of the Air Assault Force B, which were the last to depart, also had to turn back soon after leaving the base. (150)
On the other hand, the Submarine Force, despite its subsequent search patrols, had no enemy contact at all. Thus, the movements of the British fleet, whose position was last seen at 1950, by the Heavy Cruiser KUMANO’s seaplane, were completely unknown afterwards, and not even a shred of information about their plans could be obtained that would reveal their intentions. We had to make a new plan in a hurry, regretting the bad weather that had befallen our forces just before the opportunity of the appearance of the British main ships.
3 Rediscovery of the British fleet and abandonment of the advance of surface forces
Main Bodies of the Malaya Seizure Force and of the Escort Force joins the Southern Force (149)
The Main Body of the Malaya Seizure Force and the Main Body of the Escort Force proceeded almost north-eastward at 16 knots, losing sight of each other, and at 0008, already on the 10th, the moonrise, the rain stopped and the Main Body of the Malaya Seizure Force was able to see the Main Body of the Escort Force at about 10 nautical miles east-northeast of it in the moonlight.
At 0015, Vice Admiral Ozawa’s Main Body changed its course to 78° and the Main Body of the Escort Force changed its course to 95° at 0230. Meanwhile, the Main Body of the Southern Force proceeded west-southwest, and at 0110 on the 10th reached about 30 nautical miles east of Poulo Condor Island as planned, and thereafter began to proceed southward at a course of 190° and a speed of 16 knots. (102-104)
At 0320, the Main Body of the Southern Force and the Main Body of the Escort Force sighted each other, and Vice Admiral Kondo ordered:
The Malaya Seizure Forces should act as if it were at the head of the Main Body of the Southern Force.
Then, at 0330, the Main Body of the Southern Force changed course to 170°. At this time the Main Body of the Malaya Seizure Force also approached from the west, and by 0400 the Main Body of the Southern Force, the Main Body of the Malaya Seizure Force and the Main Body of the Escort Force had completed their joint operation. By 0500, the Main Body of the Escort Force, Main Body of the Malaya Seizure Force and the Main Body of the Southern Force, in that order, had completed their occupation and continued southward at an increased speed of 24 knots.
At the same time, Vice Admiral Kondo notifies the Commanders of the Malaya Seizure Force units that: (151)
0700, All units of the Malaya Seizure Force (lacking 3Sd), assembled, position Ketaki 28, course 170°, speed 24 knots.
In addition, the main force of the 3rd Destroyer Squadron changed its course to 95° at 0100, and at 0130, the 1st Section of the 19th Destroyer Division, which had pursued from the rear, joins the Light Cruiser SENDAI with the rest of the Squadron, completing the gathering of all
3rd Squadron Destroyers474 and hastening to join with the Main Forces of the surface force.
(151)
The British fleet is rediscovered by the Submarine I-58
Prior to the battle, the submarine I-58, which was patrolling the P4 patrol area, was initially ordered to head north to search for the British fleet. For this reason, the submarine took a course to the north and then to the northeast. However, at 2130 on the 9th, Rear Admiral Yoshitomi ordered the 19th Submarine Division to take a new line of dispersal. As mentioned above, the exact position of this new line of dispersal is unknown. Having received the aforementioned order, the I-58 submarine headed for the new patrol area. At that time, the moon was waning almost at its last quarter and visibility was poor. The submarine, while underway on the surface, suddenly spotted 2 destroyer-like figures at a close range of 20° and 600 meters away, and rapidly submerged to observe them with a periscope, confirming that they were British battleships. While the submarine was observing the enemy force, the British fleet made a major turn and set a course of 180°. (178) Lieutenant Commander Kitamura Soshichi475, the submarine commander, immediately reported the discovery of the enemy. The time of the discovery of the enemy was probably at 0122, as the 3rd Destroyer Squadron Detailed Report nº 1 states:
"The main force of the enemy has reversed and the course is 180°, 0122. " (The time of the turning of the British units according to the British data is at 0 145).
The British fleet's southward movement brought her to a good firing point, and the Commander of the I-58 decided to attack and ordered the 6 forward tubes to be ready. However, the front door of 1 of the tubes did not open, and due to the confusion, the timing of the launch was delayed and the situation between the two became poor. (178) Five torpedoes were fired at the second ship but failed to hit her. The time of the launch is considered to have been much earlier than 0341, when the submarine reported the attack, according to the record of "launch after moonlight" and the turning of the British troops (turning to heading 240° at 0122) according to British documents. The submarine subsequently surfaced and, in pursuit of the British fleet, reported the attack as follows: (152)
We have fired a torpedo at the 'Repulse' at Fumoro 45 position, but torpedo did not hit, enemy course 180°, enemy speed 22 knots, 0341
Furthermore, the Commander reported the following enemy situation:
The enemy is escaping in the direction of 240° with black smoke coming out and I am in contact with him, 0425.
(author's note 240° is a course toward Kuantan).
However, due to the difference in speed between the 2 forces, the distance between them gradually increased, and at 0615, they finally lost sight of the British fleet. The submarine Commander reports: (151)
We have lost contact.
After that, submarine I-58 could not find the enemy. After that, the enemy could not be found. It is believed that there were other reports during that time, but there were no records, and Submarine Commander Kitamura has no recollection.
Only 2 reports of the Submarine I-58 , 0341 and 0615, were received by the higher headquarters476, while those from 0122 and 0425 were received only by the 3rd Destroyer Squadron, of which there is only one record. This had a great influence on the later operational guidance of each unit.
Note:
1."Fumoro 45" is 5°10' north latitude and 105°10' east longitude according to the 7th Cruiser Division War Diary, and 57°140 nautical miles from Kuantan according to the GENZAN Naval Air Group Commander Maeda's Note", a difference of about 10 nautical miles between the two. In "Appendix nº 7", the latter was adopted after comparing the actions of the British and Japanese fleets.
2.According to British data, at 0145 the British fleet made a course of 180° and later changed the course to 240°. Until 0730, the speed of the fleet was 20 knots. At the time of the attack, there was no report of the British Fleet making a zigzag manoeuvre477.
474Missing the 11th Destroyer Division and the Destroyer Sagiri.
47555th Class.
Abandoning the pursuit by the Surface Forces
Vice Admiral Kondo learned of the British fleet's movements when he received a message from Submarine I-58 at 0341. (104) The position of the British fleet was about 240°, 200 nautical miles from the Main Body of the Southern Force. It was around 0500 when Vice Admiral Ozawa (aboard the Heavy Cruiser CHOKAI) received this telegram.
When Vice Admiral Kondo learned that the British fleet had reversed course halfway through the night and was evacuating for Singapore, at 0500, he increased the fleet's speed to 24 knots (a course of 170°) and pursued it, and at the same time, ordered the 1st Air Force and the Submarine Force to attack the enemy: (159)
0341, Enemy forces are passing by at point Fumoro 45, heading for Singapore. Air and submarine units are to intercept and destroy this enemy as much as possible.
In addition, Vice Admiral Ozawa ordered that the 3rd Destroyer Squadron (missing 11th Destroyer Division and Destroyer SAGIRI) to: (151)
0545, rapidly replenished at Poulo Condor and prepared for the ensuing operations.
The report from the Submarine I-58 at 0425 was not received by the Flagship Heavy Cruiser ATAGO, so the Southern Force Commander continued to judge the British Fleet's course to be 180°.
At 0640, the Submarine I-58 reported, "We have lost contact. 0615," but after that, there were no further reports of enemy activity.
At 0744, the surface forces increased speed to 28 knots (keeping a course of 170°) and continued their southward march. However, the distance was too far to pursue the British fleet. Vice Admiral Kondo left the attack to the air and submarine forces, and at 0815 the pursuit of the surface force is abandoned: (149)
Abandon pursuit of surface forces and turned the local surface forces around.
The 3rd Destroyer Squadron received all four telegrams from the submarine I-58 but continued eastward to join the Main Force. However, at 0630, received the aforementioned telegram from Vice Admiral Ozawa, which instructed to replenish at Poulo Condor Island. At 0715, the Light Cruiser SENDAI spotted the seaplane from the Heavy Cruiser SUZUYA that had crash-landed the previous night at 205° 55 nautical miles from Poulo Condor Island and lifted it up478. 0800 The 3rd Destroyer Squadron changed course for Poulo Condor Island. (151)
476This is a reference for Vice Admiral Kondo (Headquarter at the Flagship Heavy Cruiser TAKAO), Vice admiral Ozawa (Headquarter at the Flagship Heavy Cruiser CHOKAI), Rear Admiral Yoshitomi (Headquarter at the Flagship Light Cruiser KINU) and probably also the Rear Admiral Matsunaga (Headquarter at Saigon). Rear Admiral Hashimoto (Headquarter Flagship Light Cruiser SENDAI) is moving towards the rest of the Surface Forces, but from the opposing direction (Western direction), and in the closest position to the I-58, and more importantly coming from around Kuantan (where is Kota Bharu). At 0122 the last group (1st Section of the 19th Destroyer Division) of the 3rd Destroyer Squadron is on the final approaches to the rest of the 3rd Destroyer Squadron (at 0130).
477From this I assume that the Battlecruiser HMS Repulse or any other unit in the British Fleet did not noted that they had been attacked with torpedoes or that the Submarine I-65 was in pursue.
478The Light Cruiser SENDAI have a crane that can lift a plane from the water (It’s used to recover its own seaplane) but it doesn’t have and hangar or space to store an additional seaplane. I think that in this case it is the pilot that was recovered and not the Seaplane. This is the same plane that Rear Admiral Kurita had requested the Destroyer HAKAZE to assist, the day before at 1930 (Apparently the Destroyer HAKAZE never found it).
4 Air Force Search and attack plan, sinking of the British battleships
Search and attack plan of air force
On the 9th, Rear Admiral Matsunaga ordered all the attacking units to turn back by around 2110. (172) Meanwhile, the Malaya Seizure Force Order nº 26 and of the Southern Force Order (sent at 2000) came in one after another, and the air units were ordered to limit their attack to a scouting mission that night and wait for daybreak on the 10th to attack the British Fleet with all their strength.
The last hope was placed on the 3 Land Based Reconnaissance Aircraft of the Air Assault Force B, also misidentified the Main Body of the Malaya Seizure Force as the British fleet, and because of the confusion, Rear Admiral Matsunaga gave up the reconnaissance mission for the night and ordered the recon team to return to base at 2155. Therefore, Rear Admiral Matsunaga decided to make an all-out search-and-attack from early the next morning and ordered the following preparations: (172)
Malaya Seizure Force, 1st Air Force, Order nº 13, 9th December, 2200
Regarding preparations for aircraft in the early hours of tomorrow morning, the following orders were issued:
Air Assault Force A: 2 Squadrons armed with torpedoes, 1 Squadron armed with bombs and 1 Squadron for reconnaissance.
Air Assault Force B: 2 Squadrons armed with torpedoes, 1 Squadron armed with bombs and 1 Squadron for reconnaissance.
Air Assault Force C: 5 Land Based Reconnaissance Aircraft, and others for air patrols.
Air Assault Force D: 3 Squadrons armed with torpedoes.
Rear Admiral Matsunaga then ordered the following (172):
Malaya Seizure Force, 1st Air Force, Order nº 14, 9th December, 2230: 1 Reconnaissance:
0630, Air Assault Force A: 9 Land Based Reconnaissance Aircraft – B Area; Air Assault Force C – A Area, 7 Lines.
2 Each Squadron armed with torpedoes, after 0700, stand by.
Author's Note: The above is from the GENZAN Naval Air Groupe Battle Report. According to other sources, the Reconnaissance Squadron of the Air Assault Force B was planned to be done in the "A" area, but the fact that it is not listed above is thought to be a misprint in the Combat Detail Report.
In addition, the 2nd Air Force (seaplane) was ordered by Vice Admiral Ozawa to prepare for a night attack mission on the night of the 9th. However, the night attack was not ordered.
At 2230 on the 9th, Vice Admiral Kondo gave the following search orders to the 2nd Air Force:
(135)
The 12th Naval Air Forces479 shall use some of their forces to search for enemy force and may engage the main enemy forces early in the morning of the 10th.
Upon receiving this order, Rear Admiral Imamura, in preparation for tomorrow morning's search and attack operations, ordered the following search and rescue operations for the time being: (152)
On and after 0400 tomorrow, 3 Seater Seaplanes480 to stand by for 2 hours and 2 Seater Seaplanes481 to stand by for one hour.
The Auxiliary Seaplane Carrier KAMIKAWA MARU (42936) was in Camranh Bay and the Auxiliary Seaplane Carrier SANYO MARU (36117) was at Poulo Condor Island, where the seaplanes were being prepared. Rear Admiral Imamura made the following plans for the search for the enemy and telegraphed them to all departments: (135-152)
1 Number of planes to be used: 5 Type Zero Reconnaissance Seaplane (3 from the Auxiliary Seaplane Carrier KAMIKAWA MARU (42936) and 2 from the Auxiliary Seaplane Carrier SANYO MARU (36117)
2 Search plan based on Poulo Condor Island: 180, 190, 200, 210, 220°, advance distance 240 nautical miles, lateral range 20 nautical miles.
Launch of the search and attack force
At about 0600, Rear Admiral Matsunaga received a telegram from Vice Admiral Kondo, sent at 0500, ordering an attack on the British fleet. Then at 0630, he received the report from the Submarine I-58, sent at of 0341. Rear-Admiral Matsunaga, having found out the position of the British Fleet, stopped the searching at the Patrol Area A by the Air Assault Force B and gave it the task of attacking the fleet. (92)
A search-and-attack squadron (9 Type 96 Land Based Attack Aircraft) first departed from Saigon Airbase at 0625. (115-165) Its search plan was to search from Saigon between 160° and 216° (Patrol Area A), advance distance 500 nautical miles, side left 40 nautical miles (turn left at the tip 40 nautical miles, then turn left again and return) by a single plane482. The position of the British fleet according to the Submarine I-58 report was about 350 nautical miles from Saigon Air Base, so if the British fleet was moving south at a course of 180° and 22 knots, it was expected that a spotting plane could detect the British fleet at about 500 nautical miles from the base; around 1000 miles at the actual speed of 120 knots.
2 Land Based Reconnaissance Aircraft of the Air Assault Force C departed at 0700 and headed for the search for Patrol A.
At 0730, Rear Admiral Matsunaga ordered that if the first attack was not insufficient, there was concern that the damaged British fleet might be able to escape, so the first attack was to be hastened and ordered a search and attack: (90)
Each squadron will launch as soon as ready. 0341, Fumoro 45, attack the enemy main force fleeing towards Singapore.
The formation of the Air Assault Force A is shown at Table 53. (83-115)483
The Commander of the GENZAN Naval Air Group, Commander Maeda, entrusted command of the attack force to Lieutenant Commander Nakanishi, and with the permission of Rear Admiral Matsunaga, boarded the aircraft of Lieutenant Nomura, the 1st plane of the 2nd Section of the 3rd Squadron, in order to observe the efforts of his men. The attack force departed from Saigon Air Base at 0755 and began to move south in formation along the Saigon-Singapore contact line. (90-115)
The formation of the Air Assault Force B is shown at Table 54. (83-115)484
No overall commander was established for the Air Assault Force B and departed from Thu Dau Mot Air Base with the Takeda's Squadron at 0820, at 0845 the Takahashi's Squadron, at 0855 Shirai's Squadron and finally Ohira's Squadron at 0930. The reason for the delay in the departure of the Ohira´s Squadron was that it was initially being prepared as a torpedo bomber squadron but was changed to a bomber squadron during the course of its preparation, and thus required time to change its armament. (115-179)
The formation of the Air Assault Force D is shown at Table 55. (83-115)485
The Air Assault Force D was composed entirely of Land Based Attack Aircraft armed with torpedoes. The attacking force departed from Thu Dau Mot Air Base at 0814 and moved south at an altitude of 3,000 metres with each squadron in open-range formation and a course of 180°.
Note:
At that time, there were no 800-kilogram conventional bombs available in this area, and the maximum was 500 kilograms.
479By 12th Naval Air Forces, Vice Admiral Kondo must be referring to the 12th Seaplane Tender Division (Auxiliary Seaplane Carrier KAMIKAWA MARU (42936) and the Auxiliary Seaplane Carrier SANYO MARU (36117).
480Navy Type 0 Reconnaissance Seaplane, Aishi E13A1, Allied Code Name Jake.
481Mitsubishi F1M2, Type 0 Observation Seaplane, Allied Code Name Pete.
4821 aircraft patrol equals 9 patrol search lines between 160° and 216°.
483I was not able to verify the Section Leaders Names and its probable that some of them were incorrectly translated.



Meanwhile, Rear Admiral Imamura of the 2nd Air Force, at 0310, orders:
5 Zero Type Reconnaissance Seaplanes to depart from Camranh Bay and search between 175 and 220° from Poulo Condor.
At 0345 Rear Admiral Imamura reported to the Vice Admirals Kondo and Ozawa that he had made an advance of 240 nautical miles and had notified all units.
3 Seaplanes from the Auxiliary Seaplane Carrier KAMIKAWA MARU (42936) and 2 from the Auxiliary Seaplane Carrier SANYO MARU (36117) departed Camranh Bay at 0420, slightly later than planned, and headed for the search. (152)
Meanwhile, Vice Admiral Ozawa, who received the aforementioned order of the Commander from the Southern Force, also made a separate search plan, and indicated it with the Malaya Seizure Force Order nº 27. (135) The Auxiliary Seaplane Carrier SANYO MARU (36117) docked at Poulo Condor Island at around 0430 on the 10th, and in order to carry out a search for the enemy in accordance with the Malaya Seizure Force Order nº 27, 3 of the Type Zero Observation Seaplanes on board were launched at 0630 and reported to Vice Admiral Ozawa and Rear Admiral Imamura as follows: (135)
Auxiliary Seaplane Carrier SANYO MARU (36117) Classified Report nº 33, 10th, 0630:
Type Zero Observation Seaplanes, 0630 launched, advance distance 180 nautical miles, side range 10 nautical miles.
The Auxiliary Seaplane Carrier SANYO MARU (36117) Observation Seaplane proceeded to search for the enemy at 178°, 187° and 197° from Poulo Condor Island.
When Rear Admiral Imamura learned of the observation plane's departure from the Auxiliary Seaplane Carrier SANYO MARU (36117) by the Classified Report nº 33, he ordered at 0730:
The 1st and 5th search seaplanes are to turn back immediately to Camranh Bay.
However, this order was not understood by the nice aircraft, and only the first-line reconnaissance aircraft, due to a malfunction, turned off from 180°, 75 nautical miles from Poulo Condor Island, while the others carried out the previously ordered search and rescue. (135-152)

Search planes find the British fleet
At 0625, the 9 search planes of the 1st Air Force which departed from Saigon Air Base began to search for the enemy in each search line.
Rear Admiral Matsunaga received the report from the Submarine I-58 from 0341 , but he failed to receive the report the 0425 report from the same submarine with "enemy direction 240°", so he judged that the British fleet was still fleeing to the south at 180°. Thinking that the 500-nautical-mile range of his search planes would not be sufficient in this situation, at 0900, the Rear Admiral sent out a message stating that the British fleet was still fleeing south at a heading of 180°:
0340, Enemy's main position is 173° south of Khoai Island, and the advance distance of the 4th, 5th and 6th line is 600 nautical miles. (172)
The following is a report from a search aircraft on the fourth line received at 0921:
0900, 1 submarine, unknown friend or foe, sighted, bearing 188° 35 nautical miles
from base, heading 190°, speed 12 knots. (172)
This position was about 50 nautical miles to the north east of where the British fleet had been sighted, and it was thought that there was a good chance of friendly submarines. The following meteorological report was then received:
0928, 197° around 270 miles Clear weather Cloud amount 6 Cloud height 2500 Visibility 20 miles Stratocumulus Cumulonimbus clouds in places (3rd Line spotter, 0845)
0931, Cloud volume 8, cloud height 2,500 miles, field of view 20 miles (5th line spotter, 0900)
Based on the above report, the weather in the vicinity of the battlefield had improved since the previous night, and although cloud cover was somewhat heavy, cloud height was more than 2,500 meters, and visibility was judged to be generally good. The Rear Admiral further reported to the searching aircraft about the estimated position of the British fleet: (90)
0600, the position of the enemy's main force, 190°, 420 nautical miles from Saigon, Course 180°, Speed 20 knots, 0930

The following meteorological report was received from a reconnaissance aircraft, but the whereabouts of the British fleet were still unknown:
1002, base azimuth 190° 400 nautical miles , Lower cloud level 5, cloud height 500, upper cloud cover 100 , Cloud height 3000, visibility 30 nautical miles (4th Line Spotter 0945)
1037, Tioman Island, Half sunny, Cloud cover 8, Cloud height 3,000, wind direction 70°, wind speed 5 knots (3rd Line Spotter 1025)
At 1052, the 4th Line Spotter reached the limit of their advance and turned left to head for base. Immediately afterwards, at 1133, the aircraft spotted a destroyer and bombed it with two 60-kilogram land bombs but failed to hit it. The aircraft immediately reported: (172)
1 enemy destroyer spotted486, bearing 190°, 630 nautical miles (author's note: wrong, heading of about 530 nautical miles), heading 220°, speed 16 knots, and that no bombs had hit the destroyer.
On the other hand, the 5 Type Zero Reconnaissance Seaplanes that departed from Camranh Bay at 0415 and the 3 Type Zero Observation Seaplanes departed from Poulo Condor Island at 0630 and continued to search for the enemy except for 1 Type Zero Reconnaissance Seaplane (1st search line) which had broken down. However, except for the reconnaissance aircraft from the Auxiliary Seaplane Carrier KAMIKAWA MARU (42936) which spotted a 1015 Swedish steamer, no other enemy information was obtained, and all aircraft returned to base by 1130. (83-136-152) Also, 2 Land Based Reconnaissance Aircraft, which had been sent to look for the enemy in the Patrol Area A, also advanced as far as 250 nautical miles but failed to detect any enemy. (115)
The search aircraft of the Air Assault Force A, commanded by Reserve Second Lieutenant Masaon Hoashi, were ordered to search the 3rd line. The aircraft made a southerly search from Saigon base at a course of 197°, but did not find the British fleet, and continued to search while reporting the weather in a timely manner. At 1000, about 40 nautical miles north- northeast of Tioman Island, the aircraft changed course to the south and reached a position about 30 nautical miles south-southeast of the island. This position was 550 nautical miles from the Saigon base and 30 nautical miles from the Malay Peninsula. Therefore, the aircraft turned around at this point and proceeded north-northwest along the Malaya Peninsula. At 1145, the aircraft finally spotted the British fleet and immediately reported:
Enemy main force in sight, north latitude 4°, east longitude 103° 55 minutes, course 60°, 1145
The first report of the discovery after being sent was followed by:
The enemy's main force has changed its course to 30°, 1150.
The enemy's main force has a direct escort of three destroyers, sailing in the order of KING GEORGE V type and REPULSE, 1205
The British fleet was then contacted and reported to the headquarters. Rear Admiral Matsunaga received this report and immediately forwarded it to the various attack units. (172)
The action of each attack force
The striking force of the Air Assault Force A was proceeding straight from Saigon in the direction of Singapore when it received the British Fleet information mentioned above from Headquarters at 0941. The attacking force thought that the new information might be a definite position discovered by friendly forces. (90) Therefore, at 1015, the attack force turned south and headed for the estimated position of the British fleet. Shortly afterwards, at 1020, the 1st Land Based Attack Aircraft of the 2nd Section of the 2nd Squadron had to turn back due to engine failure. At 1143, the Attack Section, which was reduced to 7 Land Based Attack Aircraft because of this, spotted a Light Cruiser at 192° from Saigon, about 500 nautical miles. Nikaido's squadron487 misidentified the ship as a British flagship and bombed it at 1214 but failed to hit it. Captain Nikaido reported to base that he had bombed the enemy's main force and returned home. The 2 torpedo armed Squadrons continued southward without regard to this ship and received the 1st report of the discovery of 1200 by scout planes. The torpedo squadron immediately turned to the position of the British fleet. The attack plan of the Air Assault Force A was as follows: (172)
1 Torpedo Attack:
A) Attack Plan:
The 1st Squadron: A pincer attack from the right side. The 2nd Squadron: A pincer attack from the left side.
B) Torpedoes:
1 Type 91 Torpedo: 17 Torpedoes.
(Note: explosive charge: 149.5 kilograms, total weight: 784 kilograms)
C) Firing characteristics:
1) Aircraft:
Launching altitude: 25 meters. Launching speed: 140~150 knots.
2) Torpedo Settings:
Torpedo speed: 42 knots. Targeting distance: 2000 meters Set depth: 6 meters.
2 Bombing specifications488
A) Bombing target: Main Ship nº 1.
B) Bombs: 500 kilogram conventional bombs, one per aircraft.
C) Bombing altitude: 3500 meters.
D) Dropping method: 1 overflight, 1 drop at a time.
E) Bombardment formation: Convex Column formation
Reference:
A squadron of aircraft (which Air Assault Force or Squadron is unknown) reversing towards the position of the British Fleet inquired the Saigon Air Base about the depth of the sea where the British fleet was located. This was because the surface of the sea where the British fleet was located was unexpectedly close to the Malay Peninsula and the water depth was shallow. This was due to the unexpectedly close proximity of the British Fleet to the Malay Peninsula and the shallow depth of the water, and a concern that the depth of the water might need to be taken into account particularly when torpedoing the aircraft. Water depths were not entered on aeronautical charts at the time. At any rate, Lieutenant Commander (later Captain) Sonokawa Kamerou, Flight Commander of the Genzan Naval Air Group, recalled that he was heartened at the base to learn that the crews were aware of these points in a subdued manner.
Note:
The mooring of a torpedo plane means that the torpedo dives quite deep when it first enters the water. Therefore, if the surface at which the torpedo is launched is shallow, the torpedo may sometimes penetrate the seabed. To prevent this, it is necessary to ensure that the aircraft is at the correct altitude, speed and orientation at the time of launch. If the water was shallow, the altitude had to be reduced, the speed reduced and the correct manoeuvres had to be made..
The bombs used were 250 and 500 kilogram conventional bombs, but these bombs were not able to penetrate thick steel plates and could not be expected to inflict fatal damage on battleships. In the Japanese Navy, simultaneous bombing and torpedo attack was the standard type of battleship attack method. In this case, the main objective of the attack by conventional bombs was to damage the enemy ship by hitting it and to cause confusion on board, thus making the attack of the torpedo party easier and more effective. To inflict fatal wounds on battleships by bombing, the armour-piercing bombs used on Hawaii were necessary, but at that time these bombs were not available to the units in this area.489
486HMS TENEDOS.
487There is a problem with this: According with the Table 53, Lieutenant Nikaido was the Commander of the 3rd Squadron and not of the 2nd. To give more substance to this is the fact that the attack was carried with bombs and not with torpedoes. But the 3rd Squadron was complete with 9 planes with would mean that the attack was carried with 8 planes and not 7. The 2nd Squadron was already missing 1 Land Attack Aircraft and if one had turned back it would have been left with the claimed 7. But I’m convinced that it was mistake because Illustration nº 34 also identifies Lieutenant Nikaido Squadron with the 1214 attack and Lieutenant Nikaido Squadron doesn’t participate on the attack on the British Fleet. Oddly, the Commander of the GENZAN Naval Air Group, Commander Maeda, was on the aircraft of Lieutenant Nomura, the 1st plane of the 2nd Section of the 3rd Squadron, the plane that had to turn back at 1020 and was, this way, unable to observe the attack of the GENZAN Naval Group torpedo armed squadrons on the British Fleet. This is the attack on the Destroyer HMS TENEDOS.
488The Squadron armed with bombs doesn’t participate in the attack (Lieutenant Nikaido).
489This is a reference to the Type 99 nº 80 Mk 5 bomb used to sink the USS Arizona.

In the Air Assault Force B, the search squadron was changed to a bombing squadron, and 1 torpedo squadron was also changed to a bombing squadron, so that in the end there were 1 torpedo squadron and 3 bombing squadrons. The attack plan was not much different from that of the Air Assault Force A, except that the torpedo depth was set at 5.5 meters and the bombing altitude at 3,000 meters, and the 1 Squadron carried two 250-kilogram bombs. (83- 92)
Note:
The reason why 1 Squadron of the Air Assault Force B changed to bombs is thought to have been a change in the Orders from Headquarters, taking into account the number of aircraft armed with bombs and armed with torpedoes but the original text of that Order has not survived.
After departing from Thu Dau Mot Air Base, the squadrons proceeded southward at a course of 187°, Squadron by Squadron. Lieutenant Shirai's Squadron turned off Kuantan at about 100 nautical miles south-southeast of Cape Cà Mau, while the other squadrons continued on their previous course. After receiving reports of the discovery of the Main British ship by seaplanes,
the squadrons immediately turned their heads to the discovered position, but Lieutenant Takeda Squadron was ahead of the others to the south, resulting in a diversion route being adopted. (174)
The Air Assault Force D, which had departed from Thu Dau Mot Air Base earlier than the Air Assault Force B, headed south on a course of 187° and at an altitude of 3,000 meters. This squadron was equipped with Type 91 torpedoes, model II (explosive charge 204 kilograms, total weight 838 kilograms), and the depth was set at 4 meters. At 1117, it reached 480 nautical miles from the base, that is, near the estimated position of the British fleet based on information and set up a strict watch. The weather in the vicinity was fine, and the Malayan Peninsula mountains were clearly visible above the clouds, and even Sumatra could be seen in the distance. At 1158, some 600 nautical miles from the base, Singapore was visible some 80 nautical miles to the right, but the British ship they were aiming for could not be seen. The attacking force had no choice but to reverse and head north. (85)
The Commander of the Kanoya Naval Air Group Detachment, Captain Fujiyoshi, who was concerned that the attacking force could not receive the report informing them of the position of the British fleet, telephoned the headquarters and requested them to inform the position of the British fleet in plain text. Rear Admiral Matsunaga ordered the scout plane to "radiate long wave, 1250" (each Land Based Attack Aircraft was equipped with a compass), and then at 1300, the position of the British fleet was reported to the attacking force in plain text. The Squadrons of the Air Assault Force D received this report at the northwest of Anambas Island and changed its course to 280° and headed for the British fleet.
The headquarters, which had earlier received a report of the sighting of a sailplane and informed all attack units of the British fleet's position, was unsure of the position of the British fleet when Lieutenant Nikaido reported a British Main Force bombing. The 2 reported positions differed by approximately 150 nautical miles. However, due to the opinion of staff officer Minoru Shigemura, that "Reserve Second Lieutenant Hoashi had participated in the attack on Kuantan on the 9th and was familiar with the situation on that side of the sea, so there was no way that Hoashi 's aircraft could be mistaken in its position," Rear Admiral Matsunaga became convinced that Hoashi's position of the British fleet was correct informed them of this: (89)
"The position of the nº3 search-line aircraft is correct. 1310.”
However, he was anxious about the actions of the attacking forces, and he sent a further report to the commanders of the attacking forces at 1335:
1150, the position of the main enemy ship, "Kwantan", 93°, 55 nautical miles, heading 160°, speed 20 knots.
At 1355, he also requested to report on the estimated time of arrival of each attack group over the British Fleet. (172)
Meanwhile, the scouts continued to make contact with the British fleet and reported the enemy's situation one after another:
Enemy weather in the vicinity is cloudy, cloud height 3,500m, visibility good, lower cloud 1,500m, cloud cover 2, 1,215m.
Enemy main force changing course 60°, speed 20 knots, 1230.
Attack and sinking two battleships (83-115-172)
The 1st attack group to arrive in the skies over the British fleet was the Lieutenant Shirai Squadron of the Air Assault Force B. At 1230, Shirai Squadron spotted the British fleet and at 1245 bombed the Battlecruiser HMS REPULSE with a formation of 8 planes (250 kilograms bombs, eight passages) at an altitude of 3,000 meters and a course of 340°. A column of water covered the whole of the Battlecruiser HMS REPULSE, and one of the bombs hit the middle of her smokestack, causing a fire. The anti-aircraft fire from the British ships was so intense that 2 of the Land Based Attack Aircraft had to separate and returned to base due to being hit.
The Land Based Attack Aircraft torpedo squadrons of the Air Assault Force A were the next to arrive. They found the British fleet at 1320. The British fleet had a general course of 160°, a speed of 20 knots, with a direct escort of three destroyers, sailing in the order of Battleship HMS PRINCE OF WALES and Battlecruiser HMS REPULSE. Lieutenant Commander Nakanishi chose the attack targets and set the 1st for the Lieutenant Ishihara Squadron and the 2nd ship for the Lieutenant Takai Squadron and ordered them to attack at 1307, 10 kilometres in front of the British fleet. The 2 squadrons were divided into left and right to assault the British battleships. Shortly after that, the destroyers began firing.
The 1st and 2nd Sections of the Ishihara Squadron attempted to attack the Battleship HMS PRINCE OF WALES from the port side, and the 3rd Section from the starboard side, breaking through the heavy fire and closing in on the ship. First, the 1st Aircraft of the 1st Section, with Lieutenant Commander Nakanishi and Squadron Leader Lieutenant Ishihara on board, fired a torpedo at 1314.5. Shortly afterwards, the ship began to evade, so the 2nd Aircraft of the 1st Section lost its firing position and changed its target to the Battlecruiser HMS REPULSE. In this attack, the 3rd Aircraft finished firing and was in the process of evading when it was hit by gunfire and blew itself up. The 2nd Section then fired from the port side. The 3rd aircraft of the 3rd Section fired at 1316.5, completing the firing of the entire squadron within 2 minutes of the firing of the squadron leader. After the attack, 2 columns of water were seen on the port side of the ship. The following is the record of the torpedo attack of the 7 aircraft of the Ishihara squadron, excluding the destroyed aircraft and the aircraft that attack the Battlecruiser HMS REPULSE:
Firing interval: 15 seconds (including Kawada aircraft490).
Target Speed: Maximum of 28 knots, minimum of 22 knots, average of 25.1 knots.
Azimuth Angle: 90°~30°, average 57°.
Note: Azimuth is the angle between the direction from the plane to the target and the direction of the target ship's bow.
Angle of fire: 28°~5°, average 14.3°.
Note: The angle of fire refers to the anticipated angle at the time of firing.
Firing Speed: 155~145 knots, average 148-5 knots.
Firing Altitude: 60 meters ~ 10 meters, average 33 meters. Range: 1500 meters ~ 600 meters, average 886 meters.
Target Movement: 1 in straight ahead, 6 in evasive.
490This must be the Land Based Attack Aircraft that blow-up “after” firing its torpedo.
After giving the order to assault, the Takai Squadron advanced to the starboard side of the British fleet, opposite to the Ishihara Squadron and charged the second ship, the Battlecruiser HMS REPULSE. First, the 1st aircraft of the 1st Section with Lieutenant Takai on board attempted to fire a torpedo from the starboard side of the ship at 1315, but the torpedo did not fall. The other 2 aircraft of the 1st Section and the 1st aircraft of the 2nd Section followed, firing from the starboard side. The Battlecruiser HMS REPULSE recognised the incoming torpedoes and turned to starboard (right helm) to avoid them. As a result, the 2nd aircraft of the 2nd Section and 2 aircraft of the 3rd Section fired from the port side of the ship at 1317. The squadron leader's plane fired again, this time successfully, from the port side. The watchers saw 3 columns of water and the Battlecruiser HMS REPULSE tilted heavily before recovering. The following is the record of Takai Squadron's torpedo attack:
Firing interval: 51 seconds.
Target Speed: Maximum 24 knots, minimum 20 knots, average 22-3 knots. Azimuth Angle: 120°~65°, average 86.4°.
Angle of fire: 25°~15°, average 19°.
Launching mechanism 180 knots~155 knots, average 162 knots. Firing Altitude: 50 meters ~ 20 meters, average 38 meters.
Range: 1200m~700 meters, average 987 meters. Target movement: 3 in straight ahead, 4 in evasive.

After completing the 1st bombing run, the Shirai Squadron of the Air Assault Force B conducted a 2nd bombing run against the Battlecruiser HMS REPULSE at 1318, with a formation of 6 Land Based Attack Aircraft, an altitude of 4,000 meters, and 6 250 kilogram bombs. However, no hit bombs were obtained.
The bombing of the Shirai Squadron and the torpedo attacks of the Ishihara and Takai Squadrons were carried out one after another with only a short interval between them, almost like a simultaneous attack battle. The fire of the British fleet was so intense that 5 aircraft of the Shirai squadron were hit, and 1 aircraft of the Ishihara squadron was lost and 3 aircraft were damaged, but the anti-aircraft fire of the Battlecruiser HMS REPULSE could not follow many targets, and the Takai squadron suffered no damaged.
Next, Takahashi Squadron of the Air Assault Force B arrived at the battlefield. The Takahashi squadron discovered the British fleet at 1320 and attacked the Battlecruiser HMS REPULSE from the southeast. At 1st, at 1327, 5 aircraft led by the squadron commander's aircraft torpedoed from the port side, and at 1328, 2 aircraft torpedoed from the same port side and 1 from the starboard side. However, the torpedo of the squadron leader's aircraft did not fall. At 1332, the squadron leader's aircraft tried again from the port side, but again the torpedo did not fall. It was later accepted that the cause was due to poor maintenance of the dropping equipment. The crews confirmed that they had hit the target (including one uncertain hit).
The Air Assault Force D was still concentrated, and at around 1338, it went out to the west of the estimated position of the British fleet, but it could not find her, so it went further south. It soon spotted a reconnaissance seaplane was seen between the clouds and subsequently sighted the British fleet at 1348. The cloud cover in the vicinity was about 6, with a cloud top of 2000, and the lower level at 400~600 meters. Each squadron approached the British fleet while keeping the lower edge of the cloud under cover. The British fleet was about 2000 meters behind with the 3 Destroyers, followed by the Battleship HMS PRINCE OF WALES and the Battlecruiser HMS REPULSE, about 2500 meters behind the Battleship HMS PRINCE OF WALES, with a course of about 160°, and the speed of the Battlecruiser HMS REPULSE was still undiminished and was judged to be about 20 knots. At 1350, the lead pilot's aircraft attacked from the starboard side of the 1st ship, followed by 3 aircrafts of Nabeta Squadron and 2 aircrafts of Higashi Squadron, which fired at a distance of about 500 metres, and 5 water columns were sighted. The remaining 5 aircraft of Nabeta Squadron attacked from the starboard side of the Battlecruiser HMS REPULSE at 1350, while the 6 aircraft of Higashi Squadron attacked from its port side.
The Lieutenant Iki Squadron was the last and followed the Nabeta and Higashi Squadrons on the attack at the Battleship HMS PRINCE OF WALES. However, the Iki squadron's firing position was slightly backward against the ship and a water column of hits was seen hitting the rear of the front ship and so Lieutenant Iki immediately decided to switch targets to the Battlecruiser HMS REPULSE. At this time the Battlecruiser HMS REPULSE was still turning to the right at a speed of about 20 knots. The 1st Section of the Iki Squadron launched a torpedo attack from the port side. The 2nd and 3rd Sections turned to the left in response to the ship's right turn and the 2nd Section followed with a torpedo attack. However, because the ship's turn was rapid, the 3rd Section finished its torpedo attack with the firing point slightly backward at 1402. (85) Lieutenant Commander Miyauchi's Squadron saw 2 columns of water rise on the starboard side and 5 on the port side of the Battlecruiser HMS REPULSE.
Shortly afterwards, at 1403, the huge body of the Battlecruiser HMS REPULSE capsized and disappeared into the sea, leaving a large ripple in the water. However, the ship's anti-aircraft fire continued until just before she sank. As a result, the 2nd and 3rd aircraft of the Iki Squadron's 1st Section were shot down.
Lieutenant Ohira Squadron of the Air Assault Force B arrived on the battlefield as the Miyauchi Squadron was continuing its attack. At 1403, 9 aircraft of the Ohira Squadron spotted a British ship in a break in the clouds and bombed it with 500 kilogram bombs. However, it was an escorting destroyer and the bombs did not hit it.
Finally, at 1355, when the Takeda Squadron of the Air Assault Force B arrived at the battlefield and discovered the British fleet, she was being attacked by the Miyauchi Squadron. The two battleships were surrounded by AA smoke as they moved through the calm, cloudy sea, and the torpedo planes charged through the AA gun smoke, with a succession of water columns rising on the port side of both ships to indicate that torpedoes had hit. The Battlecruiser HMS REPULSE was turning to the right and making evasive manoeuvres, but the Battleship HMS PRINCE OF WALES was thought to be already down to a few knots of speed. The Takeda Squadron targeted the Battleship HMS PRINCE OF WALES and bombed it with 8 conventional 500 kilograms bombs at an altitude of 3,000 meters, course of 300°, at a speed of 120 knots but one bomb did not fall. The crew observed that 2 bombs hit near the stern. During this time, the Battlecruiser HMS REPULSE sank at 1403, but Takeda's squadron, absorbed in the bombing, was unaware of the sinking. When they finished bombing and looked around the area, they could see no sign of the Battlecruiser HMS REPULSE, only a large area of black oil on the surface of the sea. (174)
Hoashi 's Land Based Reconnaissance Aircraft continued to make contact with the British fleet. At 1200, Rear Admiral Matsunaga, who was concerned about the fuel consumption of the reconnaissance aircraft, ordered it to:
"go to Kota Bharu" "contact at 1500"
At 1320, launched another reconnaissance aircraft to replace him. (115-165) Hoashi's Land Based Reconnaissance Aircraft left the battlefield at around 1320, bombed Kuantan airfield with 2 60-kilogram bombs at 1350 and returned over the British fleet at around 1427. At that time, the Battleship HMS PRINCE OF WALES was entering its final hours. Hoashi's reconnaissance aircraft sent the following report:
"King George" is running to the left at 90° angle, explosion at stern, sinking in process. Enemy position 110°, 75 nautical miles from Kuantan, heading 90°, speed 6 knots, 1445.
1450, PRINCE OF WALES exploded in a huge explosion and her figure disappeared into the sea.
HMS REPULSE at 1420 sank; KING GEORGE also exploded and sank, 1450.”
The reconnaissance aircraft observed one of the escort destroyers approaching the Battlecruiser HMS REPULSE's sunken position and rescuing its crew:
A Light Cruiser Destroyer approached the sinking position of the Battlecruiser HMS REPULSE was engaged in rescue operations, but was barely able to hold the crew, and King George shared the fate of all crew members with the ship, 1500.
Hoashi's reconnaissance aircraft spotted the incoming British fighters and quickly retreated, evading their pursuit under cover of cloud cover.
Note:
Both Japanese and British sources agree that the Battlecruiser HMS REPULSE sank at 1403. When the reconnaissance aircraft returned to the airspace over the British fleet, the Battlecruiser HMS REPULSE had sunk, so it is likely that the aircraft reported the time as around 1420.
Meanwhile, Rear Admiral Matsunaga, worried about the shortage of fuel for the attacking force, negotiated with the Army 3rd Air Division Headquarters, and decided that Kota Bharu Airfield, as an emergency landing site immediately after the occupation and 1420 ordered:
'Aircraft with no fuel to spare should go to "Soc Trang" or "Kota Bharu"'
After the attack, all the attackers returned to the base at Southern French Indochina, except for a few aircraft that temporarily landed at Kota Bharu. However, 1 Land Based Attack Aircraft of the Air Assault Force D crash-landed at French Southern Indochina Air Base and was badly damaged. After learning of the sinking of the British battleships on the way from Saigon, the replacement reconnaissance aircraft turned back and the last one, a reconnaissance aircraft at 1910 returned to Saigon. The Land Based Reconnaissance Aircraft were in action for about 13 hours. The attack groups were in the process of rushing to Saigon to prepare for the second attack when they received the news that both battleships had been sunk.
The attack by the 1st Air Force is summarised in the Table 56 (83)

![]() |


Reference:
A crew member of the MIHORO Naval Air Group who took part in this battle wrote in his memoirs immediately after the operation as follows:
Flight Sergeant First Class Katsumi Ogawa (Reconnaissance Officer, 3rd Aircraft 3rd Section, Takahashi Squadron):
"We had been searching for the enemy for over 600 nautical miles, only to find clouds and water. Just when we were discouraged that today would not be a good day, we received the news that the enemy had been sighted at 75°, 40 nautical miles from Kuantan, and everyone jumped to their feet. As we approached, we heard a lot of shouting on the phone. The volume is turned down. A burst of smoke from a high-angle gun is seen to the left. The pilot nods and looks ahead to the left. 5 or 6 more are found above the clouds. I felt as if I had been struck in the chest. What the hell, I thought, as I tightened the band on my gun. When I looked down, I saw 2 or 3 black ships floating in the water.
Charge! The clouds have parted and suddenly there are two huge ships in front of us. When I thought it was the Repulse, but I felt as if my whole body had been tightened. I'm not sure if I'm going to be able to settle down, but I can't stop thinking about it. I thought, "That's it, I'll just lay my hands on Friday and Saturday and relax. I feel somewhat relieved that everything will be alright. The ship seems to have settled down comfortably, with a nasty little look on its face. The pilot turns to look back and says, "Okay, let's go. Suddenly, the engine roars, and I push hard. The speedometer and altimeter hands jump. I see the first plane in front of me,
about a hundred metres in front of me. I feel as if I'm going to die. The ship hasn't fired yet. While I was thinking, "Not yet, not yet, not yet" I began to feel as if I were doing some kind of exercise. I thought, "I wonder if I can hit that thing", and In the meantime, a red fire was seen near the bridge, and a column of water was seen rising in front of the ship. The first plane was seen to have a column of water in front of it, and it drew a curtain of water alongside it. What is the aircraft going to do? Looking at the surface of the water, the wingtips are almost out of the water, the surface of the water is running fast, the plane is level, and then he hears a voice: "Ready, strike". The aircraft then made a terrible roar and turned away. At that moment, they heard a crunching sound and said, "Hit it, hit it".
Looking back, black smoke rising from the second ship and planes rushed in. Cannon fire, machine guns towing shells, bursting high-angle guns, water columns. It was a military picture scroll. As I looked on, I saw the bridge and stern of the ship are sprayed and the water columns are up. The ship is supposed to explode in a huge explosion with a huge plume of black smoke, but there is nothing to be seen. The pilot shouts at the crew, "Did you hit it?" and "Too bad, I can't tell" and "You're such an idiot". In the meantime, we are out of range of defensive fire, and the bullets aren't coming. The ship is burning up, it's a wonder it has any life at all, and it feels like it can't take any more damage from torpedo strikes. The ship has not sunk yet. The second ship seems to be leaning a little to the right, but I can't be sure.
Flying Officer 1st Class Susumu Uno (Co-pilot 3rd Aircraft, 3rd Section, Takahashi Squadron):
Charge down. As we close in on the enemy second by second, the defensive fire becomes more intense and the bursts are closer. At 4,000 meters, 3,000 meters, I released the safety (author's note: the safety device of the firing grip). It seems that the enemy is continuing to make an outward turn. If you go at this speed, you will fall behind, won't you? I kept shouting " outward turn, outward turn", and I thought I should take the control stick.
"These torpedoes must hit the target at all costs. The only thing on my mind was, "If this torpedo doesn't hit the target, I'm going to lose my life. I was staring at the enemy bridge for 2,000 or 1,000 metres, and then I grabbed the drop handle and gave the order to drop.
There are no more machine guns shells. There were no anti-aircraft guns. The only thing I see is the enemy ship lying on its side in hatred.
At a distance of 1,000 metres, I recited in a full voice, "Prepare. I raised my voice and recited, "Strike. I felt as if I couldn't stand it any longer.
The scouts were wearing headgear and their faces were flushed, and they were firing heavily at the bridge. The aircraft gradually turned to the left and retreated. The aircraft is in a hurry, as if it is being chased by something terrible. Altitude 30 metres. The aircraft continues to turn left and looks like it is watching the ship, but I can't see any sign of a hit. I felt like nothing else. I was so stunned that I could not stop the tears that streamed down my cheeks.
In this attack, 2 British battleships were sunk by air attack. The attack was delayed due to poor submarine communications, which delayed the detection of the enemy fleet, and therefore, due to the cruising time (fuel) of the attacking force, the attack was made in succession for about 1.5 hours as follows. (83)
The result of the bombing attack, including the attack on the destroyer by the Ohira Squadron, are reported on Table 57. (83) The British data is included for reference, but its accuracy is not known.
The result of the torpedo strikes in this naval battle are reported on Table 58. (83) British data is added for reference, but again the accuracy of this is unknown.
The torpedo and bomb hits reported during the Battle of Malaya are shown in Illustration nº 38.
The defensive fire of the British battleships was extremely intense, and the high altitude horizontal bombing squadrons suffered heavy damage. Even the Takeda squadron (eight aircraft), the last to bomb, had hits on 5 aircraft by fire from the Battleship HMS PRINCE OF WALES, which was already sinking at a speed of about 6 knots. However, the British battleships counterattacked the torpedo force with a number of small guns and machine guns, as if they were raining down on them, but the effect was surprisingly small. The damage on our side is reported in the Table 59. (83)
The Land Based Attack Aircraft Crews shot down are shown on Table 60491. (115)
491I was not able to verify the Names and its probable that some of them were incorrectly translated.


Reference:
In peacetime, on a training exercise with the Combined Fleet in 1939, the hit rate of our navy's horizontal bombing was about 12% at an altitude of 3,000 meters against a battleship underway (about 14 knots). It was expected that the hit rate would be one-half or one-third by the time of the war. (180)


Reference:
In peacetime, our navy had been practicing simultaneous torpedo and bomb attacks on battleship squadrons with a large number of aircraft. The target ships made a drastic and large evasion in about 14 knots. the hit rate was about 70%. The main factor in this lightning attack was to fire at the target ship in close proximity to it, which meant that the hit rate was largely controlled by the crew's mental strength. In wartime, the hit rate was expected to drop to less than half due to enemy defensive fire, enemy speed due to unfamiliar target ship types, and the difficulty of sight-reading the distance. In addition, the speed of the British battleships in this battle was nearly double the speed of the targets that the thunderbolt squadrons had trained for in peacetime, but their avoidance manoeuvres seemed to be sluggish. The method of torpedo attack was to use a large number of planes, surround the target ship, and attack simultaneously so that one of the attacking group could get to a good firing point against the evasion of any target. In this battle, because the attack was made in succession, only a small number of aircraft were able to reach the target at the same time.
In addition, the greater the depth of the torpedo hit and explosion, the greater its damaging effect. In this battle, however, the Kanoya Air Force had set the depth of its torpedoes at four meters in preparation for the appearance of cruisers. This reduced the effectiveness of the torpedoes in hitting battleships.
Note:
In addition, a squadron (9 aircraft) of the MIHORO Naval Air Group was over the battlefield but did not fly over the enemy battleships.



Battle Report (117)
Rear Admiral Matsunaga, at 1515:
The Battlecruiser HMS REPULSE sank at 1420 and the Battleship HMS PRINCE OF WALES sank at 1450 after catching fire.
That night, at 2300, he also sent a further battle report: (172)
Malaya Seizure Force, 1st Air Force, Battle Report nº 3:
1 During the period from 0600 to 1230, 10 Land Based Attack Aircraft of the Reconnaissance Squadron landing craft, 2 Land Based Reconnaissance Aircraft, 51 Land Based Attack Aircraft armed with torpedoes and 34 Land Based Attack Aircraft armed with bombs, were launched to attack the British Battleship HMS PRINCE OF WALES and the Battlecruiser HMS REPULSE and other escort vessels with continuous torpedo and bombing attacks from 1258 to 1415 around 93°, 55 nautical miles off the east coast of Malaya at the Kuantan area. 2 Main Ships were sunk. 1800 returned.
2 Damage:
Destroyed on the battlefield (Author's note: shot down):
2 Land Based Attach Aircraft of the KANOYA Naval Air group and 1 Land Based Attack Aircraft from the GENZAN Naval Air Group.
Crash landing in Southern French Indochina:
2 Land Based Attack Aircraft of the KANOYA Naval Air Group.
Hit:
7 Land Based Attack Aircraft of the GENZAN Naval Air Group can be repaired in the Squadron.
2 Land Based Attack Aircraft of the KANOYA Naval Air Group require repairs an aviation facility, 5 Land Based Attack Aircraft can be repaired in the squadron.
10 Land Based Attack Aircraft of the MIHORO Naval Air Group can be repaired in the Squadron.
3 Torpedoes used: 49; Bombs used: 26 ( Model nº 50), 16 (Model nº 25), 4492 (Model nº 6) used on land.
On the following day, the 11th , 1820, Rear Admiral Matsunaga made the following additional report: (55)
Malaya Seizure Force, 1st Air Force Battle Report nº 3: Additional corrections on 10th of December:
1 A cruiser (or a Destroyer) was bombed and sunk.
2 Damage:
Crash landing in Southern French Indochina:
1 Land Based Attack Aircraft of the KANOYA Naval Air Group instead of 2.
Hit:
3 Land Based Attack Aircraft of the KANOYA Naval Air Group require repairs an aviation facility instead of 2.
Added: 1 Land Based Attack Aircraft of the MIHORO Naval Air Group require repairs an aviation facility.
The sinking of a Cruiser or a Destroyer shown above was due to a misidentification by the crew. In fact, there were no Cruisers in the British Fleet and no Destroyers were sunk.
492This must be the raid made by the Hoashi's Land Based Reconnaissance Aircraft that bombed Kuantan airfield with 2 60-kilogram bombs at 1350. Since in the report it’s stipulated that 4 bombs were used I can only think that maybe another Reconnaissance Aircraft also bombed Kuantan or that the Hoashi´s replacement Reconnaissance Aircraft when turned back released it’s 2 bombs at sea before landing.
5 Operations of other units
Submarine Force (162-175)
Rear Admiral Yoshitomi received a report of an attack on the British fleet by the Submarine I- 58 around 0430. Judging from its position, the speed and course of the British fleet, it was obvious that the 19th Submarine Division would fall behind. Therefore, at 0440, the Rear Admiral ordered the 19th Submarine Division to close on the British fleet. He expected that the British fleet would reach the 18th Submarine Division's line of dispersal (4° north latitude) around 0800. However, he was unable to obtain the report of the Submarine I-58 which reported the British fleet's course of 240°. Also, at 0800, he didn’t receive the 18th Submarine Division’s report on the discovery of the British fleet or the report from Vice Admiral Kondo indicating that that the surface force had given up the chase. Therefore, Rear Admiral Yoshitomi ordered each squadron to carry out the following operational procedures:
1 The 18th Submarine Division was to continue to wait for the enemy at the present dispersal line.
2 The 19th Submarine Division proceeded to the south to search and attack the enemy.
3 The 5th Submarine Squadron to spread out and wait for enemy between the Anambas Islands and Natuna Besar Island.
The 13th Submarine Division had already been ordered by Rear Admiral Yoshitomi to return to Camranh Bay at 0650 on the same day.
As there was still no news of the enemy at 1000, Rear Admiral Yoshitomi ordered the 18th Submarine Division to also make an advance to the south at 1010. The headquarters of the Submarine Force learned of the discovery of the British fleet by the Land Based Attack Aircraft Force attack around 1330. And soon after, Rear Admiral Yoshitomi ordered 5th Submarine Squadron and the 19th Submarine Division to rush to Kuantan. At 1400, a Main British ship had been damaged by an attack by the 1st Air Force, and at 1437, Vice Admiral Ozawa ordered:
"concentrate the submarine force on the main ship damaged by the enemy".
However, on learning of the sinking of the 2 Main British ships, Rear Admiral Yoshitomi gave the following orders for the next phase of the submarine force operations at 1515:
The 4th Submarine Squadron:
The Light Cruiser KINU to sail for Camranh Bay to prepare for the 2nd Phase of the Malaya Operation. Submarine Force deploy between Kuantan and Natsuna Besar Island to support the 2nd Phase of the Malaya Operation.
The 5th Submarine Squadron
The Light Cruiser YURA to sail for Camranh Bay to prepares for North Borneo Operation. Submarine Force to deploy 1 submarine each near Natuna Besar Islands, Koch Channel, Api Channel and off Miri, to supports North Borneo Operation.493
13th Submarine Division
Return to Camranh Bay for replenishment
Surface Forces
The surface forces abandoned the pursuit of the British Fleet at 0815 and reversed northwards. Rear Admiral Ozawa sent the following message at 0900:
Each unit is ordered to act in accordance with the Malaya Seizure Force Order nº 23.
And at 1030, he ordered the commander of the 9th Base Force to:
Inform the transports that there was no problem in resuming the planned action and that the warning against the counterattack of the British Fleet was lifted. (151)
At 1300, upon learning of the discovery of the British Fleet by the Land Based Attack Aircraft Force, Vice Admiral Ozawa ordered the majority of the Malaya Seizure Force’s surface units to continued preparations for the 2nd Phase of Operations, while the 2nd Section of the 7th Cruiser Division (Heavy Cruisers MIKUMA and MOGAMI) and the Destroyers HATSUYUKI and SHIRAYUKI of the 11th Destroyer Division were ordered to prepare to engage the British fleet under the command of the Southern Force Commander. However, with the news of the sinking of the British battleships around 1500, Vice Admiral Kondo relinquished direct command of the right side of is forces494, and the entire Malaya Seizure Force shifted to full preparations for the 2nd Phase of Operations. (149-151)
During this period, as mentioned above, during a search on the night of the 9th, one of the scout seaplanes from Heavy Cruiser SUZUYA was rescued, the one of the Heavy Cruiser KUMANO’s scout went missing, and the Light Cruiser YURA’s scout crashed in a mountain on Poulo Condor Island and was badly damaged.
Vice Admiral Kondo, who had abandoned the advance and was on his way to Camranh Bay, was observing the progress of the battle by listening to the activities of the air force, learned that both Main British ships had been sunk, and after receiving a report from Rear Admiral Matsunaga, reported the following to the Commander of the Combined Fleet at 1800: (135)
On the 10th, from about 1320 to about 1340, the British Battleship HMS PRINCE OF WALES and Battlecruiser HMS REPULSE were cruising at 50 nautical miles off Kuantan the east coast of Malaya and the Malaya Seizure Force, Air Force bombed and sunk the Battlecruiser HMS REPULSE. After being bombed and torpedoed, the Battleship HMS PRINCE OF WALES gradually tilted to port and exploded in the stern, finally sinking at 1450.
1 Before the start of the operation, both ships were anchored at Singapore, before the start of the operation, and on the 9th, 1515, accompanied by some auxiliary units, they were reported by the commander of the 30th Submarine Division to be heading north, at about 165° and 25 nautical miles from Cape Cà Mau. It was decided to attack the enemy in a decisive battle with a combined attack by Air and Submarine Forces after daybreak.
2 On the night of the 9th, the Submarine Force and YURA’s seaplane were in contact with the British Force for a time, but due to a small high-speed run and a shower, contact was lost after 2000 hours.
3 At dawn on the 10th, the enemy Main Force had inverted direction and moving towards Singapore. We have received a report with a contact from the Submarine I- 58 informing of the new course. The surface units were in direct pursuit of the British forces and the Air and Submarine Forces were expected to establish contact. The Air Force catch them while manoeuvring off Kuantan and the aforementioned war results were achieved.
The majority of the crew of both ships shared the same fate.
Reference:
Later, in late January 1942, at the request of the Navy General Staff, Vice Admiral Ozawa ordered the 1st Minesweeper Division and the Escort SHIMUSHU to confirm the sinking positions of both ships. The 1st Minesweeper Division confirmed and marked the sinking position of the Battlecruiser HMS REPULSE on the 29th of January and the Escort SHIMUSHU confirmed and marked the sinking position of the Battleship HMS PRINCE OF WALES on the 2nd of February. The sinking positions of both ships were as follows:
Battleship HMS PRINCE OF WALES:
Latitude: 3°, 34.7' North; Longitude: 104°, 27.5' East (depth of about 60 meters on the chart).
Battlecruiser HMS REPULSE
Latitude: 3°, 40' North; Longitude: 104°, 11' East (depth on the chart 54 meters on the chart)
493See Illustration nº 23 for a better understanding of the position of these channels.
494The 2nd Section of the 7th Cruiser Division (Heavy Cruisers MIKUMA and MOGAMI) and the Destroyers HATSUYUKI and SHIRAYUKI of the 11th Destroyer Division.
6 Combined Fleet Headquarters
Upon receiving the news of the discovery of the British Main Force by the submarine I-65, the Combined Fleet’s Headquarters watched the struggles of the Southern Force units far to the east of the mainland. The situation was described in "Sensōroku", the diary of the Chief of Staff of the Combined Fleet, Rear Admiral Ugaki, as follows:495
Tuesday, 9th of December 1941, Partly cloudy. X+1 day.
At the report of our submarine I-65, at 1515, that he sighted two enemy capital ships at 196°, 25' N off Poulo Condor Island on the Malay Peninsula (author's note: incorrect), on a course of 340° and speed of 14 knots, and our operations room suddenly become excited and strained. All sort of orders were issued at once: “The Submarine was ordered to keep contact with these enemy ships”; “The KF (author's note: the Southern Fleet496) to assemble its forces, the 2F (2nd Fleet497) to hurry southward”; Can the planes fight? Is there time enough before nightfall? Will the submarine be the sole figure on the scene? or whether they will be able to combine with the destroyer divisions and cruisers to fight at night? What interesting subjects these should be! After the report from the plain that had been keeping in touch with the ships was cut off, it was reported that another submarine once and the 7th Heavy Cruiser Division once sighted these enemy ships, but nothing happened except these reports. The opportunity was not ripe to attack them yet.
The process was as follows: At the 1st report that enemy ships were taking a course 20°, our surface ships joined so as to meet them in due time. But soon after this, they turned and we missed a long awaited opportunity. We missed a happy chance for and ideal night battle with the cooperation of plane, submarine and surface ships. What a pity! What were we doing to lose such a chance!
What can be the purpose of the northward movement of the British ships? Is it to interrupt our landing at Kota Bharu? Do they intend to find some nice game in attempting guerrilla warfare? Or are they going to adhere to their old principle of fighting the enemy wherever they sight him, and then display their valour after controlling the enemy? From our point of view, it is too headstrong, but their conduct of outrageous audacity is praiseworthy. I don’t know if they know or not that submarines, mines, several heavy cruisers, 2 hight speed battleships and considerably predominant fighter planes are in the southern part of Indochina. To think of such defence!
At first it was reported that the battleship was estimated as Repulse but later as the King George type. According to the reconnaissance report of the morning of the 8th over Singapore, the following were sighted there: Prince of Wales and another battleship, 4 cruisers, and several destroyers. Then are the ships that our submarine sighted another outfit?
Be as it may, it is a great regret that we could not send them to the bottom of the Pacific. I will put down roughly my intuitive estimate of the causes of our miss:
1There was a 2 hour gap between the time of discovery and the time of reporting it. This gap delayed everything that should have been done thereafter. But we must not overlook the merit of I-65 who sighted them.
2At that time, submarines were deployed so that they were ordered to keep in touch with each other, but in vain. Was it partly because of their low speed (13 knots) and partly that the distance between subs was too big, or the location of the enemy ships was not exact enough, I wonder?
3Was the weather not favourable to us or did a shower prevent sight?
4Air contact could not be kept continuously. It seems that efforts on the part of the surface ships to keep contact weren’t sufficient. By the way, one of the most import conditions is that the location of enemy ships should be made as clear as possible.
5 It was too late to have our attack planes at the battle scene, being already late at night, and the situation was such that to distinguish friends from enemy was difficult.
6The 1st plan of the Commander of the Southern Expeditionary Force was good. But in his plan the Commander of the 2nd Fleet overestimated the distance. Thought in effect the later was senior to the former from the standpoint of control and command, yet I wonder if the later rather overawed the former Southern Expeditionary Force. That is, The Southern Expeditionary Force should have made contact with the enemy; I cannot agree with the idea that the Southern Expeditionary Force and the 2nd Fleet should join in attacking the enemy by surface ships, turning the attack tonight over to the submarine squadron and air forces. In a word, they tried to be too adroit and instead were outmanoeuvred.498,499
7At the time of the enemy turn at 20°, our forces tried to concentrate all our forces at the enemy’s head; this caused us to lose a chance of nabbing the enemy when he reversed his course. So much for the British Ships, for we have tomorrow. We can’t remain without any retaliation after being made such fools of. “
Wednesday, 10th of December 1941. Rainy. X+2 day.
What has become of last night prey? The enemy began to turn southward, our submarine chased them and fired torpedoes, but in vain. Also, mines didn’t touch them. The last resort was to use planes for an attack. The 2nd Fleet and the Southern Expeditionary Force have also given up pursuit and have begun to steer northward. A telegram was received saying that planes left for battle at 1100. Everyone was beaming with smiles at the report “Enemy Sighted”. Judging from a wireless sent between the planes that participated in the fight – “Where is the other Battleship?” – I am sure one was sunk, but the details are unknown. Another bomber reported 2 hits on the target, which sank instantly, with a destroyer rescuing some of her crew.
According to later information, torpedo bombers (51 planes) scored many hits on 2 ships. Repulse sank at 1420 and King George also sunk at 1450 as she fled east with her body listing to port. Our damage: 3 planes shot down, and a few planes were forced down in French Indochina owing to moderate damage. No greater victory than this will be won!
What name shall I give to this naval engagement? In this case again the credit has to be attributed to aircraft, so my idea – “Kamo500 Point Sea Battle” – will not be appropriate. Afterwards it was revealed that the ship we had estimated to be King George was Prince of Wales. The ship had been sent here in a hurry as flagship of the commander in chief of England’s Far Eastern Asiatic Fleet. But her headlong movement caused a sad end, her dead carcass sinking deep in the ocean. (The part where the ship sank is not deeper than 50 meters; it won’t be too difficult to refloat her. I think that in the near future the ships will join the Japanese nationality of ships. O hope they won’t turn into seaweed too soon.) I cannot but recognize the remarkable power of airplanes, seeing the results from last night. These battleships that had participated in the sinking of Bismarck proved to be poorly equipped for a defensive battle, though they were the newest and most powerful ones. In the long run, this is a long way around method of taking revenge.[Edo no kataki o Nagasaki de utsu. Tokyo (Edo) is a long way from Nagasaki, but vengeance may be exacted far from the scene of the original offense. Ugaki meant that Bismarck had been avenged a long distance from the scene of her destruction.]
As a result of this action, the opinion that battleships are nothing and airplanes are everything will become active. The war results of these days, gained on both eastern and western part of the Pacific, will be worthy of great praise.
495This translation is based on the “The Diary of Admiral Matome Ugaki, 1941-1945: Fading Victory”, translated by Masataka Chihaya, Naval Institute Press (1991), with a few additions that are not in “Fading Victory” but are on the Original.
496Southern Fleet is a short name for Southern Expeditionary Fleet and during the Malaya Campaign is the Vice
Admiral Ozawa’s Malaya Seizure Force.
497The 2nd Fleet is the Main Force of the Vice Admiral Kondo’s Southern Force.
498It seems that the Rear Admiral Ugaki, contrary to Vice Admirals Kondo and Ozawa, was not aware of the existence of radar on the Battleship HMS Prince of Wales and thought that a surprise attack could have been possible.
499In the original, apparently, the author didn’t want to express the ideas of the Ugaki and only says that the
plan of the Commander of the Malaya Seizure Force was good.
500Cape Cà Mau.
In the “Memoir of Admiral Yamamoto” (written in 1943), by Captain Yoshiyuki Miwa501, Staff Officer of the Combined Fleet, the following is a summary of the operations of the 10th of December:
Upon receiving information that British battleships had appeared in the Singapore area, there were opinions within the Navy General Staff and the Combined Fleet that the battleships should be reinforced in the Southern Sector, but Admiral Yamamoto believed that 27 Land Based Attack Aircraft, well trained in torpedo attack could sink the enemy battleships and transferred them from the Philippine to the Malaya Sector. However, this was the world's first battle between aircraft and battleships at sea, and everyone was nervous. If this battle failed and the landing operation at Malaya was aborted, there was no way to stop it. On the morning of the 10th, a Squadron of planes was launched, but there were still 3 hours to go before the battle. In the operations room of the flagship502, the chief of staff was at the centre of a group of staff officers, who were making their own predictions about the outcome of the battle. Suddenly the Admiral said to me, "How about sinking both ships, I can do it with the Repulse, but I think the King George V will be badly damaged. I said, "I can do both. Then the Admiral said, "All right, let's have a bet", to which I agreed. If I won, we agreed on 10 dozen beers, and if he won, a dozen. Yamamoto often used the opposite approach to test the confidence of his opponents by giving them a gift.
The battle began and I knew that the Repulse had sunk, but I was impatient because I did not know who was more important, King George or the other. More than an hour after the start of the battle, a tremendous shout came from the telegraph office: "Another battleship sunk. We've won, we've won, we've won it all. The aircraft had beaten the battleship. All the years of hard work of the air force’s men had been rewarded. There was an unexpected cheer in the operations room. The Admiral was smiling, his cheeks flushed. I had never seen such a smile on a face that was always so expressionless. I said to him, "I'll take a dozen", and he said, "I'll give you ten or fifty dozen", and his face looked very happy.
50148th Class
502At this time the Flagship of the Combined Fleet was the Battleship Nagato.
This gives a good idea of the tensions within the Combined Fleet Headquarters. The air force had single-handedly sunk 2 British Capital Ships, including the Battleship HMS PRINCE OF WALES, the world's newest and most powerful ship. We can imagine the joy of Admiral Yamamoto, who had always believed in the Air Force and had worked hard to train it.
The Commander-in-Chief of the Combined Fleet, Admiral Yamamoto, gave the following commendation to the Malay Seizure Force Air Force:
Air units participating in the Battle of Malaya
On the 10th of December 1941, you intercepted the Main Force of the enemy's British Eastern Fleet off the coast of Malaya and attacked with valour and skill, destroying it in one stroke, which contributed greatly to our subsequent operations.
Therefore, a certificate of commendation is hereby conferred upon you. 15th of April of 1942
Commander of the Combined Fleet, Admiral Isoroku Yamamoto
7 Announcement of the Imperial Japanese Navy General Staff
On the 10th, 1605, the Imperial Japanese Navy announced the following regarding the naval battle:
At the outbreak of the war, the Imperial Navy has kept a watchful eye on the movements of the British Eastern Fleet, especially the 2 Capital Ships of that fleet. At
2.29 pm, the REPULSE instantly roared to a halt, and at the same time, the most advanced battleship PRINCE OF WALES, which was turning to the left was intercepted, torpedoed, was soon followed by a huge explosion ( )503 and finally sank. On the 3rd
day of the war, the main forces of the British Eastern Fleet were promptly annihilated.
The following day, the Navy General Staff made the following additional announcements:
1 On the 10th, in the Battle of Malaya (in which the Prince Of Wales and Repulse were sunk), we lost 3 aircraft.
2 In the Philippine landings, we lost a Subchaser.
8 Operations of the British Eastern Fleet
At the end of November 1941, Admiral Phillips, Commander of the British Eastern Fleet, who had advanced to Singapore by air ahead of the Fleet, had a meeting there with Air Marshal Popham, Commander of the British Far Eastern Command, and others, and was also in Manila on the 5th of December for an operational agreement with the US Far Eastern Command. On the 6th, Admiral Phillips received news that British patrol aircraft had spotted a large Japanese fleet off Cape Cà Mau, and he returned to Singapore on the night of the 7th. He also recalled the Battlecruiser HMS REPULSE and other ships that had departed Singapore on the 5th for Port Darwin, which entered Singapore on the 7th.
Air Marshal Popham decided to keep a close watch on the Japanese fleet until its destination became clear, by maintaining strict air patrols, as it was possible that the fleet had gathered on the south-west coast of French Indochina and was trying to provoke a British attack. However, due to poor weather conditions on the 7th, the Japanese fleet could not be detected.
On the morning of the 8th of December, the information Admiral Phillips received about the advance of the Japanese forces was inconclusive. Therefore, the Admiral, accompanied by his Chief of Staff, Rear Admiral Palliser, visited the Far Eastern Command to confirm the information and to exchange views with Air Marshal Popham on the sortie of the fleet. Admiral Phillips requested the following regarding Air Force co-operation and support for the fleet in the event of its sortie:
1 The Air Force will search 100 nautical miles in front of the Fleet from dawn on the 9th, and the Fleet will sail northwards along the Malay Peninsula.
2 The Air Force will make a good search from Kota Bharu to Singora in the early morning of the 10th, and the fleet will attack the Japanese fleet.
3 The Air Force will provide direct air cover over the fleet on the 10th.
However, no decision was taken by the Far Eastern Command to provide fleet with air support. Admiral Phillips returned to his flagship the Battleship HMS PRINCE OF WALES, gathered the captains and staff, and held an operational meeting at 1400. At the time, Fleet Headquarters had determined that the surface forces of the Japanese fleet were based on 1 Battleship, 7 Cruisers and 20 destroyers, and that fully loaded vessels504 were deployed east of Malaya, but little was known about the air force. The Eastern Fleet was superior in battleships but had only four older destroyers and it was unclear whether air support could be expected. Admiral Phillips asked the Captains and staff for their opinions on the fleet's operations. In response, Captain Tennant, the commander of the Battlecruiser HMS REPULSE, first insisted that the fleet should sail out and attack the Japanese fleet, and all agreed. Rear Admiral Phillips decided to attack the Japanese fleet and immediately ordered the fleet to stand by on engine standby and ordered, "The fleet will sail on the evening of the 8th and attack the enemy fleet at Kota Bharu and Singora on the 10th under the guidance of patrol aircraft.
Air Command was considering the Air Force's support for the fleet, as requested earlier by Admiral Phillips. The command replied that patrol aircraft could be sent out on the 9th, but that they were not confident of searching for the fleet on the 10th, and that there was little doubt about the fleet's air cover, but that they would further consider the support on the 10th and give a definite answer later. When Admiral Phillips returned, the fleet was ready to leave port. He had the Air Force Commander acknowledge and forward his request for fighter support to the Fleet in a letter, and at 1855, he sailed from Singapore with 2 Capital Ships and
4 Destroyers (HMS ELECTRA, HMS EXPRESS, HMS TENEDOS and HMAS VAMPIRE). Chief of
Staff Rear Admiral Palliser remained ashore for liaison. As the fleet passed near Changi Signal Station, Port Lo, the following signal arrived from the Air Force Commander.
No fighter escort possible while at sea.
The fleet sailed at 18 knots, reached the south-west of the Anambas Islands at 0530 on the 9th, then rounded the east of the islands and reached their north at about 0900. Earlier, at 0300, Fleet Headquarters received the following telegram from Rear Admiral Palliser:
1 Forward search for the fleet on the 9th will be carried out.
2 Reconnaissance in the direction of Kota Bharu and Singora in the early morning of the 10th is likely to be carried out.
3 It is not possible to dispatch direct fighters of the Fleet on the 10th.
4 The British airbase in Northern Malaya505 is under attack by the Japanese and is losing control of its forces.
5 The Japanese have deployed a strong bomber force to the Southern French Indochina airbases (possibly including Thailand).
503Missing in the original due to misprint, but probably what is missing is the sinking time for the Battleship HMS PRINCE OF WALES. Local Time: 1320 (01:18 pm); Tokyo Time: 1450 (02:50 pm). For the Malaya Campaign there is a 2 hour difference between local time and Tokyo Time (Tokyo +2), but in this case Tokyo Time is +1.5 hours.
504The Auxiliary Transports with the Army Advance Detachments.
505At this time the only British Air Base being attacked at this time is Kota Bharu.
Admiral Phillips decided that the only plan the fleet could adopt was based on surprise and, if the fleet was not discovered by the Japanese by the end of the 9th, he decided to attack the Japanese fleet in the early morning of the 10th and continued northwards. The fleet did not take the route along the peninsula because it was judged that the Japanese were anticipating this route for the British fleet. Admiral Phillips judged that the performance of Japanese Air Force was not much different from Italian Air Force and far inferior to German Air Force. He also acknowledged that the radius of action of Japanese Torpedo Bombers and Dive Bombers was about 200 nautical miles, which could be avoided, although Horizontal Bombers had shown a higher range of action in their history.
Fortunately, the sky was covered with low clouds and visibility was extremely poor with occasional squalls. In this weather, the fleet would not be detected by the Japanese before sunset, and it was thought that the next morning's surprise attack would succeed under cover of night and darkness. However, around 1830 the sky suddenly cleared and soon three Japanese seaplanes appeared in sight. The Japanese aircraft continued to track the fleet until night fell and visibility deteriorated. As mentioned above, the 1st report of the sighting of the enemy fleet by the Light Cruiser KINU seaplane was at 1835, the first report by the seaplane of the Heavy Cruiser SUZUYA was at 1915 and the 1st report by the Heavy Cruiser KUMANO´s seaplane was at 1950.
At 2005, Admiral Phillips ordered the Destroyer HMS TENEDOS to separate and return to Singapore, and also ordered her to transmit the fleet's expected position on the morning of the 10th at 0930. At 2025, the fleet changed course to a heading of 280° and speed to 21 knots. This course was to reach the coast of Singora at about 0715 on the 10th. The Commander reviewed the fleet's manoeuvres and eventually decided to reverse to Singapore, turning southeast at 2145 and reducing speed to 20 knots.
On the 10th of December, 0030, the Fleet received a telegram from Rear Admiral Palliser with the following summary:
1 Japanese attack has rendered the air base in Northern Malaya untenable and it has been abandoned.
2 Japanese bomber groups are deployed and standing by at Southern French Indochina Air Bases. 2 Aircraft Carriers may be off Saigon.
3 Far Eastern Command has decided to commit the full strength of the Air Force to the area for the defence of Singapore.
Around 0130, the Admiral Phillips received an urgent message from Rear Admiral Palliser: "
The enemy is reported to be landing at Kuantan".
At 0145, the fleet turned to 180°. Admiral Phillips decided to attack the Japanese fleet off Kuantan and changed the heading to 240° at 0220 and increased the speed to 25 knots at 0730. At 0930, he recognised the land shadow and approached further, but did not find any Japanese units, so she dispatched the Destroyer HMS EXPRESS to investigate. The ship returned about an hour later and reported:
'nothing unusual'.
The fleet again turned eastwards around the eastern side of the Anambas Islands to head towards Singapore. At 1130 HMS TENEDOS reported506:
"We are being bombed".
At 1140, the Battleship HMS PRINCE OF WALES spotted a Japanese aircraft. This was a seaplane.
Details of the ensuing battle have already been given. At 1403 the Battlecruiser HMS REPULSE sank, but the destroyers rescued 796 of her crew of 1,309, including Captain Tennant. The Battleship HMS PRINCE OF WALES also sank at 1450, and 1,285 of her crew of 1,612 were rescued by the destroyers. However, Admiral Phillips and Captain Leach were not among the survivors.
During this period, the flagship did not transmit any telegrams. Captain Tennant decided that the flagship's communications equipment had failed and reported to the Singapore base at 1320: 'We are under attack by enemy aircraft'. The base acknowledged the telegram 10 minutes later, and 11 Buffalo fighters of 453rd Squadron launched from Sembawang Airfield at 1355. However, when the fighter squadron arrived over the fleet at around 1445, the
Battlecruiser HMS REPULSE was already gone, and the Battleship HMS PRINCE OF WALES, leaning heavily to port and gradually sinking, was approaching its final moments.
During this action, the British Eastern Fleet did not detect a single Japanese submarine, nor did they know that they had been attacked by a submarine torpedoes.
506This is the unsuccessful attack with 2- 60Kg bombs made by the 4th Line Spotter (see Illustration nº 34), reported at 1133.
9 War lessons
Sinking of battle ready battleships by air attack
At the outbreak of the war, our carrier forces destroyed and sunk a number of US Battleships anchored in Pearl Harbour in an air attack. The targets of these attacks were anchored ships, and in addition, they were designed to exploit the enemy's vulnerabilities. For this reason, some in the Navy considered the attack to be a 'fixed target' attack. However, from the point of view of air attack techniques, it was an extremely difficult attack because of the narrow airspace and sea area, the enemy's port area, and the shallow depth of the water.
In this battle, although there was no direct fighter escort, the targets were fast Capital Ships sailing on alert, one of which was the world's newest and most advanced Battleship, the HMS PRINCE OF WALES. The 2 ships were sunk by our Land Based Attack Force in a disadvantageous situation where they were attacked one after the other. This was not a daredevil attack. The claim that "air attacks can sink battleships", which had been advocated by our aviation personnel for several years, was proven here. It is only natural that the recognition of the power of aviation within our Naval Force was further heightened by this. However, as the target in this battle lacked air defence fighters and had few warning ships, it may be premature to infer future fleet combat from this achievement, but at any rate, it had a major impact on the aspect of Naval Combat.
Characteristics of this air strike
This battle, along with the surprise attack on Hawaii conducted by carrier based forces, were the most important naval battles in the early stages of the Greater East Asia War, both of which involved the sinking of battleships by air power. The battles are thought to have had the following characteristics:
1 It was conducted immediately after the war began:
Ship attacks depend heavily on the skill and morale of the crew. For this reason, the Navy trained intensively to improve and maintain their skills. However, skill rapidly declines without continued training. This was particularly true of horizontal bombing. In addition, the Navy's ability to attack ships declined rapidly because of the lack of training and the need to conduct land attacks and other attacks that did not require precise targeting. Fortunately, this battle occurred shortly after the outbreak of the war, so it was fought before the skill of the crews was compromised.
2 The great battle of Hawaii had been reported:
No doubt, the officers of the base air force, who had trained in the same naval air discipline, were inspired by the great achievements of their carrier comrades and were eager to do the same.
3 It was a one-on-one battle between Land Based Attack Aircraft and Capital Ships: The enemy fleet had few escort ships and no overhead fighters.
4 The target was an elite fast battleship:
The HMS REPULSE was an old Battlecruiser, while the HMS PRINCE OF WALES was a state-of-the-art Fast Battleship that was considered unsinkable. Their top speeds were both in excess of 30 knots, and their anti-aircraft equipment was also extremely good. Because of this high speed, the first torpedoes to attack her had such a large angle of fire (looking over the direction of fire) that they were outside the scale of the sights used.
5 The attack was entirely sequential:
Communications from the submarines that reported the enemy fleet's southward movement were extremely poor and lacked battle effectiveness. Because of the delay in the detection of the enemy fleet by search and rescue aircraft, the attackers were anxious about fuel, and in addition, if the attack was ineffective, they were concerned about missing damaged enemy ships, so as soon as they reached the battlefield, they moved to attack individually. The attack therefore lasted about an hour and a half. This was a disadvantageous attack method, which was less effective and more damaging than a simultaneous attack by many aircraft.
6 The KANOYA Naval Air Group Detachment Squadrons adjusted torpedoes for shallow water:
As already mentioned, the KANOYA Naval Air Group Detachment Squadrons set the torpedo depth to 4 metres in preparation for the appearance of cruisers. If the depth had been set to six metres in preparation for an anti-ship attack, this attack would have been even more effective.
Air Battle Lessons learned
After the outbreak of war, the Navy mobilised all research institutions and other bodies to establish the War Lessons Learned Research Committee. Among them, the Yokosuka Air Force personnel were mainly in charge of research and study of military techniques related to aviation. Immediately after this operation, the committee members were dispatched to the Saigon area to collect data. The committee's report stated the following:
1st Part: Tactics
1 Main Forces of naval combat:
In this naval battle, 2 Capital Ships underway were sunk at the bottom of the sea within 3 hours after reconnaissance aircraft had intercepted the enemy fleet, a fact that demonstrated the great power of aircraft to attack fleets, even though they had many advantages. The fact that the Battleship HMS PRINCE OF WALES, which was built by the British based on the lessons of the previous World War and taking into account the trend of aircraft development in recent years, was sunk by an aerial attack of 25 Land Based Attack Aircraft, is not to be overlooked as a mere coincidence.
2 Operations in the early stages of the war:
In the early stages of the war, the enemy's objective was to attack our convoys, and although this was a vital operational action, the power of our aerial attacks and the combat power of our battleships were not well understood. Misjudgement of the power of our Air Force attacks and the combat power of battleships has led to this result.
3 Cooperation between air and sea forces.
4 Usage of air power:
A) In this naval battle, in view of the enemy's plans, aircraft capabilities, and bases deployed, do not delay the attack, and capture the enemy rapidly. We must strive to unify and concentrate our attack to the fullest extent possible.
B) On the afternoon of the 9th, the submarines were informed of the discovery of the enemy and attempted a night attack. Considering the level of skill of the 22nd Naval Air Flotilla and the fact that no friendly forces are in close proximity, and that the departure of the flying squadrons has been delayed and a night scouting attack has taken place, it is difficult to consider the attack would have been a success, and it was more advantageous to concentrate all our efforts on the next morning's attack.
However, in view of the fact that there is a very great risk that if the enemy is not captured and destroyed at night, it will be out of attack range the next morning, it is necessary to promote research and experimentation of various weapons for night battles as quickly as possible, and to practice more and more night attack techniques.
2nd Part: Attack:
1 Results of the attack (Omitted by the author).
2 Navigation Fleet Attack Methods:
A) Cooperation of all units:
Aerial attacks against the naval fleet, as seen in this naval battle, should be carried out by first using bombers to attack and disturb the enemy and then, immediately, follow the bombers' attacks and flood the enemy with torpedoes, so that the enemy is slaughtered at once.
B) Target selection:
In actual combat, when selecting targets with good firing positions, there is a tendency to overconcentrate on damaged ships. In our navy, in peacetime training, there was a tendency to overconcentrate on the most important ship, and it is our opinion that targets should be distributed appropriately, but in this battle, 15 aircraft attacked the most important ship, while 35 were concentrated on the second ship.
Immediately select a target that is easy to attack, and after concentrate on the damaged ships, conduct a coordinated raid with each squadron under a unified commander. Recognize that sufficient caution is required
3 Firing methods:
A) Determination of enemy speed In this battle: the enemy speed determined by each aircraft in each squadron is quite open. At present, determination of enemy speed can only be done by eye measurement, and since enemy speed is the most important factor in determining the angle of fire, more intensive training should be given in determining enemy speed. In addition, research should be encouraged on measures to determine the enemy speed mechanically.
B) Explosive smoke, water columns, etc. caused by torpedoes hitting from other aircraft should not interfere with sighting and firing.
C) Even when many water columns are observed as a result of secondary gun fire, it is difficult to concentrate the fire near the firing point, without receiving any interference.
D) When the GENZAN Naval Air Group attacked the Battlecruiser HMS REPULSE, the battlecruiser was tilted by a torpedo hit, causing the following aircraft to mistakenly believe she was turning towards the enemy.
E) The enemy speed drops considerably when torpedoes are hit.
5 Damage caused by defensive fire507:
A) In the event of a daylight assault on a navigating ship: The damage to the attacking force caused by defensive fire is not as great as shown in the current naval exercise evaluation, in view of the results of this naval battle. See Table 61.
B) Damage and launch altitude: The relationship between the damage and the torpedoes launch altitude in this naval battle was as follows. See Table 62.
The larger the launch altitude, the greater the damage, as evidenced by the fact that the anti-aircraft defence fire on our ships is difficult to direct against aircraft attacking at altitudes lower than 50 metres, so immediate improvement is required.
507Point 4 is missing in the original.
![]() |

Communications
In this operation, there were many delays and non-delivery of important submarine-related telegrams in particular. Despite this, the subsequent search for the causes and countermeasures seem to have been overshadowed by the brilliant results of the sinking of the 2 British Capital Ships , and not enough was done. However, there are not enough data on this operation from that time, and it is extremely difficult to determine the cause today, but we will examine it here with some speculation.
The radio communication of the Combined Fleet was regulated by the Naval Radio Communication Regulations, the Combined Fleet Radio Communication Regulations and the Classified Combined Fleet Order nº 1. In this area, the Light Cruiser KINU was the main submarine communications ship for the submarine commanders of the Malaya Seizure Force, Submarine Force, and the flagship Light Cruiser YURA was responsible for assisting the submarines of the 5th Submarine Squadron. In addition, the 81st Naval Communications Force in Saigon was responsible for relaying submarine communications in this area in general. This Communications Force was staffed with only 3 officers: the Commander, the Chief of Communications and a Detachment Commander, and a Detachment Commander, from whom a communication was sent out. This was because our naval communications organisation had traditionally been ship-based, with the land-based communications forces as an auxiliary organisation tasked mainly with relaying.
In addition, submarines could transmit at any time, but the time for receiving was limited. Of course, if the war situation became urgent, the submarines could also transmit in a timely manner, but they still had to retransmit the transmission at the specified transmission time. The communication was to be preceded by a broadcast, but in the case of important telegrams, an acknowledgement was sometimes required.
Although the above was stipulated, depending on the war situation and other factors, other ship's units could directly intercept submarine transmissions. Therefore, general ship units received telegrams from submarines either by relay from the Light Cruisers KINU or YURA and the 81st Naval Communications Force, or directly.
The submarines assigned to this area were all old. In addition, the number of new submarines before the outbreak of war increased rapidly and they were assigned to operations in the Hawaii area, etc. Many of the best submarine telegraphists were taken over by newer ships, and the skills of the telegraphists on submarines in this area generally declined. Other causes may also have contributed to this, but submarine communications in this area did not seem to be well conducted. For example, it was feared that the Submarine I-22 assigned to report air weather in the Singapore area was temporarily unreachable and missing. It is also a fact that on the 9th of December, 1130, Rear Admiral Yoshitomi ordered each submarine to strictly observe the day time frequency (the frequency used was changed between day time and night time).
Firstly, the 1st report of the discovery of the British fleet by the Submarine I-65 reached each part of the fleet about two hours late, which had a great impact on the operation, as already mentioned. The cause of this delayed telegram is disputed by the recollections of those involved, as follows. However, as there are no accurate records from the Light Cruisers KINU and YURA and from the 81st Naval Communications Force, etc. at the time, which are considered to be the most important in the investigation, it is not possible to clarify the cause now.
Captain Masao Teraoka, commander of the 30th Submarine Division, the only survivor among the officers aboard the Submarine I-65, recalled the following after the war:
The first electric report was transmitted by raising the shortwave mast while diving and was understood by the Light Cruiser KINU. Thereafter, the communication situation became worse due to space complications. It then surfaced and transmitted the second report. In the meantime, she inquired whether there were no errors in the 2 Main Ships (no record of the transmitting ship), to which I confidently replied: 'No errors, the 2nd REPULSE and the 1st new battleship'.
Lieutenant Commander (later Commander) Fukushima Tsutomu508, communications officer of the 4th Submarine Squadron, who was on board the Light Cruiser KINU, recalled the following after the war:
"When the discovery telegram was received, I was told that there was no error. "
When the discovery telegram was received, I was in the telegraph room and immediately checked whether the Light Cruiser YURA had relayed it, and if it had relayed to the various forces. I don't know of any telegram that said “no error on main ship”. At that time, the skills of submarine telegraphists had declined, and the short- wave mast alone was not a good way of getting the message through. I believe that the transmission from the submarine I-65 was poor.
Lieutenant Commander (later Commander) Susumu Sakai509, communications officer of the 5th Submarine Squadron on the Light Cruiser YURA, recalled the following after the war:
At the time, I did not think the communication situation with the submarines was bad. The cause of the delay may have been the Submarine I-65.
Next, a report from submarine I-58 with the re-discovery of the British Fleet on the 10th of December, 0122 seems to have been intercepted only by Light Cruiser SENDAI, the flagship of the 3rd Destroyer Squadron. As the Japanese Fleet had lost contact with the British Fleet at that time, it is assumed that the entire fleet was waiting for the submarine's report of enemy discovery, but from the movements of other units, it appears that none but the Light Cruiser SENDAI received the report.
A report sent by the Submarine I-58 at 0341, stating that the attack had failed, was immediately acknowledged by the Light Cruiser KINU, but the 22nd Naval Air Flotilla's headquarters in Saigon received it about 2 hours later. Later, an important message reporting the enemy's course of 240° was also received by the Light Cruiser SENDAI at 0530 and by the Light Cruiser JINTSU east of the Philippines at 0502, but no one else received it (judging from the difference in reception times of the 2 ships, it is certain that it was relayed by somewhere else). Furthermore, the report about the loss of the only contact with the enemy fleet reached only some of them.
The cipher used for this communications was a tactical cipher, and its creation and translation did not take long, but some of the understanding times of various parts of the existing records are quite different. The reason for this can be said to indicate that the same telegram was relayed several times. It appears that the 81st Naval Communications Force broadcast it repeatedly over a long period of time.
Submarine War Service
In addition, this operation shows what can be described as poor war service, particularly on the submarine side. The data on the Submarine I-65 is not known due to a lack of information. However, with regard to the Submarine I-58, many of the reports lacked the elements of when, where, what and how, which were considered to be the elements of a report, and although the contents of the
Submarine I-58's report from 0122 are unknown, the fact that the reports from 0425 and 0615 lacked information such as position is a major mistake in the report.
In addition, the report of the Submarine I-58 from 0341 is based on the post-war recollections of the Submarine Commander, Lieutenant Commander Kitamura, the record of "attack on enemy fleet after moonrise (moonrise 0058)" and the movement of the British fleet according to British data (change of heading from 180° to 240° at 0220), which indicates that 0341 was the time the report was sent and the attack was much earlier, and the enemy's course and speed at that time was not reported. In other words, it seems that the submarine commander forgot to include the time of attack in the text. If this is the case, it is a major operational error.
Surface Forces Operations
Our surface force in this area consisted of 2 Battleships, 5 Heavy Cruisers, 3 Light Cruisers and 14 Destroyers510. In other words, we were far superior to the British fleet in terms of auxiliary units, but we had the same number of Capital Ships. However, in terms of the combined individual power of the Capital Ships, we were outnumbered as follows in Table 63. (181)
When the news of the discovery of the British fleet came in, the Southern Force Headquarters was extremely tense, especially because of the inferior overall strength of the Japanese battleships, information that the enemy had radar, and the fact that our fleet was dispersed. Vice Admiral Kondo ordered a decisive battle for the next morning but chose the assembly point of the fleet to the south-east of Poulo Condor Island and did not take any action to approach the enemy fleet after assembling.
Reference 1:
The Chief of Staff of the 2nd Fleet511, Rear Admiral Shiraishi, recalled the tension of those days after the war as follows:
When the enemy fleet was discovered, the command centre was in a tragic state of mind from the realisation that the 2nd Fleet was about to face the British Fleet in a decisive battle. Especially because it was raining lightly at the time, our searchlights were less effective, whereas the enemy was surely equipped with radar, and there was a marked difference in the ability to see and fire. Furthermore, the enemy was fast. The air force and submarines would do some of the work, but at any rate, the Main Body of the Southern Force would play the leading role in a decisive battle with the enemy Capital Ships. HMS PRINCE OF WALES is the most advanced battleship. We didn't know what kind of power it had in reserve. Thinking about whether we would be able to fight him in a duel, I was so nervous that I felt like a warrior. I didn't think that the air force would be able to finish him off single-handedly.
When we were on our way back to Camranh Bay and received the news that the enemy fleet had been destroyed, we cheered and toasted. At the time, we honestly felt relieved that we had been relieved of the burden of the decisive battle.
Reference 2:
The above-mentioned War Lessons Study Committee report describes this operational guidance to Vice Admiral Kondo of the surface forces as a war lesson from the air side as follows:
Cooperation between Air and Surface units:
The start of victory is won when a part of the force gains a victory, and the principle of battle is that each unit should cooperate without delay and expand to lead to the final victory. Naval units generally tend to be overly cautious of entering the sphere of influence of enemy land based air power, which is strong in terms of both strength and ability, and in this naval battle, the assembly points of the surface forces, which were striving for contact with the enemy, were selected on the opposite side of the enemy, and they were not ready to advance in response to air attacks. If the air force was ineffective, it would inevitably lead to the escape of the enemy.
If the naval forces are dependent on the good fight of the air force and wait passively for the enemy to make progress, this will not only result in a serious operational disadvantage but will also require special attention from the Force Commander.
510The Surface forces the Japanese had in the area and were engaged in the pursuit of the British Fleet were actually higher: 2 Battleships, 7 Heavy Cruisers, 3 Light Cruisers and 24 Destroyers divided among the Southern Force and the Malaya Seizure Force.
511Rear Admiral Shiraishi is also the Chief of Staff of the Southern Force. In this case he his acting as the Chief of Staff of the Southern Force.
![]() |
Notes:
1The main guns of Kongo and Haruna are after refit.
2 The main guns of HMS Prince of Wales are 360 millimetres (14 inches), but its performance was announced to be superior to the 15 inches adopted by the Royal Navy so far.
3 The Kongo Class and the HMS Repulse are former Battlecruisers, so although they are fast, their defence capability is small.
4 The HMS Repulse is also thought to have undergone considerable refit and improved performance, given the age of the ship.
10 The impact of the Battle
Southern Operations
The immediate threats to our Malayan campaign were Air Power and the British Eastern Fleet. The Ma Lai Division's main objective was to destroy the British fleet. The Malayan 1st landing was successful and the success or failure of the enemy Air Force destruction in this area was still unpredictable, but it was progressing very well.
The core of the British Eastern Fleet, the Capital Ships, were then annihilated. In the future, there might still be a counterattack by small ships, but the danger of a large-scale encounter with Allied surface forces had been eliminated. The lessons of the war also made it unlikely that the British would ever again deploy battleships in this area.
It is believed that Britain, a naval power, considered its state-of-the-art Capital Ships to be the core of its Far Eastern defences and attached great importance to them. It lost this battleship in an instant, and also lost its highly promising Admiral Phillips, Commander of the British Eastern Fleet. This fact, along with the heavy losses of the US Pacific Fleet in Hawaii, undoubtedly caused a great loss of morale not only for the Royal Navy in the Far East, but also for the British people and the Allied forces outside the UK in general. On the other hand, the morale of our Admirals was greatly boosted. This made it easier for us to proceed with our subsequent Southern Operations.
Reference:
In his 'Memoirs of the Second World War' (182), the British Prime Minister Winston Churchill described the impact of the Battle on Britain as follows:
On the 10th, as I was opening my filing box, the telephone in my bunk rang. It was the Chief of the Ordnance Department. His voice was strange. At first I couldn't hear him clearly, as he seemed to be coughing or stifling a fit. 'Mr Prime Minister, I have to report that both the HMS PRINCE OF WALES and HMS REPULSE were sunk by the Japanese - by planes, I think. Tom Phillips drowned. And I put the receiver down. I was grateful that I was alone. Throughout the whole of the War, I had never suffered a more direct blow. Having read the accounts thus far, you can see how much effort, hope and planning went down with these 2 warships. The full horror of this news permeated my mind as I writhed in my bunk. Apart from the surviving ships from Pearl Harbour, which were hurrying back to California, there were no major British or American ships in the Indian or Pacific Oceans. Across this vast expanse of water, the Japanese were the strongest, and we were everywhere weak and insignificant.
In a speech in the House of Commons on the same day, Prime Minister Churchill also said:
I have some bad news which I think I should tell you as soon as possible. I have received reports from Singapore that the HMS PRINCE OF WALES and HMS REPULSE have been sunk in the course of operations against Japanese forces attacking Malaya. No details are yet available other than a Japanese statement that both ships were sunk by air attack However, the severity of the losses inflicted on the Malaya and Hawaii should not be underestimated. Nor should the new enemy forces that have come upon us, nor the length of time it will take to create, organise and build up the large forces in the Far East necessary to achieve absolute victory, be underestimated.........
The value of the Fleet, and in particular its core battleships, to the defence of the Malayan sector was highly valued in Britain, as will be discussed in Chapter VII. British Prime Minister Churchill organised the Eastern Fleet, mainly consisting of both battleships512, and dispatched it to Malaya over the opposition of the Royal Navy's top brass. However, both battleships, which had given much hope of defending against the advancing Japanese forces, were sunk by Japanese air forces on the 3rd day of the war. Although the Royal Navy still possessed a large number of battleships and aircraft carriers, these were needed for operations in Europe and could not be exposed again to the danger of attack by the Japanese air force, which proved more powerful than expected. Thus, the British Eastern Fleet, having lost both battleships, became a weak force of cruisers and below, and even if it cooperated with the US and Dutch navies, there was no possibility of preventing the advance of the powerful Japanese forces. The destruction of the main forces of the British Eastern Fleet, together with the defeat of the British Air Force, had ended any hope of the Allied Forces defending the Malayan and the Dutch East Indies unless large-scale reinforcements were sent.
Tactical philosophy of our Navy
The Navy's concept of operations against the US was based on fleet combat, with battleships at the core. The Navy tried to compensate for the inferiority of its main naval forces against the US by developing auxiliary forces and training them intensively, outside the limitations of the disarmament treaties. As a result, the development of naval aviation was remarkable, and from around 1934513, some people involved in aviation advocated the abolition of battleships and the adoption of air power, on the grounds that aircraft had the potential to sink battleships and had many advantages such as their much greater range of attack. However, the majority of the Japanese Navy remained in favour of battleships.
The development of aviation was rapid, and from around 1939, in the training of the Combined Fleet, the war potential had improved to the extent that the target battleships felt that an air attack was already impossible to stop. However, since the outbreak of the II World War, there had been no shortage of naval battles in Europe in which air power took part, but there were no examples of battles in which air power achieved decisive results. For example, in the British fleet's operations against the German battleship BISMARK, the British Battleship HMS HOOD was sunk in a gun battle between battleships, but the British Aircraft Carrier (HMS ARK ROYAL) during the attack on the BISMARK, which was left alone and unsupported, failed to destroy it and she was only sunk by the torpedoes fired from ships. Due in part to these recent war lessons, the majority of our Navy had not yet broken away from the long-held battleship-oriented philosophy.
However, the results of the surprise attack on Hawaii and the Battle of Malaya after the war began, as well as the value of air superiority demonstrated in the southern campaign, gave a general conclusion about the power of aircraft. However, despite these war lessons, there were many in the Navy, especially in the upper echelons, who were deeply aware of the power of aviation, but were still unable to break away from the battleship-oriented philosophy. However, the power of aircraft was recognised and had a significant impact on our maritime operational thinking.
Reference 1:
In his post-war book 'The Attack on Pearl Harbour' (183), Rear Admiral (later Vice Admiral) Fukudome Shigeru, Director of the 1st Department514 of the Navy General Staff, reflected on the fact that:
'The carrier task forces were active in all directions after the war began and achieved great results, but we thought that these carrier task forces were a powerful auxiliary force and the main weapon was still the battleship'.
Reference 2
Rear Admiral Ugaki, Combined Fleet Chief of Staff's Diary, "Sensōroku" Extracts515: 10 of December 1941:
The naval battle was not finally fought and once again the planes took credit for the victory.
Last night's developments have confirmed the power of aircraft.
Battleships are useless and air power is all-powerful, which should make the battle even more fierce.
1st of March 1942:
(In response to Rear Admiral Onishi's report)
While many of his views are justifiable, he claimed that the centre of armament is now in air power, and the big-ship-and-gun policy has turned into just an armament for surprise attacks. His assertion was based only upon our past operations along the island chain from the Philippines and the Dutch East Indies.
I believe this matter needs further study. The use of land based air power over a huge expanse of water is difficult. Are the Aircraft Carriers alone sufficient to advance the air force?
The Minister of the Navy, Shimada, is of the opinion that the construction of the nº 2 battleship (author's note: Musashi) should be held off, but Fukudome the Director of the Operations Bureau says that he is reluctant to do so because he feels that it is necessary to wait. The general opinion is that this. If we had a sure way to neutralize enemy battleships, there would be no need to spend billions of yen and materials to build our own.
512Just like the Japanese Battleship KONGO, HMS REPULSE was borne as a Battlecruiser and although she did receive a few armour improvements, at its core she remained a Battlecruiser. But since a Battlecruiser as the dimensions of a Capital Ship with the same type of main guns of a Battleship, sometimes it’s also called a battleship and employed as a battleship because it looks like one, a fatal error that cost many Battlecruisers.
513On the original it’s Showa 9: the 9th year of Emperor Hirohito reign.
514The 1st Department is called the Operations Bureau.
515This translation is based on the “The Diary of Admiral Matome Ugaki, 1941-1945: Fading Victory”, translated by Masataka Chihaya, Naval Institute Press (1991).
Naval Construction Programs
At the outbreak of war, the Navy was implementing the following construction programs for naval readiness:
1 Construction Plan for Improvement of Armaments of 1939 (Construction Programme ④).
Additions to the same right in 1939.
2 Additional Construction Programme for 1940:
A) 1st Additional Construction Programme.
B) 2nd Additional Construction Programme.
3 Wartime Construction Programme for 1941:
A) Main plan.
B) Additional plan.
The main component of the Construction Programme ④ called for the construction of 80 naval vessels (about 320,000 tons), including 2 YAMATO-class battleships 516 , and 75 Squadrons (34.5 operational, 40.5 reserve, for a total of 128 Squadrons with the already existing ones) in approximately 5 years from 1939 (some by the end of 1944).
In addition to Construction Programme ④, the 5th and 6th Construction Programme ( ⑤ and ⑥) were drawn up in response to the US plans for major arms expansion.
Construction Programme ⑤ had a total of 159 ships (approx. 650,000 tons), including 3 battleships and smaller ships. Also, Air force: 67 operational Squadrons (1,320 aircraft) with 93 reserve Squadrons (2,138 aircraft).
Construction Programme ⑥ had a total of 197 ships (approx. 800,000 tons), with 4 battleships or less planed. Air Force: 68 Squadrons.
Both plans ⑤and ⑥ were forwarded to the Ministry of the Navy by the General Staff as an official business agenda at the beginning of November of 1941. Part of this plan was initiated without waiting for a decision on the general plan: This was the Additional Construction Programme inserted on the Construction Programme ⑤ (3 B) 517. However, most of plan ⑤ was not decided and plan ⑥ was not studied in detail at all before the outbreak of war.
The 2 YAMATO battleships included in the Construction Programme ④ were begun in 1940, but due to the shipbuilding and repair capabilities, a directive was issued in November 1941 to stop construction.
Based on the lessons learned after the outbreak of war, the Navy reconsidered its armaments plans in 1942. In this review, the construction of battleships was suspended even for those planned Construction Programme ④518, and those planned in Construction Programme ⑤ were deleted without any problems. As for other large ships excluding aircraft carriers, construction of 6 cruisers under Construction Programme ④ and 2 cruisers under Wartime Construction Programme was to proceed. The air force was to be built almost in accordance with Construction Programme ⑤. At the time, the power of aviation was recognised, and all concerned were unanimous in their opinion that, as the most powerful auxiliary force, it needed to be increased rapidly on a priority basis and costs and materials were therefore allocated to air force development on a priority basis. However, given the aircraft production capacity and personnel training situation at the time, it was judged that there was no room for further rapid expansion. The need for smaller vessels below the cruiser level was recognised, and the plan was retained.
Therefore, it can be said that the result of the Battle had little effect on the surface of the revised armaments plan, but the idea of prioritising air power began to appear strongly in its implementation.
In the revision of the plan, a strong request was issued from the Combined Fleet to place the highest priority on the development of air forces and to further increase them on a large scale. The opinion was that the Combined Fleet should give top priority to air armaments. The Central Government opposed this, saying that there was no prospect for further increase of forces beyond this plan, in view of its production capacity and other factors. The Combined Fleet should take thorough measures such as the redistribution of industrial power and make desperate efforts to improve the air force. (29) In the end, however, it was decided to proceed as per the Main Wartime Construction Programme, which apparently left the Combined Fleet very dissatisfied.
Note:
In the Combined Fleet, Admiral Yamamoto served as Director of the Technical Bureau of the Naval Air Headquarters, Director of the Naval Air Headquarters and Vice Minister of the Navy, while Combined Fleet Staff Officer Captain Yoshitake519was in charge of naval armaments execution in the 1st Section of the Navy General Staff, Bureau of Naval Affairs until just before the outbreak of war. As a result, he had a particularly deep knowledge of Japan's productive capacity.
Reference:
As described in Chapter 3 of the Introduction, Admiral Yamamoto requested the central command to rapidly expand the Air Force. At the study meeting of the Combined Fleet at the end of April 1942, he stated in an instruction to his subordinates who were not directly involved in military equipment that it was necessary to create something that could not be defeated and stressed that it was air power.
(33) The staff officer of the Combined Fleet, Captain Kuroshima, recalled after the war that this was probably a statement made as a result of his resentment at the lack of thoroughness of the central government's measures.
516The Battleships SHINANO and Nº 111.
517With the inevitability of war, the Imperial Japanese Navy was faced with the need of more and more modern submarines. This programme initially allowed for the construction of 32 new submarines, later more ships and Squadrons are added.
518According with the SHINANO TROM at Combinedfleet.com, in November 1941, the Battleship SHINANO had already the “hull complete to nearly the Lower Deck level too advanced to simply dismantle” and it was decided that complete her hull would be faster to clear the nº6 Drydock at Yokosuka for medium carrier construction or repairs of damaged ships.
51948th Class.
1 Operational Plan
(See Appendix nº 8)
Situation after the Battle of Malaya (102-104-115-149-151-152-157)
After the Battle of Malaya, the Main Body of the Southern Force and the Main Bodies of the Malaya Seizure Force and the Escort Force arrived at Camranh Bay on the 11th. A part of the Malaya Seizure Force surface forces arrived at Poulo Condor Island. In addition, 41 Army Auxiliary Transports with the 2nd Malaya Landing Force (following the 5th Division, the Takumi and Ueno Detachments) had arrived at Camranh Bay from Taiwan, via Manchuria (start) and Shanghai by the 11th , and 5 Army Auxiliary Transports of the Kawaguchi Detachment, which was assigned to the landings on British Borneo, had already arrived at Camranh Bay on the 8th of December from Canton.
On the other hand, the units of the Malaya Seizure Force, excluding the surface units, continued to carry out their operations after the Battle of Malaya. First of all, in the Singora area, the 9th Base Force and the Seaplane Force were conducting vigilance around the port. On the 11th and 12th, SAGARA MARU’s Naval Air Group, with 4 Type Zero observation Seaplanes, conducted patrols within 100 nautical miles of Singora successfully, but no enemy contact was found.
Rear Admiral Hiraoka, Commander of the 9th Base Force, ordered the 1st Minesweeper Division (missing the Minesweepers W-1 and W-4) and the 11th Subchaser Division (missing the Subchaser CH-7) to join the escort force of the 2nd Malay landing convoy from the vicinity of Poulo Condor Island. Of this force, the Minesweeper W-2 and Subchasers CH-8 and CH-9 left Singora for Poulo Condor Island at 2000 on the 12th. The Auxiliary Seaplane Carrier SAGARA MARU (47837) also left Singora on the 12th , at 1254, to establish a seaplane base on Poulo Condor Island on the orders of Vice Admiral Ozawa. 2 Type Zero observation seaplanes and 2 Type 95 reconnaissance seaplanes from the Auxiliary Seaplane Carrier SAGARA MARU (47837), remained at Singora, while 4 observation seaplanes were moved to Poulo Condor Island on the same day.
At Singora, at 1830, 6 enemy medium bombers attacked on the 11th and 3 on the morning of the 12th , but our forces were not damaged. However, as if to fill the vacuum left by our anti- submarine forces, the enemy submarines suddenly became more active from the evening of the 12th. First, at 1615 on the same day, a naval landing craft was sunk off the coast of Tunbat outside Kota Bharu Port, and the Army Auxiliary Transport AWAJISAN MARU (882), which was stranded off Kota Bharu, was struck by a torpedo at around 2200, followed by the AWAJISAN MARU which were unloading cargo off Pattani, between 2300 and 2330 are also struck with torpedoes and were severely damaged520. However, as our anti-submarine forces were not in the vicinity of the scene at the time, we were unable to deal with the enemy’s submarines. The Commander of the Malaya Seizure Force was unaware of this fact until the next day when the liaison officer dispatched to the army reported the incident.
520According with HNLMS O-16 at dutchsubmarines.net, this attack was made by the Dutch Submarine HNLMS O-16. Because of the low depth of the harbour, the attack was made on the surface.
The 1st Air Force, which had sustained only minor damage in the Battle of Malaya, was in a position to repair and replenish its losses and continue its operations. On the 11th, a Land Based Attack Aircraft of the Air Assault Force B conducted anti-submarine patrols in the waters south of Indochina. On the 12th , 6 Land Based Attack Aircraft also from the of the Air Assault Force B flew patrols in the South China Sea, and 1 Land Based Attack Aircraft of the Air Assault Force D flew anti-submarine and anti-aircraft patrols south of Indochina, but no enemy contacts were made. In addition, 2 Land Based Attack Aircraft of the Air Assault Force D carried out reconnaissance of Kuching and Miri in North Borneo. In the Miri area, they found a group of oil tanks north of the city centre in flames and an airfield destroyed. The Kuching area could not be entered due to bad weather. 2 Land Based Reconnaissance Aircraft of the Air Assault Force C, which had set out on a separate reconnaissance mission to Singapore, were also prevented by bad weather and turned back in route.
On the 12th, Vice Admiral Kondo, Commander of the Southern Force, removed the Auxiliary Seaplane Carrier SANYO MARU (36117) from the Malaya Seizure Force and transferred her to the Philippine Seizure Force. The Auxiliary Seaplane Carrier KAMIKAWA MARU (42936) continued to be stationed at Camranh Bay and was assigned to guard the area around the Bay.
Rear Admiral Yoshitomi, Commander of the Submarine Force, led the flagship Light Cruiser KINU into Camranh Bay on the 11th , and the Light Cruiser YURA also returned to Camranh Bay on the same day. On the 10th , at 1515, the submarines, were ordered to a new deployment for the next operation and arrive at the next patrol area by 2200 on the 13th: (175)
4th Submarine Squadron:
18th Submarine Division (excluding submarine I-55):
Patrol Areas R11 and S11 (northeast of the Anambas Islands).
19th Submarine Division and Submarine I-55:
Patrol Areas R3 and U3 (northwest of the Anambas Islands).
5th Submarine Squadron
After 1500 on the 12th, Patrol areas east of 108°E
Submarines I-121 and I-122 of the 13th Submarine Division of the 6th Submarine Squadron returned to Camranh Bay on the 12th and 14th respectively. On the 15th, Vice Admiral Kondo took measures to remove the 13th Submarine Division from the Malaya Seizure Force and incorporate it into the Southern Force, Submarine Force. (162)
In late November, the 2nd Yokosuka SLNF and the 4th Naval Construction Group left Yokosuka, in 5 separate transports, and arrived at Camranh Bay on the 8th of December via Sanya, where they stood by.
Operational Plan (143-151)
The Army and Navy had already decided on the general outline of the local agreement on this operation before the outbreak of the war, and a detailed agreement between the Army and Navy was carried out at Camranh Bay on December 11 and 12. As a result, Vice Admiral Ozawa issued a slightly modified version of the previous plan, the Malaya Seizure Force Classified Order nº 11, on the 12th of December, which was followed by all units.
The main points of the operation plan were as follows: 1 Operation Policy:
A) According to the plans for the 2nd Malaya landings before the outbreak of war, they were to be carried out in 2 stages over a period of about 2 weeks due to the shortage of escort forces but taking advantage of the opportunity afforded by the destruction of the British Capital Ships, they were changed and the landing was to be carried out all at once on the 16th of December.
B) The attack on British Borneo will be carried out as planned.
C) The emphasis of the operation will be on anti-submarine operations. For this purpose:
1) The anti-submarine vessels of the 9th Base Force in the Singora area are to be moved to Poulo Condor Island, and the convoy escort from that island to Singora will be reinforced.
2) Have the Auxiliary Seaplane Carrier SAGARA MARU (47837) set up a base at Poulo Condor Island, and to carry out direct anti-submarine escort of the convoy with her seaplanes and aircraft on board each ship521.
3) A Destroyer Division dispatched from the Southern Force will be used to Conduct a forward sweep of the convoy.
D) In the aftermath of the destruction of the British Capital Ships, offensive minelaying, which was primarily aimed at preventing and destroying British surface forces from counterattacking, became less effective. For this reason, the 2nd and later laying of mines by the Minelayer Force have been cancelled and the Force is to be engaged in the defence of Camranh Bay.
2 Force Section:
Malaya Seizure Force, 2nd Phase Naval Disposition - Original: Table 64.
3 The 2nd Landing at Malaya:
A) The 1st Escort Force:
The main force of the 3rd Destroyer Squadron: Light Cruiser SENDAI, 19th Destroyer Division, 20th Destroyer Division (lacking SAGIRI).
Training Cruiser KASHII. Escort SHIMUSHU. Minesweeper W-4.
B) Fleet formation:
As shown in Table 65 and 66522.
C) Sortie and voyage:
1) The Army Auxiliary Transports CHILE MARU (472) and KINRYU MARU (666) will sail on the 12th due to their low speed and sail independently ahead to Singora.
2) The convoy sailed from Camranh Bay at 0830, on the 13th and will be directly escorted by the 1st Escort Force. 9th Base force units will join the escort in route.
3) The convoy will separate and proceed to their respective landing places on the following dates:
15th, 1045, Ueno Detachment Convoy523 16th, 0030, Takumi Detachment Convoy524
4) Date of arrival and anchorage hour: Singora, Pattani: 16th, 1900. Kota Bharu: 16th, 1200. Nakhon: 16th, 2300.
Bang Dong: 17th, 0600.
4 British Borneo Invasion Force
A) Landing Force:
Army Forces:
(Major General Kiyotake Kawaguchi, Commander of the 35th Infantry Brigade).
35th Infantry Brigade Headquarters 124th Infantry Regiment
33rd Field Anti-Aircraft Artillery Battalion
Others (Landing Crafts, Enlisted Men, Communications, Field Artillery, Field Hospital, etc.)
5 Auxiliary Transport Naval Forces:
(Commander Kiyoshi Tomonari, Commander of the 2nd Yokosuka SNLF).
2nd Yokosuka SNLF.
4th Naval Construction Group. 5 Auxiliary Transports
B) 2nd Escort Force:
12th Destroyer Division. Subchaser CH-7.
C) Departures, Anchorage and Landings:
13th December, 0800, sortie from Camranh Bay. 16th December, 0130, arrival in Miri. Landing, 0330.
Schedule for the duration of the landing at Miri: Miri, Lutong 3 days, Seria 2 days.
19th December, 1200, sortie from Miri.
20th December, 2200, arrival at Kuching. Landing, 2400.
Schedule for the duration of the landing at Kuching: 5 days.
D) Landing Procedure (See Illustrations nº 39 and nº 40)
Miri: 1 Infantry Regiment (one battalion and a half missing) The main body of troops will be landed south of Lobang, some to the north, and
occupy the oil fields on the left bank of the Miri River as soon as possible.
Lutong: The main force will land south of the Lutong River, and some will occupy the airfield and the crossing point of the Miri River. The main force of the Army's half-battalion will land north of the Lutong River to secure the oil fields.
Seria: A part of the core troops of the Army 1st Battalion will first land at Kuala Belait and then the main force will land at Seria to secure the oil field as soon as possible.
Kuching: A regiment of the Army (lacking 1 battalion) and the main force of a company of the Navy land east of Kuching by opening the channel to the Kuching River and occupy the city and the airfield.
E) Other:
Naval Base at Borneo will remain under the command of Major General Kawaguchi for land operations until the capture of Kuching.
5 Support operations
A) Surface Units:
The Main Body of the Southern Force and the Main Body of the Malaya Seizure Force will support all operations.
Main Body of the Escort Force:
The 1st Section of the 7th Cruiser Division and 2 Destroyers will support the landing at Borneo.
The 2nd Section of the 7th Cruiser Division and 1 Destroyer will support the 2nd Landings at Malaya.
B) Air Force:
1) The 1st Air Force will carry out air operations in the direction of Borneo, and some units will advance to the Kuching and Miri Air Bases as soon as possible after the capture.
2) The 2nd Air Force and the Seaplanes of the surface units of the Malaya Seizure Force will escort the convoys out of Camranh Bay and Poulo Condor Island, and the seaplanes of the Main Body of the Southern Force will assist them. When the convoy arrive at Singora, the Auxiliary Seaplane Carrier SAGARA MARU (47837) seaplanes will guard the anchorage, and the Auxiliary Seaplane Carrier KAMIKAWA MARU (42936) seaplanes will set up a seaplane base at Miri and Kuching for operations.
C) Submarine Force:
In addition to being on the alert for counterattacks by the British fleet from Singapore, they will carry out weather reconnaissance of the landing sites in the Borneo area.
521These must be the seaplanes that were also aboard the Light and Heavy Cruisers.
522Table 66 is not part of the original. Probably this Information is on Senshi Sosho 1 (Army Malaya Campaign 41-45). I got this information from tokusetsukansen.jpn.org and combinedfleet.com Army Auxiliaries TROMS.
523The last 3 Auxiliary Transports (37, 38 and 39) from the 6th Echelon (Table 66).
524The first 4 Auxiliary Transports and 1 Auxiliary Hospital Ship from the 6th Echelon (Table 66).
![]() |



Notes:
(1)See Footnote nº 538.
(2) 1st Section of the 7th Cruiser Division (Heavy Cruisers Kumano and Suzuya). 11th Destroyer Division (Destroyer Fubuki) and 20th Destroyer Division (Destroyer Sagiri).
(3)2nd Section of the 7th Cruiser Division (Heavy Cruisers MOGAMI and MIKUMA). There is a change and the 2 remaining destroyers of the 11th Destroyer Division (Destroyers HATSUYUKI and SHIRAYUKI) escort the 2 Heavy Cruisers. See footnote 538.
(4) 19th Destroyer Division (Destroyers AYANAMI, ISONAMI, SHIKINAMI and URANAMI) and 20th Destroyer Division (Destroyers AMAGIRI, YUGIRI and ASAGIRI).
2 2nd Landing at Malaya
(See Appendix nº 8)
Departure from Camranh Bay (109-115-151-157)
At 1900 on the 12th, the Army Auxiliary Transports CHILE MARU (472) and KINRYU MARU (666) sailed from Camranh Bay to Singora.
Early in the morning of the 13th, 6 reconnaissance seaplanes (3 from the Auxiliary Seaplane Carriers KAMIKAWA MARU (42936), 2 from the 4th Cruiser Division525 and 1 from the Heavy Cruiser CHOKAI) began anti-submarine sweeps within 150 nautical miles of the bay, and destroyers began anti-submarine sweeps within 20 nautical miles of the bay.
At 0815, the attack force for the British Borneo Invasion Force, the 2nd Malaya landing force, the Light Cruiser SENDAI and Training Cruiser KASHII followed. The fleet formed a warning navigation formation outside the bay. The formation consisted of a fleet of 6 Echelons of Army Auxiliary Transports, led by the Escort SHIMUSHU, destroyers and minesweepers, forming a double column, with 2 cruisers, 3 destroyers and 1 subchaser in front and behind, and the 4th Destroyer Division sweeping the front.
At 1100, the 1st Section of the 7th Cruiser Division (Heavy Cruisers KUMANO and SUZUYA) and the destroyers FUBUKI and SAGIRI, of the Main Body of the Escort Force, sailed following the Borneo Invasion Force.
At 1220, Vice Admiral Ozawa sorties with the CHOKAI526 and KINU527. On this day the weather was semi-clear, the wind, from north, was blowing about at 10 Knots, and visibility was good.
The convoy continued to march steadily under the direct escort of seaplanes of the 3rd Battleship Division528 and the 4th Cruiser Division.
6 Land Based Attack Aircraft of the Air Assault Force B searched the South China Sea from early in the morning, found and attacked a seaplane off Kuantan, but failed to shoot it down. 24 Land Based Attack Aircraft of the Air Assault Force A, which went to attack Kuantan Airfield, and 2 Land Based Reconnaissance Aircraft of the Air Assault Force C, which went to reconnoitre Singapore, had both to turn back due to bad weather.
At around 1430, the following information was received from Liaison Officer Captain Ishihara Itsu, who was dispatched to the Southern Army Headquarters:
In the vicinity of Cape Cà Mau on the 12th, at 0000, the Army Auxiliary Transport TOSAN MARU (918) was stranded after being struck by torpedoes from an enemy submarine529.
525From Main Body of the Southern Force, the 1st Section of the 4th Cruiser Division: Heavy Cruisers ATAGO and TAKAO.
526Main Body of the Malaya Seizure Force with Vice Admiral Ozawa on board.
527Flagship of the 4th Submarine Squadron, probably with Rear Admiral Yoshitomi on board.
528The Battleships KONGO and HARUNA of 2nd Section of the 3rd Battleship Division were also part of the Main Body of the Southern Force.
529HNLMS O-16.
At 1710, Vice Admiral Ozawa, ordered a strict vigilance against submarines, and Rear-Admiral Hashimoto, Commander of the 1st Escort Force, planned to make an anti-submarine sweep around Cape Cà Mau early in the morning of the 15th, with the help of reinforcements from the 9th Base Force units. In the evening the following report was received from the Captain of the Auxiliary Seaplane Carrier SAGARA MARU (47837):
On the way to the island of Poulo Condor from Singora, 13th, 1522, we saw one submarine at Point 31 and at Point 15 a destroyer was seen drifting ashore.
The sudden appearance of the destroyer left Vice Admiral Ozawa in half in disbelief, but at 1950 he ordered the 1st Air Force and the Seaplane Air Group at Singora to attack it. At around 2130, the liaison officer, Captain Taro Nagai, who had been dispatched to the Headquarters of the 25th Army, reported:
On the 13th, an enemy submarine appeared in at Pattani, and our convoy was slightly damaged, we advise the Auxiliary Seaplane Carrier SAGARA MARU (47837) reconnaissance seaplanes to investigate the situation at 0800 and to be on the lookout for enemy submarines at sea.
A report was received from Liaison Officer Captain Ishihara Itsu (151), that the Auxiliary Transport TOSAN MARU (918) was one of the damaged ships at Pattani and that the "near Cape Cà Mau" was incorrect, but since Captain Taro Nagai 's report did not include the name of the ship, the Vice Admiral Ozawa was unaware of the error in Ishihara's original report. On the 13th, the Seaplane Air Group at Singora carried out a patrol around Singora and Pattani with a total of 4 seaplanes aircraft but no enemy contact was obtained.
Earlier, at 1145 on the same day530, Vice Admiral Kondo had taken measures to transfer the 4th Destroyer Division to the Malaya Seizure Force. At 2350, Vice Admiral Ozawa give the following orders to carry out anti-submarine sweeps by anti-submarine forces including the 4th Destroyer Division:
1 The 4th Destroyer Division is to be incorporated into the 1st Escort Force.
2 The Commander of the 1st Escort Force is to sweep enemy submarines within 80 nautical miles of Singora and Kota Bharu and 80 nautical miles south of Cape Cà Mau after arrival at the landing point of the convoy.
3 The Auxiliary Seaplane Carrier SAGARA MARU (47837) (including the aircraft dispatched by the 7th Cruiser Division) is to cooperate with the submarine sweep.
Advance (102-109-115-149-151-159)
The liaison officer Commander Inoguchi Kaneo who had been dispatched to the 3rd Army Air Division Headquarters also sent information about the damage to 3 Army Auxiliary Transports in Pattani at half past midnight on the 13th. Vice Admiral Ozawa judged that the enemy submarines were gradually concentrating in the vicinity of Singora and changed the focus of his anti-submarine sweeping operations to that area. In other words, he cancelled the transfer of the 9th Base Force Units to the 1st Escort Force, which had been ordered on the 11th, and ordered the return of the transferred units to the original unit on the 14th, 0330, in order to devote the full force of the 9th Base Forces to guard the anchorage. In response, Rear Admiral Hiraoka ordered the Minesweeper W-2 and the Main Force of the 11th Subchaser Division to sweep the fleet route, shipping lanes, the Main Force of the 91st Subchaser Division531 to guard the area around Pattani, and the rest of the force to guard the area around Singora.
Rear Admiral Hashimoto, at 0800, also issued the following orders regarding the details of the anti-submarine sweep request by Malaya Seizure Force Order:
1 The 4th Destroyer Division was to sweep the forward route to the Singora anchorage and then turn around and sweep away enemy submarines within about 80 nautical miles south of Cape Cà Mau.
2 After arriving at the Army Convoy anchorages, sweep enemy submarines within approximately 80 nautical miles of Singora and Kota Bharu, according to the Commander's instructions.
A) In the direction of Kota Bharu, 210° east of Loxin Island532 (60°, 50 nautical miles from Pattani Lighthouse), the 19th Destroyer Division (Light Cruiser SENDAI will join on the 17th around 0000).
B) In the direction of Singora west of the same line, Commander of the 20th Destroyer Division533, with the Destroyers YUGIRI, ASAGIRI, AMAGIRI and the Escort SHIMUSHU (with the Light Cruiser KASHII assisting).
On this day534, 16 Land Based Attack Aircraft of the Air Assault Force A scouted the South China Sea and obtained the following results:
1315: strafes and bombs a small Norwegian oiler north of Miri.
1330: Bombed a merchant ship of unknown nationality of about 500 tons at the “Sikri Corner” (90 nautical miles north-east of Kuching)535.
1320: Detected a flying boat and two seaplane reconnaissance aircraft near the Anambas Islands.
1320: Scout aircraft were pursued by a Lockheed aircraft near Tioman Island.
27 Land Based Attack Aircraft of the Air Assault Force B went to attack Kuantan but turned back due to bad weather. (83)
The Air Assault Force C, on 6 shifts, each with 4 Zero fighters and 2 Land Based Reconnaissance Aircraft, carried out direct fleet escort from 0800 to 1915. 2 Land Based Reconnaissance Aircraft attempted to reconnoitre Singapore but were blocked by dense cloud cover and turned back in route.
After receiving the aforementioned order from Vice Admiral Ozawa, Rear admiral Matsunaga, Commander of the 1st Air Force, ordered an attack on destroyers and submarines in the Gulf of Thailand with 6 Land Based Attack Aircraft of the Air Assault Force D at 0900. The 6 Land Based Attack Aircraft departed at 1030 and searched the Gulf of Thailand. However, they did not find any destroyers and reported the discovery of the following:
At 1210, a submarine was found and bombed at 297°, 165 nautical miles off Cape Cà Mau, but was not hit.
At 1325, sighted 6 submarines at 90°, 45 nautical miles from Koh Samui (45 nautical miles north-northeast of Ban Dong).
530Still the 13th of December.
531The 91st Subchaser Division was composed by the Auxiliary Subchasers SHONAN MARU Nº 12 (46257), SHONAN MARU Nº 7 (45143), Auxiliary Netlayer / Subchaser CHOKO MARU (46915).
532In the original it’s written in English “Loxin”, but there is no “Loxin” island 50 nautical miles from Pattani Lighthouse (that I could find). But there is a Losin Island that is at 53 nautical miles from Pattani Lighthouse. It’s a submerged island with just a small rock above water level.
533The Commander of the 20th Destroyer Division was Captain Yamada Yuji (46th Class), and he was in the Destroyer YUGIRI.
534Although the text it’s not clear, but I’m assuming this is already the 14th.
535I could not find any location with this name, but at around 90 miles north East from Kuching lies the Bruit Island (Pulau Bruit), one of the island formed by the delta of the Muara Lassa and Batang Paloh Rivers. Bruit Island lies along the coastline and its northern part mark a corner is the coastline.
At 1500, Vice Admiral Kondo ordered the 1st Air Force to attack these submarines. Rear Admiral Matsunaga further ordered the Air Assault Force D to do the same, but it was too late in the day to attack.
Meanwhile, Vice Admiral Kondo led the 1st Section of the 4th Cruiser Division, the 1st Section of the 6th Destroyer Division536 and the 8th Destroyer Division537 out of Camranh Bay at 0900 on the 14th. In addition, the 2nd Section of the 7th Cruiser Division (Heavy Cruisers MIKUMA and MOGAMI) and the 1st Section of the 11th Destroyer Division (Destroyers HATSUYUKI and SHIRAYUKI) also sailed from Poulo Condor Island at the same time and, at 1200, joined the Main Body of the Malaya Seizure Force. Destroyer SHIRAYUKI was ordered to lead the Main Body538. At this time the convoy reached the northwest of Poulo Condor Island. At around 1530, a flying boat appeared in the distance from the fleet, and 2 Zero fighters pursued, but were unable to catch it.
The Auxiliary Seaplane Carrier SAGARA MARU (47837) arrived at Poulo Condor Island on the 13th, and with 4 observation seaplanes and 4 reconnaissance seaplanes of the 7th Cruiser Division carried out direct anti-submarine direct escort of the convoy on the 14th.(157)
Off Kota Bharu, another small transport was sunk at 1630 on the 13th. On the 14th, 6 seaplanes from the Singora Seaplane Base scouted but failed to find any enemy submarines.
During the night, the Commander of the Malaya Seizure Force received the following information from the liaison officer Commander Inoguchi Kaneo:
1 Most of the British aircraft appear to have retreated towards Singapore and some appear to be deployed towards Kuantan. No British aircraft are recognised on the airfields in central and northern Malaya.
2 Almost all of the Army's Fighters Aircraft had completed their advance towards Singora by the 13th.
3 The Army Advance Detachments, moving south from Singora, occupied Sungei Pattani (about 100 kilometres south of the border) in the evening of the 13th.
536Destroyers HIBIKI and AKATSUKI.
537Destroyers ASASHIO, OSHIO, MICHISHIO and ARASHIO.
538In Table 64, the Main Body of the Malaya Seizure Force was supposed to have a destroyer escorting the Heavy Cruiser CHOKAI, but on the 13th, the Heavy Cruiser CHOKAI departs Camranh Bay with the Light Cruiser KINU and not a destroyer. However, the 2nd Section of the 7th Cruiser Division was supposed to only have 1 destroyer but departed Poulo Condor Island with 2. Probably the Destroyer SHIRAYUKI is the one attached to the Main Body of the Malaya Seizure Force and the Destroyer HATSUYUKI is the one attached to the Main Body of the Escort Force (2nd Section of the 7th Cruiser Division). The reason for the Destroyer SHIRAYUKI not to be at departing from Camranh Bay might be related with the fact that with Destroyer Hatsuyuki and the Heavy Cruisers MOGAMI and MIKUMA were the last units of the Malaya Seizure Force to be released from the direct of Vice Admiral Kondo, during the pursuit of the British Fleet.
On the 15th, the convoy reached 170°, 43 nautical miles from Cape Cà Mau and the 3 ships of the Ueno Detachment separated. This was 8 hours ahead of schedule. In view of the submarine reports of the previous day, Vice Admiral Ozawa decided to abandon the anti- submarine sweep around Cape Cà Mau and to make every effort to sweep the area around the anchorage. For this reason, he ordered Rear Admiral Hashimoto to take command of the 9th Base Force units and carry out the sweeping operation around the anchorage. Rear Admiral Hashimoto divided the operational area sea north of the 50th parallel of Redang Island and within 60 nautical miles of the shore into 3 sections by the 50th parallel of Ko Kham and Narathiwat lighthouses, and assigned the 4th Destroyer Division, 20th Destroyer Division, Escort SHIMUSHU and 19th Destroyer Division from the north to carry out the sweeping operations. (See Illustration nº 39.) Rear Admiral Hiraoka also assigned the 1st Minesweeper Division and the Minelayer / Netlayer HATSUTAKA to the Singora area, the 91st Subchaser Division to the Pattani area, and the 11th Subchaser Division to the Kota Bharu area.
26 Land Based Attack Aircraft of the Air Assault Force A launched an attack on Kuantan but were unable to enter the area due to squalls, and 25 aircraft, except for 1 that was damaged, bombed the city of Terengganu. The 30 Land Based Attack Aircraft of the Air Assault Force B carried out extensive searches of the operational area with a 2 stage search but found nothing unusual. From 0800 to 1500, the Air Assault Force C conducted direct air patrols over the convoys with 4 Zero fighters and 1 Land Based Reconnaissance Aircraft each, and 1 other Land Based Reconnaissance Aircraft succeeded in reconnoitring Singapore for the first time since the 9th. At 1200, Rear Admiral Matsunaga reported the results of the reconnaissance by the Land Based Reconnaissance Aircraft:
At the Singapore Naval Harbour: 2 cruisers, 1 destroyer, 4 merchant ships and 4 submarines. At the Commercial Harbour: 48 merchant ships.
4 Observation Seaplanes of the Auxiliary Seaplane Carrier SAGARA MARU (47837) escorted the convoy in the morning and then moved to Singora. 4 Reconnaissance Seaplanes of the 7th Cruiser Division were also engaged in direct escort of the convoy. 3 Observation Seaplanes from the Auxiliary Seaplane Carrier SAGARA MARU (47837) operating from Singora patrolled within 100 nautical miles of Singora and Kota Bharu in the morning but failed to pick up any enemy activity. In the afternoon, due to rain, were only able to patrol within 30 nautical miles of the anchorage. (157)

At 1420, the convoy reached the position of 50°, 95 nautical miles from Kota Bharu and split into the following units.:
Singora and Pattani Anchorages:
Patrol Vessels: Light Cruiser SENDAI, Training Cruiser KASHII and Destroyer URANAMI.
Close escort Ships: Escort SHIMUSHU, Minesweeper W-4, Destroyers YUGIRI, ASAGIRI and YUGIRI.
Transports: Echelons 1 to 5 (31 vessels).
Kota Bharu Anchorage:
Patrol Vessel: Destroyers AYANAMI, SHIKINAMI and Subchaser CH-8.
Close escort Ship: Destroyer ISONAMI.
Transports: 6th Echelon (5 vessels).
By order of Rear Admiral Hiraoka, Subchaser CH-9 which had been sent and already had begun a patrol at Kota Bharu sent following reports at 1730:
1 No enemy submarines sighted off Kota Bharu.
2 No sign of the Auxiliary Transport AWAJISAN MARU (882), approximate position of wreck at 70.5°, 17,300 meters from the lighthouse at Tumpat, heavy oil spills all around the area.
Landings (107-115-149-151-160)
The separated convoys were not attacked by the enemy on the way and each entered their respective anchorages on the following dates and hours to begin unloading:
Kota Bharu: Takumi Detachment, 5 transports, 16th, 0445.
Singora: 5th Division, 23 transports, 16th, 1000.
Pattani: Ando Detachment, 8 transports, 16th, 1100.
Nakhon: Ueno Detachment, 2 transports, 16th,2300.
Ban dong: Ueno Detachment, 1 transport, 17th, 0600.
The arrival time at Kota Bharu, Singora and Pattani was between 7 to 9 hours earlier than planned. This was due to the fact that the ships had been given plenty of time to plan their voyage, and the appearance of enemy submarines caused them to rush into the anchorages regardless of their plans.
At the same time as the fleet anchored, the 1st Escort Force and the Anti-Submarine Force of the 9th Base Force began patrolling the area around the anchorage. Rear Admiral Hashimoto led the Light Cruiser SENDAI on a patrol of the Takumi Detachment Auxiliary Transports and reported on the situation in the direction of Kota Bharu as follows:
At Kota Baharu, the wind speed is 5 knots and the landing work is expected to be completed by the end of the 19th:
1 Auxiliary Transport AWAJISAN MARU (882) was sunk by enemy submarine at around 2200 on the 12th.
2 At about 1615 on the 13th, shortly after anchoring off Tumpat the Auxiliary Transport TORO MARU (713) was sunk by enemy submarine torpedoes.
6 seaplanes the Auxiliary Seaplane Carrier SAGARA MARU (47837) and 1, each from the Light Cruiser SENDAI and Training Cruiser KASHII, flew convoy escorts and patrols around the anchorage, but did not detect any enemy submarines.
6 Land Based Attack Aircraft of the Air Assault Force A conducted a patrol in the South China Sea and discovered a submerged submarine at 134°, 56 nautical miles off Cape Saint-Jacques (mouth of the Mekong River) at 1010. 16 Land Attack Aircraft of Air Assault Force B also searched the South China Sea and bombed a 3000-ton merchant ship at the estuary of the Kuching River and military installations in the Anambas Islands.
The commander of the Saigon Base Force also reported that:
1 enemy submarine was sighted of Saint-Jacque’s lighthouse, 134°, 5’ (3rd Watch Station report).
If the above discovery was confirmed, it would mean that 2 new submarines had appeared in the Southern French Indochina. On the other hand, at 1230, the Training Cruiser KASHII also spotted what appeared to be a submarine at 25°, 54 nautical miles from Singora but was unable to confirm it. Rear Admiral Hashimoto ordered the destroyers and the SHIMUSHU to keep a night patrol of 15 nautical miles around the anchorage, and the Training Cruiser KASHII, that was due to sail to Camranh Bay on the same day, to continue to patrol the area.
On the 17th, at sunrise, the ships and aircraft began anti-submarine sweeping. In the evening of the same day, the 4th Destroyer Division left the area for Camranh Bay by order of Vice Admiral Kondo. At 2100, Vice Admiral Ozawa also transferred the 1st Section of the 1st Minesweeper Division (Minesweepers W-3 and W-6) and the Auxiliary Transport NOJIMA MARU (40112), which were operating in Singora, to the 2nd Escort Force and ordered the Light Cruiser KINU to support the Borneo operation under the orders of Rear Admiral Kurita, commander of the Main Body of the Escort Group. Vice Admiral Ozawa dispatched the minesweepers to Miri because the Destroyer SHINONOME sank off Miri on the same day and it was reported that the sinking was caused by a controlled mine. The dispatch of the Light Cruiser KINU and the Auxiliary Transport NOJIMA MARU (40112) was intended to improve support and supply capabilities in the same area.
At 2215, the Auxiliary Net Layer / Subchaser CHOKO MARU (46915) of the 91st Subchaser Division sighted 3 surfaced submarines at 15°, 7 nautical miles from the Pattani Lighthouse and opened fire on them. The submarines fired back and then dived rapidly. Destroyer ASAGIRI, which was on patrol in the vicinity, recognized the flashes of gunfire and rushed to the scene, but there were no submarines in sight and she was unable to confirm the situation.
The Main Body of the Southern Force enters at Camranh Bay at 1420 on the 17th.
Without the 4th Destroyer Division and 2 minesweepers, the Anti-Submarine force in the Singora area consisted only of the Training Cruiser KASHII and the Escort SHIMUSHU and 3 minesweepers. Rear Admiral Hashimoto moved the Destroyer SHIKINAMI of the 19th Destroyer Division from Kota Bharu to Singora, and also led the Light Cruiser SENDAI from Kota Bharu for Singora at 2300. However, it was judged that this increase in strength would not be sufficient to deal with the 3 submarines discovered on the night of the 17th, and that the danger of attack by enemy submarines in the area was increasing. For this reason, when the Light Cruiser SENDAI arrived at Singora on the 18th, Rear Admiral Hashimoto suspended the landing at Pattani and move the convoys there to Singora and Kota Bharu, so that the convoys could be secured by a concentrated escort force. 4 of Pattani's Auxiliary Transports were escorted by the 20th Destroyer Division (missing the Destroyer SAGIRI), left the area at 0230 on the 19th and arrived at Kota Bharu at 1030. The remaining 4 Auxiliary Transports, escorted by the main force of the 91st Subchaser Division, left Pattani at 1030 on the 19th and arrived at Singora at 1530. The Light Cruiser SENDAI also left Singora for Kota Bharu on the night of the 18th. The deployment of the anti-submarine ships was therefore as follows:
Singora: Training Cruiser KASHI, Escort SHIMUSHU, Destroyer SHIKINAMI, 3 Auxiliary Subchasers of the 91st Subchaser Division (without the Auxiliary Subchaser SHONAN MARU Nº 12 (46257)539).
Kota Bharu: Light Cruiser SENDAI, 19th Destroyer Division (missing Destroyer SHIKINAMI), 20th Destroyer Division (missing Destroyer SAGIRI), 11th Subchaser Division (missing Subchaser CH-7).
Sinking of a Dutch Submarine (102-151-157)
The Light Cruiser SENDAI arrived off Kota Bharu at 0800 on the 19th. While on an anchorage patrol, at 1205, her Type 94 Reconnaissance Seaplane spotted a submarine diving at a shallow depth of 30°, 10 nautical miles from Kota Bharu. The aircraft bombed the submarine with 2 60-kilogram bombs from an altitude of 2000 meters and continued to monitor it, sending the following report:
1230, First Bomb Landing at the Tower540.
1240, Enemy is unable to navigate, air is emitted.
The Destroyers AMAGIRI and AYANAMI, Subchaser CH-8 and the Destroyer YUGIRI, guided by reconnaissance, attacked with a total of 18 depth charges from 1306 to 1636. However, there was no sign of success in the attack541, and the movements of the submarines were unknown.
Earlier at 1300 on the 17th, Vice Admiral Ozawa had issued an order that the Main Body of the Malaya Seizure Force and the Main Body of the Escort Force would be withdrawn from the operational area on the 21st, the Light Cruiser SENDAI, Training Cruiser KASHII and 4 destroyers on the 19th, and the Escort SHIMUSHU and 3 destroyers on the 21st. However, after confirming the smooth progress of the operation, Vice Admiral Ozawa moved up the schedule by two days to 1700 on the 19th, Main Body of the Malaya Seizure Force and the Main Body of the Escort Force to leave the area.
Rear Admiral Hashimoto judged that the submarine, which was considered to be damaged, would surface in the vicinity that night, and ordered the commander of the 19th Destroyer Division to deploy a destroyer against it. The commander of the 19th Destroyer Division ordered the URANAMI to do so.542
In accordance with the plan, the Light Cruiser SENDAI and the Destroyer ASAGIRI left Kota Bharu at 1930, The Destroyer YUGIRI and AMAGIRI at 2000, and Training Cruiser KASHII and the Destroyer SHIKINAMI left Singora at 2000. The Escort SHIMUSHU, which was to withdraw on the 21st, was also ordered to sail to Camranh Bay on the same night. Thus, the number of anchorage patrol was reduced to 3 minesweepers543 at Singora and 3 destroyers of the 19th Destroyer Division544 and 2 Subchasers of the 11th Subchaser Division545 at Kota Bharu.
The Destroyer URANAMI continued her patrol off Kota Bharu in preparation for the surfacing of a damaged submarine. The moon set at 2002 and it was a dark night but a clear sky with few clouds. In section 12, the Destroyer URANAMI was on patrol when she spotted a shadow at 2227, heading 176°, about 7 kilometres away. At 2236, the Destroyer URANAMI increased its speed to 26 knots and began firing star shells at a distance of about 4 kilometres. In response to this, the opponent also responded and a flash of fire was seen with shells landing, and a water column rose from the stern of the Destroyer URANAMI. However, at 2246, the Destroyer URANAMI lost sight of the shadow. So far, the destroyer had fired 34 rounds546. The destroyer attacked with 2 more depth charges and continued to search the area. At 2307 a group of voices could be heard shouting from the dark sea and the smell of fuel oil was in the air, so the area was searched but nothing was found. Around 2325, the destroyer AYANAMI came to the scene to investigate the situation but also found nothing and returned to the anchorage. The Destroyer URANAMI continued to search the area around the Kota Bharu lighthouse at 6°26'NNE, where she had lost sight of the submarine, but found no trace of it. However, at 0815, just after sunrise the next morning, she found a number of submarine crew swimming, all of whom were rescued and taken prisoner. These were the senior officer (lieutenant) of the Dutch Submarine O-20, 5 officers, 6 adjutants and 21 enlisted men. (183) As a result of questioning the prisoners of war, the following was found out:
1 The O-20 left Surabaya on the 2nd of December and arrived off Kota Bharu on the 17th of December via the west of the Anambas Islands. Her mission was to break up maritime traffic.
2 The ship laid 40 mines in the northern part of the Tambelan Islands (between Borneo and Singapore). However, the exact location of the mines is not given.
3 There are 15 submarines (including two mine submarines) in Surabaya.
4 On the 19th, the submarine was disabled by a depth charge attack, and fired 2 torpedoes at the Destroyer URANAMI and sank after firing these shots. The crew numbered 40, but the captain and several others were thought to have been killed in action.
Since the outbreak of the war, there have been many reports of submarines being sunk. However, this attack by the Destroyer URANAMI (Commander Lieutenant Commander Hagio Tsutomu (52nd Class)) was the first time that a submarine was definitely confirmed to have been sunk.
539Without the Auxiliary Subchaser SHONAN MARU Nº 12 (46257), the 91st Subchaser Division would be with only 2 units and not 3: Auxiliary Subchaser SHONAN MARU Nº 7 (45143) and Auxiliary Net Layer / Subchaser CHOKO MARU (46915). According with Auxiliary Subchaser SHONAN MARU Nº 12 (46257) TROM at tokusetsukansen.jpn.org, she is at Camranh Bay for the entire month of December.
540According with O-20 TROM at www.dutchsubmarines.com,O-20 was able to escape the Light Cruiser SENDAI’s Seaplane and was not damaged.
541According with O-20 TROM at www.dutchsubmarines.com:“After half an hour the sub returns to periscope depth and takes a look around. They spot two destroyers zigzagging 400 meters aft of the sub. O-20 submerges immediately and 'hugs the bottom' at 42 meters. But during the dive depth charges are already exploding. These explosions damage the listening device…”. I’m inclined, inferring from the Original, to think that the Destroyers AMAGIRI and AYANAMI are the ones that O-20 spots advancing and are able to inflict damage. These are the only 2 Destroyers that were able to make an attack together. Destroyer YUGIRI and Subchaser CH-8 are also dropping depth charges but not at the same time.
542Destroyer URANAMI was the Flagship of the 19th Destroyer Division, and as so has the Commander of the 19th Destroyer Division on board: Captain Ooe Ranji.
543The Minesweepers W-2, W-4 and W-5.
544Destroyers AYANAMI, ISONAMI and URANAMI.
545Subchasers CH-8 and CH-9.
546According with O-20 TROM at www.dutchsubmarines.com,the 4th shell fired by the Destroyer URANAMI fragmented and some pieces hit the tower and the casing.
End of operations (149-151-157)
The Destroyer ISONAMI escorted 6 transports which had finished landing and left Kota Bharu at 0015 on the 20th, and the Destroyer URANAMI left the same night at 2356 to hand over the prisoners to the Saigon Base Force units. The landing at Kota Bharu was completed in the evening of the 21st. Captain Ooe Ranji, Commander of the 19th Destroyer Division, who
remained until the end, led the Destroyer AYANAMI547 from Kota Bharu for Camranh Bay at 2200 that night, and the 11th Subchaser Division (without the Subchaser CH-7) also left the area for Singora. Thereafter, the task of guarding the anchorage was left to the Base Forces548.
From the 16th to the 21st , the Air Group of the Auxiliary Seaplane Carrier SAGARA MARU (47837) carried out patrols around the anchorage with a total of about 30 seaplanes, and on the 19th, Auxiliary Seaplane Carrier SAGARA MARU (47837) advanced from Poulo Condor Island to Singora.
6 submarines of the 4th Submarine Squadron continued to patrol the aforementioned deployment after 2100 on the 13th. On the afternoon of the 11th, the Submarine I-56 sank the Norwegian ship HAI TUNG (1,187 tons) off Terengganu. Rear Admiral Yoshitomi ordered the submarines to return to Camranh Bay at 1100 on the 19th. (102-175) As mentioned above, the flagship Light Cruiser KINU was ordered to support the Borneo campaign in the evening of the 17th, and after replenishing at Poulo Condor Island, at 1045 on the 19th, joined with the 1st Section of the 7th Cruiser Division and thereafter came under Rear Admiral Kurita's command.
Thus ended the 2nd Malaya Landing Operation. This operation coincided with the sinking of 2 British Capital Ships, so there was little chance of a counterattack by British surface forces, and thanks to the success of the operations of the Army 3rd Air Division, there was no counterattack by British air forces. The only threat came from the submarines. There was a great deal of false information about the submarines, and a lack of data to evaluate it, so that the various commands were swamped with information and their command was somewhat confused. Several transports were also sunk during this period. Fortunately for our forces, however, most of these transports had already finished landing. Instead, we were able to sink a Dutch submarine.
3 Attack on British Borneo
(See Appendix nº 8)
The Landings at Miri (102-149-151-152-155) (See illustration nº 40)
At 0730, Commander Ogawa Nobuki, Commander of the 12th Destroyer Division, led the 2nd Escort Force with the 12th Destroyer Division (Destroyers SHIRAKUMO, SHINONOME and MURAKUMO) and the Subchaser CH-7, escorting 10 transports (5 Army, 5 Navy) out of Camranh Bay on the 13th, followed by the Light Cruiser YURA and the Auxiliary Seaplane Carrier KAMIKAWA MARU (42936). At 1100, Rear Admiral Kurita, the commander of the convoy's Main Body, sailed with the 1st Section of the 7th Cruiser Division (Heavy Cruisers KUMANO and SUZUYA) FUBUKI and the SAGIRI.
The convoy reached about 200 nautical miles northwest of Miri at midnight on the 15th without encountering any enemy. At about 0300, the following report was received from I- 64:
Enemy convoy observed at Enku 19, several shadows of ships seen. Enemy position..... 15th Day, 0000
547Captain Ooe Ranji apparently left the Destroyer URANAMI and went to the Destroyer ATANAMI. There is a chance that this was made because the Destroyer URANAMI left the operational area earlier to hand over the Submarine O-20 POWs.
548It’s not clear what base forces are these. Since the 11th Subchaser Division was with the 9th Base Force, these must be other base forces not belonging to the 9th Base Force.
The position of the convoy was 125 nautical miles north-northwest of Kuching, 220 °, or about 140 nautical miles, from the then position of the Heavy Cruiser KUMANO549. As the enemy had its position reconnoitred, Rear Admiral Kurita was at a loss to determine the purpose of the enemy convoy, when the following telegram arrived from Vice Admiral Ozawa at 0355:
1 The 1st Section of the 7th Cruiser Division to head for the enemy reported by the Submarine I-64.
2 The 5th Submarine Squadron is heading for the enemy sighted by the Submarine I- 64.
3 The 4th Submarine Squadron continues its present deployment.
At 0400, the Main Body of the convoy changed its course to 160°, speed to 16 knots and at 0715 launched 2 search seaplanes. At the same time, at 0800, it was discovered that the enemy's course was 70°, so the Main Body changed to a course of 90° and a speed of 20 knots. At 0830, the Auxiliary Seaplane Carrier KAMIKAWA MARU (42936) also launched 2 reconnaissance seaplanes and ordered them to search for the enemy between 215° and 250° for 250 nautical miles. However, the reconnaissance seaplanes found nothing but friendly submarines. Rear Admiral Kurita judged that this information was either a misidentification of a friendly submarine or that the convoy had evacuated to the west, so he lifted the search planes and stopped searching. In the meantime, the Submarine I-65 deployed off Miri and send the report:
Suitable for landing in front of the enemy, 1036
At 1330, Vice Admiral Ozawa issued the following orders:
1 Based on today's reconnaissance over ES (author's note: Singapore), there is a strong suspicion that some of the light forces will be mobilized.
2 1 D-7Ss550 to act in support of the 2nd Escort Force until enemy contact is established.
3 5th Submarine Squadron to return to their original deployment, with one ship on the way to reconnoitre the Kuching.
As the convoy approached about 40 nautical miles from Miri in the evening, black smoke was seen in the direction of Miri, and it was judged that the British had already set fire to the oil fields. The convoy arrived about an hour ahead of schedule, between 2330 on the 15th and 0030 on the 16th, as follows:
Off Miri: SHIRAKUMO, Subchaser CH-7 and 3 Army Transports (Table 67).
Off Lutong: MURAKUMO, 5 Navy Transports, 1 Army Transport (Table 67).
Off Seria: SHINONOME, 1 Army Transport (Table 67).
The sea, which had been calm, suddenly became windy from the middle of the night of the 15th, and by the time the auxiliary transports were unloading, the wind had risen to 15~20 knots. The strong wind and waves made it very difficult to transfer to the landing crafts, and 3 Army landing crafts capsized, resulting in 19 killed and 15 missing in action. At 0300, the Army units finally started to move out and succeeded in landing without any resistance from the enemy around 0500, and occupied the oil fields of Miri, Lutong and Seria by around 0800. The 2nd Yokosuka SNLF also captured an airfield east of Lutong around 0700. Commander Ogawa reported as follows:
1 Borneo Base Unit, 0440, landed successfully, occupied airfield at 0700, no enemy troops seen (From Borneo Base Unit Commander).
2 No sign of enemy at sea.
According to the residents, British troops have been destroying and setting fire to oil installations since the 9th and have retreated.
In the early morning hours of the 16th, the Main Body of the Escort Force approached 50 nautical miles off Miri, and thereafter continued its support activities by operating between 100 and 150 nautical miles off Miri. Rear Admiral Kurita ordered the Auxiliary Oiler KUROSHIO MARU (45674), which had moved into the Miri area for replenishment, to dock at Miri after replenishing the destroyers. The seaplane base crew of the Auxiliary Seaplane Transport KAMIKAWA MARU (42936) who were on board the Auxiliary Transport / Supply Ship TONAN MARU nº 3 (45152) set up a seaplane base at Miri, but the waves were too high for them to use it. For this reason, the Auxiliary Seaplane Carrier KAMIKAWA MARU (42936) operated a patrol during the day to launch and recover aircraft, and also used the mouth of the Belait River at Seria as an emergency seaplane base. There were no air raids that day and the day passed smoothly.
549Flagship of the Rear Admiral Kurita.
5501 destroyer+1st Section of the 7th Cruiser Division: Destroyer HATSUYUKI and the Heavy Cruisers MOGAMI and
MIKUMA.
![]() |

Sinking of the Destroyer SHINONOME (102-155-159-187)
The SHINONOME, which had been keeping close guard to the Army Auxiliary Transport off Seria since arriving at the anchorage, exchanged duties with the subchaser CH-7 at around 0800 on the 17th, and left Seria for Lutong at 0815. At about 0850, the ships of Lutong and Seria saw a plume of white smoke rising from the sky about 15 kms north of Balam's lighthouse. Thereafter, there was no further contact with the Destroyer SHINONOME. Commander Ogawa ordered the Subchaser CH-7 to investigate the situation of the Destroyer SHINONOME, and the boat searched the vicinity of the site again at 1100 and 1215 but found nothing. The Destroyer MURAKUMO also began a search at around 1400, and the Auxiliary Seaplane Carrier KAMIKAWA MARU (42936) carried out an extensive search of the area. However, in addition to the heavy oil, debris and mats that they found, they could not find any sign of the Destroyer SHINONOME. At around 0850, when the Destroyer SHINONOME was in trouble, the Destroyer SHIRAKUMO was in Miri, the Destroyer MURAKUMO in Lutong, and the Subchaser CH-7 was in Seria. There were more than 30 kilometres from the estimated distress position of SHINONOME to the nearest MURAKUMO, and no one confirmed the sinking. The white smoke mentioned above was the result of Commander Ogawa's investigation of each ship after the Destroyer SHINONOME disappeared, and only a few people saw the white smoke. Despite an all-day search by ships and aircraft, not a single survivor could be found. Commander Ogawa acknowledged that Lieutenant Commander Sasagawa Hiroshi (50th Class) and all 228 men of the Destroyer SHINONOME had all shared the fate of the ship, and reported as follows on the 18th, 0150:
2nd Escort Force, Battle Report nº 1 (17th )
As a conclusion of the search for the Destroyer SHINONOME and following the report by the Classified Telegraph nº 113, no sight of the ship has been found. At 7 °, 11.5 nautical miles from the Baram Lighthouse was found heavy oil, over a wide area of 2.5 nautical miles and debris with 2 barrels of radishes551 were found to be floating at 352°, 14 nautical miles and 22°, 15 nautical miles from the lighthouse.
Based on these and other circumstances, it is certain that Shinonome was lost.
At first it was assumed and reported that the Destroyer SHINONOME had been hit by a controlled mine, which had exploded her powder magazine, and that she had sunk instantly without warning. However, later investigations revealed that, judging from the air raid circumstances on that day, the ship was bombed while engaged with enemy aircraft and the powder magazine exploded, leading to the dominant assumption that the ship sank. Earlier, on the 10th of December, the minesweepers W-10 and W-19 were sunk at the Philippines. However, the sinking of the SHINONOME was the first ship to be lost from the Malaya Seizure Force. Moreover, not a single crew member of the SHINONOME survived, and there was no way of ascertaining the situation at the time.
Note:
The records of the Allies who attacked Miri on that day are also mixed and inconsistent. The British and Australian records attribute the sinking of the SHINONOME to their own aircraft, while the Dutch record the sinking of a tanker and make no mention of a destroyer. The U.S. Naval Almanac states that the ship was "sunk by mines", but the source of this information is not clear.
Intensified counterattacks and the postponement of the Kuching landings (102-109-115-149- 151-152-155)
From the morning of the 17th there were frequent air raids and the Auxiliary Seaplane Carrier KAMIKAWA MARU (42936) had to intercept them with seaplanes of inferior performance:
0915: A flying boat Dornier DO-24 was attacked and shot down552.
1110-1150: 7 Blenheim bombers attacked the convoy. The Army Auxiliary Transport HIYOSHI MARU (802) in the Seria anchorage suffers 2 killed and another 20 wounded. One of these aircraft was shot down553.
1330: Blenheim bombers attacked the fleet.
Commander Ogawa, in view of the situation reports that:
A reconnaissance attack on the "Kuching" area was necessary, and that the squadron had no aircraft to spare at present.
Rear Admiral Kurita also ordered the Auxiliary Oiler KUROSHIO MARU (45674) to evacuate to 180 nautical miles north of Miri. On the same day, Vice Admiral Ozawa ordered the Light Cruiser KINU, 2 minesweepers554 and the Auxiliary Transport NOJIMA MARU (40112) to move from Malaya to Borneo , as mentioned above.
On this day, the 4th Naval Construction Group began work on the airfield. (188)
At 1900, the Commander of the 2nd Air Force, Rear Admiral Imamura, reported the following situation:
1 In view of the appearance of enemy aircraft, it is thought necessary to advance fighters to "BM" (author's note: Miri) as quickly as possible.
2 According to the estimates of the 4th Naval Construction Group, it will take 3 days after tomorrow before the BM airfield can be used by Fighters.
3 Tomorrow, 3 of our reconnaissance seaplanes will carry out a dawn an attack on the BK (Kuching) airfield.
4 Due to the sea conditions in the area, the ability to use our seaplanes may be reduced.
551I could not obtain a direct translation for the “radishes”. I could only translate the 2 barrels and could not recognize the next Kanji, but at Combinedfleet.com, Anthony Tully on the last revision for the Destroyer SHINONOME TROM gives the information that the barrels had “radishes” and also go a little further indicating that these was one of the strongest clues for the origin of the debris found, as the Destroyer SHINONOME had been supplied with barrels of radishes from the Auxiliary Supply Ship SURUGA MARU (45206) on the 12th of December (also SURUGA MARU TROM) at Camranh Bay.
552According with the Auxiliary Seaplane Carrier KAMIKAWA MARU TROM at Combinedfleet.com, by Bob Hackett, Sander Kingsepp and Allan Alsleben, this was in the north of Miri. “A Do-24 X-34 flying boat of GVT-7 attacks a vessel but is intercepted by a Type 0 Mitsubishi F1M2 "Pete" from KAMIKAWA MARU. The Dornier is forced to make an emergency landing with two of its crew dead”.
553Also from the Auxiliary Seaplane Carrier KAMIKAWA MARU (42936) TROM at Combinedfleet.com, by Bob Hackett, Sander Kingsepp and Allan Alsleben: “Two hours later, in bad weather conditions. Six Dutch Glenn Martin bombers of 2-VIG-I, also attack. A Pete from KAMIKAWA MARU attacks the Dutch bomber formation, but they escape.”
554Minesweepers W-3 and W-6.
On the 18th, the reconnaissance seaplanes attack on Kuching could not be carried out due to rain. In the afternoon 2 Blenheim bombers attacked the convoy but did no damage.
The 1st Air Force directed its attacks towards Borneo from the 18th. 26 Land Based Attack Aircraft of the Air Assault Force B set out to attack Kuching Airfield on the same day but were unable to do so due to bad weather. They sank a 1,500-ton-class British merchant ship on the northwest coast of Kuching, and also bombed Sematan, 70 km west-northwest of Kuching. 9 Land Based Attack Aircraft also from the Air Assault Force B searched the South China Sea and shot down a British flying boat and caused a Dutch flying boat to emit white smoke. Land Based Reconnaissance Aircraft of the Air Assault Force C reconnoitred the Seletar Military Port and found 2 cruisers, 2 destroyers and 2 submarines in the port, and about 40 aircraft at the airfield.
In view of the continuous air raids and the unexpected delay in the maintenance of the airfield, the Commander of the Kawaguchi Detachment requested the Navy to postpone the launch of the attack on Kuching unless the maintenance of the airfield was completed and the Navy Land Based Air Force was expected to advance. (151-153) Rear Admiral Kurita immediately reported this request by the Kawaguchi Detachment Commander to Vice Admiral Ozawa.
On the 19th, the 2nd Air Force attempted to attack Kuching, but was again unable to do so because of rain. Just after 1000, six Martin bombers attacked the convoy. 2 observation seaplanes on overhead patrol intercepted them, shooting down one and damaging another. At that time, 1 crew member was parachuted down, and the seaplane base Personnel of the Auxiliary Seaplane Carrier KAMIKAWA MARU (42936) searched for him with the help of the Army but were unable to find them. However, according to a nearby church missionary, the crew member came to the church to ask for water and said that he was Dutch and that the plane had flown in from Tarakan. One of our reconnaissance seaplanes scouted the Kuching airfield and found that it had fallen into considerable disrepair and there was no sign of recent use. The 2nd Air Force concluded that the Allied aircraft were operating from bases at Tarakan or West Borneo. (149-152)
16 Land Based Attack Aircraft of the Air Assault Force A bombed Kuching city and airfield. 9 Land Based Attack Aircraft of the Air Assault Force D bombed airfields and military installations at Pontianak (west of Dutch Borneo) and shot down 1 flying boat. However, the Squadron was pursued by 3 fighters and 1 of the Land Based Attack Aircraft was destroyed in an emergency landing 20 nautical miles south of Saigon. 9 other Land Based Attack Aircraft of the Air Assault Force D searched the South China Sea but failed to find any enemy.
On the 20th, 2 reconnaissance seaplanes of Auxiliary Seaplane Carrier KAMIKAWA MARU (42936) scouted Burney Bay (150 miles east-northeast of Miri) but found no unusual activity. The Ca In addition, 1 of the ship's reconnaissance seaplanes disappeared while conducting a reconnaissance of Tarakan. The Captain of the Auxiliary Seaplane Carrier KAMIKAWA MARU (42936) reports that:
On the 20th, while conducting a covert reconnaissance of Tarakan, 1 of the ship's Reconnaissance Seaplanes, F6, Lisa B, disappeared after 1603 and did not return. (Author's note: both names of the aircrafts are in code).
9 Land Based Attack Aircraft of the Air Assault Force A scouted the South China Sea, found a 5000-ton class merchant ship, bombed it, and hit it with 2 close-range bombs. 27 Land Based Attack Aircraft of the Air Assault Force B bombed Kuantan Airfield and setting 4 hangars and other buildings ablaze and enveloping 8 aircraft in the area with a barrage of bombs. 26 Land
Based Attack Aircraft of the Air Assault Force D went to search for airfields in western Borneo. The attackers found an airfield at Bengkayang, 50 kilometres east of Singkawang (160 kilometres southwest of Kuching) and attacked it. They also found an airfield near Ledo 30 kilometres northeast of Bengkayang and bombed 11 local large aircraft and 5 small ones, but they could not confirm the effect because of the clouds. It was on this day that the Ledo airfield first became known to exist for the 1st time. Its runway was about 1,500 meters north to south, and it was judged to be a suitable as a base for Land Base Attack Aircraft (33). Since the name of the place where the airfield was located was unknown, it was named after the nearby town of Ledo, and was henceforth called Ledo Airfield. (91)
Vice Admiral Ozawa, who had received the request from the commander of the Kawaguchi Detachment, decided that the postponement of the Kuching operation was unavoidable in view of the current situation, and on the 20th, 1410, he sent a message to the commander of the Kuching Detachment informing:
The 2nd Escort Force will leave Subchaser CH-7 at Miri, and act as planned for departure from Miri on the 22nd.
It was decided to postpone the attack on Kuching by 3 days.
The attacking force was not attacked on the 20th, but on the 21st, at 1320, was attacked by 2 fighters and 6 bombers. However, there was no damage. After receiving a report on the rehabilitation of Miri Airfield and the completion of the runway extension, Vice Admiral Ozawa ordered 9 Land Based Attack Aircraft and 15 Zero Fighters to advance to Miri on the 21st.
On the 21st, 1 reconnaissance seaplane with an army officer on board went to reconnoitre the Kuching landing site but turned back due to the rain. A total of 7 observation aircraft carried out patrols over the convoy. 9 Land Based Attack Aircraft of the Air Assault Force B flew over the South China Sea but found no unusual activity. The Minesweepers W-3 and W-6, which had been incorporated into the 2nd Escort Force on the 17th, arrived in Miri on these day.
At 1500 on the 22nd, 9 Land Based Attack Aircraft of the Air Assault Force B and 15 Zero fighters of the Air Assault Force C, commanded by Lieutenant Commander Imagawa Toshio555, arrived at Miri. (135) The surface forces, which had been under air raids every day for 6 days since landing, were able to limit the damage thanks to the good performance of the Auxiliary Seaplane Carrier KAMIKAWA MARU (42936) Naval Air Group, but the advance of the Zero Fighter finally gave them hope that their air defence would be finally secure. In addition, the advance of 600 nautical miles from Saigon to Miri of a Land Based Attack Force was also expected to promote the air campaign in the Borneo sector. Miri Airfield was too small for a large force, and it was not possible to land and take off with the full squadron of Land Based Attack Aircraft, but it was only 400 nautical miles from the airfield to the western bases in Borneo, and only 230 nautical miles to Tarakan. It was judged that the air operations in this direction would rapidly produce results.
55552nd Class.
The Kuching Campaign and Disruptions (102-115-149-152-155) (See Illustration nº 41)
At the time of the attack on Kuching, Rear Admiral Kurita made the following assessment of the enemy situation:
1 According to the aerial observation on the 18th, there are 2 cruisers, 2 destroyers, 2 submarines, and about 40 aircraft in the Seletar military port, but it is judged that there is little chance that the British fleet will make a full-scale sortie to Kuching. However, as the Allied forces have a number of air bases in the vicinity of Kuching, it is probable that some of their ships will be dispatched with the support of aircraft to interfere with our advancing route towards Kuching.
2 We have not received accurate information about submarines, but it is probable that there are 1 or 2 in the Kuching sector.
3 Judging from the daily air raids in the Miri area, Allied aircraft are likely to resume their attack after the arrival at the anchorage of our convoy.
4 According to information received in Miri, the Miri garrison is likely to have retreated to Kuching and Singapore, and the British forces are thought to be consolidating their defences in Kuching.
5 Judging from the considerable movement of ships along the coast of British Borneo after the outbreak of the war, and from the fact that Miri's oil fields and airfields were destroyed in the face of our advance, it is highly probable that the anchorage and rivers of Kuching have been defended with mines protective measures and other means.
On the 22nd of December, at 1500, the 2nd Escort Force (2 Destroyers and 2 minesweepers556) sailed from Miri escorting the Army Auxiliary Transports KATORI MARU (704), NICHIRAN MARU (856) and HIYOSHI MARU (802) and the Navy Auxiliary Transport HOKKAI MARU (38123), Auxiliary Transport / Supply Ship TONAN MARU nº 3 (45152) and Auxiliary Transport / Supply Ship UNYO MARU nº 2 (42971). The Auxiliary Seaplane Carrier KAMIKAWA MARU (42936) and the Light Cruiser YURA followed in support. The 1st Section of the 7th Cruiser Division, the Destroyers SAGIRI and FUBUKI, and the Light Cruiser KINU (arrived at 1045 on the 19th), which had been operating west of Miri since the landing, came within sight of the convoy at 1900 and thereafter sailed with it for about 20 nautical miles in front of the convoy. On this day, at 1050, the Submarine I-54 reported:
Enemy submarine heading north at 325°, 60 nautical miles from Kuching.
556From the 12th Destroyer Division: Destroyers Murakumo and Shirakumo. From the 1st Minesweeper Division: Minesweeper W-3 and W-6.
All units went to high anti-submarine alert. In addition, 2 reconnaissance seaplanes, 4 observation planes and 6 Zero fighters conducted air patrols in front of and over the convoy.
25 Land Based Attack Aircraft of the Air Assault Force A headed for Ledo Airfield in response to the fleet's sortie but turned back due to rain. 9 Land Based Attack Aircraft of the Air Assault Force B searched the South China Sea but were unable to reconnoitre the Kuching area because of bad weather.
In the morning of the 22nd, the convoy reached about 120 nautical miles north of Kuching. It was decided that the attacking force should steer for Point K (50 nautical miles north of Kuching), while the supporting force would act accordingly in the vicinity.
At about 0930, 2 Dornier DO24 flying boats appeared in the distance, but the flying boats disappeared as 2 Zero fighters began overhead patrols from 0945. From then on, until 1600, the fleet was constantly patrolled by 2 Zero fighters and a total of 6 Land Based Attack Aircraft in the afternoon. However, at 1650, after the Zero fighters had gone, the flying boats appeared again, and the Auxiliary Seaplane Carrier KAMIKAWA MARU (42936) immediately launched an observation seaplane to attack them. However, it was not easy to catch the flying boat because of the low clouds and occasional squalls. After much effort, at 1810, the observation seaplane succeeded in shooting down the flying boat, but it was certain that the whole of our unit had been detected.
24 Land Based Attack Aircraft of the Air Assault Force B attacked Ledo Airfield, setting 7 of the 10 aircraft and 2 warehouses ablaze.
At 1730, the attacking force reached the point K and changed course to 180°, the Auxiliary Seaplane Carrier KAMIKAWA MARU (42936) and Light Cruiser YURA separated from the fleet. The 2 minesweepers began a forward sweep and the convoy proceeded in two columns (See Illustration nº 40), led by the Destroyers MURAKUMO and SHIRAKUMO. During the advanced sweep, Minesweeper W-6 spotted what appeared to be a submarine at close range at around 2000 and reports:
"200°, 700 meters, submarine-like object seen, heading 140°".
The submarine was then attacked and pinned down. Also, from Submarine I-54, which was on patrol off Kuching, at 2140 reported:
Enemy submarine seen, enemy submarine diving, enemy position 325°, 60 nautical miles from Kuching, 1726
The enemy submarine was in the area of Kuching, 325°, 60 nautical miles from the port. This position was 40 nautical miles from the anchorage.
The attacking force proceeded with a strict anti-submarine alert. At 2240, two hours ahead of schedule, they were 5 nautical miles ahead of the anchorage and were about to change course for Cape Sipang. At that moment on the left column, the 1st Auxiliary Transport KATORI MARU (704) (Kawaguchi Detachment), followed by the 3rd, the Auxiliary Transport HIYOSHI MARU (802), were engulfed in flames with a loud explosion and became disabled. Commander Ogawa reported:
2240, Auxiliary Transport KATORI MARU (704) lost in the vicinity of the anchorage, half sunk, Torpedo or Mine strike unknown.
The Navy transports sailed to the anchorage at 2245. However, 30 minutes after setting anchor, the Auxiliary Transport HOKKAI MARU (38123) (with the 2nd Yokosuka SNLF aboard) and then the Auxiliary Transport / Supply Ship TONAN MARU nº 3 (45152) (with 260 men of the 4th Naval Construction Group aboard) were struck by torpedoes. Commander Ogawa reported:
2 enemy submarines entered the area. Auxiliary Transport / Supply Ship TONAN MARU nº 3 (45152) and Auxiliary Transport HOKKAI MARU (38123) hit by 9 torpedoes.
The weather that night was half clear with a new moon of 6°, and a light breeze Our vessels were searching for the submarines, but the submarine attacks approaching the convoy with the land shadow in the background left our four vessels completely helpless, and at last 4 transports were damaged. (187) At around midnight on the 24th, Rear Admiral Kurita received the news and sent the Destroyer SAGIRI on a short notice.
At 0300, the Submarine I-123, now operating off Surabaya, reported:
On 23rd,2345, 2 aircraft carriers accompanied by 4 ships in direct escort were sighted at 50°, 100 nautical miles from Surabaya. Speed 12 knots. Lost due to poor visibility.
This information was sudden and unexpected. Until then, there had been occasional reports of British aircraft carriers in the Indian Ocean, but this was the first report of their appearance in the south. (189) But this was not without possibility. The carriers were still more than 600 nautical miles away, and it was impossible to determine its intentions, but Rear Admiral Kurita ordered vigilance against possible carrier attacks.
The Battle for Kuching (102-109-115-149-152-155)
The landing party was confused due to the damage to the transports. Fortunately, the Auxiliary Transport NICHIRAN MARU (856), with Colonel Oka557 on board, was undamaged, and at 0300 on the 24th, the Army advance party landing crafts started to depart. The 2nd Yokosuka SNLF also made efforts to clear up the confusion and hurried to transfer to the landing crafts, which were launched around 0400. Between 0530 and 0645, the Army landing party landed at the mouth of the Sarawak estuary on the east side of Cape Sipangu, and 2nd Yokosuka SNLF at the mouth of the Santubong estuary on the west side of the same cape, but there was no resistance from the British forces. The Army troops moved up the river from the mouth of the Sarawak at 0630, reached Pending at about 0900, cleared some resistance, landed and entered Kuching in the early afternoon. The 2nd Yokosuka SNLF moved up the river in 6 large landing crafts, reached Kuching City at 1900 and joined forces with the Kawaguchi Detachment at Kuching.
Earlier, Vice Admiral Ozawa had ordered the 2nd Section of the 7th Cruiser Division, Destroyers HATSUYUKI and SHIRAYUKI and also the Naval Fleet oiler ERIMO, to assist in the Borneo Area of Operations. At 0715, on the 24th, 2nd Section of the 7th Cruiser Division with the Destroyer HATSUYUKI joins the 1st Section of the 7th Cruiser Division558.
At the anchorage, the Auxiliary Transport KATORI MARU (704) that had been kept half- submerged sank at 0915. However, the majority of those on board were rescued. The Auxiliary Transport HIYOSHI MARU (802) was in danger of sinking and the passengers were transferred to another ship. The Auxiliary Transport HOKKAI MARU (38123) was disabled and only the Auxiliary Transport / Supply Ship TONAN MARU nº 3 (45152) was able to sail. The Destroyer SAGIRI arrived at the anchorage at 0830 and the rescue work were largely completed in the morning. Commander Ogawa deployed the 2 minesweepers and near the anchorage and the destroyers MURAKUMO, SAGIRI and SHIRAKUMO from the east to within 20 nautical miles of the anchorage.
3 observation seaplanes of the Auxiliary Seaplane Carrier KAMIKAWA MARU (42936) were sent to guard the anchorage and support the land battle, but one of the seaplanes sank when its lifting cable broke during the recovery. From 1240 to 1350, Miri's 7 Land Based Attack Aircraft, and from 1240 to 1700, Miri's 9 Zero fighters (three aircraft each) conducted anchorage patrols. During this period, 8 Blenheim bombers came in 3 times in the afternoon, taking advantage of gaps in our patrols, but no damage was done.
On the same day, 9 Land Based Attack Aircraft of the Air Assault Force B searched the South China Sea and shot down a Dutch flying boat.
In the afternoon, Vice Admiral Ozawa ordered the Subchaser CH-7 that was at Miri to proceed to Kuching, and the Destroyer SHIRAYUKI, which was escorting the Naval Fleet Oiler ERIMO to Kuching, to rapidly join 7th Cruiser Division. However, the Light Cruiser KINU was relieved of her support duties and ordered to return to Camranh Bay.
The Destroyer SAGIRI was on patrol at its designated area. At 2045, about an hour after sunset, she was hit by a torpedo from astern on her starboard side. The torpedo hit the ship in the rear, triggered a huge fire, and after 10 minutes the torpedoes also detonated and the ship sank at 2100559. The ship´s position was 354°, 14 nautical miles from Cape Sipangu. The Destroyer SHIRAKUMO and the Minesweeper W-3 rushed to the rescue, and by the next morning had rescued Commander Koshichi Sugioka560 and 120 crew members, but 110 were lost.
At 2115, the Destroyer MURAKUMO was also attacked by 2 torpedoes. She evaded them and attacked a submarine, spilling so much oil that it was reported that she was certain to be sunk.561
At 2135, when Rear Admiral Kurita heard the news of the sinking of the Destroyer SAGIRI and informed Commander Ogawa that he was dispatching the Destroyers FUBUKI and the HATSUYUKI, which were in direct escort of the 7th Cruiser Division, to the scene.
At the same time, he instructed Commander Ogawa to consult with the Army and complete the landing quickly so that the transports could leave the anchorage as soon as possible.
The loss of the Destroyer SHINONOME and all her crew at Miri and the loss of 4 transports at Kuching, led to the further loss of the Destroyer SAGIRI. There were still submarines in the vicinity of the Kuching anchorage, and the anchorage was only 100 kms from the Ledo airfield in western Borneo, and there were even reports of an aircraft carrier off the coast of Surabaya. In contrast, our base at Southern French Indochina was 600 nautical miles away, and only a small number of Land Based Air Units had advanced to Miri. The operational forces were in a difficult situation.
On the other hand, the British Forces estimated at about 500 had retreated from the city of Kuching and established positions from an airfield about 10 kilometres south of Kuching to Patkington, 5 kilometres west of the airfield562. The British Army had been in the process of establishing a position in the Kuching city, but the British forces were not able to hold it. However, the British forces stubbornly resisted and it was not easy to break through the enemy lines. Colonel Oka halted the attack for the time being to consolidate his forces and rushed into the enemy lines before dawn on the 25th, after the setting of the moon. The British forces were crushed and defeated to the south. Our forces swept across the battlefield and occupied the airfield at 1640 on the 25th.
At sea, the Destroyers FUBUKI and HATSUYUKI arrived near the anchorage at around 0800 on the 25th and began anti-submarine sweeping. In addition, the Destroyer SHIRAYUKI joined the 7th Cruiser Division at 0915, and the Auxiliary Transport NOJIMA MARU (40112) also arrived at the anchorage at 1000. At 1245, Vice Admiral Ozawa ordered the 1st Section of the 7th Cruiser Division and the Destroyer FUBUKI to return to Camranh Bay. The Destroyer FUBUKI accommodated the survivors of Destroyer SAGIRI and, at night, Rear Admiral Kurita led the ships away. The command of the operational forces was taken over by Captain Sakiyama Shakao563, Commander of the Heavy Cruiser MIKUMA.
557Colonel Oka Akinosuka is the Commander of the 124th Infantry Regiment. The Main Force of the Kawaguchi Detachment.
558The Naval Fleet Oiler Erimo was not with the 2nd Section of the 7th Cruiser Division. According with its TROM at Combinedfleet.com she departed from Camranh Bay on the 23rd and returned on the 28th. The Destroyers Shirayuki, on the way to Borneo from the 2nd Malaya Landings operation must have detached from the group and headed to meet the Naval Fleet Oiler Erimo somewhere in the way.
559At Combinedfleet.com, At the Destroyer Sagiri TROM, Allyn D. Nevitt attributes the sinking to the “Aft magazine apparently exploded, severing stern”. In truce both things might have happened, and if an explosion of a magazine had the power the severe a destroyer, it’s also completely plausible the fire to induce explosions on the torpedoes, and the aft torpedoes are kept just next to the superimposed rear turret. The Long Lance did sink many ships, allied and Japanese.
56049th Class.
561The Submarine was the Dutch HNLMS K XVI, that also had just sunk the Destroyer SAGIRI. But the Destroyer MURAKUMO did not sink it. The next day, the I-66 will sink the HNLMS K XVI.
562I was not able correctly identify “Patkington” (it could be a bad translation). The Airfield is our days the Kuching International Airport, and these position occupied by the 2nd Battalion of the 15th Punjabi Regiment was apparently 5 kilometres to the west.
56342nd Class.
On the 25th, 7 Land Based Attack Aircraft and 6 Zero fighter planes of the 1st Air Force's Miri Dispatched Squadron went to attack Ledo airfield. However, the aircraft were unable to attack the airfield due to rain, and bombed merchant ships and telegraph stations in Sibu and Bintulu (both between Miri and Kuching). The Zero fighter squadron opened fire on the Ledo airfield and set one bomber ablaze. However, 1 Zero was also hit and crash-landed at Kuching airfield and was wrecked. 18 Land Based Attack Aircraft of the Air Assault Force D also attacked the same airfield and destroyed 1 large and 1 small aircraft. 8 Land Based Attack Aircraft of the Air Assault Force A and 9 Land Based Attack Aircraft of the Air Assault Force D searched the South China Sea and shot down a flying boat. The Auxiliary Seaplane Carrier KAMIKAWA MARU (42936) also patrolled the anchorage with 4 seaplanes.
There were no air raids that day, and the landing proceeded smoothly. In the evening, the following report came in from the Submarine I-66:
On the 25th, 1158, at 330°, 60 nautical miles from Kuching, a large enemy submarine was sunk.
At 0830 on the 26th, the Auxiliary Transport NOJIMA MARU (40112), having completed her replenishment, headed for St Jacques, and at 0930 the Subchaser CH-7 arrived at Kuching. The Auxiliary Seaplane Carrier KAMIKAWA MARU (42936) conducted anchorage patrols in the morning and afternoon with 1 reconnaissance seaplane each, and Miri's Zero Squadron also conducted an anchorage patrol from 1100 to 1200 and from 1310 to 1455 with 2 aircraft at all times. In addition, 7 Miri Land Based Attack Aircraft bombed Tarakan airfield and blew up one aircraft in the area. 9 Land Based Attack Aircraft of the Air Assault Force A and 8 Land Based Attack Aircraft of the Air Assault Force B searched the South China Sea but found no unusual activity.
However, 3 bombers, taking advantage of the gap in the air defences, attacked the anchorage at 1355 and bombed the fleet. The bombs hit the Minesweeper W-6, which was being replenished alongside the Auxiliary Transport / Supply Ship UNYO MARU nº 2 (42971), causing her to sink, and the Auxiliary Transport / Supply Ship UNYO MARU nº 2 (42971) also caught fire and sank at 1518. Most of the crew were rescued. Captain Sakiyama sent the Destroyer HATSUYUKI to the anchorage to help. At 1535, a further bomber attacked but was repulsed.
On the 27th , the landing operations were completed, and the units withdrew from Kuching as follows:
1000: Destroyer SHIRAKUMO sailed to Camranh Bay escorting the Auxiliary Transport / Supply Ship TONAN MARU nº 3 (45152). Destroyer MURAKUMO sailed to Miri escorting the Auxiliary Transport NICHIRAN MARU (856).
1200: Destroyer HATSUYUKI departed from the anchorage and joined the 2nd Section of the 7th Cruiser Division.
1400: 2nd Section of the 7th Cruiser Division, Destroyer SHIRAYUKI, Auxiliary Seaplane Carrier KAMIKAWA MARU (42936) and Naval Fleet Oiler ERIMO sailed to Camranh Bay.
On this morning, 1 of the observation seaplanes of the Auxiliary Seaplane Carrier KAMIKAWA MARU (42936), which had gone out on patrol, did not return, and 1 of the reconnaissance seaplanes was badly damaged and sunk when it landed in the water. 1 of Miri's Land Based Attack Aircraft carried out a reconnaissance of northern Borneo, and 5 Zero extended patrols of the anchorage. On the 28th, 3 bombers attacked Miri, but the Zero fighter shot down all of them. In addition, 7 Land Based Attack Aircraft bombed Tarakan Airfield, setting on fire 1 aircraft and a warehouse.
On the 30th, the landing of all the transports was completed, and the Subchaser CH-7 with the Minesweeper W-3 left Kuching for Camranh Bay on the same day564. (102-160)
564The text is not clear but there were no more transports still afloat. The Japanese are landing from half sunk transports. According with combinedfleet.com the Auxiliary Transport HOKKAI MARU (38123), will be refloated in September of 1942, the Auxiliary Transport / Supply Ship UNYO MARU Nº 2 (42971) was never recovered, Auxiliary Transport KATORI MARU (704) also never recovered and the Auxiliary Transport HIYOSHI MARU (802) was beached to prevent sinking.

The submarines of the 5th Submarine Squadron, which had remained on station until 2000 on the 25th, withdrew from deployment at the same time and headed for Camranh Bay. They joined the Light Cruiser YURA on the 26th and arrived at Camranh Bay the following day. (175)
Our losses in the British Borneo campaign were as follows:
Sunk: Destroyer SHINONOME (228 killed in action), Destroyer SAGIRI (121 killed in action), Minesweeper W-6 (36 killed in action), Navy Auxiliary Transport / Supply Ship UNYO MARU nº 2, Army Auxiliary Transport KATORI MARU (704).
Damaged: Navy Auxiliary Transport HOKKAI MARU (38123) and Auxiliary Transport / Supply Ship TONAN MARU nº 3 (45152), Army Auxiliary Transport HIYOSHI MARU (802).
Aircraft losses: Zero fighter 1, Type Zero reconnaissance seaplane 2, Type Zero observation seaplane 2.
In other words, in this operation the Malaya Seizure Force lost 3 warships, including about 400 crew members, and of the 6 Auxiliary Transports, only the Auxiliary Transport NICHIRAN MARU (856) was not damaged. The damage to the 2nd Yokosuka SNLF was limited to 4 killed and 7 wounded, but the Kawaguchi Detachment suffered considerable damage on land and sea. During this period, more than 40 allied aircraft were attacked, of which 8 were confirmed to be shot down and 2 submarines were reported to have been sunk. The Naval Air Group of the Auxiliary Seaplane Carrier KAMIKAWA MARU (42936) carried out reconnaissance, patrols and base attacks day after day, and made a great contribution to the operation by shooting down 5 large aircraft with their inferior performance seaplanes, despite suffering four aircraft losses.
Despite the desperate efforts and valiant fighting of the operational forces, such heavy losses were caused by inadequate air support and the lack of anti-submarine capability of our naval vessels. This operation eventually achieved the objective of the invasion, but it was a typical example of an attack on a key area conducted deep into the enemy's territory and provided many war lessons. (153)
One of the main reasons for the inadequacy of this air support was the lack of thorough reconnaissance of the airfields prior to the start of the operation. Before the outbreak of the war, it had been judged that Miri Airfield, with its length of 900 Meters, would be suitable for the deployment of a considerable number of units with some construction work, but it was only after the attack that it became clear that, due to its length and soil quality, it was not only unsuitable for the immediate use of air units, but that even with considerable modification, it could not be used to its full extent by Land Based Attack units. As a result, the Land Based Air Force, which was to provide direct and indirect support to the attacking forces, was delayed and its strength was insufficient.
The main objective of the Kuching campaign was to capture and improve the airfields in order to deploy a large air force to this strategically important area. However, as in the case of Miri, the pre-operational reconnaissance was inadequate, and when the airfield was conquered, it was found to be, contrary to expectations, so inadequate that no matter how well it was maintained, it could not be used for the deployment of large air forces, or even for the use of fully equipped Land Based Attack units. Prior to the outbreak of war, we had decided that the main runway at the airfield would be a L type runway, 730 meter-long, and we would rapidly upgrade it by sending in a construction team. The plan was to send the Kanoya Naval Air Group Detachment (72 aircraft, including Land Based Attack Aircraft and auxiliaries) and the Zero fighter squadron565 (36 aircraft, including fighters and auxiliaries, and several Land Based Reconnaissance Aircraft) to Miri and Kuching, from where they would attack Singapore, cut off its rear and attack West Java. The airfield was so highly anticipated, but in reality it was a small airfield on a plateau with very little room for expansion, and the soil was not good. Furthermore, the transport distance from the supply land point was too far.
565Yamada Naval Air Group (mainly the Air Assault Force C).
(See Appendix 9)
1 Initial Operational Plan
The 2nd Phase Formation of the Southern Force of the Combined Fleet
The beginning and end of the 2nd Phase of Operations of the Combined Fleet566, as stipulated in Confidential Combined Fleet Order nº 1, was generally from the completion of the landing of the Army Main Force in the Philippines Island to the completion of the landing of the Army Main Force at British Malaya, which was planned to be from around X+13 (21st of December) to around X+40 (17th of January).
In the Philippine Campaign, the Davao and Jolo landings were postponed by 6 and 4 days respectively, and the capture of various key areas proceeded as planned. The main force of the 14th Army was escorted by the Philippine Seizure Force landed in Lingayen Bay on the 22nd of December and a part of them landed in Lamon Bay on the 24th of December to start the full-scale campaign of the Philippines Island. The Malayan Campaign was also making generally good progress, except for the Kuching operation, which was to be carried out on the 21st of December but was postponed for 3 days. The Commander of the Combined Fleet, who confirmed this situation, issued a preliminary order in the name of the Chief of the General Staff on the 25th of December, and then on the 26th of December issued the order:
"2nd Phase, will be activated at 1200,"
The Combined Fleet deployed to the 2nd Phase after at 1200 on the 26th. (77-155)
The general outline of the Southern Force at the 2nd Phase of the Combined Fleet's disposition, is as described in "Part I, Chapter 5, Section 4"567. The summary was that after completing all the planned landing operations in various parts of the Philippines Islands, most of the Philippine Seizure Force were to become the Dutch East Indies Seizure Force, and together with the Southern Force Air Force and Southern Force Submarine Force, they were to start the Dutch East Indies Campaign, while the Malaya Seizure Force were to continue the 1st Phase of operations and promote the Malaya Campaign. In the 2nd Phase of the Operations, the strength of the Southern Force remained almost the same as before, except for a small force augmentation.
566Table 10 have the 3 Phases of the Combined Fleet. For the Southern Force, Philippine Seizure Force Tables 14 (1st Phase) and Table 25 (2nd Phase). For the Southern Force, Malaya Seizure Force Table 45 (1st Phase A ), Table 64 (1st Phase B) and Table 68 (2nd Phase – Modified).
567In the Original it’s “Part I, Chapter 8, Section 1”, but this is a clear mistake as there is no chapter 8. Part 1
only have 6 chapters. In the text is the correct area.
The deployment to the 2nd Phase Naval Disposition of the Southern Force
Based on the above Combined Fleet Order, Vice Admiral Kondo, the Commander of the Southern Force, ordered the Southern Force to be deploy into the 2nd Phase Disposition after the 26th of December, 1200 (77-149-155). Earlier, on the 12th of December, Vice Admiral Kondo had transferred the Auxiliary Seaplane Carrier SANYO MARU (36117) of the 12th Seaplane Tender Division from the Malaya Seizure Force to the Philippine Seizure Force, and on the 15th, he had transferred the 13th Submarine Division of the 6th Submarine Squadron from the Malaya Seizure Force to the Submarine Force of the Southern Force. But in order to meet the 2nd Phase of operations the following changes were ordered: (102-135)
23rd of December 1941:
1 The Battleship HARUNA of the 3rd Battleship Division, the 1st Section of the 6th Destroyer Division (Destroyers AKATSUKI and HIBIKI) and the 8th Destroyer Division will form the Eastern Support Group, under the command of Captain Takama Tamotsu568, Commander of the Battleship HARUNA to support the invasion of the Philippines and the Eastern Sector of the Dutch East Indies. As already mentioned, the formation of the Eastern Support Group had been planned before the outbreak of the war, but due to the operational changes in the Southern Force on the 28th of November in response to the situation of the strengthening of the British Eastern Fleet, the majority of the group operated in the Malayan Sector as part of the Main Body of the Southern Force during the first phase of the campaign. However, as the British battleships were sunk, the original plan was restored for the 2nd Phase of operations.
2 However, the 8th Destroyer Division was incorporated into the Malaya Seizure Force at the beginning of the 2nd Phase of operations to strengthen its escorting force.
25th of December 1941:
1 The 5th Destroyer Squadron is transferred from the Philippine Seizure Force to the Malaya Seizure Force. This measure was taken in order to strengthen the escorting force of the Malaya Seizure Force in order to land the main force of the 25th Army on the east coast of Malaya at the beginning of January. According to the plan made before the outbreak of war, the strength of the Philippines Seizure Force units to reinforce the escort of the Main Force of the 25th Army would be about 1 Destroyer Division. However, on the 13th of December, the Southern Army planned the Kuantan Landing Operation (see below) and consulted the Navy, so the originally inadequate Malaya Seizure Force Escort Force was expected to be even more insufficient. Therefore, on the 18th of December, the Commander of the Southern Force decided to divert the entire strength of the 5th Destroyer Squadron to the Malaya Seizure Force.
2 The Heavy Cruiser MAYA of the 4th Cruiser Division was transferred from the Philippine Seizure Force to the Eastern Support Group.
26th of December 1941:
1 The 5th Submarine Squadron rejoins the Submarine Force of the Southern Force. This Squadron, like the Eastern Support Group, was returned to its originally planned deployment in the 2nd Phase of operations.
2 The 4th Aircraft Carrier Division (lacking the 2nd Section) was transferred from the Philippine Seizure Force to the Main Body of the Southern Force. This was a preparatory measure for the transfer of the Division to the Malaya Seizure Force.
28th of December 1941:
The 11th Submarine Base Force, which is in charge of base duties for submarine units operating in the Indian Ocean, was transferred to the Southern Force on 25th of December, and the Commander of the Southern Force transferred it to the Malaya Seizure Force on the 28th of December.
56841st Class.
Operational Plan for the Execution of the Malayan offensive(See Illustration nº 42)
The Army Navy Agreement prior to the outbreak of war provided for Army landing convoy escorts and landing schedules during the 2nd Phase of operations in the Malayan area as follows: (34)
The Main Force of the 25th Army (the Main Force of the 18th Division, part of the 5th Division, and the 1st Regiment of the Imperial Guard) will assemble in Taiwan and the Guangdong (Canton) around X+15 (23rd of December) or X+18 (26th of December), and land at Singora and Pattani around X+26 (2nd of January).
Part of the Imperial Guards Division will land near Singora from the Saigon area after X+25.
The 2nd Regiment of the Imperial Guard, from Hainan Island or South China, will land in the direction of Singora on X+50 (27th of January).
56th Division, assembles at Moji, lands at Kuantan and Mersing around X+60 (6th of February), depending on circumstances.
3rd Regiment of the Imperial Guard, from Hainan Island or South China, will land at Singora (or Mersing, depending on the situation) on X+60.
33rd Division (15th Army) lands at Southern French Indochina from South China and advances to Thailand by land.
The above is a rough estimate of the situation before the war began, and detailed agreement of the local Army and Navy regarding the escort of these convoys had not been made by the outbreak of the war, and the landing date of the 33rd Division had not been decided yet.
In view of the smooth progress of operations in the early stages of the war, the Southern Army studied the measures to promote the attack on Malaya, and on the 13th of December decided on the plan outlined below, and immediately began coordination and consultation within the Army Department and with the southern units: (34-64)
1 On the 25th of December, the Main Force of 2 Battalions of the 18th Division will be landed at Kuantan.
2 Around the 17th of January, the main force of the 18th Division was to be landed near Endau and Mersing.
In the meantime, by about the 16th of December, the 25th Army had already occupied the Kedah region, and its leading forces were poised to approach Penang Island. On the 17th of December , the 25th Army also drew up a plan of operations with some modifications to the default plan and submitted a revised plan to the Army Headquarters through the Southern Army. (190) The main thrust of this revised plan was to capture Singapore by the 11th of February with the Imperial Guards Regiments and the 5th and 18th Divisions, without waiting for the arrival of the 56th Division, which was much shorter than the pre-war plan which set the approximate target date of the 10th of March: Army Day.
On the 20th of December, the Navy General Staff, which had learned of the 25th Army's request to change its operational plan through a communication from the Army Department at the Imperial General Staff, reported to the Chiefs of Staff of the Combined Fleet, the Southern Force and the Malaya Seizure Force by the name of the First Director of Navy General Staff on this issue, as follows: (34)
1 Regarding the future operational guidance of British Malay, the command of Fugakusha (author's note: 25th Army) Headquarters submitted to the Army General Staff on the 18th of December the following opinions, and the Army General Staff agreed with them:
A) The Takumi Detachment will occupy AF (author's note: Kuantan) between the 28th of December and the 3rd of January.
B) The 18th Division will be on standby at Singora by the 3rd of January, and will land at Mersing between the 8th of January and the 13th of January, after results have been achieved in naval and air operations.
2 In response to the above, the Navy General Staff replied that although they were in complete agreement on the basic policy to facilitate the attack, the implementation of this policy was left to the local commanders. Before the landing at Mersin, the airfields at Kuantan and Kuching must be occupied, and it is absolutely necessary that friendly planes should be able to operate there, taking into consideration the situation of the aerial bombardment of the area, the movements of the enemy's maritime forces, the weather and other factors at the time of landing, the landing point, etc.
![]() |
Vice Admiral Kondo led the Main Body of the Southern Force out of Camranh Bay on the 20th of December in support of the Main Force of the 14th Army's landing operations at Lingayen Gulf. For this reason, he delegated to Vice Admiral Ozawa the local Army and Navy agreement on the subsequent Malayan operation, and on the 22nd of December, he telegraphed the
following opinion of the Commander of the Southern Force to the Malaya Seizure Force Commander: (34)
We have no objection to the policy of accelerating the battle for Malay to conquer Singapore as quickly as possible. However, if this requires a greater increase in naval strength than planned it is necessary to consider this matter more carefully. In particular, it is not advisable to change plans in one direction and rush into the battle of Sumatra, unless the operation in the E direction (author's note: the Malaya direction) can be carried out very easily. We consider it our first priority to destroy as many enemy naval forces as possible before the decisive force moves south. For this reason, the Southern Campaign is to be promoted in parallel with the Malaya and the Dutch East Indies, and together with the advance of submarine forces into the Indian Ocean, we intend to destroy both enemy forces and key areas in an encircling operation.
At that time, the Philippine Seizure Force had just captured Davao on the 20th , which was scheduled to be taken on the 14th of December, and the occupation of Jolo had not yet been completed, and the Land Based Air Force had not yet advanced to the Southern Philippine bases. In addition, during the 2nd Phase of the operation, the Southern Force Submarine Force was planned to be deployed in the vicinity of the Dutch East Indies and in the Indian Ocean to cut off the retreat routes and reinforcements of the Allied forces. However, the 2nd Phase of the Combined Fleet had not yet been activated and the submarine force was either deployed in the 1st Phase of the operation or at Camranh Bay. Therefore, the Southern Forces feared that the progress of the east and west operations would be unbalanced, and that only the Malayan campaign would progress too far before the envelopment posture against the Allied forces was ready.
The Army-Navy agreement on the subsequent Malayan campaign was carried out at the Heavy Cruiser CHOKAI in Camranh Bay on the 22nd of December. (33-34-64-135) From the Army side, Lieutenant General Seiichi Aoki, Assistant Chief of Staff Southern Army Headquarters, Colonel Masami Ishii, Chief of Staff of the Imperial Guard Regiment, Colonel Hisashi Takeda, Chief of Staff of the 18th Division, Lieutenant Colonel Minoru Miyako, Chief of Staff of the Army 3rd Air Division, and from the Navy side, Vice Admiral Ozawa and his staff, and the Chief of Staff of the 22nd Air Flotilla. The agreement was signed the following day the 23rd . The main points of the agreement were as follows, the details of which are given in each section:
1 Kuantan Landing (Operation O):
On the 31st of December, 2 battalions of the 18th Division's core forces were to land at Kuantan.
2 Landing Operation Endau and Mersing (Operation S):
The main force of the 18th Division is landed in the direction of Endau and Mersing around X+40 (17th of January).
3 Landing of the 25th Army:
The main force of the 25th Army, was to be landed at Singora and Pattani around X+25 (2nd of January). But because the 18th Division was to be landed at Pea and Mersin, this force had to be landed in the direction of Singora around the 7th of January.
4 Landing of part of the 15th Army:
By this time, it was expected that half of the 33rd Division and the troops directly under the command of the 15th Army would be able to reach Mako by about the 28th of December. These Force will leave Mako at the same time as the 25th Army and land at Saint-Jacques on the 5th of January.
Malaya Seizure Force is augmented with new units
On the 23rd of December, at 1200, Vice Admiral Ozawa issued the Malaya Seizure Force Order nº 63, ordering them to be deployed to the 2nd Phase Formation after the 1200, on the 24th of December, and instructing on the actions of the Malaya Seizure Force units on the 2nd Phase of operations. (107-155-169) At the time, the Kuching Operation had been postponed to the 24th, and the Kuching operational units were on their way. The Classified Order nº 1 of the Combined Fleet stated that "the 1st Phase of operations should be divided as follows and their conversion should be specially ordered". However, the time of the Kuantan Landing Operation and the landing of part of the 25th Army at Singora was imminent, and if the surface units were not deployed to the 2nd Phase of Operations, the 2nd stage of operations of the Malaya Seizure Force would be hindered. For this reason, Vice Admiral Ozawa ordered the conversion to the 2nd Phase deployment prior to the launch of the Combined Fleet Order. However, it was decided that the forces attacking British Borneo should continue their present duties for the time being. (24)
Malaya Seizure Force Telegram nº 63, December 23, 1200:
1 Time to deploy to the 2nd Phase of Operations: 24th of December, 1200.
2 During the operational deployment to the 2nd Phase of Operations the following changes will be made (author's note: the modified 2nd Phase of Operations Deployment is shown at table 68)
3 During the operational activities of each Force, the following changes were made:
A)By a Specific Order, on X+21, the 1st Escort Force will escort 2 Battalions (18th Division) to land at Kuantan from Singora at around 0000 on X+23.
B) The 2nd Escort Force will escort 55 Transports with forces from the 25th and 15th Armies and land at Singora from Saigon respectively.
C) The Commander of the 12th Destroyer Division will also, until further notice, command the 12th Destroyer Division, the 1st Minesweeper Division (2
Minesweepers) and the 11th Subchaser Division (1 Subchaser) and continue the previous mission569.
D) On the 24th, 1800, the Commander of the 7th Cruiser Division relieved the Light Cruiser KINU of his duties, and sent him to Camranh Bay, the 4 Heavy Cruisers of the 7th Cruiser Division advance to the east of Malaya after the "KU" Operation (author's note: Kuching Operation) and support Convoy Escort.570
4 The 2nd Air Force was assigned to guard the convoy and on the 25th, after 1800, the Auxiliary Seaplane Carrier KAMIKAWA MARU (42936) sailed from Miri to Camranh Bay.
5 The Commander of the 1st Air Force, depending on the enemy situation in the Kuching Operation, will have the Miri Detachment attack Tarakan and return to Saigon.
6 The Training Cruiser KASHII, the Escort SHIMUSHU, and the 3rd Destroyer Squadron (2 destroyers571) left Camranh Bay on the 24th and sailed for Mako.
7 The Auxiliary Oiler KUROSHIO MARU (45674) will sail from Mako to Singora under the command of the Commander of the 5th Destroyer Squadron to supply the Convoy Escorts and Base Forces.
Assignments of Destroyers and other vessels in the 2nd Phase of Operations are as follows: To the Main Body of the Malaya Seizure Force:
Destroyer URANAMI of the 19th Destroyer Division.
To the Main Body of the Escort Force:
Destroyers FUBUKI, SHIRAYUKI and HATSUYUKI of the 11th Destroyer Division.
The number of destroyers in this unit was originally 4, including the Destroyer SAGIRI, but this number was reduced to 3 when she was sunk on the 24th.572
To the 1st Escort Force:
Destroyers AMAGIRI, ASAGIRI and YUGIRI of the 20th Destroyer Division, Destroyer SHIKINAMI of the 19th Destroyer Division, the Minesweepers W-1 and W-4 of the 1st Minesweeper Division and Subchaser CH-9 of the 11th Subchaser Division.
To the 2nd Escort Force:
Destroyers ISONAMI and AYANAMI of the 19th Destroyer Division.
However, the 12th Destroyer Division (Destroyers MURAKUMO and SHIRAKUMO) was excluded from the 2nd Disposition of the Malaya Seizure Force due to the Kuching Operation.
569These are the forces assigned to the Kuching operation: Commander Ogawa Nobuki was in charge of the Destroyers MURAKUMO and SHIRAKUMO, the Minesweepers W-3 and W-6 and Subchaser CH-7.
570These had to be a very brief and distant support to the Army Convoy going to Kuantan. The 7th Cruiser Division departs from Kuching on the 27th and arrives at Camranh Bay on the 29th.
571The 1st Section of the 19th Division ISONAMI and AYANAMI.
572Apparently the Destroyer Sagiri position had already been changed from the direct escort of the Main Body of the Malaya Seizure Force (Heavy Cruiser CHOKAI) to the escort of the Main Body of the Escort Force (7th Cruiser Division). It’s possible that being with the Kuching Operation is already a reflection of these change. See footnote 538.
![]() |
Notes:
(1)Destroyer Uranami from the 2nd Section of the 19th Destroyer Division.
(2)Heavy Cruisers Mogami, Mikuma, Kumano and Suzuya.
(3)Destroyers Fubuki, Shirayuki and Hatsuyuki from the 11th Destroyer Division.
(4)On the original the number is 9 but this is a mistake that is still counting with the Destroyer Sagiri, sunk on the 24th of December. These mistake was not made in relation to the Main Body of the Escort Force. Light Cruiser Sendai, Destroyers Amagiri, Asagiri and Yugiri from the 20th Destroyer Division. Destroyer Shikinami from the 2nd Section of the 19th Destroyer Division. Plus the 3 destroyers assigned to the Main Bodie of the Escort Force.
(5)Minesweepers W-1 and W-4 from the 1st Minesweeper Division.
(6)Subchaser CH-9 from the 11th Subchaser Division.
(7)5th Destroyer Squadron: Light Cruiser Natori; 5th Destroyer Division (Destroyers Harukaze, Hatakaze, Asakaze and Matsukaze) and 22nd Destroyer Division (Destroyers Fumizuki, Satsuki, Nagatsuki and Minazuki).
(8)Destroyers Asashio, Oshio, Michishio and Arashio.
(9)Destroyers Isonami and Ayanami from the 1st Section of the 19th Destroyer Division.
(10)4th Submarine Squadron: Light Cruiser Kinu; 18th Submarine Division (Submarines I-53, I-54 and I- 55), 19th Submarine Division (Submarines I-56, I-57 and I-58) and 21st Submarine Division (Submarines RO-33 and RO-34).
(11)Minesweeper W-1 from the 1st Minesweeper Division.
Situation at the beginning of the 2nd Phase
On the 24th of December, the Imperial Japanese Navy General Staff573 issued the following summary of the Allied troop movements: (191)
1 The United Kingdom has made the defence of Singapore its immediate objective and is busily working on countermeasures but have abandoned the forced counterattack strategy of sending battleships into the South China Sea again and appear to be taking measures aimed at securing control of the Indian Ocean, as well as aiming for opportunities for surprise counterattacks by light vessels, submarines and aircraft.
2 Naval vessels judged to be operating in the Malayan Sector:
Cruisers: HMS GLASGOW, HMS MAURITIUS, HMS DAUNTLESS, HMS DURBAM,
HMS DANAE, 1 HMS ARETHUSA Class (2 HMS LONDON Class armoured cruisers are possibly also operating).
Submarines: 5 Dutch and at least 1 British. Destroyers: 8
3 Situation in the Indian Ocean:
A) Battleship HMS REVENGE sailed from Colombo on the 5th of December, destination unknown.
B) Battleship ROYAL SOVEIGN arrived at Simon's Town (South Africa) on the 15th of December.
C) The battleship KING GEORGE V, RENOWN, are in the United Kingdom.
D) 2 of the aircraft carriers HMS EAGLE, HMS HERMES and HMS FURIOUS appear to be engaged in protecting naval traffic in the Indian Ocean and transporting aircraft to Malaya.
E) Naval deployments:
Colombo Sector: 2 A-cruisers, 2 B-cruisers and 3 destroyers. 574
Bombay: 3 A-cruisers, 1 B-cruiser, 3 destroyers.
Mombasa (Southern Kenya): 1 A-cruise, 3 B-cruise and 3 destroyers. Aden area: 1 Submarine
4 Previously, there were 24 submarines in the Mediterranean, but half of these may be reinforcing the Malaya area by the end of December.
573These information must have its origin in the 3rd Department (intelligence), 8th Section (UK and Europe).
Earlier, according to our Land Based Reconnaissance, 2 cruisers, 2 destroyers and 2 submarines were sighted in Singapore on the 18th, and on the following day 1 light cruiser and 4 destroyers were seen. Thereafter, no reconnaissance of Singapore was possible until 24th December. However, in the South China Sea, on consecutive days, reconnaissance did not detect any Allied naval vessels. Vice Admiral Ozawa did not recognize any sign of a build-up of surface forces from the Indian Ocean Sector, and judged that, apart from a surprise counterattack by light naval vessels, there was little chance of a large-scale counterattack by surface forces.
Meanwhile, the advance forces of the 25th Army advanced about 200 kilometres south of the Malaya border and occupied Taiping (see Illustration nº 42) on the 23rd, and the 3rd Army Air Division continued to exert heavy pressure on the Royal Air Force. The Royal Air Force was forced to engage in defensive operations and was deemed to lack the strength to attack our fleet and surface forces at sea. However, as shown by the ongoing campaign against British Borneo, it is clear that if our air forces are not strong enough, they will launch aggressive counterattacks locally. As for submarines, even greater vigilance was required. Already there were signs that Allied submarine operations were finally intensifying, as submarine damage had begun to occur in many areas. In addition, if the 12 or so submarines in the Mediterranean were to be reinforced according to information from Navy General Staff, our fleet was expected to face a serious threat.
Operational problems
Both the Southern Force and the Malaya Seizure Force judged that the 2nd Phase of the Campaign would proceed without much difficulty, taking advantage of the momentum from the 1st Phase of the campaign. However, at the beginning of the 2nd Phase of the Campaign, in addition to the joint Army and Navy operations already mentioned, there were some other problems as described below:
1 The Southern Force Air Force cancelled its advance to British Borneo:
As already mentioned, the strategic value of Kuching Airfield was great, and the Southern Force Air Force was planning to advance the full strength of the KANOYA Naval Air Group and half the strength of the TAINAN Naval Air Group to Kuching and Miri after the completion of the air defeat of the Philippines. For this purpose, the command planned to send ships to Takao to transport base personnel and base property as follows:
Miri: Auxiliary Transport HINO MARU nº 5 (47572), 2nd of January 1942; Auxiliary Aircraft Transport KAMOGAWA MARU (44513), 5th of January 1942.
Kuching: Auxiliary Transport HINO MARU nº 5 (47572), 14th of January 1942; Auxiliary Aircraft Transport KAMOGAWA MARU (44513), 21st of January 1942.
Seeing the results of the Battle of Malaya and the rapid progress of the Army's air and land operations in the Malayan area, Vice Admiral Tsukahara, Commander of the 11th Air Fleet, and the Commander of the Southern Force Air Force, judged that the air force of the Malaya Seizure Force alone was sufficient for air operations in this area, and that there was no need to reinforce the air force from the Philippine sector as planned575. As a result, around the 20th of December, he proposed to the Southern Force and the Combined Fleet to cancel the plan to advance the KANOYA Naval Air Group and other units to Kuching and Miri Air Bases and received the approval of the Combined Fleet. (102)
Earlier, on the 16th of December, Miri Airfield was occupied, but contrary to expectations, the condition of the airfield was poor. Kuching Airfield, which was captured on the 25th of December, was also unsuitable as an operational base for a large force. It was before the capture of Kuching that the advance of the air force of the Southern Corps was cancelled.
575The reinforcement in question is half of the KANOYA Naval Air Group.
2 Assignment of Aircraft Carriers and Flying Boats to the Malaya Seizure Force:
On the 24th of December, Vice Admiral Ozawa submitted a request for the assignment of aircraft carriers and flying boats by the Combined Fleet and the Southern Force. The aircraft carriers requested by Vice Admiral Ozawa were probably some of the main aircraft carriers returning from the Hawaii Operation. However, the Combined Fleet seems to have rejected both of these requests. As already mentioned, on the 26th of December Vice Admiral Kondo transferred the 4th Carrier Division (with the small aircraft carrier RYUJO as its backbone) from the Philippine Seizure Force to the Southern Force Main Body, and on the 3rd of January transferred it to the Malaya Seizure Force. However, this was a measure based on a predetermined plan and not on a request from the Vice Admiral Ozawa. (56-135)
Reference
Rear Admiral Ugaki, Chief of Staff of the Combined Fleet, wrote in his diary (26th of December): "The Southern Fleet has requested the dispatch of an aircraft carrier, but it would be extremely dangerous to proceed to this area with an aircraft carrier against the enemy's full strength and enemy aircraft, and there is no spare force to dispatch.”
3 Depth Charge protection on small ships:
Since the outbreak of the war, many small vessels had been sunk by induced detonation of depth charges and mines such as the destroyers of the 6th Destroyer Squadron at Wake Island576 and the minesweepers at Aparri577 and Vigan578. For this reason, on the 20th of December, the Chief of the Staff of the Combined Fleet urged caution that "sandbags should be used to protect the mines and other explosive objects against the strafing by aircraft". (151) Therefore, on the 22nd of December, Vice Admiral Ozawa ordered the Repair Ship ASAHI at anchor in Camranh Bay to carry out the work of attaching bombproof plates to the destroyers of the 3rd Destroyer Squadron. (151)
576According with Combinedfleet.com, the Destroyer HAYATE of the 29th Destroyer Division was sunk after “a 5- inch/51 calibre shell most likely struck HAYATE's nº 2 or nº 3 torpedo tubes aft and destroyed the vessel. “(Allyn Nevitt with Anthony Tully). The Destroyer KISARAGI “came under air attack. About 0537 a bomb struck which blew off most of her bridge. At 0542 she upended sharply and sank” with all hands. (Allyn Nevitt with Anthony Tully). On both cases at the time the loss was attributed to induced explosions of Depth Charges.
577Minesweeper W-19.
578Minesweeper W-10.
2 Kuantan Surprise Landing (Operation Q)
Army-Navy Agreement and Operation Plan
In response to the Operation of the southwards advance of the Main Force of the 25th Army along the west coast of the Malaya Peninsula, it was planned to land some of its troops on the south-east coast of the peninsula to facilitate the capture of Singapore. This was a concept of the Southern Army even before the outbreak of the war, and as already mentioned, the plan was to land the 56th Division around X+60 (6 February) in the direction of Kuantan and Mersing, depending on the situation. The value of Kwangtung Airfield had also been noted by the Southern Army from an early date. The airfield was only 270 kilometres from Singapore, so it could be used not only as a powerful base for attacking Singapore, but also as an attack base against southern Sumatra. The Southern Army, which had made good progress since the outbreak of the war, planned the early capture of Kuantan Airfield as part of its strategy to promote the Malaysian campaign, as mentioned above. The outline of the plan was that 2 battalions of the 18th Division aboard 2 high-speed transports, plus the necessary airfield construction troops, would land at Kuantan in the middle of the night of 25 December and raid and capture the airfield.
The plan was to have part of the Army 3rd Air Division assist in this operation, and to have the Takumi Detachment, which was advancing south along the east coast of Malaya, advance to Kuantan as soon as possible. The 18th Division was chosen as the landing force because the 56th Division was not able to advance in time, and because the 18th Division, which had originally planned to attack Penang Island, found that its defences were unexpectedly weak and that part of them could be diverted to the Kuantan landing operation.
This plan was approved by General Count Terauchi on the 13th of December. In order to implement the plan, the Southern Army immediately began to make adjustments within the Army General Staff, and on the 14th notified the Southern Force and the Malaya Seizure Force and asked for their cooperation. (34)
The views of the Navy General Staff and the Southern Force on the Army's plan to promote the attack on Malaya, including the landing at Kuantan, are as mentioned above. In addition, the views of the of the Malaya Seizure Force Commander on the Kuantan landing operation were as follows: (154)
1 The destruction of the British Air Force has not yet completed and the remaining strength of the British Eastern Fleet is still intact. If we land at Kuantan, which is only 270 kilometres from Singapore, it is inevitable that the convoy will be attacked by aircraft, and it is also probable that the British surface force will counter-attack.
2 Regardless of the number of transports to be used, it is necessary to reinforce the escort forces, but in connection with other operations there is no room to deploy a large number of escort forces.
3 Therefore, as a precondition for the landing, the first priority is to neutralize the air force in the Singapore area, which would require a minimum of 5 air attacks. Therefore, the landing on the 25th of December would be difficult, and it would be necessary to postpone to the 31st of December or later.
In contrast, the Southern Army was determined to make a landing, and even if it could not obtain a naval escort, it was willing to carry out the landing on its own. However, the distance between Kota Bharu and Kuantan was 200 nautical miles, and even with a 15 knot speed transport it would take about 13 hours to make the one-way trip. Even if they entered the anchorage at night and made a rapid landing, it was inevitable that the fleet would be discovered and attacked. The Malaya Seizure Force opposed this as an outrageous act of rushing into the sea under the enemy's control. For this reason, the Southern Army accepted the claim of the Malaya Seizure Force and changed the plan to land on the 31st of December after the air attack on Singapore and signed the following agreement on the 23rd of December. (34)
Memorandum of Agreement on Landing Operations at Kuantan
1 Joint Operation Policy:
In close cooperation with the Army and Navy, we will attack the enemy air force and naval ships in the Singapore area, and raid and capture the enemy airfields in the vicinity of Kuantan.
2 Forces Employed:
A) Army:
2 Infantry Battalions of the 18th Division as the Main Force, accompanied by the necessary air units.
Terengganu: A part of the 18th Division moves southward by land in the Terengganu Sector.
Air force: About half of the Army 3rd Air Division.
B) Navy:
Malaya Seizure Forces (Including a large part of the 1st Air Force).
3 Landing Point:
15 nautical miles north of Cape Tembeling.
4 Date of arrival and departure of transports at assembly point: 2 transports (14 Knots).
Assembly point, date of arrival and date of departure:
1st rendezvous point: Saint-Jacques, until X+15, X+18. 2nd rendezvous point: Singora, until X+20, X+21.
5 Landing Procedure:
A) Prior to the day of landing, the Army and Navy Air Forces will destroy the enemy air forces at Singapore, Kluang, Kahang, Batu Pahat, Kuantan and enemy vessels at Singapore.
B) Departing from Singora 2 days before the landing day and ancher in the vicinity of Kuantan at midnight on the landing day, the landing is completed by 2 surprise landings.
C) The date of landing will be changed according to the enemy situation and other circumstances at the time and will be decided by the Commander of the Malaya Seizure Force and the Commander of the 25th Army in consultation by 1200 on the day before the landing.
6 Naval Escort and Landing Cover:
A) Naval escort is the responsibility of the Navy:
Direct Escort Force: Part of the 3rd Destroyer Squadron.
Indirect Escort Force: Naval units other than the direct escort force.
B) The Army is responsible for air defense against the convoys.
7 Air Bases Areas:
Kota Bharu and Kuantan airfields are shared by the Army and Navy and are under the control of the Army.
8 Communications:
A) The Navy will control the radio signals after the Transports arrive at the assembly point.
B) The Navy will cooperate with the landing parties as required.
9 Supply:
The Navy will provide indirect cover for the supply of troops, which will be carried out mainly by Naval Transports.
10 Detailed Agreement:
A) On or about X+17, an agreement will be made between the Commander of the 3rd Destroyer Squadron and the Commander of the Landing Force, and if necessary, a supplementary agreement will be made at Singora.
B) The details of air operations are to be discussed and decided between the Commander of the Army 3rd Air Division and the Commander of the 22nd Naval Air Flotilla.
Based on the above agreement between the Army and the Navy, Vice Admiral Ozawa issued the following outline for the implementation of the Operation Q on the 24th of December by means of the Malaya Seizure Force Order nº 13: (151)
1 The 1st Escort Force will escort the Army Auxiliary Transports from Saint-Jacques to Singora and land the Army forces at Kuantan. In addition, part of the force will be used to transport the base property of the 1st Air Force from Saigon to Kota Bharu, and to escort the Auxiliary Aircraft Transport FUJIKAWA MARU (45067), also of the 1st Air Force, between the 2 areas.
2 The Main Body of the Malaya Seizure Force will support the 1st Escort Force, and the Main Body of the Escort Force will be left in charge of its support after the completion of the Kuching Operation and replenishment at Camranh Bay.
3 On the 26th of December the 1st Air Force will advance a squadron of fighters to Kota Bharu, and on or about the 29th, in cooperation with the Army 3rd Air Division, will commence air operations against the Singapore area.
4 The 2nd Air Force will be responsible for the anti-submarine alert of the convoy during the round trip from Singora and Kuantan.
5 A part of the submarine force will be deployed in the vicinity of the Anambas Islands to support the landing, and one ship will be assigned to weather reconnaissance of the Kuantan area on the day before the landing.
On the same day, the 1st Escort Force Commander, Rear Admiral Hashimoto, signed a memorandum of understanding on the details of Operation Q with the Commander of the 55th Infantry Regiment, Colonel Hiroshi Koba, and issued the 1st Escort Force Order nº 5 for this operation.
The detailed agreement between the Army 3rd Air Division and the 1st Air Force on the air operations of Operation Q was held at the group headquarters in Sungei Patani on the 25th. Attending from the naval side were liaison officer Commander Inoguchi Kaneo and Lieutenant Commander Mase Takeharu 579 , chief of staff of the 22nd Air Flotilla. As It was already mentioned, the Navy side was originally reluctant to take part in this operation, but when it was met with the strong insistence from the Southern Army on carrying it out, they insisted that it was necessary to carry out a 5 strike air attack on the Singapore area before the landing, and had the landing postponed for 6 days. Lieutenant General Michihiro Sugawara, Commander of the Army 3rd Air Division, also claimed that Operation Q was a reversal of purpose and means (Note: the ultimate objective of Operation Q was an air attack on Singapore, and the direct objective of Operation Q was to acquire bases for this purpose, in other words, a means to achieve the ultimate objective, but attacking Singapore for Operation Q was a reversal of the objective and means). He was of the opinion that inadequate preparation and inadequate force orientation would increase the probability of attrition. (148) However, as the basic policy of the operation had already been agreed between the Southern Army and the Malaya Seizure Force and the following agreement was concluded with the respective intentions of both parties. (34-148-154)
579Lieutenant Commander Mase Takeharu (57th Class) can also be spelled as Mase Takeji.
Summary of the Air Operations Agreement for Operation Q 1 Forces to be Used:
A) Army:
The 3rd Army Air Brigade: 1 Reconnaissance Squadron, 1 Fighter squadron, 2 Light Bomber Squadrons, total 66 Aircraft.
The 7th Army Air Brigade: 1 Reconnaissance Squadron, 1 Fighter Squadron, 2 Heavy Bomber Squadrons (1 more Squadron to be added depending on the situation), total approx. 70 Aircraft.
The 12th Army Air Brigade: 97th Fighter Group: approx. 68 Aircraft. 83rd Army Air Group: approx. 12 Aircraft.
B) Naval:
Land Based Attack Aircraft (Saigon, Thu Dau Mot Air Base): 54 Aircraft. Zero Fighters (Kota Bharu Air Base): 15 Aircraft.
Land Based Reconnaissance Aircraft (Kota Bharu Air Base): 5 Aircraft.
2 Assignment of attack areas:
A) Army:
Kallang Airfield, Tengah Airfield (both in Singapore)580, Light Bomber Squadron at Kluang and Kahang defensive lines (about 100 kilometers northwest of Singapore).
B) Naval:
One of the Seletar or Sembawang Airfields and naval vessels. In the event that both airfields have aircraft, the Army will attack Sembawang Airfield.
3 Date and Time of attack:
The time of attack will be 1400 (one attack per day) with the Army and Navy attacking simultaneously. The 1st attack being scheduled for the 29th of December.
4 Others:
A) Weather report:
1) Time of weather report 0400, 2100
2) The weather report is reported from the Headquarters of Reconnaissance Aircraft.
B) Army bases:
3rd Army Air Brigade: Sungai Petani, Ipoh
7th Army Air Brigade: Kota Bharu, Kuala Besut, Alor Setar, Tanah Merah. 12th Army Air Brigade, Kota Bharu, Kuala Ketil (or Kuala Besut).
580Illustration nº 30.
Operational Readiness
At 2350 on the 22nd of December, Vice Admiral Ozawa ordered Rear Admiral Hashimoto to "dispatch 1 destroyer to Saigon in the morning of the 24th of December to transport base personnel and stores of the 1st Air Force to Kota Bharu". Rear Admiral Hashimoto assigned the Destroyer AMAGIRI to this task and also ordered the Destroyer SHIKINAMI to escort the Auxiliary Aircraft Transport FUJIKAWA MARU (45067) to Kota Bharu to transport base personnel and stores. (155)
The Destroyer AMAGIRI left Camranh Bay on the 23rd, loaded base personnel and stores at Saigon on the 24th, and departed there in the evening, arriving at Kota Bharu at 0915 on the 26th. She completed her unloading in about 2 hours and arrived at Singora, at 2000 that night. The Destroyer SHIKINAMI, escorting the Auxiliary Aircraft Transport FUJIKAWA MARU (45067), left Saint-Jacques on the 26th of December and arrived at Kota Bharu on the 27th of December, at 1935. Rear Admiral Hashimoto led the Light Cruiser SENDAI and the Destroyers ASAGIRI and YUGIRI, escorting the Landing Craft Depot Ship RYUJO MARU (900)581 and the Auxiliary Transport ASAKASAN MARU (840) with the Koba Detachment582 aboard, leaving Saint Jacques at 1900 on the 25th of December and arriving at Singora at 1915, on the 27th of December. In addition, the Minesweepers W-1 and W-4 and the Subchaser CH-9 were on standby at Singora. (155) Therefore, the full strength of the 1st Escort Squadron and the Koba Detachment had completed their advance to Singora and Kota Bharu by the evening of the 27th.
Rear Admiral Yoshitomi, Commander of the Submarine Force, assigned the task of supporting Operation Q to the 21st Submarine Division (Submarines RO-33 and RO-34). Submarine RO- 33 was given this mission on the 21st while on patrol in the East entrance of the Singapore Strait after departing from Camranh Bay, while Submarine RO-34 arrived at Camranh Bay from the inland sea on the 24th, and on the 28th was scheduled to sail from the bay in support of Operation Q. (162-175)
The advance crews of the Air Assault Force C advanced to Kota Bharu Air Base by transport aircraft on the 24th of December to begin base preparations. The next day, 3 Zero fighters from Miri Air Base returned to Soc Trang. 19 Zero Fighters and 5 Land Based Reconnaissance Aircraft, with the help of transport aircraft, advanced from Soc Trang to Kota Bharu on the 26th, awaited the unloading of the Destroyer AMAGIRI which arrived that morning and the Auxiliary Aircraft Transport FUJIKAWA MARU (45067) which was due to arrive on the 27th, and began preparations for the attack on Singapore from the 29th onwards. (109-155)
Meanwhile, the Heavy Cruiser CHOKAI, the Main Body of the force supporting Operation Q, was in Camranh Bay since the 20th and the 1st Section of the 7th Cruiser Division returned to Camranh Bay from Kuching on the 27th while the 2nd Section of the 7th Cruiser Division had just left Kuching for Camranh Bay at 1400 on the 27th. (149)
Cancellation of the operation
Prior to this, some 110 aircraft of the 7th and 10th Army Air Brigades of the Army 3rd Air Division carried out an attack in the Rangoon sector on the 23rd of December. The group achieved great success in this attack, but lost 6 Heavy Bombers, another 1 crash landed. The attack was carried out again on the 25th with about 150 aircraft, and in this attack the group lost 3 Heavy Bombers and 5 Fighters, and 1 Heavy Bomber crash landed. (154) For this reason, the Chief of Staff of the Army 3rd Air Division was ordered to send a letter to the 1st Air Force at 1955, on the 26th of December and stating that the group had lost 3 Heavy Bombers and 5 Fighters: (154)
Due to the reduction in force following the attack on Rangoon and the progress of airfield maintenance, the forces to be used in the draft agreement for Operation Q have been revised from 6 Squadrons of Heavy Bombers to approximately 3 Squadrons of Heavy Bombers of the Army 7th Air Brigade.
As a prerequisite for Operation Q, the Malaya Seizure Force was concerned about the effectiveness of the air attack due to the reduction by half of the Army's heavy bomb squadrons, because it had to control the enemy air force and naval ships in the Singapore area. For this reason, the Chief of Staff of the Southern Fleet Commander Naitou Yuu583, and Commander Kouma Masayoshi the Chief of Staff of the 22nd Naval Air Flotilla, appeared
before the Southern Army on the 27th and lodged a protest against the reduction of the heavy bombers by half. (147)
581Also Known as SHINSHU MARU. Not to be confused with the Army Auxiliary Transport SHINSHU MARU (464) that at this time is at the Lemon Bay Landing.
582Colonel Hiroshi Koba, Commander of the 55th Infantry Regiment.
58352nd Class.
In addition to the damage sustained in the attack on Rangoon, the Army 3rd Air Division also suffered with the problem of "wrinkles" on the wings of its set of fighters when the 64th Army Air Group engaged British aircraft at Kuala Lumpur on the 22nd of December, and the rapid southward advance of the 25th Army meant that the frontline air bases were inadequately equipped with fuel and materials. However, according to the Land Based Reconnaissance Aircraft of the same group, it was found that the Takumi Detachment was already 20 kilometers from Kuantan on the 26th. The Commander of the Army 3rd Air Division therefore submitted his opinion to the Southern Army in the evening of 27th that Operation Q should be cancelled. (147-154)
Meanwhile, the 25th Army also received the order of Operation Q, but the Commander was inclined to think that the Takumi Detachment should play the leading role in the capture of Kuantan rather than the Koba Detachment. The 25th Army, which received the above report of the Land Based Reconnaissance Aircraft, also reported to the Southern Army on the evening of the 27th that the landing of the Koba Detachment should be cancelled. (34)
The Southern Army considered the countermeasure. Among the staff of the General Headquarters, there were some who insisted on forcing Operation Q, saying that "such a protest or suggestion was the result of the Navy losing confidence because of the Kuching campaign and the Army 3rd Air Division suffering heavy losses in Rangoon". However, in view of the forthcoming full-scale attack on Singapore, the Army 3rd Air Division could not be forced to carry out the air attack of Operation Q, and judging from the situation where the Takumi Detachment was already closing in on Kuantan, the Southern Army finally decided to cancel Operation Q. (64)
In the middle of the night of the 27th, the Southern Army General Staff made a request to the Malaya Seizure Force to “cancel Operation Q and to have the Koba Detachment landing at Kota Bharu and the empty ships escorted to Camranh Bay”. (107) Vice Admiral Ozawa received this request at 0315 on the 28th, and immediately replied that he agreed with it, and issued the following orders to the Malaya Seizure Force at 1000: (155)
1 The Takumi Detachment will approach Kuantan by land, and Operation Q will be cancelled.
2 The 1st Escort Force will escort the Q Landing Force to Kota Bharu and after landing, empty ships will be sent to Camranh Bay.
3 The 2 minesweepers of the 1st Minesweeper Division and the Subchaser of the 11th Subchaser Division, should return to the 9th Base Force after the landing operations are completed.
4 The deployment of the Submarine Force off the coast of Q is cancelled.
Furthermore, he also ordered a destroyer of the 1st Escort Force to escort the Auxiliary Aircraft Transport FUJIKAWA MARU (45067) from Kota Bharu to Saigon. The ships of the 1st Escort Force proceeded as follows: (155)
Light Cruiser SENDAI and Destroyer YUGIRI departed from Singora at 0500 on the 29th and arrived at Camranh Bay at 0900 on the 31st.
Destroyer ASAGIRI escorted the Landing Craft Depot Ship RYUJO MARU (900), which had landed the Koba Detachment at Kota Bharu, via Singora to arrive at Camranh Bay on the 1st of January 1942.
Destroyer AMAGIRI escorted the Auxiliary Transport ASAKASAN MARU (840), which also had landed the Koba Detachment at Kota Bharu, via Singora to arrive in Camranh Bay on January 1.
Destroyer SHIKINAMI escorted the Auxiliary Aircraft Transport FUJIKAWA MARU (45067) from Kota Bharu to Camranh Bay on the 2nd of January.
The Minesweepers W-1 and W-4 and the Subchaser CH-9 remained at Singora throughout this period but returned to the 9th Base Force after completing landing operations. In addition, the Submarine RO-34 sailed from Camranh Bay at 1000 on the 28th. Rear-Admiral Yoshitomi, who received the order from Vice Admiral Ozawa, ordered the submarine, which happened to be in out port, to cancel Operation Q by signal, and later ordered the 21st Submarine Division to be newly deployed. (162)
Although the landing operation at Kuantan was cancelled, Vice Admiral Ozawa decided to carry out an air assault on Singapore in cooperation with the Army and ordered the 1st Air Force to carry out this operation, as all units were ready, and it was also the moonlight period. As stipulated in the Army Navy Agreement on Operation Q, the unit launched an air attack against Singapore on the 29th of December. The operation will be described later.
Thus, Operation Q, which had been initiated by the Southern Army, was finally cancelled, despite the diligent efforts to implement it. The main reason for this was that the southward advance of the Takumi Detachment had exceeded expectations and the landing of the Koba Detachment was no longer necessary. However, it can be said that there were many problems in the decisions, actions or cooperation of each unit shown in the process from the planning to the cancellation of this operation.
As far as the relationship between the Army and Navy was concerned, there were differences of judgement regarding the impact of the Allied air forces on the landing operations, as was the case with the Kota Bharu landings in the early stages of the war. In such a case, in a cooperative relationship which lacks the ability to integrate mutual views, inadequate understanding and easy compromise would have undermined cooperation. In this sense, this operation, in which the various units took on their own agendas, may contain many suggestions for Army-Navy cooperation and operational guidance.
Reference
Diary of Commander Inoguchi Kaneo, Liaison Officer to the Army 3rd Air Division: 22nd of December:
The Navy is not generally enthusiastic about this issue, even though it has already arisen since the recent talks. The Navy finally agreed to it, only when a concrete proposal was put forward. By delaying the date (Author's note: No description below).
25th of December:
The Army side does not agree with the Chief Of Staff Naitou's assertion that “5 strikes are required prior to landing". They are of the opinion that an attack on the previous day would be acceptable. This was the view taken at the time the question of the ratio arose. However, the text of the agreement also states that we will attack the S area before landing, so it is only natural that we should take the Army's view. (Author's note: S is for Singapore).
Diary of Major Misao Matsumae, General Staff, Southern Army
The naval staff said that at least five strikes would be necessary. The Army said that the Navy was afraid of surface ships, so we should hit the ships with the Navy's air force. The Army thought lightly that it should provide sufficient support. (Further omitted)
Those who disagree on the fundamental ideas of the agreements have the tendency to return directly to their original position on the slightest matter when implementing the agreements. Therefore, if there is a difference in fundamental thought, the best thing to do is to completely persuade one side to return to the only one's original thought when concluding an agreement, but if this is not the case, it is necessary to stipulate the details of implementation and make sure that the difficulties of implementing the agreement are fully confirmed.
The operations described in this section took place from the end of December to the beginning of January, when the convoys of the 25th Army and part of the 15th Army were escorted from Mako to Singora (25th Army) and Bangkok (15th Army).
5843rd Malaya Convoy.
Operational Preparations
The forces tasked with the direct escort of the convoy were the 2nd Escort Force of the Malaya Seizure Force, commanded by Rear Admiral Hara, and the 2nd Air Force, commanded by Rear Admiral Imamura. The 2nd Escort Force consisted of the following units: (102-103)
The 5th Destroyer Squadron: Light Cruiser NATORI.
The 5th Destroyer Division:
Destroyers HARUKAZE, ASAKAZE, MATSUKAZE and HATAKAZE.
The 22nd Destroyer Division:
Destroyers FUMIZUKI, MINAZUKI, SATSUKI and NAGATSUKI.
The 8th Destroyer Division:
Destroyers OSHIO, ASASHIO, MICHISHIO and ARASHIO.
The 1st Section of the 19th Destroyer Division: Destroyers AYANAMI and ISONAMI.
Training Cruiser KASHII. Escort SHIMUSHU.
Of the above, the 5th Destroyer Squadron was temporarily transferred from the Philippine Seizure Force and the 8th Destroyer Division was temporarily transferred from the Main Body of the Southern Force to the Malaya Seizure Force. Vice Admiral Kondo transferred the 8th Destroyer Division on the 23rd of December and the 5th Destroyer Squadron on the 25th of December to the Malaya Seizure Force. However, the day before that, the Malaya Seizure Force had transferred the 5th Destroyer Squadron to the 2nd Escort Force by Malaya Seizure Force Order nº 63. This discrepancy in timing was due to the procedural problem in that the Malaya Seizure Force issued the 2nd Phase of Naval Disposition before the Southern Force orders were issued.
When the local Army and Navy Agreement for the 2nd Phase of the operation was concluded at on the 23rd of December, Vice Admiral Ozawa at 1630, reported the summary of the agreement to all the departments concerned. (103) Among them, those related to this operation were as follows:
The 2nd Escort Force (5th Destroyer Squadron, 8th Destroyer Division, Light Cruiser KASHII, Escort SHIMUSHU and 2 destroyers of 3rd Destroyer Squadron) will escort 55 transports from Mako on X+23 and arrive at Singora on X+30 (about 13 transports arrived at Saint-Jacques around X+28).
On the 28th, Vice Admiral Kondo, at the Southern Force Order nº 40, presented the current operational guidelines for the Southern Force. (103) The following is an extract from this document with the relevant part to the present operation:
2 The commander of the Eastern Support Group is to assign the Heavy Cruiser MAYA and the 6th Destroyer Division (missing 2 Destroyers) 585 , to escort the transport convoys departing from Mako from the 31st of December until sunset on 2nd of January, after which they are to return to Mako.
3 4th Destroyer Division (missing 2 Destroyers), from around sunrise on the 3rd of January to noon on the 6th of January, after scouting for enemy submarines in front of the convoy, return to Camranh Bay.
4 Heavy Cruiser MAYA, 6th Destroyer Division (-2D) and 4th Destroyer Division (-2D), while engaged in the duties mentioned in the preceding 2 paragraphs, shall be under the command of the escort commander (5th Destroyer Squadron Commander).
Rear Admiral Hara, who was engaged in the main force of the 14th Army’s landing operation at Lingayen Gulf, led the Light Cruiser NATORI and the Destroyer MINAZUKI into port at Mako on the 26th of December. The other destroyers of the 5th Destroyer Squadron also assembled at Mako on the 28th 586.
On the 24th, the Training Cruiser KASHII, the Escort SHIMUSHU, the 1st Section of the 19th Destroyer Division’s AYANAMI and ISONAMI escorted the Auxiliary Oiler KUROSHIO MARU (45674) from Camranh Bay for Mako. On the 27th, at 1043, the Supply Ship NOJIMA was seriously damaged by a torpedo off the coast of Xiantuo587 in South China, and the 3 ships, except the Escort SHIMUSHU and the Auxiliary Oiler KUROSHIO MARU (45674), were ordered to rescue her. The 3 ships rushed to the scene, the destroyers were assigned to suppress the enemy submarine, and the KASHII escorted the wrecked Supply Ship NOJIMA to Hong Kong, and then all sailed to Mako.588 The Eastern Support Group was on standby in Mako at the time. Army transports were also assembled at Mako by the 30th. (103)
On the 29th, Rear Admiral Hara made a detailed agreement on this operation with Lieutenant- General Shozo Sakurai, Commander of the 33rd Division, and Major General Eikichi Sugiura, Commander of the 21st Infantry Brigade of the 5th Division and issued the Malaya Seizure Force, 2nd Escort Force Order nº 1 concerning this operation. (103)
On the same day, at the Heavy Cruiser ATAGO in Camranh Bay, the Southern Army and Southern Force carried out an operational agreement on the future Southern operations. As a result, it was necessary to make a few modifications to the operation plan, and the plan was partly revised as follows: (64-103)
1 Procedures for the escort of the Army Forces
The attack on Ambon in the Dutch East Indies was originally planned to be carried out around X+60 using Palau as an advance base with a part of the Ito Detachment (part of the 38th Division which participated in the attack on Hong Kong) or the Horii Detachment (part of the 55th Division which participated in the attack on Guam, etc.). For this purpose, the Philippine Seizure Force was planning to escort the Detachment with the 5th Destroyer Squadron from Hong Kong to Palau. In the Army-Navy Agreement of the 29th, it was decided that the Ambon attack should be carried out on X+48 (25th of January) with the Detachment based at Davao. However, the 5th Destroyer Squadron sailed back to Hong Kong after escorting the 25th Army and was not able to reach Davao in time for the Ito Detachment to advance. For this reason, Vice Admiral Kondo took the following measures on the 30th: (102-103-155)
A) On the 3rd of January, at sunset, the 1st Section of the 8th Destroyer Division (Destroyers OSHIO and ASASHIO) was removed from the Malaya Seizure Force and transferred to the Dutch East Indies Force. The Section sails to Hong Kong to escort the 7 transports to Davao, scheduled to depart on the 8th of January.
B) The 2nd Section of the 8th Destroyer Division (Destroyers MICHISHIO and ARASHIO) was to be removed from the Malaya Seizure Force at noon on the 6th of January and returned to the Main Body of the Southern Force. The reason for this was to provide a direct escort for the Southern Force, which was planning to sortie from Camranh Bay on the 8th of January to advance to Palau in support of the Dutch East Indies Campaign.
In order to fill the vacancy of the 1st Section of the 8th Destroyer Division, Vice Admiral Ozawa ordered that a destroyer from the Main Body of the Escort Force be dispatched to escort the convoy by the 3rd of January, and it was decided that the Destroyer would be FUBUKI.
2. The landing of the 15th Army was changed to Bangkok. For this reason, Vice Admiral Ozawa ordered the Training Cruiser KASHII, Escort SHIMUSHU, the Destroyer FUBUKI and 2 destroyers of the 19th Destroyer Division, commanded by Captain Kojima, to escort the 15th Army Convoy to Bangkok after separating from the 25th Army Convoy.
585Only the Destroyers HIBIKI and AKATSUKI, the 1st Section of the 6th Destroyer Division are present. The 2nd Section with the INAZUMA and the Ikazuchi is involved with the escort 2nd Landing Force for Lingayen Gulf with the 21st Torpedo Boat Division.
586The Destroyer NAGATSUKI had already arrived at Mako on the 24th.
587Near Hong Kong.
588On the original, the Maru appears after the name. But the only NOJIMA MARU is the Auxiliary Transport with the number 40112 that on the 27th of December is sailing from Kuching bound for Saint Jacques where she arrives on the 29th. The Supply Ship NOJIMA is in fact torpedoed by the USS Perch (SS-176) with 1 torpedo and loses its bow (according with the NOJIMA TROM at combinedfleet.com). This is the 1st reference to the assistance made by the Training Cruiser KASHII, and the Destroyers AYANAMI and ISONAMI. At combinedfleet.com and tokusetsukansen.jpn.org the 1st assistance to the Supply Ship NOJIMA only arrives on the 28th with the Auxiliary Gunboat SHOSEI MARU (34502) of the 13th Gunboat Division.
In addition to the above, there were some changes to the plan: 2 additional transports of the 25th Army were added, and the Auxiliary Minelayer TATSUMIYA MARU (44853) was to accompany the convoy from Mako to the coast of Saigon. (103)
In addition, the convoy's fuel supply during this operation was expected to reach 1,200 tons at sea, 3,500 tons in Singora and 1,000 tons in Bangkok, for a total of 5,700 tons. For this reason, Vice Admiral Ozawa had planned to incorporate the Auxiliary Oiler KUROSHIO MARU (45674) into the 2nd Escort Force and have her accompany the escort force for supply. However, the Auxiliary Oiler KUROSHIO MARU (45674) machinery proved to be inadequate for the long voyage, so he ordered the Fleet oiler ERIMO, then at anchor in Camranh Bay, to carry 7,000 tons of fuel and join the 2nd Escort Squadron on the 5th of January to replenish it. (103)
Rear Admiral Imamura led the Auxiliary Seaplane Carrier KAMIKAWA MARU (42936) from Kuching to Camranh Bay on the 29th of December. The Auxiliary Seaplane Carrier SAGARA MARU (47837) continued to operate at Singora. Earlier, Vice Admiral Ozawa had placed a total of 10 seaplanes, 2 on each ship, between the Heavy Cruiser CHOKAI and the 7th Cruiser Division on 24 December under the command of Rear Admiral Imamura589 and had assigned the Auxiliary Gunboat Minelayer CHOSA MARU (28075) and the Auxiliary Minesweeper RUMOI MARU (26708), a Camranh Bay base unit, to assist in setting up a seaplane base. (103- 149) On the 1st of January of 1942, Rear Admiral Imamura issued the Classified 2nd Air Force Order nº 3, outlining the convoy escort plan as described below: (152)
1 Seaplane Forces:
Table 69.
2 Allocation of Seaplane bases:
A) Camranh Bay Seaplane Base: Auxiliary Seaplane Carrier KAMIKAWA MARU (42936).
B) Poulo Condor Island Seaplane Base: Auxiliary Gunboat Minelayer CHOSA MARU (28075) and the Auxiliary Minesweeper RUMOI MARU (26708).
C) Singora Seaplane Base: Auxiliary Seaplane Carrier SAGARA MARU (47837). 3 Plan for Air escort:
Table 70.
5895 Heavy Cruisers in total. In theory this is between 2/3 or a little bite more (At least the Heavy Cruiser KUMANO had already lost a seaplane) of the Reconnaissance Seaplane Force of the Main Bodies of the Malaya Seizures Force and the Escort Force.

![]() |


Operational Progress (102-103-149-152-175)
At 0800, on the 31st of December, while the 8th Destroyer Division sailed from Mako to conduct anti-submarine sweep outside the bay, the Army Echelons followed by the Light Cruiser NATORI, the Heavy Cruiser MAYA, the Auxiliary Minelayer TATSUMIYA MARU (44853) and the 1st Section of the 6th Destroyer Division, in that order, began to sail from 0830. The surface forces formed the 1st Alert Sailing Formation shown in Illustration nº 43 outside the bay and began to advance. The total strength of the fleet was 77 ships, including 1 Heavy Cruiser, 1 Light Cruiser, 1 Training Cruiser, 16 destroyers, 1 Escort Ship, 1 Auxiliary Ship and 56 Army transports.590
At 1340, the convoy took a course of 230° and headed off Camranh Bay. The weather on that day was cloudy, the wind was blowing from the north, and the wind speed was about 10 knots. On the New Year's Day of 1942, the fleet continued to sail smoothly. At 1600 on the 2nd of January, the Eastern Support Group stopped escorting as planned and turned back towards Mako.
At 1130 on the 3rd, the 1st Section of the 4th Destroyer Division (NOWAKI and ARASHI591), which had sailed from Camranh Bay in the evening the previous day, joined the escort forces. At 1200, Rear Admiral Hara released the 1st Section of the 8th Destroyer Division (Destroyers OSHIO and ASASHIO) and sent it to Hong Kong, with the 1st Section of the 4th Destroyer Division filling the vacancy.
At 1530, a fire broke out on the Auxiliary Transport MEIKO MARU (282), the last transport of the 6th Echelon. The Training Cruiser KASHII, the Destroyers AYANAMI and ARASHIO, the Auxiliary Minelayer TATSUMIYA MARU (44853) and the Destroyer FUBUKI, which happened to be closer, immediately started to rescue operations. However, the fire ignited the gunpowder and caused a series of explosions, and the Auxiliary Transport MEIKO MARU (282) finally sank at 1843. There were about 1500 men of the 1st Paratroopers Regiment on board. At the time, the wind was blowing at a speed of 8 knots and the sea was very rough. However, each ship made efforts to rescue the men and sailors who jumped into the sea one after another, and all of them were rescued. On receiving this news, the Army's Ship Transport Commander sent a message to Rear Admiral Hara on the 5th of January, stating that the following accident had occurred on the Auxiliary Transport MEIKO MARU (282):
I would like to thank you for your great efforts in the MEIKO MARU accident, and in particular for the rescue of all personnel. I am deeply moved by your kindness.
590Although it’s not described in the ships leaving Camranh Bay at 0830, judging from the Illustration nº 43 and the exact number of ships that is escorting the Army Echelons and the fact that it’s indicated that the 1st Alert Sailing Formation was formed outside Camranh Bay, I’m to conclude that with the Light Cruiser NATORI was the rest of the 2nd Escort Force.
591On the Original it’s the Destroyers NOWAKI and HAGIKAZE, but this must be a mistake since according with Senshi Sosho 26, the 1st Section of the 4th Destroyer Division should be the Destroyers ARASHI and NOWAKI and the 2nd Section, the Destroyers HAGIKAZE and MAIKAZE.

On the afternoon of 4 January, the KONISHI MARU592, a special transport ship belonging to Sasebo Naval District, was reported to be under attack by a submarine near Cu Lao Thu Island (about 80 nautical miles south-southwest of Camranh Bay). This position was 70 nautical miles from the convoy's route, but Rear Admiral Hara avoided it by changing course to 180° at 1617 on the 4th.
On the 4th, at 1830, Rear Admiral Kondo issued the following order: Southern Force Order nº 51:
1 On the 8th of January, at 1700, the Main Body of the Southern Force (with 2D/8dg593) will sail from Camranh Bay to Mako. 2D/8dg was attached to the Dutch East Indies Seizure Force by special order and will participate in the escort of the Army's 2nd Division from Hong Kong on 12 January.
2 At 0000, on the 9th of January, the 5th Destroyer Squadron (with 1 Division) is to be removed from the Malaya Seizure Force and incorporated in the Dutch East Indies Seizure Force. At 0000, on the 12th of January the remaining Division of the 5th Destroyer Squadron is also to be removed from the Malaya Seizure Force and incorporated in the Dutch East Indies Seizure Force.
3 At 1000, on the 14th of January, the Main Body of the Southern Force will sail from Mako and advanced to Palau.
On this day, the 2nd Air Force conducted a scheduled search with 6 seaplanes in the morning and 5 seaplanes in the afternoon but found no unusual activity.
On the 5th of January, at 0700, the Fleet Oiler ERIMO joined the fleet, and at 0910 the fleet changed course to 215°. This was because the distance alongside Cu Lao Thu Island was already 120 nautical miles and the danger of encountering a submarine had diminished. At 0930, Vice Admiral Ozawa led the Main Body of the Malaya Seizure Force and the Light Cruiser KINU out of Camranh Bay, and Rear Admiral Kurita led the 1st Section of the 7th Cruiser Division and the 11th Destroyer Division (without the FUBUKI) out of the bay at 1400, both to support the convoy. From 1800 onwards, the 1st Air Squadron594 at Camranh Bay set out on a direct anti-submarine escort of the convoy but was unable to detect the convoy until the 3rd rotation and was unable to launch after the 4th rotation due to bad weather. The reason why the convoy was not spotted was because the anti-submarine evasion movement of the convoy was not reported to the 2nd Air Force and the weather was bad. The 2nd Air Force carried out the schedule but did not get any enemy.
At midnight on the 6th of January, Rear Admiral Hara detached the Auxiliary Minelayer TATSUMIYA MARU (44853) and sent her to Saint Jacques, and at the same time sent the Destroyer FUBUKI to transfer the 1st Paratroopers who had been rescued by the same ship595. On the same morning, the Auxiliary Transport CELEBES MARU (628) was transferred from Singora to Bangkok596, so Rear Admiral Hara transferred the ship from the 1st to the 6th Echelon and also detached the 2nd Section of the 8th Destroyer Division597 and the 1st Section of the 4th Destroyer Division598, both of which were heading for Camranh Bay. The convoy changed its course by 1400 to 270° and headed for Singora. The Destroyer FUBUKI, with the 1st Parachute Regiment, joined the convoy at 1615 and the Fleet Oiler ERIMO went ahead to Singora at 2215599. The operations of the 2nd Air Force on this day were carried out as planned, but they did not meet with any hostility.
At noon on the 7th of January, the convoy force reached 50 nautical miles south of Cape Cà Mau. The Light Cruiser KASHII, Escort SHIMUSHU, and the Destroyer FUBUKI and AYANAMI, commanded by Captain Kojima, escorted the 11th Auxiliary Transports of the 15th Army, which separated from the 25th Army Auxiliary Transports and headed for Bangkok600. At 1231, the Light Cruiser NATORI spotted what appeared to be a periscope at 14°, 3,000 meters to her left and fired a warning shot (note: this is a bombing shot aimed at alert and prevent a submarine's intention to attack, not an attack that is expected to hit the submarine). However, it was not possible to confirm whether it was a submarine or not. On this day, the 2nd Air Force operated as planned, but failed to gain any enemy contact.
At 1120 on the 8th, Rear Admiral Hara gave the following orders:
1 In accordance with the Southern Force Order nº 51, from the 9th to the 12th, the Division Destroyer remaining in the Malaya Seizure Force is the 5th Destroyer Division.
2 The 5th Destroyer Division Commander shall assign a destroyer to directly escort the Auxiliary Submarine Tender RIO DE JANEIRO MARU (35928)601 during the daytime of the 10th in accordance with 1KF Order nº 5. (Author's note: On the 3rd of January, the Southern Expeditionary Fleet became the 1st Southern Expeditionary Fleet due to wartime reorganization).
3 The 5th Destroyer Squadron (missing the 5th Destroyer Division)602 is scheduled to depart from Singora on the 9th to conduct anti-submarine sweeping operations and is scheduled to sail to Taiwan.
592Could not find this Auxiliary Transport. On the original 小西丸(KONISHI MARU). Looking for similar names I was able to find the 山西丸 Auxiliary Transport SANSEI MARU (K412) that belongs to the Sasebo Naval District and that on the 4th of January departs from Camranh Bay for Saigon - tokusetsukansen.jpn.org and combinedfleet.com don’t mention any torpedo attack.
5932D = 2nd Section, 8dg = 8 Destroyer Division: Destroyers MICHISHIO and ARASHIO.
594See Table 69.
595The text is not very clear but the Destroyer FUBUKI transferred the men of the 1st Paratroopers Regiment that were aboard the Auxiliary Minelayer TATSUMIYA MARU (44853).
596Singora was the destination of the 25th Army and Bangkok of the 15th Army.
597Destroyers ARASHIO and MICHISHIO.
598Destroyers ARASHI and NOWAKI.
599The Naval Fleet Oiler ERIMO had the task of resupplying the 2nd Escort Force. Although it’s not mention, but probably between 0700 on the 5th and the 2215 on the 6th the 2nd Escort Force had part of its forces resupply. On the Naval Fleet Oiler ERIMO TROM at tokusetsukansen.jpn.org its stated that on the 6th the Commander of the 2nd Escort Force issued Order nº 25 stating that the ERIMO should sail to Singora and that the anchor supply point was 0°, 4.5 nautical miles from Singora Lighthouse. It’s also stated that the Light Cruiser NATORI and the 5th and 22nd Destroyer Division were resupplied at Singora (probably on the 9th)
600This is the 3rd Army Convoy with the 5th and 6th Echelons, at the rear of the formation according with Illustration nº 43.
601Auxiliary Submarine Tender from the 5th Submarine Squadron.
The Auxiliary Submarine Tender RIO DE JANEIRO MARU (35928) was scheduled to leave Camranh Bay on the 8th and arrive at Singora on the 10th, carrying personnel and equipment for the 11th Submarine Base Force, which was to advance to Penang. Destroyer MATSUKAZE was designated as the escort vessel.
On the morning of the 8th, Vice Admiral Ozawa withdrew his support and led the Main Body of the Malaya Seizure Force with the Light Cruiser KINU to Camranh Bay. Shortly afterwards, the Auxiliary Weather Observation Ship SHUNKOTSU MARU (33965) (a Weather Observation Ship belonging to the Malaya Seizure Force) was reported to be under air attack 120 nautical miles off the coast of Terengganu. Rear Admiral Kurita immediately attempted to dispatch a destroyer, but soon received the news that there was no damage, so he decided not to do so. After receiving this report, Rear Admiral Hara requested the Commander of the Malaya Seizure Force to take appropriate measures to guard the airspace over the anchorage at Singora from the 9th onwards.
Note:
The Auxiliary Weather Observation Ship SHUNKOTSU MARU (33965) (531 tons, belonging to the Ministry of Agriculture and Forests) and the Auxiliary Weather Observation Ship TOYAMA MARU (26271)603 (914 tons, owned by Shimatani Kisen Company) were both borrowed by the Navy or used on a continuous basis, and were assigned to the Malaya Seizure Force for oceanographic and meteorological observations.
The Auxiliary Seaplane Carrier SAGARA MARU (47837) seaplane squadron braved the bad weather to escort the convoy but found nothing unusual. The 25th Army Auxiliary Transports arrived at Singora anchorage at 2100 on the 8th of January, and the 15th Army Auxiliary Transports arrived at Bangkok at 1900 on the 9th of January.
The 5th Destroyer Squadron (without the 5th Destroyer Division) joined the Dutch East Indies Seizure Force at midnight on the 9th. However, the squadron carried out an anchorage watch at Singora during the day on the 9th and left the area at 1800. The escort force of the 15th Army, except for the Training Cruiser KASHII604, also sailed from Bangkok to Singora, where they refueled and then headed for Camranh Bay. On the morning of the 9th, the Main Body of the Escort Force also withdrew from the support operation. The Destroyer ASAKAZE605 left Singora in the evening of the 9th, joined the Auxiliary Submarine Tender RIO DE JANEIRO MARU (35928) in the early morning of the 10th, and arrived back at Singora on the 10th at 1600.
In the afternoon of the 10th, the Army Auxiliary Transport AKITA MARU (814) (3,817 tons) was reported to have been seriously damaged by submarine torpedo attack at latitude 7°, 52 minutes north and longitude 102°, 53 minutes east 606 . This position was about halfway between Singora and Cape Cà Mau. The Destroyers ASAKAZE and HATAKAZE of the 5th Destroyer Division at Singora and the Destroyer FUBUKI, which happened to be sailing from Singora to Camranh Bay, immediately went to assist and rescued all the crew except 3 who were missing607.
The landing of the convoy proceeded smoothly. At midnight on the 12th, the 5th Destroyer Division, which had been engaged in the operation until the end, was transferred to the Dutch East Indies Seizure Force and left Singora.
This was a long escort operation, covering a total distance of 1,700 nautical miles between Mako and Singora, and a voyage of 8.5 days (average actual speed 8.3 knots), and a total distance of 1,900 nautical miles between Mako and Bangkok, and a voyage of 9.5 days (average actual speed 8.4 knots). However, with the exception of the accidental sinking of the Auxiliary Transport MEIKO MARU (282), this large-scale transport operation was successfully completed.
602 The Light Cruiser Natori and the 22nd Destroyer Division.
603 Also known as Tokamisan Maru.
604 Destroyers Fubuki and Ayanami and the Escort Shimushu.
605 This might be an error: It had been the Destroyer Matsukaze the assigned escort for the Auxiliary Submarine Tender Rio de Janeiro Maru (35928), but something must have happened and it was its division mate, the Destroyer Asakaze that performs the escort. At tokusetsukansen.jpn.org, it’s the Destroyer Matsukaze that performs the escort. But the lack of one explanation at Senshi Sosho 24 is what makes me think , for the change could also be a clue for a possible simple mistake by the author as this is the first time that a change in the plan is without a given reason.
606According with Bob Hackett’s Akita Maru TROM at combinedfleet.com, the submarine was the Dutch HNLMS O-19 that at 1720 got 2 hits from a spread of 3 torpedoes.
607According with Bob Hackett’s Akita Maru TROM at combinedfleet.com, the Destroyer Fubuki sinks the Auxiliary Transport Akita Maru (814) with gunfire.
4 Early Air Operations
Air Base Problems
After the attack of the 8th of December, the 1st Air Force did not attack Singapore until the 28th of December. The air operations during this period, focused on attacking air bases and ships on the east coast of the Malaya Peninsula, northern Borneo and the west of the Malaya Peninsula following the Battle of Malaya, and on patrolling and searching in the South China Sea.
As the campaign progressed, a number of problems arose in air operations, but at the beginning of the 2nd Phase of the campaign the First Air Force faced the following important problems:
1 The problem of the air base at British Borneo:
On the 16th of December, the occupied Miri Air Base was in the situation already described, and it was not until the 22nd of December that part of the 1st Air Force's forces (9 Land Based Attack Aircraft and 15 Zero fighters) finally moved in. (102-109)
The Kuching Air Base was also occupied on the 25th, but again the situation was far beyond our expectations. In addition, the 4th Naval Construction Group lost about 2,500 tons of construction materials when the Auxiliary Transport / Supply Ship UNYO MARU nº 2 (42971) sank on the 26th of December (188) and had to hasten its maintenance under the adverse conditions of continuous rainfall.
In the Battle Report nº 15, nº1 from the 29th of December, stated as follows: The current situation at Kuching airfield is as follows:
1 The Airfield is 800 meters long and 300 meters wide. T shaped.
2 The location is on a plateau, with good ground and drainage conditions.
3. There are 57 explosion shelters for bombs (the convexity is about ten meters).
4 It will take about 40 days to build an 800 meter, 100-meter- wide strip in the east-west direction. It is estimated that it will take about 1 month to complete a north south strip direction and an east-west direction with a length of 1,000 meters.
The Malaya Seizure Force had been planning to send the 1st Air Force to Kuching Air Base to strengthen air operations, but when it learned of the situation at the base, it encountered a major obstacle in the future air operations guidance. Earlier, on the 20th of December, the Air Assault Force D discovered Ledo Airfield, about 50 nautical miles south of Kuching. The airfield had a runway estimated to be about 2,500 meters long, and the airfield area was large enough to be suitable as a base for a Land Based Air Force. On the 26th of December, the Southern Army ordered the Kawaguchi Detachment to make a study report on the occupation of Ledo Airfield, and on the 28th of December, it ordered preparations for the occupation of the airfields near Bengkayang (Bengkayang, Ledo, etc.) and, depending on the situation, the ports leading to them (Singkawan or Pontianak).
Note:
The above actions of the Southern Army seems to be based on the request of the Malaya Seizure Force, but there is no documents to substantiate this.
In the Army-Navy Agreement held at Camranh Bay on the 29th of December, the Malaya Seizure Force also requested the Southern Army to occupy the Ledo Airfield. (64)
The Kawaguchi Detachment, which had occupied Kuching, was sent to guard the area with the core force of 5 Companies commanded by Captain Oka, while the rest of the troops left Kuching on the 27th of December and returned to Miri. In response to the above Southern Army's order, the reply from Kawaguchi on the 31st of December requested reconsideration of the use of Kuching airfield, citing the poor condition of the road and bridge leading to Ledo and the destruction of the West Borneo airfield by bombing. Therefore, at the end of December, there was no prospect for the Land Based Attack Force to advance to Kuching airfield at an early date, and the occupation of Ledo airfield was not yet foreseen.
2 The question of air operations against the Malacca Straits area and their bases.
At the beginning of the war, the operations of the 1st Air Force were mainly focused on the destruction of the British Eastern Fleet and the aerial bombardment in cooperation with the Army 3rd Air Division, and its area of operations was limited to the east of the Malay Peninsula. However, with the advance of the 25th Army southwards along the west coast of the Malaya Peninsula, the control of Allied naval vessels in the Malacca Strait became an urgent matter, and the reinforcement of Allied forces in the Malaya area and the blocking of their retreat became important from the point of view of promoting the invasion of Malaya.
On 23 December, Vice Admiral Ozawa reported to the Imperial general Headquarters stating: (33)
In future air operations in Malaya, it is necessary to establish airfields at Kota Bharu, Alor Setar on the west coast and Sungai Petani.
The present number of Zero fighters in the 22nd Naval Air Flotilla is 25.
Another factor which necessitated the advance of the 1st Air Force to the west coast of the Malay Peninsula was the naval maneuvers of the 25th Army. This was the plan of the 25th Army before the outbreak of the war, to land some of its troops behind the British troops by naval maneuvers, using boats transported by land from Singora and boats seized locally.
The 5th Division's Watanabe Detachment was given this task on the 25th of December and made preparations at Lumut, about 130 kilometers south of
Penang. At the time, the 3rd Army Air Brigade of the 3rd Army Air Division was advancing to Sungei Pattani but was occasionally counterattacked by the Royal Air Force and there were light naval units of the British Eastern Fleet still in the Singapore area. The Malaya Seizure Force was concerned about the counterattack of the Royal Navy and Royal Air Force against the Watanabe Detachment and the 25th Army also requested the Malaya Seizure Force to provide cover for them. (83)
Needless to say, the advance of the 1st Air Force to the west coast of the Malaya Peninsula had to be preceded by a well-equipped airfield, base personnel, and base facilities. The air bases on the Malaya Peninsula are specified as follows:
With the development of air bases on the east coast of the Malaya Peninsula, the Army Air Forces would make rapid progress, and part of the Navy Air Forces would use them as necessary to ensure thorough air operations.
The Army will be in charge of the maintenance of Air Bases on the Malaya Peninsula, and the Navy will be in charge of the maintenance of Naval Bases on the Malaya Peninsula. The Navy will use Land Bases in the vicinity of Ban Dong and Singora and will use Seaplane Bases at Singora and Pattani.
As can be seen above, there was a provision for partial naval use of the land bases on the east coast of the Malaya Peninsula. However, no provision was made for the west coast bases.
As it happened, an Army aircraft reported the discovery of some 48 merchant ships at the mouth of the Rokan River on the north coast of central Sumatra on the 30th. (154) At 0100 on 31st, Vice Admiral Ozawa ordered the 1st Air Force to attack the area with the Malaya Seizure Force Order nº 76. Rear Admiral Matsunaga telegraphed to Liaison officer Commander Inoguchi Kaneo to request the 3rd Army Air Division for the use Sungai Petani Airfield and to provide logistical support to the operational forces, and also gave the following order on 31st, 0210: (154)
Malaya Seizure Force, First Air Force Order nº 61:
In accordance with Malaya Seizure Force Orders nº 75 and nº76, the following items were determined in relation to the cooperation of Army units (in the naval sector) and the attack on the Malaya West Coast:
1 Force strength:
Air Assault Force A: 9 Land Based Attack Aircraft.
Air Assault Force C: 2 Land Base Reconnaissance Aircraft.
2 Commanding Officer: Flight Commander, GENZAN Naval Air Group.
3 The 263rd Air Base (Sungai Petani) will be used for the purpose of making attacks on the Strait of Malacca.
4 Be on the alert for enemy fighters and incoming enemy aircraft.
5 Communication and direct contact: On the Malaya West Coast, communication is carried out via the dispatched 3rd Communications Force (author's note: naval communication unit dispatch to the Army 3rd Air Division).
6 Supply, provision, and lodging to be carried out by Army units.
The liaison officer, Commander Inoguchi Kaneo, negotiated with the headquarters of the Army 3rd Air Division for the use of Sungai Petani Airfield and logistical support. However, the Army 3rd Air Division refused the Navy's request on the grounds that the stocked of fuel and ammunition was insufficient and that the 3rd Air Division would provide cover for the Watanabe Detachment. For this reason, the liaison officer Commander Inoguchi Kaneo sent the following report to the 1st Air Force at 1317: (154)
The situation with the Army fuel in this area is such that the Army heavy bombers cannot advance, and the advance of the medium bombers has been cancelled. Cooperation with the Army 3rd Air Division to be carried out only for the Army units.
Meanwhile, 9 Land Based Attack Aircraft of the Air Assault Force A had already left Saigon for Sungai Petani. On receiving the news, Rear Admiral Matsunaga gave the order to cancel the advance of the Land Based Attack Aircraft at 1400, and the planes turned back to Saigon in the middle of the flight. As a result of the above, the 1st Air Force did not advance to the Malayan West Coast by the end of December.
3 The situation of the Allied air forces in the Singapore area.
On the 23rd of December, the day before the 2nd Phase Naval Disposition of the Malaya Seizure Force, the 25th Army had already occupied Taiping and was
approaching the Perak River, and on the east coast of the Malay Peninsula, the Takumi Detachment had entered Paka, 80 km south of Terengganu.
The 3rd, 7th and 12th Army Air Brigades of the Army 3rd Air Division advanced to Sungai Petani and Alor Setar in Kedah, and Kota Bharu and Tanah Merah in the northern part of Kelantan and continued to attack allied air units and provide land support. However, the massed air assault and war attrition had not yet reached the Singapore area. For this reason, the Allied air forces retreated in the direction of Singapore and attacked our front-line bases when the opportunity arose, and it was estimated that the number of remaining aircraft, including reinforcements, would reach a considerable number. Subsequently, reconnaissance by Army aircraft on the 28th of December revealed the situation in southern Malaya as follows: (154)
1 Singapore (between 1200 and 1230):
Tengah Airfield: 7 large and 22 small aircraft.
Sembawang Airfield: 7 large, 14 medium and 6 small aircraft. Seletar Airfield: 8 large and 8 small aircraft and 3 flying boats. Kallang Airfield: 5 large and 10 small aircraft.
Commercial Port: 3 large merchant ships, approx. 50 small merchant ships
Military Port: Unknown
2 Kluang: 2 large aircraft and 1 small aircraft at Kahang.
In other words, on the 28th of December it was confirmed that there were still about 100 aircraft remaining in the Singapore area.
The circumstances leading up to Operation Q being planned and then cancelled have already been described. However, Vice Admiral Ozawa contacted the Army 3rd Air Division informing that the 1st Air Force attack Singapore would proceed as planned. Having destroyed the main forces of the British Eastern Fleet in the 1st Phase of operations, followed by attacks on the east coast of the Malaya Peninsula, northern and western British Borneo, the 1st Air Force was responsible for the support of the 2nd Malaya landings and indirect support for the invasion of British Borneo, and from the end of December, the focus of its attacks shifted to Singapore.
The 1st Air Force (83-102-109-115)
The operations of the 1st Air Force from the 29th of December to the 10th of January were as follows:
29th of December 1941:
After a single Land Based Reconnaissance Aircraft had reconnoitered Singapore, the Air Assault Force A carried out the following attacks:
8 Land Based Attack Aircraft, 2132, Seletar Airfield.
9 Land Based Attack Aircraft, 2348 to 2400 in the city center. 14 Land Based Attack Aircraft, from 0225 to 0330, military port.
9 Land Based Attack Aircraft of the Air Assault Force B spotted the Ro patrol area and shot down a flying boat.
30th of December 1941:
9 Land Based Attack Aircraft of the Air Assault Force D scouted the South China Sea and found and engaged 2 large British aircraft afterwards but lost them in the clouds.
31st of December 1941:
7 Land Based Attack Aircraft of the Air Assault Force D searched the South China Sea and discovered a flying boat but failed to engage it in air combat. On the same day, 9 Land Based Attack Aircraft of the Air Assault Force A608, departed to attack ships in the Malacca Strait, but turned back en route, as described above.
1st of January 1942:
25 Land Based Attack Aircraft of the Air Assault Force B bombed Sembawang Airfield and Seletar military port facilities from 0032 to 0049. 7 Land Based Attack Aircraft of the Air Assault Force A searched in the South China Sea but failed to find any enemy.
2nd of January 1942:
7 Land Based Attack Aircraft of the Air Assault Force A carried out a reconnaissance mission in the South China Sea, one of aircraft made a photographic reconnaissance of the road between Kuching and Ledo. 1 Land Based Reconnaissance Aircraft reconnoitered Singapore and reported the following situation:
Military Port: 1 destroyer, 2 large merchant ships, one local auxiliary service ship,
Merchant Port: 30 large merchant ships.
Seletar Airfield: 1 large and 11 small aircraft and 7 flying boats. Tengah Airfield: 15 large aircraft.
Kallang Airfield: 3 large and 30 small aircraft, one airborne.
3rd of January 1942:
27 Land Based Attack Aircraft of the Air Assault Force D bombed Tengah Airfield and the naval arsenal area from 0530 to 0618. Large fires were observed, and the effect was judged to be enormous.
7 Land Based Attack Aircraft of the Air Assault Force B conducted a reconnaissance of the South China Sea and found and destroyed a 5000 Tons Class transport ship. (Location unknown).609
4th of January 1942:
9 Land Based Attack Aircraft of the Air Assault Force A sortied to attack Singapore but turned back due to bad weather. 7 Land Based Attack Aircraft of the Air Assault Force B searched the South China Sea and spotted a British aircraft.
5th of January 1942:
7 Land Based Attack Aircraft of the Air Assault Force A scouted the South China Sea and spotted and attacked a twin-engine aircraft but failed to shoot it down.
6th of January 1942:
6 Land Based Attack Aircraft of the Air Assault Force B conducted a search of the South China Sea but failed to find any enemy contacts. One other aircraft was damaged during take-off, either by a vehicle transport or a puncture.
7th of January 1942:
7 Land Based Attack Aircraft of the Air Assault Force A carried out a search of the South China Sea but found no unusual activity. On the same day, an Army Reconnaissance Aircraft spotted the following aircraft in Singapore around 1615:
Sembawang: 30 large and 9 small Aircraft (including 6 were in the air). Kallang: 6 large-medium and 35 small Aircraft.
Seletar: 17 large-medium and 3 small Aircraft. 5 large aircraft flying above.
Tengah: 27 large and medium Aircraft.
8th of January 1942:
7 Land Based Attack Aircraft of the Air Assault Force B carried out a search in the South China Sea but were unable to search beyond 400 nautical miles from the base due to bad weather.
9th of January 1942:
7 Land Based Attack Aircraft of the Air Assault Force D conducted a search in the South China Sea.
10th of January 1942:
7 Land Based Attack Aircraft of the Air Assault Force A conducted a search in the South China Sea.
608On the original is Air Assault Force B, but this is a mistake since in the Malaya Seizure Force, 1st Air Force order nº 61, the strength of the attack on the Malacca Strait is 9 Land Based Attack Aircraft of the Air Assault Force A (GENZAN Naval Air Group) and 2 Land Based Reconnaissance Aircraft of the Air Assault Force C (Yamada Naval Air Group).
609I was not able to identify this ship or find any allied transport ship sunk on this day by aircraft on the South China Sea.
During this period, a total of 93 Land Based Attack Aircraft attacked Singapore, dropping 43.7 Tons of bombs. The Army 3rd Air Division also attacked Singapore, but only sporadically with a small number of aircraft. On the 7th of January, Army aircraft reconnaissance counted about 130 aircraft in the Singapore area. (154) This number was an increase over the number of aircraft from reconnaissance at the end of December, and it was judged that Allied aircraft were being reinforced despite the attacks by our air units.
5 Endau and Mersin Landings (Operation S) and the Capture of Anambas Base
Army and Navy Agreement
As it was already mentioned, it was on the 13th of December that the Southern Army formally decided on Operation Q and Operation S, and it was on the 23rd of December that the local Army and Navy agreement was concluded. The agreement stipulated that the main forces of the 18th Division in Guangdong610 was to be landed in the direction of Endau and Mersing around X+40 (17th of January), and the detailed agreement on the air and landing operations necessary for this was to be carried out separately between the army and navy commanders concerned.
The agreement on air operations was carried out between the Southern Army and the Malaya Seizure Force on the 3rd of January at Saigon, and in detail between the Army 3rd Air Division and the 1st Air Force on the 7th of January at Sungai Petani. (192)
The agreement on the fleet escort and landing operations were carried out as follows: (155)
6th of January, at Guangdong (Canton):
Agreement on the escort of 18th Division Convoy between Humen (at the mouth of the Pearl River611) and Kamran Bay. Signed between Lieutenant General Mutaguchi, Commander of 18th Division and Rear Admiral Hashimoto, Commander of the 1st Escort Force.
11th of January, at Kamran Bay:
1. Agreement between Vice Admiral Ozawa, Commander of the Malaya Seizure Force and Lieutenant General Mutaguchi, Commander of the 18th Division, regarding Operation S.
2. Agreement between Lieutenant General Mutaguchi, Commander of the 18th Division and Rear Admiral Kurita, Commander of the Main Body of the Escort Force and Rear Admiral Hashimoto, Commander of the 1st Escort Force, on Operation S.
The summary of the agreement on the escort of the main force of the 18th Division and landing operations, as set out in the above agreement, was as follows:
Escort between Canton and Camranh Bay:
1 Light Cruiser and 4 Destroyers under the command of Rear Admiral Hashimoto, will escort 11 transport ships with the main force of the 18th Division on board, departing from Wanshan 612 Island Anchorage (at the mouth of the Pearl River) at 0800 on the 8th of January and entering Camranh Bay at around 1830 on the 10th of January.
Operation S:
1 Naval Force:
A) Direct Escort Force:
1st Escort Force:
3rd Destroyer Squadron (Light Cruiser SENDAI and 6 Destroyers613).
Escort SHIMUSHU.
1st Minesweeper Division614. 11th Subchaser Division615.
Auxiliary Minesweepers RUMOI MARU (26708) and OTOWA MARU616
6 Auxiliary Patrol Boats.
2nd Air Force:
Auxiliary Seaplane Carriers KAMIKAWA MARU (42936) and SAGARA MARU (47837), aircraft on board Heavy Cruiser CHOKAI, aircraft on board the 7th Cruiser Division.
B) Support Force:
Main Body of the Escort Force (7th Cruiser Division, 4 destroyers617).
3rd Air Force: 4th Aircraft Carrier Division (Aircraft Carrier RYUJO and Destroyer SHIOKAZE).
Submarine Force (4th Submarine Squadron).
2 Auxiliary Transports and Landing Force Units: Table 72.
3 Sortie and Landing:
Sortie S-3 (S is landing day) Sortie at 1400 from Camranh Bay.
If any changes are required, it will be decided by consultation between the 25th Army and the Malaya Seizure Force by 1300 on S-3.
The landing schedule will be completed in the evening of S+2.
4 Landing point and reconnaissance
Main Point: The coast from Cape Kempit to the mouth of the Teriang Kecil River (see Illustration No. 44)618
Partly on the west coast of Penyabong619 and at the mouth of the Endau Estuary.
Pre-landing reconnaissance will not be carried out, except for meteorological and maritime reconnaissance by submarines.
5 Operational Procedure
A) At the time of the sortie from Camranh Bay, most of the 1st Escort Force will carry out anti-submarine sweeping outside the bay.
B) Alert navigation formation (abbreviation).620
C) In the event of an attack by submarines or aircraft, transports will be guided by the lead ship of each Echelon to avoid the enemy and in the event of an attack by a surface force, the Escort SHIMUSHU and the Subchasers will escort the convoy to avoid the attack, and the 3rd Destroyer Squadron will be left in charge of the attack.
D) The arrival at the anchorage is scheduled for S-day, 0130. The minesweepers will sweep the front, before the transports enter the anchorage, and sweep the anchorage after sunrise.
E) Landings are to be made by surprise, but under certain circumstances it is expected that an assault landing will be made to eliminate counterattacks.
F) As soon as the landing is completed, the transports will evacuate the anchorage in groups of several ships. The Escort Force will escort them with suitable forces.
610Also known as Canton.
611Today called Zhujiang River.
612I do not know the exact island as Wanshan is an archipelago at the mouth of the Pearl River. But Dawanshan island is the one with the bigger anchorage. In the original the name is: 伶付島.
61311th Destroyer Division: Fubuki, Hatsuyuki and Shirayuki; 20th Destroyer Division ASAGIRI, AMAGIRI and YUGIRI.
614Minesweepers W-1, W-2, W-3, W-4 and W-5.
615Subchasers CH-7, CH-8 and CH-9.
616From the 9th Base Force.
61712th Destroyer Division SHIRAKUMO and MURAKUMO; 19th Destroyer Division AYANAMI and ISONAMI.
618Cape Kempit is the tip of the coast (to the south) after the Endau River. Triang Kecil is the 3rd river to the south after Cape Kempit.
619Peniabong is the region to the south of Endau Region.
620There is no illustration for these explicit formation.

Air Operations Agreement
In the agreement between the Southern Army and the Malaya Seizure Force on the 3rd of January, the following basic policy was decided in relation to the annihilation of the enemy air force at Singapore in conjunction with Operation S: (154)
1 Prior to the landing of the main force of the 18th Division, the main force of the Army and Navy Air Forces will conduct an air attrition battle against the Singapore area.
2 The Army 3rd Air Division will deploy to the north-central Malaya air bases with Kuantan and Ipoh as the front line of operations.
3 The 1st Air Force will deploy its main Land Based Attack Force to bases around Saigon, a part of its Land Based Attack Force to bases on the west coast of Malaya, and a part of its Land Based Attack Force, fighters, and Land Based Reconnaissance to Kota Bharu.
The circumstances of the failure of the 1st Air Force to advance to the bases in the West Coast of Malaya by the end of December have already been described. Negotiations on the Bases on the West Coast issue continued between the Army and Navy. In negotiations with the Army 3rd Air Division at Saigon on the 2nd of January, the 1st Air Force demanded the base at Alor Setar (on the opposite side of the northern tip of Penang Island) and argued that it would be useless unless the advancing force consisted of at least one squadron of land attack aircraft.(154)
This demand was unacceptable to the 3rd Air Division in view of the transportation and supply situation of the base at that time. Therefore, the problem was settled by the agreement between the Southern Army and the Malaya Seizure Force on the 3rd of January. As a result of the discussion between the two sides, the following policy was decided. (154) Although this was far from the requirements of the 1st Air Force, a breakthrough for the Land Based Attack Forces to advance to Malaya was established:
1 The 1st Air Force will use Butterworth (15 km south of Alor Setar) in the future. However, for the time being, Sungai Petani will be used as a forward base for about 9 Land Based Attack Aircraft.
2 Half of the fuel and ammunition being prepared for the base on the west coast of Malaya will be transported to Sungai Petani, and the rest will be carried on board the Auxiliary Gunboat and Minelayer EIFUKU MARU (45694)621 and flown to Singora for special operations.
3 The 8th Naval Construction Group will board the Auxiliary Transport NOJIMA MARU (40112) and wait at Singora.
The 1st Air Force expected the start of the air operations of Operation S around the 10th of January and planned to transport the base equipment of the Air Assault Force B by the following ships departing from Saigon on the 6th of January, and requested the 25th Army to support it on the 5th of January:
Auxiliary Aircraft Transport FUJIKAWA MARU (45067): 2,000 tons of ammunitions landed at Kota Bharu.
Auxiliary Transport AZUMA MARU (44403):622 2,500 tons of ammunitions landed at Kota Bharu.
Auxiliary Cargo Ship YAMATOGAWA MARU (48214) 623 : 500 tons of ammunitions landed at Singora.
621The Auxiliary Gunboat and Minelayer EIFUKU MARU (45694) was incorporated in the 11th Special Base Force of the 1st Southern Expeditionary Fleet.
622At tokusetsukansen.jpn.org, the Auxiliary Transport AZUMA MARU (44403) is written as 吾妻丸 and at SS24 is 東丸, but they both spelled the same way and I was able to match the TROMS of the Auxiliary Transport AZUMA MARU (44403) and the Auxiliary Aircraft Transport FUJIKAWA MARU (45067): Both depart Saigon on the 6th of January, arrive at Kota Bharu on the 7th and depart to Singora on the 16th of January arriving on the same day.
623According with tokusetsukansen.jpn.org , the Auxiliary Cargo Ship YAMATOGAWA MARU (48214) was a general cargo ship of 776 Tons assigned to the Hainan Naval Base.
As for the timing of the start of the air campaign, the Army insisted on the 8th of January for the Southern Army, but the Malaya Seizure Force insisted on the 10th for the Army and Navy to start at the same time, after waiting for the advance of the Air Assault Force B to the Malaya Air Base. In the end, it could not be decided by this agreement, and it was left to the detailed agreement of the Army 3rd Air Division and the 1st Air Force. The detailed agreement on the Singapore Air Attrition Campaign was made at Sungai Petani on 7th January and the following summary of the agreement was signed: (154-197)
1 Forces to be used:
3rd Air Division:
3rd Air Brigade with about 15 aircraft (fighters):
59th Army Air Group: 2 Squadrons of Type 1 Fighters624
7th Air Brigade with about 50~80 aircraft:
50th Independent Squadron: 1 Squadron of Reconnaissance Aircraft.
64th Army Air Group: 3 Squadrons of Type 1 Fighters.
12th Army Air Group:
60th Army Air Group:
98th Army Air Group:
Total 3 ~6 squadrons of Heavy Bombers625 in the the 3 abovementioned groups.
12th Air Brigade with about 70~80 aircraft:
49th Independent Squadron: 1 Squadron of Type 2 Fighters626. 1st Army Air Group: 3 Squadrons of Type 97 Fighters627.
11th Army Air Group: 3 Squadrons of Type 97 Fighters.
81st Army Air Group with about 10~20 aircraft: 2 Squadrons of Reconnaissance Aircraft.
624Nakajima Type 1 Fighter KI-43 Hayabusa (Oscar).
625Mitsubishi Type 97 Heavy Bomber KI-21-2A (Sally/Gwen).
626Nakajima Type 2 Fighter KI-44 Shoki (Tojo).
627Nakajima Type 97 Fighter KI-27 (Nate).
1st Air Force
54 medium Land Based Attack Aircraft, 20 Zero fighters, 5 Land Based Reconnaissance Aircraft
2 Bases to be used.
3rd Air division:
3rd Army Air Brigade: Ipoh (or Kuantan) 7th Army Air Brigade:
Heavy Bomb Squadrons: Kuala Besut, Tanah Merah, Butterworths, Alor Setar.
Fighter Squadron: Ipoh.
Reconnaissance Squadron: Butterworths.
12th Army Air Brigade: Kuantan
81st Army Air Group: Sungai Petani, Alor Setar 1st Air Force:
Land Based Attack Squadrons: Saigon, Sungei Pattani, Kota Bharu
Fighter Squadron and Land Based Reconnaissance Squadron: Kota Bharu (Kuala Besut depending on circumstances).
3 Attack targets:
3rd Air Division: Tengah and Kallang Airfields.
1st Air Force: Sembawang and Seletar Airfields and Naval vessels near Singapore
4 Outline of attack:
A) 1st Attack, 1000, 11th of January: The attack will be made alone by the Army, with about 30 Heavy Bombers and 120 Fighters.
B) 2nd Attack, 1430, 11th of January: The Army 3rd Air Division will attack with about 80 Fighters, while the 1st Air Force will attack simultaneously on land and sea with 54 Land Based Attacks Aircraft, 20 Zero Fighters and 2 Land Based Reconnaissance Aircraft.
C) 3rd Attack, 1100, 12th of January: The Army 3rd Air Division will attack simultaneously on land and sea with approximately 60 Heavy Bombers and 120 Fighters, while the 1st Air Force will attack simultaneously on land and sea with 27 Land Based Attack Aircraft and 20 Zero Fighters aircraft.
D) From the 4th attack onwards: The attack time will be odd hours for the Army and even hours for the Navy628, day and night, and targets will be selected accordingly.
628For sure that it’s not literally but more as one expression to say that the Army and Navy are coordinating its attacks but not attacking together.
Plan for the capture of the Anambas
This plan was based on the original plan of the Malaya Seizure Force. In the previous phase of the operations, the Malaya Seizure Force had used Camranh Bay as its main supply base and
Saint Jacques, Poulo Condor Island and Singora as its forward supply bases. Seaplane bases had been established in Camranh Bay and Singora since the outbreak of the war and were also temporarily established in various places according to the operational requirements.
However, the distance between Camranh Bay and Singapore was about 700 nautical miles, and between Poulo Condor Island and Singapore about 500 nautical miles. By the time Operation Q and S was underway, it was clear that the extended supply lines would reduce the efficiency of the operational forces. Furthermore, in anticipation of the full-scale attack on Singapore and Operation L (Bangka and Palembang Operations) in the near future, the need for a forward base close to the operation area became even greater. In this context, the Malaya Seizure Force Commander thought of occupying and using a suitable port between Southern French Indochina and Singapore as a temporary forward base until the capture of Singapore. For this purpose, the Anambas Islands were chosen as they had a suitable location and a suitable harbor. (56-102)
The islands are situated between Poulo Condor Island and Bangka Island (off Palembang), about 600 nautical miles629, and at a distance of 200 nautical miles from Singapore, making them an ideal location for a forward base. The archipelago consists of 2 main groups of islands facing each other to the north-east and south-west, and a number of smaller islands in the vicinity, and was under Dutch rule, with a population of about 4200 in 1921. The main islands are densely wooded with mountains of several hundred meters in height and are remote with no other products to be seen apart from copra, sago and bamboo.
629The distance between Poulo Condor and Bangka Islands.
The 2 main islands of the northeast archipelago, Siantan and Matak, are separated by a channel called Peninting Strait. This channel is about 6 kilometers long from northwest to southeast, with a minimum width of 1.5 kilometers and a depth of less than 45 meters, and its northwestern end leads to Terampa Bay on Siantan Island. It was decided that the sea surface including Peninting Strait and Terampa Bay would be a suitable and that would be occupied and used as a Seaplane Base. (155-160)
Since the outbreak of the war, several reconnaissance attacks on the islands by land attack were carried out. The largest of these was the bombing of the islands on the 18th of December by 26 Land Base Attack Aircraft of the Air Assault Force D. However, as a result of the reconnaissance, no military facilities other than a wireless telegraph station, oil tanks and small vessels were found in the islands, and the defenses were judged to be weak. The Malaya Seizure Force planned to occupy this base at the same time as Operation S.
Malay Seizure Force's strength
From the end of December to the start of Operation S, there were the following revisions in the wartime deployment and changes in the assignment of forces: (66)
1 On the 31st of December, the 8th Naval Construction Group was formed at Saigon, and was immediately assigned to the Southern Expeditionary Fleet.
2 On the 3rd of January, the 3rd Southern Expeditionary Fleet, which was in charge of the Philippines, was newly formed, and on the same day the existing Southern Expeditionary Fleet was renamed the 1st Southern Expeditionary Fleet.
On the same day, the 17th Minelayer Division (Minelayers ITSUKUSHIMA, YAEYAMA and the Auxiliary Minelayer TATSUMIYA MARU (44853)) was disbanded and Auxiliary Minelayer TATSUMIYA MARU (44853) was incorporated in the 3rd Fleet.
Also, on the same day, Vice Admiral Kondo transferred the 4th Aircraft Carrier Division from the Main Body of the Southern Force to the Malaya Seizure Force, and the Auxiliary Minelayer TATSUMIYA MARU (44853) continued to be attached to the Malaya Seizure Force.
3 As of the 10th of January, the 41st Minesweeper Division (Auxiliary Minesweepers KYO MARU Nº 1 (44389), KYO MARU Nº 3 (45155)630, REISUI MARU (27102) and TAKAO MARU (27091)) were transferred from the Sasebo Naval District and the 44th Minesweeper Division (Auxiliary Minesweepers TOSHI MARU (43946), TOSHI MARU Nº 2 (43947)631, CHOUN MARU Nº 6 (37525) and CHOUN MARU Nº 7 (38672)) were transferred from Mako Guard District to the 1st Southern Expeditionary Fleet.
On the 10th of January, Vice Admiral Ozawa issued a Classified Malaya Seizure Force Order nº 15 concerning Operation S and the capture of the Anambas Islands base. The Table 74 is a list of the units of the Malaya Seizure Force as specified in the order. (102-149)
On the Table nº 74, the Auxiliary Patrol Boats of the 1st Escort Force and the Anambas Base Force consisted of the following 9 vessels: Auxiliary Patrol Boats YUTAKA MARU Nº 7 (44104), KANNO MARU (44682), KOMPIRA MARU Nº 8 (44088), TAIYO MARU (44436), KAIYO MARU Nº 5 (43520), CHOYO MARU Nº 7 (43591)632, HOKUYO MARU Nº 2 (T449), GION MARU (42066)
and the TAIKA MARU (42199). All of these boats were transferred from the 11th Special Base Group to their respective units. In addition to the above, the 11th Special Base Force had 3 other Auxiliary Patrol Boats: Auxiliary Patrol Boats SHINKO MARU Nº 8 (44410), YACHIYO MARU Nº 5 (39046) and the JINKO MARU Nº 1 (39437)633.
630On the original text says it’s the KYO MARU Nº 2, but she was a subchaser and not a Minesweeper. According with Gengoro S. Toda on tokusetsukansen, the Auxiliary Subchaser KYO MARU Nº 2 (45132) was a member of the 53rd Subchaser Division. Also from tokusetsukansen, the 41st Minesweeper Division was composed by the Auxiliary Minesweepers KYO MARU Nº 1 (44389), KYO MARU Nº 3 (45155), REISUI MARU (27102) and the TAKAO MARU (27091).
631The original text doesn’t mention the Auxiliary Minesweeper TOSHI MARU Nº 2 (43947) as being part of the 44th Minesweeper Division. Gengoro S. Toda at tokusetsukansen gives the information, with individual TROMS for each ship, that the 44th Minesweeper Division was composed by the Auxiliary Minesweepers TOSHI MARU (43946), TOSHI MARU Nº 2 (43947), CHOUN MARU Nº 6 (37525) and the CHOUN MARU Nº 7 (38672). It’s rare but sometimes Senshi Sosho is not entirely correct and probably the reason, is that since 1969, when this volume was compiled, more information became available.
632On the original this boat is named 第七關洋丸 but I could not find any vessel with this name. At Tokusetsukansen.jpn.org there is this boat 第七朝洋丸(43591) , Auxiliary Patrol Boat CHOYO MARU Nº 7 (43591). The 3rd Kanji symbol is different, but according with its TROM, she was at Anambas on the 29th of January. Along the translations I have become aware that a few Kanji symbols have changed since the time Volume 24 of "Senshi Sosho" was compiled.
633On the original this boat is named 第一幸甚丸 but I could not find any vessel with this name. At Tokusetsukansen.jpn.org there is this boat 第一甚幸丸 (39437): The same Kanji symbols but 3rd and 4th are inversed. I’m assuming that there was an error and the Tokusetsukansen.jpn is the correct one. The Auxiliary Patrol Boat JINKO MARU Nº 1 was attached to the 11th Special Base Force.


Preparation for Operation S (154-155)
On the 31st of December Vice Admiral Ozawa ordered the 1st Escort Force to sail to Canton by the 6th of January and escort the Army Auxiliary Transports of the 18th Division to Camranh Bay by the 11th of January. At the time, the 1st Escort Force was sailing from the east coast of Malaya to Camranh Bay, as Operation Q had been cancelled. Rear Admiral Hashimoto waited for the ships to return and then led the Light Cruiser SENDAI, the 20th Destroyer Division and the Destroyer SHIKINAMI from the 19th Destroyer Division, out of Camranh Bay on the 3rd of January and arrived at Canton on the 6th of January. The 1st Escort Force, escorting 11 auxiliary transports with the Army 18th Division634, left the Wanshan Archipelago (mouth of the Pearl River) at 0800 on the 9th of January and arrived at Camranh Bay at 1600 on the 10th of January.
634See Table 73.
On the 7th of January, after completing the S Operation Air Operations Agreement, the 1st Air Force accelerated preparations for S Operation. On the following day Vice Admiral Ozawa gave the following orders for the destruction of the Singapore air force: (106)
1 The 1st Air Force should cooperate with the Army 3rd Air Division to reduce the enemy air force and destroy naval ships in the Singapore area.
Daylight attack will start around the 10th of January.
2 After the start of the air operation, search and destroy in the "B" area for 3 days.
Rear Admiral Matsunaga changed part of the plan as follows and submitted it to the Army 3rd Air Division on the 9th of January:
1 In view of the situation at Kota Bharu Air Base, the base of the Land Based Attack Force which was to use this base was changed to Saigon. For this reason, the time of the 3rd attack was changed to 1300.
2 27 Land Based Attack Aircraft of the Air Assault Force D will be added to the forces participating in the 2nd attack, and the target of the attack will be Tengah Airfield.
The Army 3rd Air Division accepted this proposal and revised its plan to add an attack by 30 Heavy Bombers and 40 Fighters immediately after the 2nd Attack, and to reduce by half the 60 Heavy Bombers of the 3rd Attack.
On the 10th of January, the 1st Air Force confirmed to the Army 3rd Air Division that the first attack would begin the following day. In response, at 1600, the Chief of Staff of the Army 3rd Air Division announced:
The 1st day of S will be tomorrow the 11th as planned.
As night fell at 2045, the Army 3rd Air Division alerted the 1st Air Force that:
1 The 12th Army Air Brigade, due to bad weather on the 10th, has not completed its assembly at Kuantan.
2 The first strike of the group will be made on the 12th, after tomorrow.
For this reason, the 1st attack was postponed for 1 day. On the 11th of January, the Army 3rd Air Division informed the 1st Air Force as follows:
1 The 12th Army Air Brigade has been assembled, and the decision has been made to launch the first S attack on the 12th, tomorrow.
2 Weather report for tomorrow, 12th: Singapore:
Morning: Lower cloud cover 6, cloud base 1,000, middle level cloud cover 7, cloud base 4,500
Afternoon: Lower cloud cover 8, cloud base 1,000, middle level cloud cover 7, cloud height 4,500
Between Saigon and Singapore:
Laminated clouds, cloud cover 8, cloud base 1,000, cloud top 3000.
The 1st Air Force replied, "We have no objection," and the preparations for Operation S were complete.
Launching of Air Raids (109-115-148-154)
The first day of the air campaign came on the 12th of January. About 30 Heavy Bombers of the 7th Army Air Brigade of the Army 3rd Air Division and about 40 fighter planes of the 3rd and 7th Army Air Brigades were mainly launched from bases on the west coast of Malaya, while about 70 Type 97 Fighters of the 12th Army Air Brigade were launched from Kuantan Air Base and entered the airspace over Singapore around 1000 as planned. The counterattack by the British aircraft, estimated to be over 130, was surprisingly small. The 12th Army Air Brigade engaged 15 Buffalo Fighters and shot down 10, and the 3rd Army Air Brigade shot down 1 Blenheim bomber. The heavy bombers bombed Tengah Airfield, but to no known apparent effect.
81 Land Based Attack Aircraft of the 1st Air Force (27 each of the A, B and D Air Assault Forces) sortied from Saigon area bases between 0930 and 1007. However, the attack force had to turn back 100 nautical miles before Singapore due to dense clouds and rain. 21 Zero Fighters and 4 Land Based Reconnaissance Aircraft from Kota Bharu base were also unable to enter Singapore.
After the 1st Attack, about 70 Type 97 Fighters of the 12th Army Air Brigade flew a return sortie from Kuantan Air Base, and again entered the airspace over Singapore at about 1430, braving the bad weather. The counterattack by the British aircraft was still feeble, and only 6 Buffalo Fighters challenged them, 3 of which were shot down.
The 7th Army Air Brigade had no plans for a 2nd Attack. However, the 30 Heavy Bombers and about 40 type 1 Fighters which took part in the 1st Attack went out again. They were not intercepted by British aircraft at all, and the bomber group bombed Tengah Airfield.
On the 13th of January, 81 Land Based Attack Aircraft of the 1st Air Force (27 each from the A, B and D Air Assault Forces) sortied from the base early in the morning. The Air Assault Force A Squadrons turned back in the middle of the day due to bad weather. 20 Land Based Attack Aircraft of the Air Assault Force B (1 of which had reversed because of a malfunction) reached the eastern edge of Singapore but were unable to enter because of cumulonimbus clouds. At that time, several Fighters intercepted them and 1 of them was shot down. The Squadrons bombed an oil tank on Batam Island, south of Singapore. The Air Assault Force D was also unable to bomb the airfield due to cloud cover and so the 1st Squadron bombed the area around the Government House, and the 2nd Squadron bombed Mersing and Kotan Tinggi, 40 kilometers north of Singapore. The Zero Fighters and Land Based Reconnaissance Aircraft Squadrons turned back.
The 12th Army Air Brigade was unable to fly sorties due to rain. However, about 70 aircraft of the 3rd and 7th Army Air Brigades entered the airspace over Singapore around 1300. The bombers could not bomb the airfield because of poor visibility, so they bombed the city. The Fighter Squadron spotted 6 Buffalo Fighters and shot down 4 of them.
Postponement of Operation S
From the situation of the air attacks on the 12th and 13th of January, the Commander of the Army 3rd Air Division admitted that the Allied air forces were avoiding a decisive battle with our forces and that the air attacks were not successful, and therefore, after the 4th Attack, it was necessary to strengthen the attack on key positions in parallel with the air control. (148)
Vice Admiral Ozawa also judged that it would be impossible to carry out the planned landings with the results of the air attacks up to the 3rd Attack. In response to the postponement of the 1st Attack by 1 day, the landing date was also postponed by 1 day. On the 14th of January, Vice Admiral Ozawa requested the Southern Army to postpone the landing date by another day to the 19th of January, and also to postpone the sortie of the S Operation Force, which was scheduled to depart from Camranh Bay on the 15th of January. (149)
Meanwhile, the operations of the 25th Army advancing along the west coast of Malaya were proceeding extremely smoothly, and it was judged that they would be able to take Kuala Lumpur on the 11th, approach Gemas on the 14th, and reach the Johor Channel around the 25th. Judging that Operation S would lose its significance under the circumstances, the 25th Army Commander asked the Southern Army on the 14th to "suspend Operation S and have
the main force of the 18th Division land at Singora and assemble on the opposite bank of the Penang". (33-54)
In response to this, the Southern Army's will to carry out Operation S was strong. The Southern Army was of the opinion that Operation S could not be cancelled or even postponed for a day, not only because of the need to prepare fuel and ammunition for the next air campaign against Bangka and Palembang as well as the Singapore campaign. Moreover, the fact that, following the earlier Operation Q, the Malaya Seizure Force and the 25th Army again expressed their opinion to postpone or cancel Operation S, as if in collusion, seriously undermined the feelings of the Amy General Headquarters of the Southern Army. (64)
In addition, the 18th Division, which boasted a distinguished record on the Chinese front, was inspired by the valiant fighting of the Takumi and Kawaguchi Detachments and the 5th Division, of which it was a part635, and was eager to advance to the front line as soon as possible. For this reason, the 18th Division Commander believed that the Malaya Seizure Force was reluctant and often pressed her to promote the S Operation. (155)
635The text is not very clear, but the idea is that the 18th Division was also in the 25th Army just like the 5th Division. The 25th Army had the Main Force distributed by 4 Infantry Division: the 5th, the 18th, the 56th and the Imperial Guard Division.
The Southern Army finally agreed with the Navy's opinion to postpone Operation S for a day after considering the opinions of the Malaya Seizure Force and the 25th Army. (64)
Accordingly, on the 15th, 1640, Vice Admiral Ozawa ordered that:
The S-Day was decided to be the 19th of January, and all units to act as planned. (155)
Information on the appearance of aircraft carriers and battleships and the rescheduling of Operation S
During this period, the air attack on Singapore continued.
On the 14th, 27 Land Based Attack Aircraft of the Air Assault Force A, 24 Land Based Attack Aircraft of the Air Assault Force B, and 3 Land Based Reconnaissance Aircraft of the Air Assault Force C flew sorties but were hampered by bad weather. (109-115)
Most of the Army 3rd Air Division's attacks on the 14th were also hampered by rain, but only the Fighters of the 11th Army Air Group of the 12th Army Air Brigade were able to enter the skies over Singapore. The Army Air group did not see any enemy fighters but did report a significant reconnaissance result of the presence of an aircraft carrier anchored at Seletar Naval Base. At 1900, the Group Chief of Staff reports to the Headquarters of both the Malaya Seizure Force and the 1st Air Force:
On the 14th of January, at 1025, Seletar Naval Base, a large aircraft carrier was anchored there, and enemy aircraft were seen on the deck (visibility altitude 4,000 meters). (154)
On the 15th, at 0800, 27 Land Based Attack Aircraft of the Air Assault Force D departed from the Thu Dau Mot Air Base, and on the way, together with the Zero fighter squadron, succeeded in entering the skies over Singapore. However, they were unable to find the carrier they were aiming for, and bombed Tengah Airfield, an airfield northwest of Johor Bahru, and Kluang Airfield. In this attack, no fighter counterattack was received, and defensive fire was quiet. A Land Based Reconnaissance Aircraft also departed from Kota Bharu at 0800 and reconnoitered Singapore for about 1 hour. Due to the cloud cover, it was not possible to make an accurate reconnaissance, and no aircraft carrier could be spotted. (109-115)
On this day, the Army 3rd Air Division achieved 15 kills in the attack on Singapore and 7 kills by fire on the ground. In addition, reconnaissance aircraft confirmed that some 40 large aircraft were fleeing in the direction of Palembang. At 1500, the liaison officer Commander Inoguchi Kaneo reported the following information to the 1st Air Force: (154)
Yesterday (author's note: 14th), according to aircraft reconnaissance, in addition to aircraft carriers, there were 7 warships in the Naval base, 6 to 7 battleships or cruisers in the South China Sea (author's note: Singapore Sea).
Upon receiving this information, both the Malaya Seizure Force and the 1st Air Force Commanders asked the Army 3rd Air Division if there was a photographic reconnaissance, to which the liaison Commander Inoguchi Kaneo, sent the following reply on the 15th, 2000:
"The number of warships in the Naval Base is not yet known. " (154)
1 Not a photographic reconnaissance, difficult to be accurate.
2 Yesterday, according to the reconnaissance aircraft of the Army 3rd Air Division headquarters, there were 3 cruisers in the Naval Base of Singapore.
In addition, the 1st Air Force Headquarters, after reading the reconnaissance photographs of the 15th, judged that there were no aircraft carrier in Singapore, but that 1 battleship (RENOWN type) and 5 destroyers were at anchor, and reported this to the Malaya Seizure Force Headquarters. (149)
Although there were some differences in the information, at the Malaya Seizure Force Headquarters it was judged that there was a possibility that powerful units, including aircraft carriers and battleships, had been reinforced in Malaya, and that the aircraft carrier reported to be in Seletar Naval Base on the 14th was suspected to have already sailed from there to the South China Sea. (149) Vice Admiral Ozawa judged that it would be difficult to carry out Operation S under the circumstances, and on the 16th, he ordered the 1st Escort Force to "wait to sail until special orders are given regarding Operation S", and then gave the following orders at 0100: (103-149)
Malaya Seizure Force Order nº 91:
1 On the 15th ES, a squadron based on a battleship (as if accompanied by an air squadron) was berthed at Singapore.
2 The 1st Air Force will attack the enemy with all its force.
3 Be on the alert in the area where your forces are currently located.
In addition, Vice Admiral Ozawa gave the following orders to the troops stationed at Camranh Bay at 0150 (149):
On the 15th, a reconnaissance by naval aircraft revealed that a battleship was anchored at Singapore accompanied by an aircraft carrier, and that an air raid on the enemy aircraft carrier was imminent. All vessels must maintain strict anti-aircraft vigilance. After 0700, stand by for 16 knots in 15 minutes.
At the time, Vice Admiral Kondo was leading the Main Body of the Southern Force from Camranh Bay to Palau. On the 16th, 0900, Vice Admiral Ozawa sent a message to the Southern Force and the Southern Army saying that:
On the 14th and 15th, Army and Navy aerial reconnaissance revealed a powerful force in the "Singapore" area, and this force was to destroy this enemy first. (154)
Separately, he submitted his opinion to Vice Admiral Kondo that Operation S should be suspended because the time had already expired. (102)
On the 16th, the 1st Air Force, which had been ordered to attack naval ships in Singapore, planned an attack with 24 Land Base Attack Aircraft, 12 Zero Fighter and 2 Land Based Reconnaissance Aircraft. The 24 Land Based Attack Aircraft of the Air Assault Force A departed Saigon Air Base at 0710 on the 16th but were unable to join the Zero Fighter group on the way and entered the Singapore sky alone. Due to cloud cover, the Land Based Attack Force was unable to see the battleships, and bombed the western part of the Naval Base, but the effect of this was unknown. No fighter counter attacks were received. Defensive fire was intense, and 4 aircraft were hit. On the way back from the attack, 1 Land Based Attack Aircraft reported that a battleship had been spotted at 1255 Piai Point (at the southern tip of the Malay Peninsula, west of the Johor Channel) at 85°5 nautical miles on a heading of 240° and a speed of 30 knots. (155). 12 Zero fighters encountered over two dozen fighters over Tenga and shot down ten Buffalo fighters. At 1320, Land Based Reconnaissance Aircraft sighted 21 small planes at Tengah Airfield and 9 small planes at Seletar Airfield. Another Land Based Reconnaissance Aircraft reported the sighting of 1 battleship at 1020 and then was lost. A further Land Based Reconnaissance Aircraft left Kota Bharu at 1500 and reconnoitered the area but failed to find any battleships. 11 Land Based Attack Aircraft of the Air Assault Force
D searched the South China Sea west of the line between Saigon and Miri but found nothing unusual. (109-115)
The Southern Army, which was again requested to postpone Operation S, was extremely dissatisfied with the postponement of the operation by the Malaya Seizure Force. However, as the Malaya Seizure Force was planning to attack the British ships, it could not refuse the request. The Southern Army agreed to postpone the operation for up to 21st (64)
At 1130 on the 16th, Vice Admiral Ozawa gave the following order to attack the British fleet:
(102-143-155)
1 Operation S is postponed.
2 Heavy Cruiser CHOKAI, 7th Cruiser Division, 3rd Destroyer Squadron, 4th Aircraft Carrier Division636 (without the 2nd Section and with the Destroyer HAKAZE), Light Cruisers KINU and YURA to leave Camranh Bay at around 1300 on the 16th, and in the afternoon of the 17th, to advance to the south of French Indochina and lure the enemy towards the South China Sea, and together with attacks by air units, destroy them.
3 The 4th Submarine Squadron submarines are to be deployed for surveillance east of Singapore, and the 5th Submarine Squadron submarines are to be deployed near the "Sunda" Strait (between Java and Sumatra) and the northern part of the Marathi Strait.
4 The 2nd Air Force (excluding island seaplanes) will search for and contact enemy ships and attack their fleet.
5 All other units are to be on alert in their present positions.
Author's Note:
At that time, the 5th Submarine Squadron had been incorporated into the Submarine Force of the Southern Force and was not under the command of Vice Admiral Ozawa. It is thought that Vice Admiral Kondo temporarily transferred the 5th Submarine Squadron under the command of Vice Admiral Ozawa, but there is no record of this.
Reference:
Rear admiral Ugaki, Chief of Staff of the Combined Fleet, wrote in "Sensōroku", on the 16th of January as follows:637
“An enemy battleship was found in Singapore. Accordingly, bombers and fighters sortie early this morning, but we have received no good news yet.
Immediately after bombings were made on land, a reconnaissance plane found an enemy battleship speeding at 30 knots on course 240° at a point 20 miles west of southwest shore of Singapore. Just missed her! However, if she proceeds north through Malacca Strait, she will still be within our bombing range tomorrow morning despite her high speed.
636The 4th Aircraft Carrier Division’s Aircraft Carrier RYUJO. Missing the Escort Aircraft Carrier KASUGA MARU, later renamed TAIYO.
637This translation is based on the “The Diary of Admiral Matome Ugaki, 1941-1945: Fading Victory”, translated by Masataka Chihaya, Naval Institute Press (1991).
Anyway, it is amazing to see that this battleship dared to appear in Singapore. What was her mission? It must have been an attempt to transport reinforcements, taking advantage of the great capacity for loading and the superior speed of the Renown Type battleship.
It is a great pity that our naval air force’s advance and establishment of bases on the west cost of Malaya have been delayed.”
The sortie of the surface force of the Malaya Seizure Force was delayed due to refueling. Vice Admiral Ozawa led the group (5 heavy cruisers, 3 light cruisers, 1 aircraft carrier and 14 destroyers) out of Kamran Bay on the 16th at 1500. (155) However, as a result of a detailed examination of the situation of the battleship detection of the Land Based Attack Force, the 1st Air Force Headquarters issued a correction telegram at 1800 stating: "It is difficult to recognize the battleship. " (155)
On the same day, most of the Land Based Attack Aircraft of the Air Assault Force B advanced to Kota Bharu.
Change from assault landings to material landings
On the 16th, the Chief of Staff of the Southern Army informed the Chief of Staff of the Malaya Seizure Force the General Staff's opinion on Operation S as follows: (34)
1 In the air operations against Singapore, the results against the enemy vessels were not clear, but the enemy air force was completely suppressed, and the number of remaining aircraft was about 50, and the enemy aircraft were forced to flee in sharp pursuit, so the Army General Staff judged that they could fully expect to protect the fleet and cover the anchorage. Therefore, if the results of the above-mentioned air destruction war are singled out and the decision to launch Operation S is postponed, the war will not be lost due to the progress of operations on the west coast of Malaya, but the start of Operation H (author's note: Operation Java) will be delayed.
2 Please be aware that we have concluded an air agreement with the intention of carrying out the operation with the results of today's operation. It is understood that the same view as above applies to the timing of Operation L.
On the same day, however, Vice Admiral Kondo, who had received a request from Vice Admiral Ozawa to cancel Operation S, sent the following message to the Southern Army: (34)
In regard to Operation S, it is agreed that the following changes should be made:
1 In view of the enemy situation in the area of Singapore and the progress of the Army's operations in the Malaya area, Operation S should be cancelled.
2 The cooperation of the Navy in the landing of Army air base materials in the direction of Endau and Mersing by sea shall be subject to the agreement of the Commander of the Southern Army and the Commander of the Malaya Seizure Force.
In response to the above-mentioned telegram from the Chief of Staff of the Southern Army, the Chief of Staff of the Malaya Seizure Force replied on the 17th as follows: (34)
The main objective of the Malaya Seizure Force is to promote the operations of the 25th Army in Operation S. We have always maintained close liaison and cooperation with the same Army, and we are aware of the details of the situation regarding the progress of Operation S. In addition, in view of the circumstances of the cancellation of Operation Q, we are concerned about the delay of Operation S. In regard to the promotion of air warfare, we have often communicated our intentions to the general army through the relevant army and navy departments.
The air campaign was delayed until the 12th when it was finally launched. In addition, there are weather problems, and the progress has not been satisfactory. As of the 14th, the enemy fighters have generally been subdued but most of the enemy fighters have not yet been destroyed. If Operation S is to be carried out as planned, the convoy is likely to suffer heavy losses, and the postponement has been decided. As described above, we are aware that your view of enemy fighters as the mainstay of aerial destruction is markedly different from our own.
In view of the fact that it is not possible to carry out future operations under the circumstances described, it is necessary to discuss the matter again with the Navy.
However, as long as the view with the navy differed greatly, it is difficult to implement it.
Therefore, the Southern Army sent the following message back to the Southern Force and the Malaya Seizure Force: (34)
Discussions on Operation S. I have no objection to the following conditions:
The Navy will sweep the area around the landing point and provide cover during navigation and at the anchorage, while the Army will be in charge of air defense. Forces in Camranh Bay are to be transported to Singora and Bangkok.
On the 17th of January, the 1st Air Force attacked Singapore with 24 Land Base Attack Aircraft, 8 Zero Fighters and 2 Land Base Reconnaissance Aircraft of the Air Assault Force B at Kota Bharu Air Base. The land-based attack force attacked Sembawang Airfield, setting several local aircraft and hangars ablaze and the Naval Base. They were attacked by 3 fighters, but
one of them was shot down. The Zero fighter squadron attacked Tenga airfield and destroyed 8 bombers. The Land Base Reconnaissance Aircraft confirmed the presence of 1 cruiser and 5 destroyers in the harbour, but no aircraft carriers or battleships were seen. (109-115)
Earlier, the 1st Air Force had been preparing to advance a Land Based Attack Force to Sungai Petani in accordance with the agreement between the Army and Navy. After the advance of base personnel and materials to the base had been completed, Vice Admiral Ozawa again discussed the use of the base with the Army 3rd Air Division on the 15th of January, and the Army 3rd Air Division agreed to this the following day. (154) Vice Admiral Ozawa then ordered the Land Base Attack Force and the 8th Naval Construction Group on standby at Singora to advance to the Sungai Petani base. (155) 9 Land Base Attack Aircraft of the Air Assault Force B advanced to Sungai Petani on the 17th, and 3 of them scouted the Straits of Malacca, but failed to find any enemy contacts. 9 Land Base Attack Aircraft of the Air Assault Force A also scouted the South China Sea but found no unusual activity. (115)
On the 17th, the Army 3rd Air Division destroyed 11 aircraft at Tengah Airfield, 14 aircraft at Pekanbaru Airfield (central Sumatra), a warehouse, and 5 flying boats at Seletar in flames. However, the Allied forces counter-attacked fiercely, and about 50 aircraft were attacked in the Gemas area. (154)
The Naval Force under the direct command of Vice Admiral Ozawa advanced to about 100 nautical miles south of Poulo Condor Island on the 17th. In the afternoon, a storm with wind speeds exceeding 30 knots occurred, but the unit remained in the vicinity, gathering information as it went638. (149)
On the 18th, 26 Land Base Attack Aircraft, 11 Zero Fighter planes and 2 Land Base Reconnaissance Aircraft of the Air Assault Force D attacked Singapore. The Land Base Attack Squadron bombed the western part of the Naval Base and fuel tanks, causing heavy fires. The Zero Fighter Squadron engaged over two dozen Buffalo fighters in air combat and shot down 15 of them but lost two Zero fighters. The Land Base Reconnaissance team spotted a destroyer and 3 large merchant ships in the harbour, and searched all the way to Lingga Island, but did not find any aircraft carriers or battleships. 6 Land Base Attack Aircraft of the Air Assault Force B searched the Straits of Malacca but found no enemy and 3 of them bombed the military facilities at Sabang on the northern tip of Sumatra, but the effect was uncertain due to cloud cover. In addition, 7 Land Base Attack Aircraft of the Air Assault Force A spotted 1 flying boat and 1 seaplane in the South China Sea, but no enemy information was obtained. (115)
The Army 3rd Air Division bombed an oil tank south of Sembawang and shot down 11 Buffalo fighters over Singapore and 4 over Malacca. (154)
The aircraft carriers and battleships which had been reported for the first time on the 14th could not be located despite a 5 day search. For this reason, on the 18th, 1500, Vice Admiral Ozawa gave the following orders:
1 No further news has been received on the enemy's position regarding battleships and aircraft carriers.
2 Heavy Cruiser CHOKAI, 7th Cruiser Division, 3rd Destroyer Squadron and 4th Aircraft Carrier Division will return to Camranh Bay.
3 The 4th Submarine Squadron to act in accordance with Southern Force Commander´s instructions.
4 All other units continue their previous duties.
638This is the Naval force that had departed from Camranh Bay the day before looking for the British Fleet (supposedly with at least 1 battleship).
The Malaya Seizure Force’s surface force left the area on the evening of the 18th and entered Camranh Bay on the 19th at 1600. (149) The staff of the Southern Army visited the flagship Heavy Cruiser CHOKAI to discuss the future operation, and the result was:
1 The main force of the 18th Division will leave Camranh Bay on the 20th of January and arrive at Singora on the 22nd of January under escort of the 1st Escort Force.
2 Two transports carrying airbase personnel and materials were to leave Singora on the 24th of January and land at Endau on the 26th of January.
On the basis of this decision, Vice Admiral Ozawa issued the following order on the 20th, 1500: Malaya Seizure Force Telegraph Order nº 8
1 Operation S is cancelled.
2 The 1st Escort Force will escort the main force of the 18th Division (11 Transports639) to the Singora and the Army Air Forces (2 transports) to Endau and at the same time promote the forward base at Anambas.
3 Each unit should act in accordance with the S Operation Plan (except for the 1st Escort Force, which is to be joined by the Anambas base unit, and the 3rd Air Force, which is to be joined by a destroyer from the convoy's main body) and in accordance with the following:
A) The Main Body of the Escort Force (1st Section of the 7th Cruiser Division 640 ) shall support the 1st Escort Force during the Endau operation and the Anambas base unit operation641.
B) The arrival date of the Endau and Anambas is scheduled for the early morning of the 26th of January.
C) The 1st Escort Force will leave Camranh Bay on the 20th, escort the 18th Division's main troops to Singora, then escort the Army Air Corps from Singora on the 24th, and land at Endau on the 26th. 2 destroyers, the 1st Minesweeper Division, the 11th Subchaser Division, the Auxiliary Minesweepers RUMOI MARU (26708) and OTOWA MARU (27092) and 4 Auxiliary Patrol Boats will be sent to Anambas. The submarine force is to be placed under the command of the Commander of the 9th Base Force.
D) The deployment of the submarine squadron to Endau is cancelled, and one submarine is assigned to the ES Eastern entrance.
E) The Light Cruiser YURA is to be under the command of the Commander of the 7th Cruiser Division on and after the 21st. (Note by the author: The Light Cruiser YURA was transferred to the Malaya Seizure Force on the 21st.)
4 The actions and supply of the remaining units will be in accordance with the S Operation Plan.
639Table 73.
640Heavy Cruisers Kumano and Suzuya.
6419th Base Force Units
![]() |
The escort of the convoy with the 18th Division (151-152-157)
After receiving the Malaya Seizure Force Order nº 8, Rear Admiral Hashimoto gave the following order on the 20th:
1 The 20th Destroyer Division and the Destroyer FUBUKI should leave Camranh Bay at 1600 on the 20th of January to escort the 18th Division's main convoy to Singora.
2 Alert navigation formation, route, anchorage, and escort procedure (omitted by author)
3 The 11th Destroyer Division (without the Destroyer FUBUKI) should provide cover for the convoy out of Camranh Bay.
4 The escort of the Auxiliary Transports KANSAI MARU (858) and CANBERRA MARU (682) between the Singora and Endau will be ordered later.
The 11th Destroyer Division (without the Destroyer FUBUKI) sailed from Camranh Bay at 1540 on the 20th and began anti-submarine sweeping outside the bay. 11 Auxiliary Transports carrying the 18th Division's main force, escorted by the 20th Destroyer Division and the Destroyer FUBUKI under the command of Captain Yamada642, sailed out of Camranh Bay at 1600. The Auxiliary Seaplane Carrier KAMIKAWA MARU (42936) and the Heavy Cruiser KUMANO's reconnaissance seaplane provided direct anti-submarine escort for the convoy until 1930. An accident occurred when a spontaneous fire broke out in the hold of the Auxiliary Transport CANBERRA MARU (682) at 2120. However, the fire was extinguished 20 minutes later and the damage was minor.
The 2nd Air Force escorted the convoy from 0930 to 1843 with 2 observation seaplanes from the Auxiliary Seaplane Carriers KAMIKAWA MARU (42936) and SAGARA MARU (47837) on the 21st, and from 0900 to 1745 on the 22nd , with 2 Type 95 reconnaissance seaplanes and 2 observation seaplanes from the Auxiliary Seaplane Carrier SAGARA MARU (47837) at Singora Seaplane Base.
The convoy arrived at Singora at 1800 on the 22nd without incident, except for a fire in the Auxiliary Transport CANBERRA MARU (682), thus completing the transport of the 18th Division's main force between Camranh Bay and Singora.
Landing of Army Aviation Material at Endau (149-151)
Rear Admiral Hashimoto planned to have the 20th Destroyer Division and the Destroyer FUBUKI, commanded by Captain Yamada, escort the Army Air Corps, on the Auxiliary Transports KANSAI MARU (858) and the NAGARA MARU (912) carrying materials from Singora to Endau, while the 1st Escort Force would go directly from Poulo Condor Island to Endau.
After 1000 on the 23rd of January, the Main Force of the 1st Escort Force643 sailed successively from Poulo Condor Island, and at 1400, the Main Body of the Escort Force and the 3rd Air Force also sailed from Camranh Bay to support this operation. The 3rd Air Force added the Destroyer SHIKINAMI of the 19th Destroyer Division and, at 2300, separated from the Main Body of the Escort Force and went to support the capture of Anambas Base.
642Commander of the 20th Destroyer Division.
643It’s not clear the exact identity of each ship in the text but on the Appendix nº 9: Malaya Phase II Operational Action Chart becomes a little clearer: The Destroyers HATSUYUKI and SHIRAYUKI departed ahead the Army 18th Division escort force on the 20th to provide cover on the outskirts of Camranh Bay and then returned to Camranh Bay. Appendix nº 9 doesn’t give the date and hour of the departure of the Light Cruiser Sendai with the Destroyers HATSUYUKI and SHIRAYUKI and 1st Minesweeper Division but refer that the force was approaching Phu Qui island at 2100 on the 21st of January, at 0600 on the 22nd was passing Saint Jacques and moved to Poulo Condor. Tokusetsukansen gives the 22nd as the arrival time for the 1st Minesweeper Division (not sure if the 11th Subchaser Division also made this voyage or was already at Poulo Condor Island). On the 23rd the Appendix nº 9 shows that the Main Force of the 1st Escort Force departs divided in 2 forces: 1 was made by Light Cruiser SENDAI and the Destroyers HATSUYUKI and SHIRAYUKI that joins the 20th Destroyer Division and the Destroyer Fubuki at 1530 on the 25th; and the 2nd made by the 1st Minesweeper Division and the 11th Subchaser Division that join at 0730 on the 26th. Appendix nº 9 doesn’t refer the Auxiliary Minesweepers RUMOI MARU (26708) and OTOWA MARU (27092) as part of this 2nd force but tokusetsukanse gives the 23rd as the departing day from Poulo Condor Island and the arrival on the 26th at Endau, and Illustration nº 45 refers them as part of the anchorage Guard Force before the battle of Endau: I do think that although not mention they were also with the 2nd group that departs Poulo Condor Island and joins at 0730 on the 26th.
According with the individual Auxiliary Patrol Boats TROMS at Tokusetsukansen, there might be 4 Auxiliary Patrol Boats were there is no departing day but arrive at Anambas only on the 29th and had time to go to Endau with this force: Auxiliary Patrol Boats CHOYO MARU Nº 7 (43591), HOKUYO MARU Nº 2 (T449) KANNO MARU (44682) and TAIKA MARU (42199). And there is one ship fir which is no data: Auxiliary Patrol Boat GION MARU (42066). From the other 4: 3 depart Poulo Condor Island on the 24th and arrive on the 26 at Anambas: Auxiliary Patrol Boats YUTAKA MARU Nº 7 (44104), Taiyo Maru (44436) and KAIYO MARU Nº 5 (43520). 1 (without departing day) arrived on the 27th at Anambas: Auxiliary Patrol Boat KOMPIRA MARU Nº 8 (44088).
Meanwhile, at Singora, the transports were changed to the Auxiliary Transports KANSAI MARU (858) and the CANBERRA MARU (682). The convoy was due to sail on the evening of the 24th but Landing Force Headquarters requested that the sailing be rescheduled for the 25th at 0800, as the men and weapons could not be transferred in time. However, Captain Yamada urged for the transfer, and the convoy was able to sail on the 24th at 2300. On the 25th, 1530, the Light Cruiser SENDAI joined the fleet. On this day, Army fighters directly guarded the convoy and no enemy aircraft were seen.
Around 0730 on the 26th, the other units of the 1st Escort Force joined the convoy, and the minesweepers began minesweeping ahead at 0800. Army fighters were constantly on the alert in the sky with about 10 planes from about 0900. 3 Lockheed bombers approached the convoy at 0920 but were repulsed by the Army fighters. As a result of minesweeping, no mines were found, and the convoy anchored at 1045 and began to land immediately. 1330, after the 1st landing, the convoy moved to the 2nd anchorage nearer the shore.
At 1630, 3 fighters, 4 or 6 Lockheed bombers and 12 biplanes attacked. A dozen or so people were seriously injured on the Auxiliary Transport KANSAI MARU (858) and 5 on the Auxiliary Transport CANBERRA MARU (682) and both ships suffered minor damage to their hulls.
At 1850, 12 biplanes attacked again. More than 6 of the biplanes were shot down, and only two attacked, causing no damage. At 1940, 2 biplanes attacked the boats alongside theBay. Auxiliary Transport KANSAI MARU (858) and several men were injured.
At 1950, 6 Lockheed bombers attacked but were repulsed.
More than 40 aircraft attacked the ships that day, with the loss of one seriously injured and more than a dozen slightly wounded on the Auxiliary Transport KANSAI MARU (858), and eight killed and seven wounded on the Auxiliary Transport CANBERRA MARU (682). On the same night, Rear Admiral Hashimoto requested Vice Admiral Ozawa to launch an air attack on Singapore. Despite being hampered by air raids, the landing proceeded smoothly, with the Auxiliary Transport KANSAI MARU (858) expected to finish on the 27th and the Auxiliary Transport CANBERRA MARU (682) on the 28th.
According to the records of the Army 3rd Air Division, the group's results for the day were 9 fighters shot down, 30 light bombers and 1 flying boat, totalling 40 (including 5 uncertain).
The Battle of Endau and the end of the landing (102-149-151)
At 1930 on the 26th, the 1st Escort Force received the following information from the 1st Air Force search aircraft:
1650, 2 enemy light cruisers were located at 45°, 100 nautical miles from Tanjung Jang (east end of Lingga Island644), heading 35°, speed 24 knots, weather in the vicinity clear, thin upper stratus clouds, visibility 30 nautical miles, good air current.
The position of the cruisers was about 200 nautical miles southeast of Endau. If the 2 ships were to counterattack the landings at Endau, it was judged that they would attack in the midnight on the night of the 26th of January or before dawn on the 27th. Rear Admiral Hashimoto ordered strict vigilance against counterattacks by enemy surface forces.
At that time, the anchorage vigilance procedure was to deploy the Light Cruiser SENDAI, 6 destroyers, 5 minesweepers, 2 Auxiliary Minesweepers, 3 Subchaser and 5 Auxiliary Patrol Boats645 within a 15 Kilometres radius around the transports. (See Illustration nº 45)
The moon was in the 1st quarter advancing to a full moon and set at 0318 on the 27th. At 0410, the Minesweeper W-4, patrolling the central patrol area east of the anchorage, spotted 2 ships in the darkness about 2 nautical miles northwest of Aceh Island. While trying to identify the ships as friend or foe646, the W-4 was unexpectedly attacked by 1 enemy torpedo and immediately returned fire and reported the attack to all units. However, the report was not only delayed but also misreported as Sembilang Island instead of Aceh Island. It was only at 0435, that the W-4 warning that 2 enemy vessels had been seen in the north quadrant of Sembilang Island reached the Destroyer FUBUKI and then the rest of the force:
Minesweeper W-4 reports seeing 2 enemy vessels on the northern point of Sembilang Island.
644Must be Lingga Island to the south of Singapore.
645On the original its stated as 6 Minesweepers, but the 1st Minesweeper Division had lost Minesweeper W-6 at Kuching and was only left with 5 ships. For the Auxiliary Patrol boats see Footnote nº 642, but the only possible are the Auxiliary Patrol Boats CHOYO MARU Nº 7 (43591), HOKUYO MARU Nº 2 (T449), KANNO MARU (44682), TAIKA MARU (42199) and probably and for lack of other option the GION MARU (42066).
646The ships were the Destroyers HMS THANET and the HMS VAMPIRE.
Meanwhile, the enemy ships continued to the northwest, and at about 0445 the Light Cruiser SENDAI and the Destroyer SHIRAYUKI were targeted by torpedoes but were not hit. At 0501, the Destroyer SHIRAYUKI identified the enemy ship and opened fire with star shells on the first enemy ship, believed to be a destroyer, from a distance of about 4,500 yards. Soon after, the 1st enemy ship started to fire and began to extend a smoke screen. At that time, however, the power supply of the Destroyer SHIRAYUKI broke down. When emergency repairs were made and firing was resumed, the Destroyer SHIRAYUKI only recognised 1 ship at the edge of the smoke screen. She resumed bombardment with star shells of the ship at a range of 2,800 meters at 0505. At 0508, the Destroyer YUGIRI, which was northeast of the anchorage, joined the battle from a range of 7,800 meters. At 0515, Destroyer YUGIRI reported 2 enemy destroyers, and Rear Admiral Hashimoto ordered the Destroyers YUGIRI and ASAGIRI to advance towards the enemy. At this time, the speed of the enemy destroyers was found to be greatly reduced by the concentrated fire of the Destroyers SHIRAYUKI and YUGIRI. Minesweeper W-1 also started firing but considering that it would interfere with the firing of other ships, it immediately stopped firing.
The Light Cruiser SENDAI and the Destroyers FUBUKI and ASAGIRI also began firing at a distance of between 10,000~7,000 meters around 0518. The enemy destroyers came under heavy fire and soon became disabled. However, the Destroyer SHIRAYUKI sensed the danger of the concentration of fire from the 5 ships and requested Rear Admiral Hashimoto to "cease the star shells bombardment". Acknowledging the intricacy of the battlefield, Rear Admiral Hashimoto ordered 0525 "Attention allies", 0527 YUGIRI to "Attack the other ship". 0528, 20th Destroyer Division (Destroyers AMAGIRI, ASAGIRI and YUGIRI) to "Wait for fire", followed by at 0530, 11th Destroyer Division and 20th Destroyer Division's target other ship.
The 20th Destroyer Division, proceeding south in search of 1 of the fleeing ships, spotted a destroyer running between Aceh and Sembilang Islands heading at 120° with a smoke screen. However, as the waters south of this were expected to be lined with mines, the squadron ceased its pursuit at 0545 and reversed course.
In the meantime, the Destroyer SHIRAYUKI was watching the situation while illuminating the target, but the enemy destroyer began to sink from the rear at 0535. At this time, the Destroyers HATSUYUKI and AMAGIRI approached the area and from a distance opened fire. At 0544, Rear Admiral Hashimoto, on the Light Cruiser SENDAI turned on the identification light on the Destroyer SHIRAYUKI and also called off firing. Then, at 0548, he ordered "1 ship to remain against the defeated destroyer, and the others to be deployed", and the confused situation was finally brought under control.
The enemy destroyer was sunk at 0548. Her position was 25°, 4,300 meters from Aceh Island. The Destroyer SHIRAYUKI saw the crew of the enemy destroyer transfer to a cutter and flee to the south and gave chase. However, the cutter entered a shallow area near Aceh Island, and the pursuit was abandoned and turned around. Near the sinking position of the destroyer, the ship rescued 1 Chief Torpedo Officer a lieutenant, 5 Sub-Lieutenants and 25 men and took them prisoner.
According to the prisoners of war, the British Destroyer HMS THANET (900 tons) sank and the British Destroyer HMAS VAMPIRE (1100 tons) escaped, both ships having sailed from Singapore at 1600 to attack the convoy. After sunrise, the top of the mast of the sunken HMS THANET was found exposed on the surface of the sea.
The Imperial General Headquarters called the Battle: Battle of Endau. The battle was portrayed as the 1st surface battle since the outbreak of the war. However, 3 days earlier, in the early hours of the 24th of January, a Japanese force of the Dutch East Indies Seizure Force had entered Balikpapan in Eastern Borneo and suffered considerable damage from a counterattack by several Allied destroyers, but this was not made public.
Our losses in the battle were limited to one seriously wounded crew member of the Destroyer SHIRAYUKI, while the British lost a destroyer and failed to achieve their objective of attacking the convoy. Although we had overwhelming force with 1 light cruiser and 6 destroyers, the battle was not satisfactory.
In the 3rd Destroyer Squadron Battle Report nº 3, the following is written about the lessons of the battle:
Battle report Observations:
1 Radio and visual signals may be used together to warn of the discovery of enemy surface vessels. The visual signal should be on the left.
Daytime: A smoke screen is displayed for a short time.
Night: indicate the type of enemy by using coloured star shells (Arrowheads647 are used when reporting at a considerable distance because they are not suitable for rapid fire).
2 At night, it is necessary to maintain good command and control. This time, 1 minesweeper, 1 Destroyer of the 11th destroyer Division and the 20th destroyer Division, was assigned to the direction of Aceh Island so there was no unified command.
3 The attack was concentrated on the enemy's lead ship and we did not catch any of the remaining ships. We should have not lost the opportunity to pursue the other leading ships (the author's omission) when one of the enemy ships was rendered inoperable. When one of the enemy ships was unable to move, Destroyer SHIRAYUKI and other ships close to the enemy should have not lost their chance to search for the other ship and pursue it on their own. The commanding officer (at the Light Cruiser SENDAI) was too far away to give any operational guidance. We were late in launching the pursuit and had to consider the enemy's mines on the sea. It was also regrettable that the pursuit was slow, and that the enemy it was finally lost.
647I could not identify this type of star shell. Arrowheads It’s probable that this is a bad translation. From what I could find the Imperial Japanese Navy had 2 types of Star Shells: One with parachute and the other without. It’s probable that the ones with parachute are the ones used for longer distances.
On the 27th, at 0815, about 10 Army fighters began the anchorage vigilance. At 0920, 4 fighters attacked, but the Army planes counterattacked, and another air battle was declared at 1335. At 1700, Rear Admiral Hashimoto ordered Minesweeper W-4, the Auxiliary Minesweepers RUMOI MARU (26708), OTOWA MARU (27092) and 4 Auxiliary Patrol Boats to the Anambas Islands.
At midnight on the 28th, the Auxiliary Transport KANSAI MARU (858) finished unloading, and Minesweepers W-2 and W-3 escorted the ship to Tenggol Island648 (130 nautical miles north of Endau) before proceeding to the Anambas Islands. On the same day, army fighters began to fly over the islands from 0820. Rear Admiral Hashimoto sent Minesweepers W-1 and W-5 to the Anambas Islands, and the Destroyer SHIRAYUKI to Camranh Bay with wounded from the transports. At 1200, after the Auxiliary Transport CANBERA MARU (682) had unload, Rear Admiral Hashimoto sent the 20th Destroyer Division (missing the Destroyer ASAGIRI) and the 11th Subchaser Division to the Anambas Islands, and himself led the Light Cruiser SENDAI, 11th Destroyer Division (missing the Destroyer SHIRAYUKI) and the Destroyer ASAGIRI to escort the Auxiliary Transport CANBERRA MARU (682) to the vicinity of Tenggol Island, returning to Camranh Bay on 30 January649.
On the 23rd of January, Rear Admiral Kurita led the Main Body of the Escort Force out of Camranh Bay, but on the following day he had the 2nd Section of the 7th Cruiser Division650 and the Destroyer URANAMI return to Saint Jacques to stand by651. On the 25th she joined with Light Cruiser YURA (Light Cruiser YURA’s actions to be described later), and on the day of the landing on the 26th she approached about 100 nautical miles north of Endau to support the operation, and on the 28th Light Cruiser YURA was detached and sent to the Anambas Islands. During this time the Main Body of the Escort Force saw only a few bombers and flying boats, but did not encounter any surface force, and returned to Camranh Bay on 30 January.
According to the records of the Army 3rd Air Division, the 12th Army Air Brigade flew a constant watch over the anchorage with one squadron totalling 126 aircraft from 0810 to 2032 on the 27th, and one squadron totalling 89 aircraft from 0750 to 1200 on the 28th, but no enemy aircraft attacked.
648Pulau Tengoll, east of Kuala Dungun.
649Japanese Cruiser of the Pacific War, page 424, says that the Light Cruiser SENDAI returned to Camranh Bay on the 31st of January and not on the 30th.
650Heavy Cruisers Mogami and Mikuma.
651Rear Admiral Kurita continues with the Heavy Cruiser SUZUYA and KUMANO from the 1st Section of 7th Cruiser Division and the Destroyers AYANAMI and ISONAMI from the 1st Section of 19th Destroyer Division (the Destroyer SHIKINAMI is escorting the Aircraft Carrier RYUJO).
![]() |

Capture of Anambas Base (102-152-153-157-160-161) (See Illustration nº 44)
The following units were directly engaged in the Anambas base occupation operation, based on a large part of the 9th Base Force units under the command of Rear Admiral Hiraoka:
Minelayer / Netlayer HATSUTAKA.
91st Subchaser Division (lacking the Auxiliary Subchaser SHONAN MARU Nº 12 (46257)).652
44th Minesweeper Division.653
Escort SHIMUSHU.
Occupation Force (a large part of the 91st Naval Defense Force and 91st Naval Communications Force).
Auxiliary Gunboat Minelayer CHOSA MARU (28075).
Auxiliary Transport NOJIMA MARU (40112)654, the Auxiliary Coal Supply KORYU MARU (37152).
Auxiliary Water Supply Ships KISOGAWA MARU (47841) and EIKO MARU (44035).655
2 Auxiliary Patrol Boats.656
4 fishing boats.
652Auxiliary Subchaser SHONAN MARU Nº 7 (45143) and Auxiliary Netlayer / Subchaser CHOKO MARU (46915).
653Auxiliary Minesweepers CHOUN MARU Nº 6, CHOUN MARU Nº 7, TOSHI MARU and TOSHI MARU Nº 2.
654On the original the Auxiliary Transport is classified as an oiler, but this can only be a mistake.
655Eiko Maru (44035) was an Auxiliary Minesweeper Tender and probably, as a Tender, would have also a large water supply.
656Apparently more than 2 Auxiliary Patrol Boats went. See the last paragraph of footnote 643.
The main force of the 9th Base Force had been operating in the Singora since the outbreak of the war. On the 4th of January, Vice Admiral Ozawa ordered Rear Admiral Hiraoka to prepare for the occupation of the Anambas base. On the 10th of January, Rear Admiral Hiraoka received the Malaya Seizure Force Order nº 15 and on the 13th of January, he left Singora for Poulo Condor Island with the operational forces that had been in the Singora, and the operational forces that were at Camranh Bay also advanced to Poulo Condor Island.
During the postponement of Operation S, the operational units were waiting on Poulo Condor Island, but it was decided that the landing of the Army Air Base troops on Endau would take place on the 26th of January and the occupation of the Anambas Base would also take place on the same day.
On the 24th of January at 0300, the 44th Minesweeper Division led the sortied from Poulo Condor Island and all the operational units sortied from the island by 1000.

Meanwhile, the 3rd Air Force (Aircraft Carrier RYUJO, Destroyers SHIOKAZE and SHIKINAMI), which separated from the Escort Force at 2300 on the 23rd of January, reconnoitred the Anambas Islands and surrounding area with 6 Naval Attack Aircraft657 on the 24th of January, but found no enemy activity. On the following day, 4 of these Aircraft bombed the Terempa telegraph station, and the other 2 spotted the islands 100 nautical miles to the north but found nothing unusual.
The attacking force reached 15 nautical miles northwest of Terempa at dawn on the 26th without encountering any enemy on the way. The 44th Minesweeper Division swept the sea ahead, followed by the Minelayer / Netlayer HATSUTAKA and Auxiliary Transport NOJIMA MARU (40112), which docked at 0330. The 91st Naval Defense Force aboard the Auxiliary Transport NOJIMA MARU (40112) landed at Terempa around sunrise, but there were no military facilities on land and no resistance. All troops followed, and the occupation of the base was completed by the end of the day.658
On the 26th, the 3rd Air Force patrolled the anchorage with 10 Fighters and 5 Naval Attack Aircraft, and 6 Naval Attack Aircraft were on alert around the anchorage but did not find anything unusual. In addition, 9 observation seaplanes (6 from the Auxiliary Seaplane Carrier KAMIKAWA MARU (42936) and 3 from the Auxiliary Seaplane Carrier SAGARA MARU (47837)) of the 2nd Air Force advanced from Saint Jacques to the Poulo Condor seaplane base.
On the 27th, a total of 10 Fighters and 7 Naval Attack Aircraft of the 3rd Air Force and 9 Observation Seaplanes of the 2nd Air Force patrolled the base but did not find anything unusual. On the same day, 1 Type Zero Reconnaissance Seaplane of the Auxiliary Seaplane Carrier KAMIKAWA MARU (42936) advanced to Anambas, and 3 Observation Seaplanes also of the Auxiliary Seaplane Carrier KAMIKAWA MARU (42936) advanced towards Kuching from Anambas.
On the 28th, the 3rd Air Force extended its search to the Natuna Islands with 2 Naval Attack Aircraft but did not find any enemy. On the same day, 3 Zero fighters of the 1st Air Force were scheduled to advance from Soc Trang to Kuching, and the 3rd Air Force was ordered to guide them. For this reason, 2 Naval Attack Aircraft first reconnoitred the weather in the Kuching area while 2 other Naval Attack Aircraft guided the Zeroes to the Kuching airfield. The 3rd Air Force ceased operations on this day and headed for Camranh Bay.
On the 28th, the 2nd Air Force was on alert around the base with 5 observation seaplanes and 1 Type Zero Seaplane. In addition, 2 Type Zero and 2 Type 95 Reconnaissance Seaplanes of the 7th Cruiser Division and 1 Observation Seaplane each of the Auxiliary Seaplane Carriers KAMIKAWA MARU (42936) and SAGARA MARU (47837) advanced to Anambas, and the Auxiliary Seaplane Carrier SAGARA MARU (47837), which had left Poulo Condor the day before, arrived in Anambas in the evening of the 28th.
On the 29th, 2 Observation Seaplanes of the Auxiliary Seaplane Carrier KAMIKAWA MARU (42936) moved to Kuching. The seaplane squadron at Anambas Base, with a total of 23 aircraft, patrolled the area around the anchorage from the 29th to the 31st, but found no unusual activity. The 20th Destroyer Division, the 11th Subchaser Division, the 1st Minesweeper Division, the Auxiliary Minesweepers OTOWA MARU (27092) and RUMOI MARU (26708), Auxiliary Patrol Boats659 and the Light Cruiser YURA, which had completed Operation at Endau, also arrived at Anambas between the 29th and 30th. The above units that entered Anambas base were preparing for the next campaign in Bangka and Palembang, and the base served as a forward base until the Malaya Seizure Force advanced to Seletar Naval Base.
657According with the Aircraft Carrier Ryujo TROM at combinedfleet, she was carrying 12 A5M4 Fighters (Claude) and 15 B5N Naval Attack Aircraft (Kate).
658See Illustration nº 44.
659See Footnote nº 643.
6 Operations of the Submarine Force
Operational Strategy of the Southern Force
The strategy for the submarine operation of the Southern Force in the 2nd Phase of the campaign was to deploy all the submarine forces in the key areas around Malaya and the Dutch East Indies, and in cooperation with air and surface forces, to encircle the Allied forces and to apply a heavy pressure on them, and to block their retreat routes and reinforcements in order to promote the capture of Malaya and the Dutch East Indies. On the 26th of December, together with the conversion to the 2nd Phase of Fleet deployment, Vice Admiral Kondo gave the following orders for submarine operations:
Southern Force Headquarters Order nº 38:
1 Submarine Force operational areas are roughly classified as follows:
Submarine Force A (6th Submarine Squadron): east of 117° East Longitude, Dutch East Indies, Australia and Indian Ocean.
Malaya Seizure Force, Submarine Force (4th Submarine Squadron): South China Sea, Java Sea and the Indian Ocean 117° West, east of 106° East Longitude.
Submarine Force B (5th Submarine Squadron): Indo-Pacific west of 106° East Longitude.
2 The submarines of the Submarine Force B will advance to the Indian Ocean upon the completion of the submarine base at Penang and as soon as they have completed the replenishment and maintenance at Camranh Bay and will engage in the prescribed duties of the Southern Force Order nº 35.
3 As soon as the submarines of the Submarine Force A have completed their replenishment in Davao, they should proceed to the assigned waters and engage in the duties prescribed by the Southern Force Order nº 35, however the minelaying operations are to be conducted on the Australia Sea area.
Note:
Southern Command Order nº 35 was issued around the 25th and 26th of December, but its contents are not known.
Submarine Force of the Malaya Seizure Force (103-152-175) (see Illustration nº 47)
On the 26th of January, the Commander of the Malaya Seizure Force also presented the operational guidelines for the submarine units of the Malaya Seizure Force, based on which Rear Admiral Yoshitomi set out the deployment of the various submarine units as follows:
18th Submarine Division660: (Submarines I-53, I-54 and I-55):
1 submarine in the Karimata Strait661, 1 submarine in the Sunda Strait662, 1 submarine between Surabaya and Semarang663.
19th Submarine Division664:
2 submarines between Surabaya and Lombok Strait665, 1 submarine south of Java.
21st Submarine Division666:
1 ship each to the south-east and north-west of the Anambas Islands. 1 of the submarines, however, after conducting weather reconnaissance in the Kuantan area before Operation Q, was deployed to the east of the Singapore Strait and then to the Karimata Strait.
660Submarines I-53, I-54 and I-55.
661Between Borneo and Belitung Island.
662Between Java and Sumatra Islands.
663Off the northern coastline of Java Island.
664Submarines I-56, I-57 and I-58.
665Between Bali and Lombok Islands.
666Submarines RO-33 and RO-34.
At the time the Submarine RO-33 was deployed east of Singapore other submarines were at Camranh Bay. The Submarine Force held a meeting for the 2nd Phase of the operation on the 27th and then the 19th Submarine Division and the RO-34 sailed from Camranh Bay on the 28th, and the 18th Submarine Force on the 29th.
As Operation Q was cancelled, Rear Admiral Yoshitomi cancelled the 21st Submarine Division's weather reconnaissance mission off Kuantan. On the 29th, the Imperial Japanese Navy General Staff sent a report that "a British convoy had left Bombay on the 21st for Singapore". As a result, Vice Admiral Ozawa ordered that the submarines to be deployed in the Java Sea be prepared for this. Rear-Admiral Yoshitomi established the "H" Patrol between Bangka and Sunda Straits, and 1 submarine to be deployed in the Karimata Strait was assigned to the "H" Patrol. The deployment point of the 21st Submarine Division was also changed to 1 submarine each in the Singapore Strait East entrance and at the Karimata Strait.
However, on the night of the 29th, Submarines I-53 and I-54 of the 18th Submarine Division were flooded through a storm ventilation tube and their main machinery failed, necessitating their return to Camranh Bay for repairs. Rear Admiral Yoshitomi therefore decided to deploy the Submarine I-55 to Patrol Area H.
The following is a summary of the actions and operations of each ship:
The 18th Submarine Division:
Submarine I-53:
Sails from Camranh Bay on the 6th of January, patrols the Karimata Strait from the 9th, ordered to change deployment to the east entrance of the Singapore Strait on the 13th, remains there from the 15th to the 20th, and returns to Camranh Bay on the 24th of January.
Submarine I-54667:
Sails from Camranh Bay on the 12th of January, patrols off Endau from the 15th to the 18th of January, returns to Camranh Bay on 21 January.
Submarine I-55:
After patrolling Patrol Area H from the 5th to the 10th of January, returned to Camranh Bay on the 14th of January 668.
The 19th Submarine Division
Submarine I-56:
On the 3rd of January arrived at Cilacap669 to patrol the area south of Java and began patrols, achieving the following results670:
On the 5th of January: Sank a 7,000-ton class cargo ship.671 On the 6th of January: A large cargo ship was destroyed.672
On the 8th of January: A medium-sized merchant ship and a 4,000-ton class merchant ship were sunk673.
On the 10th of January: Sank a 5,000-ton merchant ship674.
The Submarine I-56 departed from the operational surface on the 10th and returned to Camranh Bay on the 16th675.
Submarine I-57:
On the 3rd of January arrives at a patrol area off Surabaya and conducts a patrol between Surabaya and the Lombok Strait:
On the 6th of January: Spotted and torpedoed an American submarine but failed to hit676.
On the 7th of January: Sank a 5,000-ton class tanker677.
By order of Rear Admiral Yoshitomi, she patrolled the northern entrance of the Lombok Strait from the 8th to the 10th and returned to Camranh Bay on the 16th. During this time, on the 9th, she spotted an enemy submarine diving but could not attack it.
Submarine I-58:
Arrived at the Surabaya-Semarang patrol area on the 3rd of January and sank a 10,000-ton armed merchant ship north of Bawean Island678 on the same day679. On the 8th she proceeded to the north entrance of the Lombok Strait, on the 10th she withdrew from patrol and on the 16th returned to Camranh Bay.
The 21st Submarine Division:
Submarine RO-33:
At the time of the start the Second Phase of operations, Submarine RO- 33 was on patrol in the south-east off of the Anambas Islands, and on the 29th of December moved to the east entrance of the Singapore Straits. Departed from the area on the 5th and returned to Camranh Bay on the 7th. On the 13th of January she sailed again, this time to the east of the Singapore Strait on the 15th and through the Sunda Strait on the 18th of January to support of Operation at Endau.
Submarine RO-34:
From the 1st to the 8th of January, patrolled the Karimata Strait, but found no enemy and returned to Camranh Bay on the 11th of January.
During the 2nd Phase of the Campaign, the Malaya Seizure Force's submarine force sank 5 merchant ships of about 30,000 tons and destroyed two others, all of which were attacked by the 19th Submarine Division. In addition, 3 submarines, 4 destroyers and 3 merchant ships were spotted, of which 2 submarines and 1 destroyer were struck by torpedoes, but no hits were made and the others could not be attacked. It was also spotted and evaded aircraft 16 times and destroyers and patrol boats nine times, but most of them were met by the 19th Submarine Force, and it was judged that the anti-submarine alert around Java was quite severe.
During this operation, the flagship Light Cruiser KINU was in action with the Main Body of the Malaya Seizure Force and the Auxiliary Submarine Tender NAGOYA MARU (37699) was engaged in logistical support in Camranh Bay.
667On the original text there is an error and instead of I-54 its I-34, but the correct is I-54.
668Sails from Camranh Bay on 29th December.
669During the time of the Dutch East Indies known as Tjilatjap.
670It’s not on the original, but the 4th of January, Submarine I-56 shells and sinks the 2,626-ton British freighter KWANTUNG. I could not find any official source but according with wrecksite.eu, Submarine I-56 is credited with the act of firing on a few of the survivors while on lifeboats.
671This must be the 8,169-ton Dutch merchant TANIMBAR, that didn’t sink and was able to escape after firing back at the Submarine I-56.
672Could not find any evidence of this attack.
673According with Submarine I-56 TROM at combinedfleet: Around 0600 in the morning, Submarine I-56 torpedoes the 3,032-ton Dutch steamer Van Rees and around 2100, Submarine I-56 shells and sinks 2,263-ton Dutch passenger ship Van Riebeeck.
674Could not find any evidence of this attack. This could be the attack of the 12th.
675On the 12th, Submarine I-56 also torpedoes and shells the 2,065-ton Dutch merchant PATRAS but she is able to escape .
676Could not find the identity of the submarine.
677It’s the 3,077-ton Dutch auxiliary tanker TAN-3 (ex-DJIRAK).
678In the Java Sea in front of Surabaya.
679The only ship listed to be sunk by the I-58 at this period It’s the 2380-ton CAMPHUIJS, but on the 9th and not on the 3rd, but in the same area of the attack of the 3rd.
Southern Force’s Submarine Force B (102-175-193) (See Illustration nº 47)
The mission of the Submarine Force B during the 2nd Phase of operations was to advance promptly to the west coast of Malaya and carry out submarine operations in that area and in the Bay of Bengal. The Malaya Seizure Force was given the task of establishing the necessary submarine bases for this purpose. The Malaya Seizure Force initially considered Penang and Victoria Point at the southern tip of Burma as possible sites. When the 25th Army occupied Penang on the 19th of December, the staff officers of the Malaya Seizure Force and the 5th Submarine Squadron investigated the area and reported that it was suitable for a submarine base.
On the basis of this report, Vice Admiral Kondo ordered on the 24th of December that:
The Commander of the Malaya Seizure Force should establish a submarine base at Penang and make a study on the use of Victoria Point.
On the 28th of December, the 11th Submarine Base Force, which was attached to the Malaya Seizure Force, was formed with 145 men under the command of Captain Chihiro Nakajima680. The advance party under Captain Nakajima proceeded to Penang on the 4th of January and started to set up the base, while the rest of the base personnel and materials were transported to Singora on the 10th of January by the Auxiliary Submarine Tender RIO DE JANEIRO MARU (35928) and proceeded to Penang by land. The base force was ready to carry out base operations by about the 20th of January. (135-150)
The flagship of the 5th Submarine Squadron, Light Cruiser YURA, was in Camranh Bay after the end of the Kuching operation. She temporarily sailed out of Camranh Bay on the 16th of January under the command of Vice Admiral Ozawa but was removed of that assignment on the 18th of January. Rear Admiral Daigo, Commander of the 5th Submarine Squadron, led the Light Cruiser YURA into Singora on the 19th of January and advanced overland to Penang on the following day, the 20th of January. On the 21st, Light Cruiser YURA was removed from the 5th Submarine Squadron and transferred to the Malaya Seizure Force. (82)
68043rd Class.

Earlier, the 30th Submarine Division (Submarines I-65 and I-66), having received orders for the 2nd Phase of operations, sailed from Camranh Bay on the 5th of January and advanced into the Indian Ocean via the Karimata Strait, the Java Sea and the Lombok Strait. The 29th Submarine Division (Submarines I-62 and I-64) also sailed from Camranh Bay on the 7th of January and entered the Indian Ocean via the Karimata Strait and the Java Sea, Submarine I-64 via the Lombok Strait and Submarine I-62 around Timor Island. At the outbreak of the war, the 28th Submarine Division (Submarines I-59 and I-60), which had been undergoing repairs in the Inland Sea, advanced to Davao on the 5th of January. The 2 submarines sailed from Davao on the 9th of January and entered the Indian Ocean via the Molucca and the Banda Sea, the Submarine I-59 being engaged in surveillance off Port Darwin, Australia, and the Submarine I-60 in the Southern entrance of the Sunda Strait.
As already mentioned, on the 16th of January, Vice Admiral Ozawa issued an order for operations against the aircraft carriers and battleships reported to have been discovered in the Singapore area. In this order, the Submarine Force B was ordered to deploy to the southern entrance of the Sunda Strait and the north entrance of the Malacca Strait.
At the time, the 30th Submarine Division was sailing northwest of Sumatra towards Penang, the 29th Submarine Division was sailing southeast of Java towards Ceylon, and the 28th Submarine Division had one ship each off Port Darwin and at the southern mouth of the Sunda Strait.
Rear Admiral Daigo, upon receiving the orders of the Malaya Seizure Force, issued the following orders:
1 A battleship and an aircraft carrier are at the core of the force in the Singapore area.
2 The Submarine I-64 is to stand by in the "Horos 39", the Submarine I-60 in the "Homuno 13", and the Submarine I-62 in the "Torite 29" respectively.
3 The 2 submarines of the 30th Submarine Division to operate in the Strait of Malacca.
4 The Submarine I-59 will go to Penang.
The exact location of the ships indicated on point 2 is not known, but from various sources it is certain that the "Holos 39" and "Homuno 13" are South of the Sunda Strait and the "Torite 29" is South of the Lombok Strait.
At 1255 on the 16th, a Land Base Attack Aircraft of the 1st Air Force reported that an enemy battleship was sailing at 20681 nautical miles on the southern tip of the Malay Peninsula, Piai Point, on a heading of 240° and a speed of 30 knots. The position of the battleship was off the west end of Singapore Island, and judging from its course and speed, it was presumed that the battleship would make a rapid escape to the Bay of Bengal via the Straits of Malacca. Upon receiving this news, Captain Teraoka, commander of the 30th Submarine Division, dispersed the 2 submarines of the division at the west end of the Malacca Strait, 25 nautical miles apart, to wait for the enemy. Vice Admiral Kondo also ordered the 2 submarines of the Division to wait at the west end of the Malacca Strait at a distance of 25 nautical miles.
On the same day, Rear Admiral Daigo gave the following orders:
The Submarine Force B will make every effort to concentrate and respond to the Malaya Seizure Force Air force to capture and destroy the enemy warships in Singapore.
681On the original is 80.5 nautical miles, but this as to be a mistake. Earlier in the chapter related to this event it’s stated that it was 20 nautical miles: This makes more sense as the Land Base Reconnaissance Aircraft is observing the 1st Air Force attack at Singapore, and 80 miles at 240° from Piai point puts a battleship in the middle of the Rangsang Island on the other side of the Malacca Strait.
Thereafter, no information on aircraft carriers or battleships was obtained, so on the 18th , Vice Admiral Ozawa removed the order to the Submarine Force B, and Rear Admiral Daigo ordered the following at 0700: (193)
1 The enemy fleet in "Singapore" is unlikely to be mobilised.
2 The 29th and the 30th Submarine Divisions withdraw from their present deployment and destroy traffic as planned.
3 Submarine I-60 to act as planned. The Submarine I-59 is on its way to Penang.
However, the day before, on the 17th of January, the Submarine I-60, on patrol south of the Sunda Strait, spotted a convoy and attacked it, but was attacked by a British destroyer (Note: HMS JUPITER), which disabled the submarine and sank it after a surface battle682. Captain Yukio Kato (47th Class), commander of the 28th Submarine Division, Captain Shun Hasegawa (57th Class) and the entire crew of 67 were killed in action. At the time of issuing this order, the commanding officer did not yet know that the submarine had sunk.
The 30th Submarine Division was due to arrive in Penang on the 20th of January, but on the night of the 19th, Rear Admiral Daigo ordered the Commander of the 30th Submarine Division, to "make a reconnaissance of the situation" saying:
According to reconnaissance by Army planes, there are a number of merchant ships in Rangoon, and if no enemy ships are seen in the Straits of Malacca, the Submarine I- 66 should be ordered to proceed to the coast off Rangoon.
682From the Submarine I-60 TROM at combinedfleet: After a depth charge attack, Submarine I-60 is forced to the surface and after a fierce gun battle were the Submarine I-60 is able to put HMS Jupiter's open-backed twin- gun mount "A" out of action. HMS Jupiter fires 2 torpedoes that miss and continues to fire it’s remaining 4 main guns and using it’s 20-mm Oerlikon to silence the Submarine I-60 main gun. After 2 or 3 hits it appear that one internal explosion sinks the Submarine I-60. HMS Jupiter picked up only three survivors, one of whom later died.
On the 21st of January the Submarine I-66 arrived off Rangoon and remained on patrol until the 27th of January, during which time she sank two medium-sized merchant ships on the 21st of January683.
On the 20th of January, Submarine I-65 entered Penang for the 1st time, and Rear-Admiral Daigo, who entered Penang on the same day, raised the Rear Admiral's flag at Penang on the same day. Subsequently, Submarines I-59 and I-66 entered port on the 26th and 29th of January respectively. The 29th Submarine Division completed its operations in the Ceylon Island and Bengal Bay areas, and Submarines I-64 and I-62 arrived in port on the 5th and 10th of February respectively.
The details of the B Submarine Force's operations in the Dutch Islands and Bay of Bengal are given in another volume684.
683According with the Submarine I-66 TROM at Combinedfleet.com, on the 21st, at 1516, Submarine I-66 torpedoes the 3,193-ton Panamanian-flagged merchant NORD (ex-HAI SHANG). The next day on the 22nd, at 0525, the Submarine I-66 torpedoes the 2,358-ton British passenger-cargo steamer CHAK SANG.
684Senshi Sosho 26 - The Operations of the Navy in the Dutch East Indies and the Bay of Bengal. Already translated and available for download at “library.oapen.org/handle/20.500.12657/28411”.
7 Late Air Force Activities
1st Air Force (109-115)
Although Operation S was cancelled, the 1st Air Force increasingly stepped up its attacks on Singapore and extended its search area to the Strait of Malacca, Sumatra, and the Bangka Strait to cut off the retreat routes and reinforcements of the Allied forces in Malaya. The following is a summary of the results of the attacks. The operations of the 1st Air Force from the 19th of January to the end of the 2nd Phase of operations on the 23rd of January, are described here:
19th of January 1942:
6 Land Base Attack Aircraft of the detachment of the Air Assault Force B at Sungai Petani attacked Sabang Port685, blowing up docks, warehouses and docked medium-sized merchant ships, while 3 other Land Based Attack Aircraft flew over the Malacca Straits and northwest Sumatra, destroying one 7,000- ton class merchant ship and 1 small merchant ship686. 7 Land Base Attack Aircraft of the Air Assault Force D searched the South China Sea but failed to find any enemy.
685Sabang is situated at We Island. We island is just in front of Northern Sumatra (Around 10 nautical miles) at the entrance of the Malacca Strait.
686I could not find any information for a 7000 tons ship sunk at this time at the Malacca Straits, but according with the wrecksite.eu one of the merchant ship is the Dutch SS VAN IMOHOF (2980 Tons). According with the VanImhoff.info and the, she was transporting 478 German internees (civilians pow): the Dutch crew is rescued but apparently the majority of the civilian pow is lost.
20th of January 1942:
18 Land Base Attack Aircraft of the Air Assault Force A, 26 Land Base Attack Aircraft of the Air Assault Force B, 18 Zero Fighters and 2 Land Base Reconnaissance Aircraft of the Air Assault Force C attacked Singapore. The Air Assault Force A sank an Auxiliary Warship at the Merchant Port and blew up the factory and dock area, while the Air Assault Force B attacked Sembawang Airfield and blew up 4 aircraft and 1 hangar in the area. However, when Lieutenant Takai's aircraft of the Air Assault Force A took off from Saigon Airfield, the bombs on board exploded due to engine failure, seriously injuring him and killing the other 7 crew members on board. On the same day, the 1st Spitfire fighters (misidentified as Hurricanes) appeared in Singapore. (154) The Zero fighter spotted them and pursued them but was unable to catch them.
3 Land Base Attack Aircraft from Sungai Petani 687 discovered and bombed a destroyer, an auxiliary ship and 3 merchant ships outside the port of Belawan (200 miles southwest of Penang on the north688 coast of Sumatra), destroying 1 merchant ship. In addition, 5 other Land Base Attack Aircraft attacked them, but they were only hit by close impacts.
7 Land Base Attack Aircraft of the Air Assault Force D searched the South China Sea but found no unusual activity.
21st of January 1942:
25 Land Base Attack Aircraft of the Air Assault Force B, 27 Land Base Attack Aircraft of the Air Assault Force D, 9 Zero Fighters and 1 Land Base Reconnaissance Aircraft of the Air Assault Force C attacked Singapore. The Air Assault Force B sank a small merchant ship at Singapore port and destroyed the same port. Before the bombing, 2 Spitfire fighters counterattacked and 1 was shot down, but on the way back, 8 Buffalo fighters pursued and 1 of our aircraft was shot down. The Air Assault Force D bombed Tengah airfield, setting 3 large aircraft ablaze and blowing up about 10 others. The Zero fighter squadron was assigned to support the Land Based Attack Force.
The detachment of the Air Assault Force B from Sungai Petani, bombed Belawan and Sabang, destroying a merchant ship, and 4 other Land Base Attack Aircraft again attacked Sabang, destroying a merchant ship689.
687Air Assault Force B.
688I think that there was a confusion between Lampuyang and Belawan. To the southwest of Penang cannot be the northern coast of Sumatra but the eastern coast, facing the Malacca Strait. There is a Lampuyang, near Sabang in the northern part of Sumatra but it’s around 550 kilometres from Penang. Belawan is around 200 kilometres southwest of Penang.
689According with the naval-history.net, 1 of the merchant ships is the Royal Navy Armed Merchant Ship HMS RAUB
22nd of January 1942:
25 Land Base Attack Aircraft of the Air Assault Force A, 27 Land Base Attack Aircraft of the Air Assault Force D, 9 Zero Fighters and 2 Land Base Reconnaissance Aircraft of the Air Assault Force C attacked Singapore. The Air Assault Force A attacked Kallang Airfield and destroyed 20 aircraft on the ground and left hangars in flames. After the bombing, the force was pursued by 12 fighters of various types and 5 of them were shot down. However, we also lost 1 of our Land Base Attack Aircraft. 1 of the Land Base Attack Aircraft crash-landed about 30 nautical miles south of Kuantan, and another near Tinggi Island, 70 nautical miles southeast of Endau.
The Air Assault Force D bombed Sembawang airfield and destroyed 15 of the 20 aircraft in the area.
The Zero Fighter Squadron engaged in a fierce aerial battle with an enemy fighter squadron attacking the Air Assault Force A and shot down 8 Spitfires.
22 Land Base Attack Aircraft of the Air Assault Force B searched a wide area around the Straits of Malacca and Sumatra, and discovered and attacked 8 ships, but with little effect. 3 Land Base Attack Aircraft from Sungai Petani attacked Belawan harbour, capsizing 2 medium-sized merchant ships and setting fire to a warehouse on the pier.
23rd of January 1942:
1 Land Base Attack Aircraft of the Air Assault Force A and 1 Land Base Reconnaissance Aircraft of the Air Assault Force C searched for the Land Base Attack Aircraft which had crash-landed near Tinggi Island but were unable to find it. At that time, 3 small patrol boats were found in the vicinity and attacked.
The operations of the 1st Air Force from the 29th of December to the 23rd of January (excluding movement, key operations flights, etc.) can be seen numerically as follows:
Attack on Singapore:
Number of aircraft used: 530 Land Base Attack Aircraft, 150 Zero Fighters aircraft, 34 Land Base Reconnaissance Aircraft (however, 145 Land Base Attack Aircraft, about 60 Zero Fighters, and 10 Land Base Reconnaissance Aircraft were turned back due to bad weather, etc).
Number of bombs dropped: 2,960 bombs, about 217 tons.
South China Sea:
Number of aircraft used: 135 Land Base Attack Aircraft.
Strait of Malacca and Sumatra area:
Number of aircraft used: 57 Land Base Attack Aircraft, 5 Land Base Reconnaissance Aircraft .
Battle results:
About 40 planes shot down and about 30 planes destroyed by fire on the ground.
3 ships sunk; 6 ships damaged.
Bombing of airfields, military facilities, etc.
Damage:
Self-destruction: 2 Land Base Attack Aircrafts, 2 Zero Fighters, 1 Land Base Reconnaissance Aircraft.
Emergency landing: 2 Land Base Attack Aircrafts. Accident: 1 Land Base Attack Aircraft damaged.
2nd Air Force (152-157)
In early January, the 2nd Air Force was engaged in escorting the 25th Army and 15th Army convoys between Mako and Singora (stop over Bangkok), and on 10 January, the flagship Auxiliary Seaplane Carrier KAMIKAWA MARU (42936) was in Camranh Bay and the Auxiliary Seaplane Carrier SAGARA MARU (47837) in Singora.
On the same day, Vice Admiral Ozawa issued orders for Operation S and the occupation of Anambas Air Base. In this order, Rear Admiral Imamura was ordered to command the 12th Seaplane Tender (without the Auxiliary Seaplane Carrier SANYO MARU (36117)), the Auxiliary Seaplane Carrier SAGARA MARU (47837) (missing 2 reconnaissance seaplanes) and a total of 10 reconnaissance seaplanes from the Heavy Cruiser CHOKAI and the 7th Cruiser Division, to escort the S Operation convoy, to set up the Anambas Seaplane Base, and to guard the area around it.
On the same day, Vice Admiral Kondo ordered Rear Admiral Imamura to take command of all seaplanes in Camranh Bay for the time being and to conduct patrols within 100 nautical miles of the mouth of the bay in the morning and afternoon, and in the event of the arrival or departure of seaplane units in particular, to strictly enforce anti-submarine warfare.
Operation S was cancelled, and the occupation of Anambas base was postponed to the 26th of January. Therefore, from the 10th to the 23rd of January, the 2nd Air Force was engaged in search, patrol and escort operations from bases in Camranh Bay, Poulo Condor Island and Singora. During this period, the main units sortied and arrived at their anchorages as follows, and the emphasis of the operation was on vigilance:
On the 5th: The Main Surface Forces of the Malaya Seizure Force's sailed from Camranh Bay690.
On the 8th: The Main Body of the Southern Force sailed from Camranh Bay for Mako.
On the 9th: The Main Surface Forces of the Malaya Seizure Force returns to Camranh Bay.
On the 10th: The Army 18th Division Convoy arrives at Camranh Bay and Main Body of the 1st Escort Force returns to Camranh Bay.
On the 16th: Main Body and Surface Forces of the Malaya Seizure Force sailed from Camranh Bay691.
On the 19th: Main Surface Forces of the Malaya Seizure Force arrives at Camranh Bay. On the 20th: Army 18th Division's convoy sails from Camranh Bay692.
On the 22nd: Some anchored at Singora.
Rear Admiral Imamura commanded the operation from the Auxiliary Seaplane Carrier KAMIKAWA MARU (42936) at Camranh Bay throughout this period.
From the 10th to the 23rd of January, the Camranh Bay seaplane base (Auxiliary Seaplane Carrier KAMIKAWA MARU (42936), Heavy Cruiser CHOKAI and the 7th Cruiser Division’s reconnaissance aircraft) flew a total of 168 seaplanes to search, patrol, and provide direct anti-submarine escort outside Camranh Bay. The following were the encounters during this period:
On the 10th, 1430:
The Type 95 Reconnaissance Seaplane of the Auxiliary Seaplane Carrier KAMIKAWA MARU (42936) spotted a torpedo trail 300 meters astern of a ship in the rear of the 18th Division's convoy at 13°, 13 nautical miles from the entrance to Hon Chut Lighthouse in Camranh Bay 693 . 3 Reconnaissance Seaplanes searched the vicinity but failed to detect the submarine.
690The Main Body of the Malaya Seizure Force (Heavy Cruiser Chokai) and the Main Body of the 1st Escort Force (1st Section of the 7th Cruiser Division Heavy Cruisers Kumano and Suzuya) depart Camranh to cover the movement of the 18th Division Convoy.
691Related with the false report of the presence of a British Battleship at Singapore and the consequent departure to try to hunt it.
692With the 1st Escort Force.
693At Binh Hung Island, situated to the south at the entrance of Camranh Bay.
On the 11th, 1350:
A reconnaissance seaplane from the Heavy Cruiser MOGAMI spotted what appeared to be oil and submarine tracks in the vicinity of the Hon Chut Lighthouse at 57°, 13 nautical miles, and searched the area but was unable to find the submarine.
On the 14th, 1735:
Heavy Cruiser MOGAMI's reconnaissance seaplane spotted the cover of a periscope at 190°, 19 nautical miles from the Hon Chut Lighthouse and attacked, but with unknown results.
On the 12th of January, Rear Admiral Imamura ordered the Auxiliary Seaplane Carrier SAGARA MARU (47837) to proceed to Poulo Condor Island in the morning of the 14th, and by special order to leave the island and proceed to Anambas to establish a seaplane base. The Auxiliary Seaplane Carrier SAGARA MARU (47837) handed over the command of the Singora seaplane Base to the Captain of the Training Cruiser KASHII, and left Singora in the afternoon of the 13th after recovering 2 Type Zero Observation Seaplanes and arrived at Poulo Condor Island in the morning of the 14th. 2 Observation Seaplanes of the Auxiliary Seaplane Carrier SAGARA MARU (47837) also departed from Singora to Poulo Condor Island on the same day. From then until the 18th, a total of 23 Observation Seaplanes were based on the island and conducted patrols and anti-submarine surveillance. However, the waves became too high from around the 17th, and the base on Poulo Condor Island could not be used for operations on the 19th and 20th, so operations were conducted from Saint Jacques on the 21st. On the 21st she operated from her base at Saint Jacques. On the 22nd and 23rd she again operated from her base at Poulo Condor Island with a total of 6 seaplanes.
The 2 Type 95 Reconnaissance Seaplanes of the Auxiliary Seaplane Carrier SAGARA MARU (47837) were engaged in searching, patrolling and anti-submarine escorting in the Singora sector from the Singora seaplane base all through this period, but found no abnormalities. Their operations in the Anambas Islands have been described above.
1.Transition to the 3rd Phase of Operations
On the 24th of January the Combined Fleet issued the following order: (77)
Combined Fleet Order nº 50, 24th of January, 1200:
The 3rd Phase of operations is to be established, but the destroyers (ships) are not to change its assignments694.
694On my understanding this sentence deals with the fact that the Anambas occupation and Endau operations that had been postponed had already started or about to start and the ships were already deployed for the assigned tasks.
The 3rd Phase of the operation, as specified in Classified Combined Fleet Order nº 1, was to last from the completion of the landings of the Army main forces at Malaya to the completion of the Dutch East Indies Operation, and the time of conversion to the 3rd Phase of operations was scheduled for around X+40 (17th of January).
According to the pre-war plan, the 56th Division was to be assigned to the 25th Army and take part in the Malayan campaign, but it was later transferred to the 15th Army and changed to operate in the Burma area. In addition, a part of the 25th Army's forces, which were to advance into Malaya, were still waiting at Mako on the 24th of January. However, with the landing of the main force of the 18th Division at Singora on the 22nd of January, most of the 25th Army had landed in Malaya. For this reason, on the 24th of January, the Combined Fleet ordered the conversion to the 3rd Phase deployment of operational forces.
At the beginning of the 3rd Phase of the operations, the only change in the assigned forces of the Southern Force was the removal of the 4th Submarine Squadron from the Malaya Seizure Force and its incorporation into the Southern Force Submarine Force. In addition, the mission of the Southern Force in the current period was stated in the Classified Combined Fleet Order nº 1 as:
1 Continue the 2nd Phase of operations and increase the war results.
2 Escort of the Army forces attacking to Java and Sumatra.
3 To stop and destroy the naval traffic in the Strait of Malacca, Java and Sumatra’s southern waters.
On the 24th of January, when the 3rd Phase of the Combined Fleet operational deployment was activated, the Malaya Seizure Force was in action for the Endau and Anambas operations on the 26th of January, and Dutch East Indies Seizure operational forces had just landed on Kendari in the Celebes and Balikpapan in Borneo695. For this reason, Vice Admiral Kondo, commander of the Southern Force, ordered that the incorporation of the 4th Submarine Squadron into the Southern Force Submarine Force be postponed until a later date and that for the time being, it be transferred to the 3rd Phase of the operations in its present assignment. (77-102)
695These operations are described Senshi Sosho Volume 26 – "The Operations of the Navy in the Dutch East Indies and the Bay of Bengal".
In the 3rd Phase of operation, the Malaya Seizure Force was given a new mission to capture Sumatra in cooperation with the Army. The star of operations for the capture Sumatra was the attack on Bangka and Palembang, but as mentioned above, the Malaya Seizure Force was in the middle of the Battle of Endau and Anambas at that time. Therefore, after the completion of this operations, the Malaya Seizure Force shifted to the Banka and Palembang operations in cooperation with the 16th Army.
2.The capture of Bangka and Palembang (Operation L) (102-149-152-155-160)
The main objective of Operation L was to secure the oil fields in the Palembang area and to occupy and secure an advanced base for the attack on Java, which was the main objective of the Dutch East Indies Campaign. At the same time, Operation L contributed greatly in blocking the retreat of the Allied forces in the Malayan area, and in preventing reinforcements in that area, thus facilitating the Malayan offensive. The details of this operation will be described in a separate volume696, so here it will be described its outline to the extent of understanding its influence on the Malayan operation.
696These operations are described Senshi Sosho Vol 26 - The Operations of the Navy in the Dutch East Indies and the Bay of Bengal.
Operation L had been decided to be carried out on the 6th of February in accordance with an agreement between the Southern Army and the Southern Force on the 29th of December. However, mainly because of delays in the occupation and maintenance of the forward bases of the naval air forces, and after various negotiations between the Army and Navy, it was only on the 9th of February that it was finally decided to carry out the operation on the 15th of February. (151)
Vice Admiral Ozawa issued the L Operation Plan on the 1st of February with the Malaya Seizure Force Order nº 17, according to which, almost the entire force of the Malaya Seizure Force, except for the rear base units, was to take part in this operation.
As will be explained later, the 1st Air Force, which until the end of January had been concentrating its energies on the attack on Singapore and the Strait of Malacca, shifted in February mainly to the attack on Allied naval and air forces in the Southeast of Sumatra. On the 10th and 11th of February, the 1st Escort Force (backbone of the 3rd Destroyer Squadron) escorted 22 auxiliary transports with the 38th Division out of Camranh Bay, and the Main Bodies of the Malaya Seizure Force and of the Escort Force (backbone with the Heavy Cruiser CHOKAI and the 7th Cruiser Division), the 2nd Air Force (Seaplane Forces) and the 3rd Air Force (backbone with the 4th Aircraft Carrier Division) assigned to support them. In addition, the Base Forces waiting at Anambas Air Base also sortied from the base on the 13th of February to join the invasion force.
The invasion force captured and attacked a number of escaping ships from Singapore between Singapore and Bangka Strait and proceeded while eliminating counterattacks by Allied naval vessels and aircraft, and on the 15th entered Mentok at the western end of Bangka Island. Part of the 38th Division immediately landed at Mentok and occupied the airfield by 0830. The Base Forces also began sweeping the Musi River leading to Palembang, and the advance force of the 38th Division went up the Musi River in boats and landed at Palembang in the evening of the 15th. The Army 1st Paratroopers, which had been dropped near Palembang Airfield the day before, joined the 38th Division, and the Palembang oil fields and the city were secured by both units.
Meanwhile, the Allied fleet consisting of 1 heavy cruiser, 4 light cruisers and 8 destroyers came northward through the Gaspar Strait east of Bangka Island on the morning of the 15th to counterattack our attacking forces. The Air Force of Malaya Seizure Force found it and made repeated attacks on the fleet. The Allied fleet, therefore, lost two destroyers and gave up the counterattack and retreated to the Batavia area 697.
697Actually, on the 15th the only achievement was a near miss on the Heavy Cruiser HMS EXETER by B5N1 Kates from the Aircraft Carrier RYUJO at 1105 and later on the same day the damage of Destroyers USS BARKER (DD- 213) and USS BULMER (DD-222) by a group of Land Based Attack Aircraft G3M2 “Nell” from the GENZAN Naval Air Group (Air Assault Force A).
The results of the surface forces of the Malaya Seizure Force during Operation L were as follows, including sunk, destroyed and captured: (102)
2 Minelayers and Auxiliary Minelayers, 3 Gunboats and Auxiliary Gunboats, 2 Torpedo Boats, 3 Subchaser, 1 Minesweeper, 5 Merchant ships and 5 Armed Merchant Ships, 1 Tanker and about 10 other small boats, about 30 ships in all.
Most of these vessels were escaping from Singapore and were on the run, and many of the men on board these ships became prisoners of war.
1st Air Force (91-102-115-149-154-165)
The most difficult operational problem facing the Malaya Seizure Force in the 3rd Phase during Operation L was the inability to secure a suitable air base at the right time for the war effort. The Kuching base, which had been the focus of Malaya Seizure Force's attention prior to the occupation, could not be made suitable for the full range of Land Base Attack Force. Therefore, the capture of the Ledo Airfield was planned as an alternative to Kuching. However, a considerable amount of time was required for the capture and maintenance of this airfield. This meant that the start of air operations against the key sites had to be delayed. Therefore, the naval side, which wanted to suppress the local air forces by air attack and capture the key areas with our air power, insisted on postponing Operation L for this reason, and came into conflict with the Army side, which insisted on capturing the key areas on time, and the army- navy joint operation faced many difficulties.
In the end, Operation L was postponed for a few days. On the 28th of January, the Malaya Seizure Force, the Army 3rd Air Division and the 16th Army agreed that if Ledo Airfield was not available, the Navy would use Kuantan, Kahang, Sungai Petani and Kota Bharu airfields on the Malay Peninsula. Earlier, the Navy had deployed some of its forces to Kota Bharu and Sungai Petani airfields.
On the 27th of January, the Kawaguchi Detachment took over Ledo Airfield after much effort. However, contrary to expectations, this aerodrome had many difficulties for the use by Land Base Attack Forces, and because of the roads leading from the landing site to the aerodrome, the transport of fuel and ammunition proved extremely difficult. Therefore, it was no longer possible to expect the airfield to be equipped for Land Base Attack Aircraft.
The 1st Air Force, which had high hopes for Ledo Airfield, had not carried out a preliminary survey of Kuantan and other areas, despite the previous Army-Navy agreement. When it became clear that Ledo Airfield would not be ready in time, the 1st Air Force hurriedly changed its plan to use Kuantan and Kahang. However, it was found that Kuantan Airfield also had trees on the runway extension, which made it impossible for Land Base Attack Aircraft to take off fully loaded. This delayed the advance of the Land Based Attack Force into the area. In the end, the situation of the advance of the 1st Air Force to the frontline bases was as shown in Illustration nº 48.
As shown in the diagram, the start of the use of Kuching Airfield, which was planned to be used from the end of December, was extremely delayed, and the Naval Air Group of the Air Assault Force A advanced from the end of January to early February, while the Air Assault Force B advanced to Kuantan on 6 February. Finally, Ledo Airfield could not be used in earnest until the end of the war and was used only temporarily or on an emergency basis. The Air Assault Force D was therefore forced to continue operating from Thu Dau Mot Air Base until late February, and on 24th and 26th of February, just before the invasion of Java, it only temporarily advanced to Gelumbang Air Base, 50 kilometres southwest of Palembang. In this way, the situation at the Air Base had an extremely significant impact on the Malayan campaign in the Dutch East Indies.

The 3rd Phase of the 1st Air Force's operations can be summarised as follows: from the 24th of January to the end of January, the emphasis was on attacks in the Singapore and Malacca Straits area; from the 1st of February onwards, they conducted spotting attacks on Allied warships and aircraft in the southeast Sumatra area; and from late February onwards, they moved into air operations in the Java area. On the 19th of February, the 1st Air Force, with the exception of the Mihoro Naval Air Group, was removed from the Malaya Seizure Force and incorporated into the Southern Force Air Force and prepared to attack Java, thus completing the mission of the Malaya Seizure Force.
Following is a description of the operations in the Malayan sector and a summary of other operations which had an influence on the Malayan campaign:
24th of January 1942:
A Land Base Attack Aircraft of the Air Assault Force A, supported by 2 Zero fighters, searched for the Land Base Attack Aircraft which had crash landed near Tinggi Island on the 22nd of January, but failed to find it. The Zero fighters encountered 3 Lockheed bombers and shot them all down. Another crash landed Land Base Attack Aircraft south of Kuantan on the 22nd of January was rescued by Army troops, but 2 crew members were killed in action and 1 was slightly wounded.
25th of January 1942:
6 Land Base Attack Aircraft of the Air Assault Force B scouted the South China Sea spotted the MA Area (in the waters between Borneo and Sumatra)698 but found nothing unusual. 1 other Land Base Attack Aircraft scouted northern Sumatra and bombed a large merchant ship at Sabang but failed to hit it.
26th of January 1942:
6 Land Base Attack Aircraft of the Air Assault Force B searched the southern part of the South China Sea and spotted and bombed 2 British Emerald-type light cruisers advancing south-east at 15 nautical miles north of Jang point699, Lingga Island, but failed to hit them. 6 other Land Base Attack Aircraft searched the Malacca Strait and destroyed a 1000 Tons merchant ship at Medan.
698It’s a code name for a specific area that in this case is the waters between Borneo and Sumatra. The 1st Air Force maps were lost by the war’s end and only a few of the code name areas are known.
699I was not able to identify this specific point at Lingga Island but must be close to Tanjung Jang.
27th of January 1942:
24 Land Base Attack Aircraft, 19 Zero Fighters and 2 Land Base Reconnaissance Aircraft of the Air assault Force D bombed Kallang airfield, setting the facility and five local aircraft ablaze.
7 Land Base Attack Aircraft of the Air Assault Force B attacked Padang and heavily damaged and burned a 10,000 Tons merchant ship, sank two 6,000 Tons class ships and two 3,000 Tons class ships, burned 3 small barges, slightly damaged a 6,000 Tons class ship, and set 2 warehouses ablaze.
28th of January 1942:
4 Land Base Attack Aircraft of the Air Assault Force B searched the MA area and spotted and bombed a convoy of 1 light cruiser, 5 destroyers and 6 transports heading north through the Bangka Strait, but to no avail. 5 other Land Base Attack Aircraft bombed the city of Pontianak. 14 Land Base Attack Aircraft of the same force attacked Padang and sank 3 medium-sized merchant ships.
29th of January 1942:
26 Land Base Attack Aircraft, 18 Zero Fighters and 1 Land Base Reconnaissance Aircraft of the Air Assault Force A attacked Singapore. The Land Base Attack Aircraft bombed Seletar Airfield, almost destroying the facilities, while the Zero Fighter destroyed 8 fighters in a counterattack. There were still 2 destroyers, 2 large merchant ships, 8 large merchant ships and about 30 small ships in the Naval Base, and more than 20 aircraft were seen at each airfield.
8 Land Base Attack Aircraft of the Air Assault Force B searched for MA Area and discovered and bombed a convoy consisting of 1 light cruiser, 2 destroyers and 6 transports moving southward on the northwest coast of Bangka Island, causing a fire on a 10,000 Tons class transport. 2 other Land Base Attack Aircraft searched the Malacca Strait and bombed military installations at Sabang and Padang.
30th of January 1942:
5 Land Base Attack Aircraft of the Air Assault Force B conducted a search of the Ma area and spotted and bombed 2 destroyers, 1 light cruiser and 1 submarine at 1230, 125°, 50 nautical miles from the Jang Point of Lingga Island but failed to hit them. On receiving this report, 18 Land Base Attack Aircraft of the same unit departed from Kota Bharu and headed for this attack but were unable to find them. They destroyed a 7,000 Tons merchant ship in the Mentok Harbour and hit a gunboat and a 1,000 Tons cargo ship at close range, and also destroyed an 8,000 Tons merchant ship and disabled a 5000 Tons merchant ship at North RO in the Bangka Strait.
7 Land Base Attack Aircraft of the Sungai Petani Detachment flew through the Strait of Malacca and found 2 destroyers, 3 submarines and 3 submarine tenders, and bombed the destroyers, but to no effect.
31st of January 1942:
6 of the 9 Land Base Attack Aircraft of the Air Assault Force A which had advanced to Kuching the previous day searched the Java Sea but found no enemy contacts.
Note:
The land attack from Kuching base was finally able to operate but with a penalty of supplies and ammunition.
1st of February – 18th of February 1942:
On the 31st of January, the head of the 5th Division moved into Johor Bahru on the other side of Singapore. The 25th Army successively concentrated its forces on the north bank of the Johor Channel and prepared to attack Singapore, the last Malayan target. As the air operations for the attack on Singapore were mainly carried out by the Army 3rd Air Division, the operations of the 1st Air Force after the 1st of February were mainly focused on attacking ships in the MA area. On the 19th of February, the 1st Air Force, with the exception of the Mihoro Naval Air Group, was transferred to the Southern Force Air Force and engaged in the Java Operation, and its operations from 1 to 18 February can be summarised as follows:
1 MA Area :
Number of aircrafts used: 430 Land Base Attack Aircraft, 3 Land Base Reconnaissance Aircraft, 30 Zero Fighters.
Results: Table 75.
2 The Strait of Malacca:
Number of aircraft used: 13 Land Base Attack Aircraft.
3 Singapore area:
Number of aircraft used: 8 land Base Attack Aircraft and 1 Land Base Reconnaissance Aircraft.
Results: Destroyed 3 merchant ships burned 4 Java Area:
Number of aircraft used: 4 Land Base Reconnaissance Aircraft and 30 Zero Fighters.
Results: 12 planes shot down and 8 destroyed by fire.

2nd Air Force (152-157)
The commander of the 2nd Air Force, Rear Admiral Imamura, continued to command a part of the 7th Cruiser Division and Heavy Cruiser CHOKAI's reconnaissance seaplanes, operating from Camranh Bay and Singora as in the 2nd Phase. During this period, as mentioned above, some units advanced to the Anambas and Kuching after the 24th. The operations of the 2nd Air Force from the 24th of January, when it converted to the 3rd Phase of operations, to the end of January were summarised in the Table 76.
The enemy encounters during this period were as follows:
1 On 26th January, the Destroyer SHIRAKUMO spotted and attacked a surfaced submarine outside Camranh Bay, and a reconnaissance seaplane co-operated in the attack. The effect was unknown.
2 On 28th January, the Reconnaissance Seaplane of the Heavy Cruiser MIKUMA spotted a submerged submarine outside Camranh Bay and attacked it with Destroyers URANAMI and SHIRAKUMO and reported that it was certain to be sunk700.
On the 1st of February, the 12th Seaplane Tender Division was disbanded and Captain Tarohachi Shinoda 701 , commander of the Auxiliary Seaplane Carrier KAMIKAWA MARU (42936), took over the command of the 2nd Air Force. On the same day, the 2 Type 95 reconnaissance seaplanes of the Singora seaplane base were transferred to the Singora Base Force.
From the 1st of February onwards, the 2nd Air Force was engaged in patrols at various anchorages, submarine sweeps, enemy searches, convoy escorts, etc., and also made preparations for the next Operation L. From the 1st of February to the 15th of February, the number of aircraft in operation totalled 130 at Anambas Seaplane Base, 16 at Camranh Bay, and 13 at Kuching. The Auxiliary Seaplane Carrier KAMIKAWA MARU (42936) also advanced to Anambas on the 16th of January.
As the 38th Division occupied Mentok, the 2nd Air Force set up a seaplane base at Mentok and sent most of its units there to support land operations. The following are reports of the 2nd Air Force's results during Operation L:
Sunk: 1 submarine, 1 gunboat and 1 torpedo boat.
Damaged: 1 torpedo boat, 4 gunboats and 1 transport
The seaplane force at Singora was withdrawn on the 23rd of January, thus ending the operations of the seaplane force in that area which had continued since the outbreak of the war.
700There is no report of any allied submarine lost.
70144th Class.


3rd Air Force (102-115-151)
After completing the operation to occupy Anambas and being at Camranh Bay from the 30th of January onwards, the 4th Aircraft Carrier Division (missing the 2nd Section702) under the command of Rear Admiral Kakuta was joined by the Destroyer SHIKINAMI for Operation L and sailed from Camranh Bay on the 10th of February as the 3rd Air Force. Thereafter, until its return to St. Jacques on the 19th of February, the 3rd Air Force was generally engaged in Operation L together with the Main Bodies of the Malaya Seizure Force and the Escort Force achieving the following results:
13th of February 1942703:
Damaged an 800 Tons transport ship.
Bombed a 500 Tons merchant ship with no effect (2 Naval Attack Aircraft).
Bombed 1 light cruiser, 2 destroyers and 18 transports, with no effect (ships attacked with 2 Naval Attack Aircraft).
Bombed a merchant ship in Singapore harbour with no effect (2 Naval Attack Aircraft).
Damaged a 700 Tons merchant ship (2 Naval Attack Aircraft).
A 5,000 Tons merchant ship ran aground (4 Naval Attack Aircraft). A 10,000 Tons merchant ship sunk and 1 in flames.
A 7000 Tons merchant ship caught fire.
A 8000 Tons merchant ship heavily damaged.
A 6,000 Tons merchant ship was damaged (8 Naval Attack Aircraft).
14th of February 1942704:
Bombed the Pangkalpinang power station on Bangka Island (2 Naval Attack Aircraft).
A torpedo boat carrier is sunk (2 Naval Attack Aircraft). A minelayer damaged (2 Naval Attack Aircraft).
A 1,000 Tons class merchant ship run aground (2 Naval Attack Aircraft). A 1,500 Tons merchant ship was sunk (4 Naval Attack Aircraft).
A 8,000 Tons auxiliary ship and a 800 Tons gunboat sunk (6 Naval Attack Aircraft).
15th of February 1942705:
A gunboat and a 7,000 Tons merchant ship are damaged (4 Naval Attack Aircraft)
Allied fleet (1 Heavy Cruiser, 4 Light Cruisers, 8 Destroyers) is attacked706: 1st Attack: 7 ship attacked; 1 heavy cruiser damaged by fire.
2nd Attack: 6 ship attacked, no effect. 3rd Attack: 5 ship attacked, no effect.
4th Attack: 6 ships attacked , cruiser's stern close hit.
16th of February 1942:
A 600 Tons cargo ship is stranded (2 Naval Attack Aircraft).
A 200 Tons cargo ship is seriously damaged (3 Naval Attack Aircraft).
17th of February 1942:
Sinking one British destroyer (10 Naval Attack Aircraft)707
702The 2nd Section of the 4th Carrier Division it’s the Escort Carrier KASUGA MARU (later renamed TAIYO on the 31st of August 1942).
703According with the combinedfleet.com Aircraft Carrier Ryujo TROM by Anthony P. Tully, Matthew Jones and Gilbert Casse: “RYUJO’s aircraft attack make 2 strikes of 8 Kates each: The 8,226 Tons Dutch tanker MERULA is heavily damaged. (Taken in tow, MERULA sinks later at 04-05S, 106-34E. Her survivors are rescued by Australian corvette HMAS Toowomba); 1,646-ton British auxiliary patrol vessel HMS GIANG BEE is bombed and damaged, later shelled by Japanese destroyers and sunk in the Banka Strait. British auxiliary anti-submarine vessel Siang Wo is also bombed and sunk that same day. Finally, 5,424-ton British steamer SUBADAR, whilst in transit from Singapore to Palembang with two Batteries of the 6th HAA and 10 3.7-inch AA guns and ammunition, is bombed and later beached W of Palembang”.
704According with the combinedfleet.com Aircraft Carrier RYUJO TROM by Anthony P. Tully, Matthew Jones and Gilbert Casse: “At 1500 RYUJO launches 6 attack planes armed with one 250-kg and four 60-kg bombs each, and 4 attack planes at 1600 that each attack an hour after launch. The 8,237-ton Dutch tanker MANVANTARA appears to be a victim - she is bombed and sunk at 04-08S, 106-38E.”
705According with the combinedfleet.com Aircraft Carrier RYUJO TROM by Anthony P. Tully, Matthew Jones and Gilbert Casse: “At 0848 RYUJO's fighters shoot down a flying boat spying on the force. At 0945 RYUJO launches 4 planes armed with on 250-kg bomb and four 60-kg bombs on a search sweep. At 1020 they attack the enemy.
At 1105, 7 B5N1s armed again with one 250-kg and four 60-kg bombs each take off from RYUJO to attack ABDA naval force in Gaspar Strait east of Banka Island. They arrive at the target at 1320 and soon score a near-miss against heavy cruiser HMS EXETER and damage her Supermarine “Walrus” floatplane. These return to RYUJO which promptly refuels, re-arms, and relaunches 5 of them at as a 3rd strike at 1630; a 2nd strike of 6 planes identically armed already having left at 1430. At 1529, 6 B5N1s from that second strike from RYUJO again attack HMS EXETER without scoring any hits.
About 1630, the 3rd wave from the carrier with 7 B5N1s attacks but is again unsuccessful. RYUJO promptly recovers her 2nd wave and relaunches it at 1845; this last attack from the carrier of six B5N1s bombs the ABDA force at 1900, concentrating on Light Cruiser De Ruyter which they believed to be a battleship. However, once again they score no hits.
In these strikes, 2 of RYUJO's aircraft are slightly damaged but made operational again the following day. The carrier has aggressively launched four strikes in one day, but despite this effort, has hit nothing.”
706This was the strong Allied fleet composed by the Heavy Cruiser HMS EXETER, the Light Cruisers HNLMS DE RUYTER, HNLMS JAVA, HNLMS TROMP, HMAS HOBART and the Destroyers USS BULMER, USS BARKER, USS STEWART, USS PARROT, USS EDWARDS, USS PILLSBURY, HNLMS KORTENAER and HNLMS PIET HEIN. The Allied Fleet is attacked in the Gaspar Strait.
707According with the combinedfleet.com Aircraft Carrier RYUJO TROM by Anthony P. Tully, Matthew Jones and Gilbert Casse: “Arriving around 1630 RYUJO's planes go after the destroyer. After evading several bombs, VAN NES is hit by 3 bombs and at about 1700 breaks in half abaft the second stack and sinks rapidly. Of her crew of 143, 68 are lost while 52 sailors are later rescued by a Dutch Dornier Do 24 and taken to Tandjong Priok, Java. VAN NES was the first allied warship sunk by Japanese carrier planes since Pearl Harbour”.
The total number of ships sunk and damaged by the surface and air forces mentioned above was about 40 large and small naval vessels and 40 merchant ships. The majority of these ships, judging from their actions and the condition of the captured ships, were presumed to be for the purpose of reinforcing or retreating from the Malayan area. The operation of the Malaya Seizure Force from February onwards was directly aimed at the capture of Bangka and Palembang, but on the other hand, it was aimed at blocking the reinforcement and retreat of the Allied forces in Malaya, which had entered the final stage, and promoting the capture of Malaya which contributed greatly to the success of the campaign.
3 The capture of Singapore and the opening of the Straits of Malacca
Capture of Singapore
The 5th Division’s lead forces, in hot pursuit of the British forces, entered Johor Bahru on the 31st of January, and the Konoe Division advanced to Kangkar, about 10 kilometres west of Johor Bahru, in the middle of the same night. Thereafter, the 2 Divisions concentrated their forces on the other side of Singapore Island, and the main force of the 18th Division, which landed at Singora on the 22nd of January, rapidly pursued the main force of the Army by motor transport.
On the 31st of January, Lieutenant General Yamashita, the commander of the 25th Army, gave the order to prepare for the invasion of Singapore, and the units proceeded with their preparations. The Army 3rd Air Division attacked Singapore and the surrounding area, and the artillery began shelling artillery positions and airfields on the 4th of February.
The 8th of February was the day of the Singapore landings. The operation was launched with a bombardment by 1,000 artillery pieces. The 1st landing parties of the 5th and 18th Divisions, supported by the subsequent bombardment of the Divisional Artillery, crossed the Johor Channel at midnight and entered Singapore Island at once. The landing was successful and the main forces of the 2 Divisions followed, with the Imperial Guard also landing on the night of the 9th and joining the battle. Thus, the full strength of the 25th Army and its supporting Army 3rd Air Division launched a general attack on Singapore, the last Malayan stronghold. The Allied forces, however, resisted stubbornly, and fierce battles were fought in various places. After a seven-day offensive by our forces, the Allied forces finally surrendered on 15 February, and Lieutenant-General A. E. Percival, Commander-in-Chief of the Malay Army, and about 100,000 Allied soldiers were taken prisoner. However, the number of our troops killed or wounded also amounted to about 5000. The capture of Malaya was completed in seventy days from the landing on the 8th of December.
Lieutenant General Yamashita requested Vice Admiral Ozawa to enter Singapore with him, but he could not comply with his request because the Malaya Seizure Force was in the middle of Operation L. The Malaya Seizure Force decided to send a platoon of his ground troops into Seletar at the same time as the Army. The Light Cruiser YURA brought a platoon of land troops from Anambas to Saint-Jacques, and the same platoon proceeded to Malaya by transport aircraft, and on 14 February entered Seletar. This was the 1st advance into Singapore by naval forces.
The end of Operation L and the change of Force’s assignment
Operation L progressed smoothly, and the Army 38th Division occupied Mentok on Bangka Island early in the morning of the 15th of February, and in the evening rushed into Palembang to secure the area with the 1st Paratrooper Group, which had been deployed the previous day, and to further extend the results of the war. In recognition of the success of Operation L, Vide Admiral Kondo transferred the following Forces of the Malaya Seizure Force to the Dutch East Indies Seizure Force in order to concentrate all possible forces on the next Java Campaign: (109-162)
17th of February 1942:
The 4th Submarine Squadron of the Malaya Seizure Force is incorporated in the Submarine Force of the Southern Force.
The change of deployment had been stipulated in the Combined Fleet’s 3rd Phase Deployment but its implementation had been postponed by the Southern Force during the present battle situation.
19th of February 1942:
The units below were incorporated in the Southern Air Force of the Southern Force:
22nd Naval Air Flotilla (less the Mihoro Naval Air Group).708 21st Naval Air Flotilla’s Kanoya Air Group Detachment.709 22nd Air Flotilla Yamada Naval Air Group.710
Destroyer HAKAZE.
21st of February 1942:
The following units were incorporated into the Dutch East Indies Seizure Force711:
Light Cruiser YURA. 11th Destroyer Division. 12th Destroyer Division.
1st Minesweeper Division.
Auxiliary Seaplane Carrier KAMIKAWA MARU (42936). 2 Auxiliary Submarine Chasers.712
1 fishing boats.
Naval Fleet Oiler TSURUMI.
Also, at the request of Rear Admiral Hara, commander of the 3rd Escort Force713 (5th Destroyer Squadron714) of the Western Java Invasion Force, Vice Admiral Ozawa ordered the 7th Cruiser Division and the 19th Destroyer Division (missing the Destroyer AYANAMI) to cooperate with the 3rd Escort Force in escorting the Main Convoy of the 16th Army between Camranh Bay and West Java and in supporting the landing. (103) On the 24th of February, Vice Admiral Kondo also ordered the 4th Aircraft Carrier Division to support the Java campaign. (145) Thus, after Operation L, the existing core units of the Malaya Seizure Force took part in the Java campaign.
708Air Assault Force A.
709Air Assault Force D.
710Air Assault Force C
711The Light Cruiser Yura, the 11th and 12th Destroyer Division and the 1st Minesweeper Division are incorporated in the 3rd Escort Force of the Western Java Invasion Force. The Auxiliary Seaplane Carrier Kamikawa Maru (42936), 91st Subchaser Division and the 2 fishing boats are incorporated in the 1st Air Unit of the Western Java Invasion Force.
712Auxiliary Subchaser Shonan Maru nº 7 (45143) and Auxiliary Subchaser Shonan Maru nº 12 (46257) of the 91st Subchaser Division (missing the Auxiliary Netlayer / Subchaser Choko Maru (46915)).
713The 3rd Escort Force is the Escort Unit of the Western Java Invasion Force.
7145th and 22nd Destroyer Divisions.
Opening of the Singapore Channel and the Malacca Strait715 (102-151-160)
Vice Admiral Ozawa ordered the opening of the straits on the 17th of February as follows:
1 The 9th Base Force ( without the 1st Minesweeper Division, the Auxiliary Gunboat Minelayer CHOSA MARU (28075) and the 91st Subchaser Division), the 20th Destroyer Division (without Destroyers AMAGIRI and ASAGIRI), the 41st and 44th Minesweeper Divisions and Auxiliary Minesweepers716 (2 patrol boats and 4 fishing boats missing) are to be assembled at the southern anchorage of Mapur Island (east of Bintan Island) under the command of the 9th Base Force Commander to open the main channel of Singapore Strait and the channel of the Malacca Strait. While the Escort SHIMUSHU, Auxiliary Gunboat Minelayer CHOSA MARU (28075) and 2 Patrol Boats be placed under the command of the 3rd Destroyer Squadron Commander.
2. The 3rd Destroyer Squadron Commander will lead the Light Cruiser SENDAI and the Destroyers AMAGIRI and ASAGIRI to support the opening of the main channel in accordance with the special order.
In response to this order, Rear Admiral Hiraoka, commander of the 9th Base Force, established the units’ deployments as shown in the Table 77, and ordered the units to assemble at the anchorage on Mapur Island as soon as possible.
Rear Admiral Hiraoka led the flagship of the 9th Base Force, Minelayer / Netlayer HATSUTAKA out of Palembang at 1800 on the 18th of February, and the other units also left the L Operation Area and Anambas Base, and by 0915 on the 20th of February all units had assembled at Mapur Island Anchorage.
The minesweeping force left the anchorage at 2030 that night and started minesweeping at 1000 the next day. In addition to using the buoys laid by the British forces, the minesweepers also took a British Navy Lieutenant Commander (Minesweeping Squadron Commander), who had been taken prisoner off Mentok, aboard our minesweepers to investigate the mines laid by the British forces and use him as a reference. The minesweeping operation started from the Point Z east of Datok corner717, and both minesweeping parties jointly carried out the operation up to the channel junction, and thereafter the operation was carried out as planned, and the minesweeping of various channels in the direction of Singapore was completed on the 25th. In addition, the Destroyers AMAGIRI and YUGIRI of the 20th Destroyer Division carried out minesweeping from Point Z to 120°, 60 nautical miles away on the 25th of February under the orders of Vice Admiral Ozawa.
The Malacca Straits Minesweeping Force left Singapore at 0800 on the 26th of February and commenced minesweeping at 2040. By the 28th of February, the unit had opened a channel with an effective sweep width of 1,000 meters and a sweep depth of 15 meters in the Strait of Malacca, a distance of about 210 nautical miles from the Piai Point to the coast of Selangor, and subsequently swept the anchorages of Jugra River, Malacca and Batu Pahat, completing the entire sweep on the 4th of March. A Reconnaissance Seaplane of the Heavy Cruiser CHOKAI assisted in this operation.
The number of mines destroyed in this minesweeping operation was 29 in the Singapore Channel and 19 in the Straits of Malacca, with no damage to our ships. As a result of this operation, the main waterways and anchorages in the Singapore and Malacca Straits were cleared and the safety of navigation was ensured.
715Senshi Sosho 26 - The Operations of the Navy in the Dutch East Indies and the Bay of Bengal, on pages 571- 575 have a more detailed description of this operation.
716From the Table 77 it’s possible to identify these Auxiliary Minesweepers as the Auxiliary Minesweepers OTOWA MARU (27092) and RUMOI MARU (26708).
717According with illustration 49 the point Z should be a about 10 nautical miles north of Bintan Island. Datok point is near to Teluk Ramunia.
![]() |


5.End of the operation and battle damage(56-82-151)
After the completion of Operation L, Vice Admiral Ozawa led the Heavy Cruiser CHOKAI and the Destroyer AYANAMI into port at St. Jacques on the 19th of February. When he learnt that the minesweeping force was nearing completion of the clearing of the Singapore Channel, he gave orders to the seaplane units of the Malaya Seizure Force to advance to Seletar at 1200 on the 24th of February.
Vice Admiral Ozawa left Saint-Jacques at 0800 on the 25th of February with the Heavy Cruiser CHOKAI and the Destroyer AYANAMI718 and reached the south-east face of the Anambas
718Although it’s not in the original, but according with combinedfleet.com and “Japanese Cruisers of the Pacific War”, on the 22nd the Heavy Cruiser CHOKAI was damaged on her hull after hitting an uncharted reef near Camranh Bay. She will be repaired at Seletar Naval Base and probably was the 1st Imperial Japanese Navy vessel to make use of all the infrastructure that the Royal Navy had developed for its fleet at Singapore.
Islands in the evening of the 26th of February. Meanwhile, the Light Cruiser SENDAI and the 20th Destroyer Division, commanded by Rear Admiral Hashimoto, were in the process of replenishing supplies at the Anambas base after supporting the channel opening operations, when they departed there at 1530 on the 26th of February and at 1900 joined the Main Body of the Malaya Seizure Force. The 2 Forces reached the east entrance of the Singapore Strait before dawn on the 27th, with the Destroyers sweeping the forward passage, followed by the Heavy Cruiser CHOKAI and the Light Cruiser SENDAI. The Destroyers stopped sweeping at the entrance to the Johor Channel and entered Seletar Naval Base between 1825 and 1845 in the order of Light Cruiser SENDAI, 20th Destroyer Division, Destroyer AYANAMI and Heavy Cruiser CHOKAI.
![]() |
Thereafter, the ships of the Malaya Seizure Force arrived in Seletar one after another, and the ships of the 7th Cruiser Division and the 4th Aircraft Carrier Division, which had completed the Java Landing Operation, arrived in Seletar on the 5th of March, while the other destroyers of the 3rd Destroyer Squadron arrived in Seletar on 5th and 6th of March. Thereafter, with the construction of the Engineering Department, the Arsenal, the Munitions Department and other facilities, and the arrival of supply services, the naval and air facilities at Seletar were repaired and improved, and the base became the largest naval base in the South during the Greater East Asia War.
From the 4th of December to the end of January, the damage and results of the Malaya Seizure Force can be seen numerically as follows:
1 Number of Aircraft used on Air Operations (sorties): Table 78.
Weapons used by the Land Base Attack Aircrafts: 49 Torpedoes and 380 Tons of bombs.
2 Damage:
A) Ships:
Sunk:
Destroyers SHINONOME and SAGIRI, Minesweeper W-6, Auxiliary Transport / Supply Ship UNYO MARU nº 2 (42971).
Damaged:
Auxiliary Transport HOKKAI MARU (38123), Auxiliary Transport
/ Supply Ship TONAN MARU nº 3 (45152) and about 15 Army Auxiliary Transports sunk and damaged.
B) Aircraft lost (including self-detonation bombs, crash landings and accidents):
9 Land Base Attack Aircraft. 5 Naval Based Fighters.
1 Land Based Reconnaissance Aircraft. 9 Seaplanes.
C) Casualties:
450 men killed in action.
3 War Results:
A) Ships:
Sunk:
2 Battleships (HMS PRINCE OF WALES, HMS REPULSE), 1 Destroyer (HMS THANET), 3+1 Dutch submarines (HNLMS K-16, HNLMS K-17, HNLMS O-20 and HNLMS O-16, sunk by a mine, identified after the war).
About 10 merchant ships.
Damaged:
20 merchant ships.
B) Aircraft:
About 100 (including shot down, burned and destroyed).
C) Bombings:
Airfields, military ports, port facilities, etc.
1.The Allied Strategy for the Far East after the Outbreak of the War
Britain's Defence Plan for the Far East
At the time of the outbreak of the Second World War in September 1939, work was in progress in Singapore on the second phase of base construction, based on the recommendations of the Baldwin Commission of 1932. With the outbreak of the War, the Committee of the Chiefs of Staff of the 3 Services, comprising the Chiefs of Staff of the British Army, Navy and Air Force, extended the period during which Singapore should be held in wartime from 90 days to 180 days.
In March 1940, Air Marshal Babington, Commander of the Far Eastern Air Force, submitted to the Defence Committee his views on the defence of the Far East. The essence of the opinion was that the defence plan, which until then had been confined to Singapore, with guns as the main armour and aircraft as the secondary, should be changed to a comprehensive plan aimed at preventing the landing of Japanese troops in Thailand, Malaya and Borneo, and that the Main Force of defence should be the Air Force. This opinion was accepted, but the British, who were then concentrating all their energies on the war against Germany, did not have the capacity to implement it.
As a result of France's surrender to Germany in June 1940, Britain's strategy had to undergo a major change. The collapse of the French Navy, which had previously shared half of the defence of the Mediterranean, meant that the British fleet had no choice but to take over the overall defence of the Mediterranean. The Committee of the 3 Chiefs of Staff submitted their assessment of the situation and defence plans to Prime Minister Churchill at the end of July. The following is a summary of their assessment of the Far East:
1 Assessment of Japan:
A) Japan's ultimate objective in the Far East is to clear out the Western powers and secure the resource areas. It is therefore probable that Japan will at some time attempt to capture Singapore.
B) Until the course of the war in Europe becomes clearer, Japan will avoid the danger of armed conflict with Britain and the United States.
C) Japan's immediate aim is to drive out the British and American forces from China, and it is probable that she will advance on Southern French Indochina and Thailand.
D) It is probable that Japan will advance from Southern French Indochina and Thailand to the Dutch East Indies.
2 Policy to be adopted by the United Kingdom:
A) If Japan were to advance on Southern French Indochina and Thailand, Malaya and Burma would be seriously threatened, but it would not be appropriate to start a war against Japan for this reason.
B) Economic leverage is needed to delay Japan's southward advance.
C) It is necessary to give military and economic support to the Netherlands in the event of a Japanese invasion of Dutch East Indies.
D) Britain must make some concessions to Japan and buy time to build a defence force.
3 Far East Strategic Policy:
A) The policy of reinforcing the fleet based in Singapore remains unchanged, but there is no time to do so before the Italian Navy is brought to its knees.
B) The defence of Malaya in general, not limited to the defence of Singapore, is planned, with the Air Force as the Main Force.
C) No Force build-up will be carried out in Hong Kong. 4 Force Requirements:
A) Air Force with 22 Squadrons of 336 Aircraft (including 20 Squadrons on the Malaya Peninsula) is to be increased by the end of 1941.
B) 18 Army Battalions (about 30,000). However, until the Air Force reaches the above target, the Army will be increased to 3 Divisions (about 45,000).
On the 16th of October of 1940, the Supreme Commander of the Army, Navy and Air Force in Malaya held a conference in Singapore on the defence of the Far East and decided that the required strength in the Far East would be 31 Air Force Squadrons (556 aircraft) and 26 Army Battalions. Furthermore, on the 22nd of October, Air Marshal Robert Popham was appointed as Commander-in-Chief of the Far Eastern Command, which was to take overall command of the British Army and Air Force in the Far East.
The Committee of the Chiefs of Staff of the 3 Armies decided in late January 1941 that:
1 For the time being, 2 Squadrons of Fighters (32 aircraft) were to be reinforced, and by June 2 Squadrons (32 aircraft) of bombers would be upgraded with new aircraft, 1 Squadron (6 aircraft) of flying boats and 1 Squadron (12 aircraft) of Torpedo Bombers.
2 By the end of June, 1 Division from Australia and 2 Divisions from India will be reinforced.
Furthermore, the Committee took the following measures in mid-February:
1 To expedite the deployment of the 9th Indian Division to Malaya, and to add 4 new battalions of troops from India for the purpose of enhancing the effectiveness.
2 To send 1 Squadron of bombers and fighters (32 aircraft in total) from India to Malaya.
ADA Agreement
Earlier, in 1936, the Netherlands proposed to Britain a plan for the co-operative defence of the Far East, but were unable to obtain British consent, as mentioned above. On the 10th of May 1940 the Germans attacked the Netherlands and after only 5 days of fighting the Dutch Army surrendered and the Queen and her government went into exile in Britain. In November of the same year, the British and Dutch commanders of the Far East Forces held a conference in Singapore to discuss joint operations between the 2 countries, and in December of the same year, the governments of the 2 countries met in London and decided on the following:
1 The exchange of liaison officers, the joint establishment of air bases, and arrangements for the supply of arms and ammunition to the Dutch East Indies Forces.
2 To negotiate a political agreement against the threat of a Japanese invasion of their territories.
3 Portuguese support for the removal of Japanese pressure on Timor.
From 22nd to the 25th of February of 1941, the British, Dutch and Australian Army and Navy commanders in the Far East assembled in Singapore and, with Air Marshal Robert Popham, Commander-in-Chief of the British Far East Command, in the chair, drew up the British, Dutch and Australian Far East Defence Co-operation Operation Plan.
The naval representatives were as follows:
Vice Admiral Layton, Commander-in-Chief, China Area Fleet, United Kingdom. Admiral Van Staveren, Chief of Staff Naval Forces, Dutch East Indies.
Rear Admiral Crace, Commander-in-Chief, Australian Naval Forces.
Captain Purnell, Chief of Staff of the US Asiatic Fleet, attended the meeting as an observer. This meeting was called the "ADA Agreement" and its main contents were as follows:
1 Assumptions:
A) The most probable Japanese action would be an attack on Singapore via French Indochina and Thailand.
B) The next most probable course of action would be an attack on Dutch East Indies.
C) Simultaneous attacks on Malaya and Dutch East Indies will not be undertaken.
D) Measures against a Japanese attack on Australia and New Zealand are excluded from this plan.
2 Conditions:
The following conditions for the commencement of war against Japan, as set out in this Agreement, should be agreed in advance between the Governments concerned:
A) Attacks by Japanese forces on the territories and mandates of the countries concerned.
B) When the action of the Japanese forces extends to the area of Thailand west of 100° East longitude and South of 10° North latitude.
C) When a large force or convoy of Japanese naval vessels is evidently heading for the Kra Isthmus or the East Coast of Malaya or is moving South beyond the 6th Parallel of North latitude.
D) The Japanese Attack the Philippines
3 Outline of Joint Operations
A) In the event of an anticipated attack by Japanese forces, each country will defend its own territory and will endeavour to protect maritime traffic in Dutch East Indies, Australian and New Zealand waters by concentrating such naval vessels and aircraft as may be deployed.
B) Of British Borneo, Miri will destroy and abandon its oil fields until the British Army in the Far East reaches the required strength. Kuching is to be reserved as a precursor to Singapore and Singkawang.
C) Mutual co-operation to defend against attack:
Australia and the Netherlands to operate a submarine force forward in the South China Sea and to assist in the air supply of Singapore.
Australia to prepare land and air forces at Darwin, and to advance them to Ambon and Kupang to co-operate with Dutch East Indies forces.
D) Mutual co-operation in the protection of maritime traffic:
Available Forces:
United Kingdom: 1 battleship, 2 aircraft carriers, 13 cruisers, 5 auxiliary cruisers, and a number of destroyers (preferably with an additional carrier and 5 cruisers from the Atlantic).
Netherlands: 2 light cruisers, 1 destroyer to assist in escort.
Australia: 2 heavy cruisers, 6 light cruisers, 3 auxiliary cruisers, 5 destroyers, others.
E) Naval Patrol areas:
A patrol area has been established at sea from the Indian Ocean to New Zealand, with each country concerned sharing patrol duties. The Netherlands is responsible for the coast of British Borneo.
The ADA Agreement was reported to the respective governments, and in general was accepted. However, it was difficult to reach agreement provisions stipulating conditions for the commencement of war against Japan, and it was not yet clear what action the United States would take in the event of a contingency which would have a major impact on the Agreement.
ADB Agreement
At the end of January 1941 and for about 2 months afterwards, a meeting of the US and British Chiefs of Staff was held in Washington, and as a result the ABC-I Chiefs of Staff Agreement was submitted to both governments. The main points of the agreement are described in Part I, Chapter IX. In accordance with the provisions of this agreement, representatives of the Far Eastern armed forces of the United States, Britain and the Netherlands held talks on the defence of the Far East in Singapore from the 22nd of April. Although there were considerable differences of opinion between the United States and the United Kingdom at these talks, the following conclusions were reached on the 26th of April and recommended to the governments as the "ADB Agreement":
1 Strategic Policy of the Allied Forces:
A) For the time being, the Allied forces will adopt a defensive strategy in the Far East so that their main objective, the defeat of Germany and Italy, will not be checked.
B) The 3 most important policies in the Far East are the protection of maritime traffic in the southwest Pacific, the securing of Singapore and the holding of Luzon Island.
C)Air attacks will be conducted against the Japanese mainland and its occupied territories.
2 Outline of Joint Operations:
A) The British will form a new "Eastern Fleet" with battleships as its core.
B) Until the arrival of the Eastern Fleet in the Far East, the Allied forces will take a defensive position, and after the arrival of the Eastern Fleet, they will adopt an offensive strategy.
C) The Commander of the Eastern Fleet will assume strategic command of Commonwealth naval forces east of the Dutch East Indies and the United States and Dutch naval forces in the Far East. However, US naval forces in the Pacific Islands are excluded.
D) U.S. forces will attack Japanese forces by submarine and aircraft from their base at Luzon. The surface and air forces of the Asiatic Fleet, which have retreated to Malaya and Dutch East Indies, will be commanded by the British Royal Navy and Air Force commanders respectively.
E) The Dutch East Indies naval forces will be assigned to the defence of the Netherlands territories and will operate a submarine force in the South China Sea, and a small force will be placed under the command of the Royal Navy for the protection of maritime traffic.
F) The Royal Australian and New Zealand Navies will provide maritime traffic protection in their own waters and in the Indian Ocean. They will also support the defence operations of Singapore and Ambon with some forces.
G) The Royal Australian Army and Air Force will send the necessary forces to Ambon and Timor. The Netherlands would lead the defence of Ambon and Australia would lead the defence of Timor.
H) The Dutch East Indies air forces will co-operate with Singapore's air operations as far as possible.
The British, Dutch and Australian delegates continued to meet and decided on a detailed agreement and amendments to the ADA agreement of February. This plan was called “Prenups” Agreement.
However, the Chief of Staff of the United States Army and Navy, with the approval of the President, gave notice to Britain on the 3rd of July of his rejection of the ADB Agreement on the grounds that it was inconsistent with the ABC-I Agreement in a number of important points and in a number of details.
British Forces Build-up and the Matador Plan
As mentioned above, in November 1940 the Commander-in-Chief of the Malayan British Army, Navy and Air Force proposed an increase in the Air Force to 31 Squadrons (556 aircraft), but the Chiefs of Staff Committee of the Three Armies did not approve this, and the policy was to increase to 22 Squadrons (336 aircraft) by the end of 1941. However, due to the impact of the war in Europe, the plan did not proceed as planned, and the number of aircraft on the front line at the start of the war was 13 Squadrons (158 aircraft).
The build-up of land forces was well under way. In July 1940, the Chiefs of Staff Committee of the 3 Armed Forces had decided to increase the Malayan land forces to 18 Battalions, and furthermore, in November of the same year, the Committee decided to increase it to 26 Battalions in recognition of the request of the local forces. The increase was carried out without fail, and at the start of the war the strength of the army was 31 Battalions (about 89,000).
Towards the end of 1940, Air Marshal Popham began to formulate an operational plan for the pre-emptive occupation of southern Thailand in advance of the Japanese invasion. This plan was known as the "Matador Plan". In July of the following year, when the threat to Malaya increased with the advance of the Japanese troops into Southern French Indochina, the British troops began to seriously consider this plan by secretly scouting the area of Singora. The purpose of this operation was to pre-emptively occupy the key areas and nearby air bases in the Singora area, to make it difficult for the Japanese to advance on Malaya, and to secure a favourable position for the British defensive operations. It was estimated that four brigades would be required in the dry season719 (spring and summer) and three brigades in the wet season720 (summer and winter), together with the necessary air force. Air Marshal Popham submitted this plan to the Central Government in September 1941 as an alternative to the ADB agreement, but the Three Forces Staff Committee replied that, although the plan was militarily desirable, it was not the intention of the Central Government that British forces should violate the neutrality of Thailand before the Japanese invaded it.
Formation of the new British Eastern Fleet and the advance into Malaya
In the ABC-I Agreement of March 1941, it was stipulated that if the United States sent naval forces to the Atlantic to support the United Kingdom, the United Kingdom would send an armada, including battleships, to the Far East. The US Navy moved 3 battleships, 1 aircraft carrier, 4 light cruisers and 2 destroyer squadrons from the Pacific to the Atlantic by June. At the time, the British were concentrating all their efforts on the war against Germany and Italy, but Germany's advance against the Soviet Union gave them some breathing space, while the situation in the Far East was strained by the Japanese occupation of the Southern French Indochina. On the 9th of August, Prime Minister Churchill and President Roosevelt met in the Newfoundland Bay721 , and on the 25th of August, Churchill wrote to the Chief of Naval Operations that "a fast and powerful squadron, including at least one new high-speed battleship, should be dispatched to the East to suppress Japanese aggression". The Navy opposed the Prime Minister's request.
719The Dry Season last from March to June.
720The Wet Season last from July to October.
721More precisely Placentia Bay, at Newfoundland.
The Navy replied to the Prime Minister's request with the following summary of its opposition:
1 As long as the German fast battleship TIRPITZ is still operational, it is not possible to send new fast battleships from Europe.
2 By the end of March 1942, a fleet of 7 battleships, 1 aircraft carrier, 10 cruisers and 24 destroyers is to be dispatched to the Indian Ocean.
3 Until then, a force based on R-class battleships (author's note: old battleships such as the HMS REVENGE) would be sent to the Indian Ocean to reinforce maritime escort.
Not satisfied with this, Churchill issued a memorandum on the 29th of August urging its implementation again. Churchill's plan for an Eastern Fleet was finally approved by the Defence Committee on the 21st of October, and next on the 24th of October, the Eastern Fleet was formed:
Commander, Admiral722 Sir Tom Phillips (previously Deputy Chief of Naval Operations).
Naval strength:
Battleships: HMS PRINCE OF WALES, HMS REPULSE, HMS REVENGE.
Aircraft Carrier: HMS INDOMITABLE.
Destroyers: HMS ELECTRA, HMS EXPRESS, HMS JUPITER, HMS ENCOUNTER.
722In the Original Sir Tom Philips have the rank of Rear Admiral, his real rank, but in February 1940 he had been appointed acting Vice Admiral and then on the 25th of October, Sir Tom Philips was appointed acting Admiral. I have chosen to use its appointed rank.
Admiral Phillips, commanding the Battleship HMS PRINCE OF WALES with the Destroyers HMS ELECTRA and HMS EXPRESS, left home on the 25th of October via Freetown and Simon’s town in Africa, and arrived at Ceylon on the 28th of November. The Battlecruiser HMS REPULSE with the Destroyers HMS JUPITER and HMS ENCOUNTER left Durban, South Africa, and arrived in Ceylon on the 24th of November, where they joined up. On the 20th of November the Battleship HMS REVENGE sailed from the Atlantic to Aden, but the Aircraft Carrier HMS INDOMITABLE was unable to advance to the East after being grounded and damaged at Jamaica on 3 November.
On the 28th of November, the Royal Navy ordered Admiral Phillips to immediately discuss with the British, American and Dutch local commanders an operational plan to meet the immediate situation. He ordered the Chief of the General Staff, Rear Admiral Palliser, to take the squadron to Singapore, and he himself flew to Singapore to begin discussions with Air Marshal Popham, Commander-in-Chief of the Far Eastern Command, and Vice Admiral Layton, Commander-in-Chief of the China Area Fleet.
On the 2nd of December, the main force of the British Eastern Fleet arrived in Singapore, and the British government announced it. On the same day, the China Area Fleet was disbanded and the Eastern Fleet was reorganized into the following forces:
1 Additional forces from Atlantic:
3 battleships and 4 destroyers.
2 Old China Area Fleet:
3 light cruisers (HMS DANAE, HMS DRAGON, HMS DURBAN).
5 destroyers (HMS TENEDOS, HMS SCOUT, HMS THANET, HMS STRONGHOLD, HMS THRACIAN).
3 Royal Australian Navy Force:
4 destroyers (HMAS VENDETTA, HMAS VAMPIRE, HMAS STUART, HMAS VOYAGER).
4 Additional Forces from the East Indies: 1 heavy cruiser (HMS EXETER).
On the same day, the Royal Navy issued the following instructions to Admiral Phillips:
1 Negotiate with the US Navy to dispatch several destroyers to Singapore.
2 Temporarily evacuate the battleship force to Australia in view of the increasing danger of Japanese air attack on Singapore.
On the 5th of December, HMS REPULSE, HMS EXPRESS and HMS ELEKTRA left Singapore for Port Darwin and Admiral Phillips arrived in Manila by air. In Manila, Admiral Phillips met with US Far Eastern Command Commander Lieutenant General MacArthur and US Asiatic Fleet Commander Admiral Hart and reached agreement on the following points:
1 Since it is difficult to establish a unified naval command at this time, cooperation between the navies will be the principle.
2 The conclusions of this meeting are to be approved by Netherlands, Australia and New Zealand.
3 For the time being, the initial Combined Divisional Forces is set as follows:
Task Force I (counter-attack force against Japan):
2 Battleships (British), 5 cruisers (4 British, 1 Dutch), 20 destroyers (10
British, 6 Dutch, 4 American).
Task Force II (maritime escort force):
4 cruisers (2 US, 1 British, 1 Dutch), 4 destroyers (US).
Australian Force (3 cruisers as the backbone). Indian Ocean Forces (9 cruisers as the backbone).
On the 6th of December, upon receiving reports of the discovery of a Japanese convoy escorted by naval units in the waters south of Southern French Indochina, Admiral Phillips broke off the talks and hurried back to Singapore. The HMS REPULSE Force, which had been heading for Port Darwin, was ordered to reverse to Singapore and entered the port on the 7th of December.
2. Allied operations in the early stages of the war
Situation just before the outbreak of war
With the urgency of the situation, the Commander of Far Eastern Forces, Popham, ordered the British Army and Air Force in Malaya to be on alert and, on the 21st of November, inquired of the Chiefs of Staff Committee of the 3 Armies 'under what circumstances the Matador Plan may be authorised'. The reply was that 'the launch of the Matador Plan is subject to central command'. On the 27th of November, Air Marshal Popham requested that its launch should not be premature. Around this time, information was received from the US Consul in Hanoi that 'Japanese forces would advance into the Kra Isthmus and northern Malaya without warning around the first days of December and there were many indications that Japanese aircraft were carrying out covert reconnaissance flights over Malaya. On the 28th of November, British forces took the following measures:
1.Preparations for a vigilance within 180 nautical miles of Kota Bharu.
2.Request to the US Far East Command for a B-17 to monitor Camranh Bay.
3.Request to the Dutch East Indies Navy for submarine patrols off the coast of Singora.
4.British Far East forces request authority to implement the Matador Plan.
However, steps 2, 3 and 4 on the right did not materialise. On the 29th of November, the Far Eastern Command stated that "negotiations between Japan and the United States were one step away from a breakdown. Japanese attack on Philippine Islands, Thailand, or possibly Borneo, is uncertain", and Air Marshal Popham ordered the III Corps in Northern Malaya to "Prepare Matador, stand by for 24 hours". On the 1st of December, the Far Eastern Command, notified of the breakdown of negotiations between Japan and the US, ordered all forces in Malaya to deploy for a second security deployment. Patrols by British and Dutch aircraft began on the 3rd of December. British aircraft were in charge of Kota Bharu, south of the Cape Cà Mau junction and north of the Kuantan and Anambas, while Dutch aircraft were in charge of the waters south of the Kota Bharu and Borneo area.
On the 4th of December, Air Marshal Popham requested that the Matador Plan be activated by the local commanders on a discretionary basis. The Chiefs of Staff Committee of the Three Armies replied on the following on the 5th of December. It authorised Matador to be activated "as soon as clear intelligence of any Japanese incursion into any isthmus in Thailand or of the landing of a Japanese convoy in the Kra Isthmus have been received".
Departing from Kota Bharu on the 6 of December, Hudson 1, reconnaissance aircraft of 1st Squadron (Royal Australian Air Force) spotted a Japanese convoy about 80 nautical miles southeast of Cape Cà Mau and sent the following report:
1st Group: 1 escort cruiser and 3 transports, heading north-west.
Time 1212 (author's note: 1342 Japan time)
2nd Group: 1 battleship, 5 cruisers, 7 destroyers, 22 transports.
East of the 1st Group, western course.
3rd Group: 2 cruisers, 7 destroyers, 21 transports.
A little south of the 2nd Group, on a course western course.
The 1st Group is recognised as the Training Cruiser KASHII Fleet723, while the 2nd and the 3rd Groups are thought to have observed the 25th Army Fleet in duplicate.
7232nd Escort Force heading for the Isthmus of Kra.
Upon receiving the report of this serious discovery, Air Marshal Popham immediately ordered the strengthening of aerial reconnaissance and discussed the situation at the time with the various commanding officers. As a result, he came to the following conclusions:
The Japanese fleet will probably concentrate in Korong Bay (Kampong Som Bay) on the south-west coast of Cambodia. Therefore, the second and third groups will turn northwest after passing Cape Cà Mau. The Japanese may be planning to attract a British attack to give them a reason to start war against the British. Therefore, the Matador Plan will not be immediately invoked, but further reconnaissance will be stepped up and the destination of the Japanese fleet will be kept quiet until it is clear where it is headed.
However, the aerial reconnaissance that followed had a series of misfortunes for the British forces. 2 flying boats of 205th Squadron departed from Singapore, but one failed to make any discovery and the other disappeared. On the 7th, the weather in the Gulf of Thailand was poor and 2 of the 3 Hudson reconnaissance aircraft launched from Kota Bharu turned back, while the other failed to find anything. A Singapore flying boat also continued to patrol. The following fragmentary air patrol report was obtained in the evening. (All times below are Japan Standard Time):
1 At 1900, 1 cruiser and 1 transport, 110 nautical miles north of Kota Bharu, underway to Singora.
2 At 2000, 4 destroyers, apparently destroyers, proceeding south 40 nautical miles north of Pattani.
Air Marshal Popham received this report at about 2230 on the 7th, and in consultation with Admiral Phillips, who returned from Manila later that night, reached the following conclusions:
1 Although only fragmentary reports of discoveries were obtained today due to bad weather, it cannot be ruled out that the units discovered were Japanese invasion forces.
2 The action of the forces off Pattani, in particular, may be due to a daily target to provoke an attack by British forces.
3 If the units already discovered were Japanese invasion forces, they would have landed at the Isthmus of Kra on the night of the 7th. If it is not a Japanese advance force, invoking Matador would violate Tai's neutrality. Therefore, the implementation of Matador is abandoned.
(5) 724Conduct an aerial reconnaissance of the Singora area on the 8th at dawn.
724On the original there isn’t a point 4. Maybe a editor lapse.
The two commanders reached this conclusion at midnight on the 7th. At 2355 that night, the Takumi Detachment Force anchored off Kota Bharu and the 1st Landing Force was launched at 0135.
Deployment of Allied Forces at the outbreak of war
Navy:
British Eastern Fleet (*indicates under repair):
Singapore:
3 Battleships (HMS PRINCE OF WALES , HMS REPULSE).
3 Light Cruisers (HMS DANAE, HMS DRAGON and HMS DURBAN).
7 Destroyers (HMS ELECTRA, HMS EXPRESS, HMS TENEDOS, HMAS VAMPIRE, *HMS ENCOUNTER, *HMS JUPITER, *HMS STRONGHOLD, plus Mediterranean Fleet's *HMS ISIS).
1 Submarine (HMS ROVER).
3 Gunboats (HMS DRAGONFLY, HMS GRASSHOPPER and HMS SCORPION).
1 Australian Armed Merchant (HMAS MANOORA).
Hong Kong:
3 Destroyers (HMS SCOUT, HMS THANET (departing Hong Kong for Singapore on the 8th), *HMS THRACIAN)
4 Gunboats (HMS TERN, HMS CICALA, HMS ROBIN, *HMS MOTH)
3 Torpedo Boats725
7252nd MTB Flotilla – MTB-07, MTB-08, MTB-09, MTB-10, MTB-11, MTB-12, MTB-26 and MTB-27.
Penang:
1 Armed Merchant Cruiser (HMAS KANIMBLA).
Shanghai:
1 Gunboat (HMS PETEREL).
Indian Ocean:
1 Battleship (HMS REVENGE).
British East India Fleet: Ceylon:
1 Light Cruiser (*HMS ENTERPRISE).
2 Armed Merchant Cruisers (HMS CORFU, HMS RANCHI).
Singapore:
1 Heavy Cruiser (HMS EXETER, arrived in Singapore on the 10th). 1 Light cruiser (*HMS MAURITIUS).
Durban:
1 Aircraft Carrier (*HMS HERMES).
Dutch East Indies Naval Forces:
Under Royal Navy command and advancing towards Malaya:
1 Light Cruiser (HNLMS JAVA).
2 Destroyers (HNLMS EVERTSEN and HNLMS VAN NES).
5 Submarines (HNLMS K-11, HNLMS K-12, HNLMS K-13, HNLMS O-16, HNLMS O-17).
Australian Naval Force (Australian waters):
1 Heavy Cruiser.
2 Light Cruisers.
3 Destroyers.
3 Gunboats.
2 Armed Merchant Cruisers.
New Zealand Naval Force (New Zealand waters): 2 Light cruisers.
As can be seen, Allied ships at anchor in Singapore at the outbreak of war were 2 Battleships, 4 Light Cruisers, 8 Destroyers, 1 Submarine, 3 Gunboats and 1 Armed Merchant Cruiser, while 1 Heavy Cruiser, 1 Light Cruiser, 4 Destroyers and 5 Submarines were in the Malaya Sector.
Air Force:
Forces deployed in the Malayan Sector: Table 79.
Dutch East Indies Air Forces:
Army aircraft included about 45 fighters (mainly Buffaloes and Curtis), 85 bombers (mainly Martin and Lockheed) and about 20 reconnaissance and other aircraft, while naval aircraft included 70 flying boats (Dornier and Catalina) and 22 seaplanes, for a total of about 240 Army and Navy aircraft. Of these aircraft, those deployed in or around Malaya were as follows:
Singapore:
3 Flying Boats.
Singkawang:
About 12 flying boats.
Palembang:
22 bombers and 9 fighters.
Bengkayang:
About 15 bombers and 9 fighters.
In addition to this, the following units were also in the Malaya Sector:
Burma:
16 Australian fighter (Buffalo). 21 US P-40 fighters.
Andaman Islands:
6 British bombers (Hudson).
Army:
Northern Malaya:
III Corps core: About 25,000 men.
Eastern Malaya:
9th Indian Division: About 14,000 men.
Johor:
8th Australian Brigade and 18th Indian Brigade: About 19,000 men.
Singapore Fortress:
Fortress Force: About 28,000 men.
British Borneo:
About 2,000 men.


Malaya Sector
On the 8th of December at about 0130, the Kota Bharu garrison reported that 3 transports were at anchor 2 nautical miles offshore. At that time, about 8,000~10,000 troops of the 8th Indian Brigade and the aforementioned air force units were deployed in the Kota Bharu area. At about 0230, RAF Station Commander Noble reported right to Air Command in Singapore, and Commander Balfour ordered a reconnaissance of the area, followed by an attack. 17 Hudson aircraft carried out attacks on the Japanese convoy, inflicting heavy damage to transports and 30 boats, but 2 were shot down. A Torpedo bomber bombed the Destroyer AYANAMI but failed to hit her. On land, a fierce battle developed between the Takumi Detachment and the 8th Indian Brigade, which was defending the coast. The fighting near the coast continued until around daybreak, but the Japanese forces gradually seized their strongholds and the British forces gradually retreated. Around 1730, information was conveyed to the airfield that Japanese troops had advanced into the airfield area. This was contrary to the facts, but the airfield was in a state of confusion, with someone not in command ordering 'destroy the airfield', buildings were set on fire and the security forces began to withdraw. It was later confirmed that this information was incorrect, but by 1945 it was already too late and the security forces had set fire to the command centre and stores and retreated all the way. All aircraft withdrew to Kuantan in the evening. The 8th Indian Brigade began a fresh retreat around midnight on the 8th, and the Takumi Detachment occupied the airfield at midnight and the city of Kota Bharu at noon on the following day, the 9th.
It was around 1100 on 8th that the British Far Eastern Command learned that Japanese Forces had landed in the Singora area. III Corps began action in the afternoon of the same day and met the Japanese for the first time on the 10th, but after the 12th it became bogged down and began retreating. In addition, about 110 Allied aircraft in the northern Malaya area were mostly destroyed by attacks by the Japanese Army 3rd Air Division on the 8th and 9th, and the remaining aircraft withdrew south of Ipoh.
The military damage sustained by the Mihoro Air Force in its attack on Singapore in the early hours of the 8th was light.
Sortie and defeat of the Main Body of the Eastern Fleet
On the morning of the 8th of December, the Commander of the British Eastern Fleet, Admiral Phillips, having received information of the Japanese advance, planned a surprise attack on the Japanese fleet in the direction of Kota Bharu and Singora on the 10th of December to prevent their landing, and sailed from Singapore on the evening of the 8th of December with 2 battleships, HMS PRINCE OF WALES and HMS REPULSE, and 4 destroyers. The subsequent course of events was as described in Part II, Chapter 3, and in the end, the Japanese attacked and the British lost 2 battleships, and Admiral Phillips was also killed in action.
Borneo sector
Before the outbreak of war, a British garrison of about 1 Company was deployed in Miri and 1 Battalion in Kuching, while the aforementioned Dutch Air Force was deployed in Bengkayang and Singkawang to conduct coastal patrols. On the 8th of December, the Miri Defence Force received orders to "destroy the oil field facilities and airfield and retreat to Kuching", and after destroying the oil field that evening and the airfield on the 9th, withdrew to Kuching by sea on the 13th. Patrol aircraft were unable to detect the Japanese Miri convoy before it landed, and it was not until around 2230 on the 16th of December that the Far Eastern Command became aware of the Japanese Miri offensive.
The next day, Dutch flying boats attacked the Japanese convoy, sinking 1 destroyer and destroying 1 transport ship.
Note:
On the day of the attack, our military acknowledged the arrival of 1 flying boat and 8 bombers, but the intervening records do not state the number of aircraft. The records of each country of the sinking of the Destroyer SHINONOME also vary and are not clear, as already mentioned.
Dutch flying boats attacked the Japanese convoy at Miri the next day, and Dutch Army Martin bombers attacked on the 19th. The Japanese shot down 1 of these planes and, according to the word of a missionary who met the paratroopers and the descending crew, judged that this bomber had come from Tarakan. However, the bombers were in fact from Singkawang.
On the 23rd of December, Dutch reconnaissance aircraft spotted a Japanese convoy about 150 nautical miles north of Kuching. At 1320, while preparing for its attack, the air force at Singkawang was attacked by Japanese aircraft and was unable to launch because its airstrip was destroyed. However, the Dutch 3rd Submarine Force (HNLMS K-14, HNLMS K-15 and HNLMS K-16), which happened to be operating in the South China Sea, rushed to the waters off Kuching, where HNLMS K-14 sank the Auxiliary Transport KATORI MARU (704) and severely damaged the Auxiliary Transport HIYOSHI MARU (802), Auxiliary Transport / Supply Ship TONAN MARU nº 3 (45152) 726 and the Auxiliary Transport HOKKAI MARU (38123), and on the following 24th HNLMS K-16 sank the Destroyer SAGIRI. However, HNLMS K-16 was sunk by the Submarine I-66 in Api Channel727 on her way back to Surabaya.
On land, British garrison troops engaged the Japanese east of Kuching a little after noon on the 24th, with the main body of troops stationed near the airfield. The Japanese occupied the city of Kuching at dawn and then launched a heavy attack on the British forces at midnight. British forces began retreating towards Dutch Borneo in the early hours of the 25th.
5 Blenheim bombers of the 34th Bombardment Squadron in Singapore attacked a convoy of ships at Kuching, but to no effect. The Army Air Force units from Singkawang were moved out to Palembang the same day. On the 26th of December, the Minesweeper W-6 and the Auxiliary Transport / Supply Ship UNYO MARU nº 2 (42971) were attacked728 by a single Glen Martin bomber of the Dutch Army.
726On the original the name is theTONAN MARU nº 2 (43650), but this is clear mistake as the account about the Kuching landings says it’s the TONAN MARU nº3 (45152) and at the time the TONAN MARU nº 2 (43650) is actually at Davao.
727For a better location see Illustration nº 23.
728And sunk.
Activities of the Dutch Submarine Force
The situation of Dutch submarines in the Malayan area at the outbreak of war was as follows:
1st Submarine Division (HNLMS O-16, HNLMS K-17):
On the 1st of December, was assigned to the command of the British Eastern Fleet and was at sea east of Malaya at the beginning of the war.
2nd Submarine Division (HNLMS K-11, HNLMS K-12 and HNLMS K-13):
On the 8th of December, entered the command of the British Eastern Fleet and moved northward east of Malaya.
The above 5 submarines failed to attack the Japanese 1st Landing Convoy before the landings.
On the night of the 12th of December, it’s the HNLMS O-16 that attacks the Army Auxiliary Transports TOSAN MARU (918), KINKASAN MARU (367) and ASOSAN MARU (854) off Pattani, and on the same night it was the HNLMS K-12 that torpedoed the Auxiliary Transport AWAJISAN MARU (882) off Kota Bahru and the Auxiliary Transport TORO MARU (713) on the 13th of December.
3rd Submarine Division (HNLMS K-14, HNLMS K-15, HNLMS K-16):
On the 12th, then operating in the Celebes Sea area, was ordered to advance into the South China Sea.
4th Submarine Division (HNLMS O-19, HNLMS O-20):
On the 12th came under the command of the British Eastern Fleet.
On the 13th, the 3rd Submarine Division, the Light Cruisers DE RUYTER and TROMP and 2 destroyers came under the command of the British Eastern Fleet.
Around the 16th of December, when the Japanese forces made its 2nd Landing on the east coast of Malaya, the 1st and 2nd Submarines Divisions were forced to return to Singapore for replenishment, and only two ships of the 4th Submarine Division were able to operate in the Malayan area. However, HNLMS O-20 was sunk off Kota Bharu on the night of the 19th , as already mentioned. HNLMS O-16 touched a British mine on her way back to Singapore and sank, and HNLMS K-17, after refuelling, departed on the 2nd sortie to the east coast of Malaya, but was sunk by the Japanese. The operations of the 3rd Submarine Division were as described above.
Note:729
The attack on HNLMS K-17 is presumed to have been one of the following attacks, but it is not known exactly:
1 Attack by Subchaser CH-8 submarine at 330°20 nautical miles from Pattani Lighthouse, 20 December 0805.
2 Joint attack by the Auxiliary Seaplane Carrier SAGARA MARU (47837) patrol reconnaissance seaplane, Minesweepers W-4 and W-5 at about 100 nautical miles east of Singora on the afternoon of 22 December.
729This was the knowledge that the former IJN officers had in 1969 when compiling the Senshi Sosho Volume 24. Later in 1978 the wreck of K-17 was located at the exit of the Gulf of Siam and, at present, the understanding is that the K-17 was sunken by a Japanese mine.
3.Allied operations after the 2nd Phase of Operations
New edition to ABDA Command Structure
On the 18th of December, representatives of the US, British and Dutch navies in the Far East gathered in Singapore to discuss trilateral naval co-operation operations under the presidency of British Minister Resident Duff Cooper. British Prime Minister Churchill also travelled to the US with the Chiefs of Staff of the 3 Armed Forces and met with President Roosevelt in Washington from the 22nd of December. Consultations between the US, British, Army and Navy leaders continued until the 14th of January. These talks are known as the 'Arcadia talks'. At this meeting, it was decided to establish a joint Allied General Headquarters in the Far East region, and on the 3rd of January it was stipulated that this Allied force would be called 'ABDA Command' and that Lieutenant General Wavell, then Commander-in-Chief of British and Indian forces, would be appointed its Commander. Its duties and powers were as follows:
1 ABDA operational sector:
Burma, Malaya, Dutch East Indies and the Philippines (later including Northern Australia).
2 Mission:
General command of the forces of the countries in the ABDA battlefields and of the forces being deployed to Australia in support of them. However, the consent of the governments of each country is required for the movement of land forces.
3 Operational policy:
A) Secure as many key points as possible and move to attack at the earliest opportunity.
B) For this purpose, air power will be mobilised to regain control of the airspace at the earliest possible opportunity.
C) In order to hold the Malay Peninsula, Sumatra, Java and Northern Australia, the southward advance of the Japanese forces is to be blocked as far as possible in front of this line.
D) Burma and Australia are to be the main points of support in the aforesaid special security zones, and Burma is to be secured for the defence of India and support for China.
E) Liaison with Luzon is to be re-established through Dutch East Indies to support the Philippine garrisons.
F) Secure communication and transport lines within the ABDA war zone. 4 Duties and powers of the Commander of ABDA:
A) Coordination of national military operations and, where necessary, organisation of coalition task forces and appointment of their commanders
B) General guidance and coordination of the construction, development and allocation of administrative facilities, war materials, etc.
C) Control of intelligence gathering and public information
D) Not to interfere with the internal administration, tactics and formations of the armed forces of the respective countries.
E) Selects the staff in consultation with the commanders of the armed forces of the respective countries.
F) Responsible to the ABDA governments through the US and UK Combined Chiefs of Staff.
Lieutenant General Wavell established General Headquarters in Bandung, Java, and took command from the 15th of January, and appointed Lieutenant-General Poorten (Netherlands), Admiral Hart (US) and Air Marshal Pearse (UK) as ABDA Army, Navy and Air commanders, respectively, but each country's army and navy was to remain under the command of its ABDA military commander without breaking the system of establishment. With the new ABDA command, the British Far East Forces were disbanded and the US-Philippine forces in the Philippines were already isolated and practically irrelevant. It was also decided that US forces in Burma could adopt their own actions in support of China.
British Forces
In response to the urgent situation in Malaya, the British Army decided in mid-December to increase the deployment of the 18th Division and about 50 Hurricane Fighters in the same area, and about 25 bombers from the Middle East and Australia were sent to Singapore by the 25th of December. Also, by this time, the Chiefs of Staff Committee of the 3 Armies had decided to reinforce Malaya with the following forces:
India: 2 Brigades of Infantry and reinforcements of the 9th and 11th Indian Divisions. Australia: 1 Battalion of machine guns, augmented by the Australian 8th Division.
All of these reinforcements arrived in Singapore by late January, beginning with the arrival of the Hurricane fighters on 13 January.
Separately, the Committee of Chiefs of Staff of the 3 Armies decided on the following troop reinforcements from the Middle East to the Far East by 1 January:
To Malaya: 2 Infantry Divisions, 1 Armoured Brigade and 18 Air Squadrons (about 280 aircraft).
To Dutch East Indies: 2 Infantry Divisions (Australian Army).
To Burma: 2 Infantry Divisions (Indian Army), 12 Air Squadrons (about 200 aircraft).
The Royal Air Force, which had suffered heavy losses in the first stages of the war, was subsequently reinforced as was shown but it continued to suffer gradual losses and on the 18th of January the number of aircraft in the air was approximately 75 bombers and reconnaissance aircraft and 28 fighters.
On the 26th of January, on the report that a Japanese convoy had appeared off the coast of Endau, the remaining British aircraft attacked it with all their strength. However, the attack ended in failure, with more than a dozen torpedo bombers and many other aircraft being shot down. On the 28th of January, the number was reduced to 21 Hurricane fighters and 6 Buffalo fighters. On this day, most aircraft, except for some air defence fighters, retreated all the way to Palembang. Also on the 27th of January, 48 Hurricane fighters arrived from the Middle East on the aircraft carrier HMS INDOMITABLE, most of which were stationed in Palembang and some were sent to Singapore. However, the Japanese attack rendered all airfields in Singapore unusable, and the last remaining fighters in Singapore withdrew towards Sumatra on the 10th of February.
Naval forces were engaged in escorting convoys with reinforcements and did not actively counter-attack in the Malay area. The only offensive operation was the attack on the Japanese convoy off Endau in the late morning of the 27th of January by the destroyers HMAS VAMPIRE and HMS THANET. This attack ultimately failed to achieve its objective and the HMS THANET was sunk by the Japanese, as noted above.
With the Singapore crisis, a number of small vessels attempted to escape Singapore, of which about 40 were sunk or captured by the Japanese naval and air forces, and many were taken prisoners of war.
Singapore fell on the 15th of February. On the same day, the Anglo-American-Dutch Combined Fleet (five cruisers and eight destroyers), commanded by Rear Admiral Dorman, moved northward east of Bangka Island to attack the Japanese fleet in the Bangka and Palembang offensive. However, 2 destroyers were damaged by repeated Japanese air attacks and the allied fleet returned to Batavia without achieving its objective.
The British Eastern Fleet was then engaged in the defence of the Dutch Indies and part of which were sunk as follows:
Heavy cruiser:
HMS EXETER sunk on the 27th of February (off Surabaya).
Destroyers:
HMS ELECTRA Sunk 27 February (off Surabaya). HMS ENCOUNTER sunk 1 March (off Surabaya). HMS STRONGHOLD sunk on 2 March (south of Java). HMS JUPITER sunk on 27 February (off Surabaya).
HMAS VAMPIRE sunk 9 April (off Ceylon).
Many other smaller vessels were sunk. Thus, the British Eastern Fleet lost the Commander Admiral Phillips, and the HMS PRINCE OF WALES and HMS REPULSE, both sunk at the Battle of Malaya, as well as the other ships that were sunk, leading to the sinking of the fleet within months of its formation.
Our country tried to capture key resource areas in the south, establish a Greater East Asia Co- prosperity Sphere and consolidate a long-term enduring posture. The United States, United Kingdom, Netherlands and their colonial forces were deployed in the key areas in the south. The most powerful of these forces were also in the Philippines and British Malaya. Our southern advance operations were directed first against these 2 areas. At the same time, our Navy planned to surprise the main forces of the US Pacific Fleet in distant Hawaii with the full power of its main aircraft carriers at the outbreak of the war.
Our Southern Campaign was launched with an air attack on Philippine Islands, the landing on the Malaya Peninsula of an important advance force and an air strike on an air base, both of which were more successful than expected. At a time when air power was already well developed, the first shots in the initial stages of the war were deep into enemy lines, so those that were effectively attacked first were not able to easily regain their posture due to confusion of command and other factors. Our troops who succeeded in this first attack drove the enemy into a defensive position and were able to proceed with their subsequent operations very smoothly. Furthermore, it cannot be denied that the great success of the surprise attack on Hawaii greatly weakened the morale of the enemy forces in the southern region. The fact that the main forces of the US Pacific Fleet were prevented from attacking was a major factor in the smooth progress of our operations in the south.
The Philippine offensive went smoothly, and our losses were extremely low. The reasons for this seem to be as follows:
1 Preparations for the operation:
Our Army and Navy were long been studying and preparing for an attack on the island as part of their operations against the US. In response, there were changes in the US policy for the defence of the island, and finally, after the summer of 1941, a plan was made to rapidly strengthen defences, mainly by increasing air power, but it was already too late and the plan was still in progress at the start of the war.
2 Successes of the air campaign:
Our Navy, which had an inferior ratio to the US in terms of capital ships, had devoted its energies to the development and training of air power to compensate for this deficiency. Moreover, its air force had gained experience in actual combat during the Second Sino-Japanese War. Furthermore, our navy had the Zero Fighter with excellent performance. Therefore, in the first attack of the war, we achieved a major result that decided the outcome of the air battle, and within about a week, we had eliminated a major obstacle to the execution of our subsequent operations.
In contrast, the United States and US-Philippine forces, with their considerable air power, knowing of the outbreak of war between Japan and the US, did not conduct aggressive operations for several reasons, and were inadvertently hit by our first attack, losing their organisational capability to resist the war in one fell swoop.
3 Poor performance of the United States Asiatic Fleet:
The naval units retreated to the Dutch East Indies area in accordance with the plan. Contrary to expectations, the operations of the 28-ship submarine force, which posed a serious threat to us, were extremely inactive and our losses in December were limited to 1 transport ship. The reasons for this are thought to have been a lack of training and defective torpedo detonators. In addition, the destruction of repair facilities and the loss of a large number of submarine torpedoes due to the bombing of Cavite Navy Yard also have restricted the activities of submarines.
4 Demoralisation due to heavy losses in Hawaii:
The Malaya advance operation was insufficiently researched and prepared prior to the outbreak of the war. On the other hand, Britain's intention to defend the region was strong and its sphere of influence was behind it. In addition, Army aircraft, the core of our air operations in this area, had insufficient cruising power, so it was necessary to advance air bases to the Malayan Peninsula as soon as possible. For this reason, the success or failure of the landing of the advance force on the peninsula at the very beginning of the war would dominate the subsequent war effort.
The advance force landings at Kota Bharu and Southern Thailand were successful. A major factor in this success was the delay in the British decision to start the war, due to political considerations and misjudgement of our intentions. This was partly why the Allied defensive measures in this area were inadequate. This was fortunate for us, considering the heavy losses we suffered during the later Kuching offensive.
Later, on the 3rd day of the war, we sank both British battleships that posed a serious threat to operations in this area. This fact not only removed an obstacle to subsequent operations, but also gave him a great loss of morale. In addition, the fact that the air force sank the battleships alone had a major impact on the concept of maritime operations.
The greatest naval miscalculation in the smooth progress of the Malayan offensive was that the airfields at Kuching and Miri, key strategic points for the attack on Singapore, its rear blockade, Sumatra and West Java, were unexpectedly poor due to inadequate prior surveys, and no significant air power could be advanced there.
Thus, in the Philippine area, the attack against the United States and Philippine forces based at Bataan and Corregidor remained, but in January, the Dutch East Indies campaign was launched from the frontlines of Davao and Jolo. In the Malayan sector, a rapid advance by Army units led to the capture of Singapore on the 15th of February. Here, both East and West were ready to attack Java. All that remained was the combined forces of the weak Dutch East Indies Army and the defeated US and British forces. Therefore, the prospects for an early invasion of the key areas in the south were extremely bright.
730For a better reference to the data used on the Original, I have kept the original Data in Japanese, followed by my translation, in line with the same procedure used by the translators of Senshi Sosho Volume 3 and Volume 26. The comments and explanations are translated without the original transcription.
(1) 昭和十六年度朝日経済年史によれば、泰国を除く南方地域に対する投資額中、わが国の投資額は二・四%である。
According to the Asahi Economic Yearbook of 1941, Japan's investment in the southern region, excluding Thailand, accounted for 2.4% of the total investment.
(2) 「石油便覧」日本石油株式会社編 (石油経済研究会刊)
Petroleum Handbook, Nippon Oil Corporation (ed.) (published by the Japan Petroleum Economic Research Institute).
(3) "World oil" , February 1954.
(4) 「蘭印政府経済部中央統計局資料」
Central Bureau of Statistics data, Ministry of Economic Affairs, Government of the Netherlands and East Indies.
(5) 「経済年鑑」昭和十三年度東洋経済新聞社
“Economic Yearbook”, 1938,Toyo Keizai Shimpo Co.
(6) 中澤 佑中佐 (のら中将、昭和九〜十一年軍令部作戦課部員、昭和十四〜十六年同作戦課長)戦後の回想
Commander Nakazawa Tasuku (43rd),Later Vice Admiral: Recollections after the war. Staff, Naval General Staff (03 March 1934 / 02 November 1936, 1st Section of the 1st Department: Operations Bureau). Chief, Naval General Staff (15 November 1939 / 15 October 1940, 1st Section of the 1st Department: Operations Bureau).
(7) 「海軍軍備沿革」 海軍省官房編、大正十四年十二月七日加藤友三郎海軍大臣の議会答井
"History of Naval Armaments”, Compiled by the Ministry of Naval Affairs, Katō Tomosaburō, Minister of the Navy, December 7, 1926.
(8) 山縣有朋元師上奏書 (山口県田中義一記念館保管)
Arihito Yamagata's memorial book (in the care of the Tanaka Memorial Hall, Yamaguchi Prefecture).
(9) 福留 繁少佐 (のち中将、昭和三年令部作戦課部員、のち同作戦課長、昭和十六〜十八年同作戦部長) 戦後の回想
Lieutenant Commander Fukudome Shigeru (40th), Later Vice Admiral: Post-war recollections.
1928, Navy General Staff: Staff Operations Bureau, Later Chief of the Same Section. 1941-1943, with the Minister of War at the Joint General Staff - Navy Section.
(10) 「山本元師の想出」三和義勇大佐が昭和十八年山本大将戦死後記述
“Memories of the Fleet Admiral Yamamoto”, written by Captain Miwa Yoshitake (later
Rear Admiral) after the death of Fleet Admiral Yamamoto in 1943.
(11) 角田求士大尉 (のち中佐、横須賀航空隊動務)戦後の回想
Lieutenant Tsunoda Takashi, later Commander: Memoirs after the war.
Yokosuka Naval Air Group
(12) 下村 定陸軍砲兵大射 (のち大将、大正八、九年ごろ及び同十二、十三年ごろ参謀本部作機課部員)戦後の回想
Army Artillery Captain Shimomura Sadamu, later General: Memoirs after the war.
1919, 1920-1922, 1938: Staff, Imperial Japanese Army General Staff and Director of the 1st Department.
(13) 遠藤三郎陸軍砲兵大尉(のち中将、大正十三、十四年及び昭和五、六年参謀本部作機課部員) 戦後の回想
Army Artillery Captain Saburo Endo, later Lieutenant General: Memoirs after the war. 1924-1925 and 1930-1931 Member of the Operations Department of the Imperial Japanese Army General Staff.
(14) 島貫武治陸軍歩兵大射 (のち大佐、昭和十、十一年ごろ参謀本部作戦課部員) 戦後の回想
Army Infantry Captain, Takeji Shimanuki, later Colonel: Memoirs after the war.
1935-1936 Staff, Operations Department of the Imperial Japanese Army General Staff.
(15) History of U. S. Naval Operations in World War II “The Rising Sun in the Pacific” by S.E. Morison - Little, Brown and Co.
U.S. Army in World War II, The War in the Pacific “The Fall of the Philippines” by Louis
Morton-Office of the Chief of Military History. Dept. of the Army.
(16) “The War at Sea” by S. W. Roskill. Vol I – H. M. Stationary Office. “The War against Japan” by S. W. Kilby. Vol I – H.M.S.O.
(17) “Queen’s Navy at War” by Vice Admiral G. W. Store Royal Netherlands Navy (U.S. Naval Institute Proceeding, March 1950).
(18) The General Staff is in charge of the Defence Forces and is headed by the Chief of General Staff, who reports directly to the Emperor and is designated to control the General Staff, plan the Defence Forces and transmit information about the Forces. In time of war or crisis, if necessary, the Imperial General Staff, the supreme commanding organ, is established under the Emperor's imperial command. In such cases, the Chief of General Staff participates in the operation as the Chief of Staff of the Navy Department, accompanied by the required staff. Therefore, when Imperial Headquarters is established, it is sometimes difficult to distinguish whether it is in charge of the General Staff or the Imperial Headquarters Naval Staff. Imperial Headquarters has been in place since November 1937, so the distinction between the 2 is not clearly distinguishable and is sometimes confused in this document.
(19) “Imperial Headquarters Government Liaison Conference Proceedings Part I (Second and Third Konoe Cabinet Period)" (on file with the War History Office).
(20) 中澤佑大佐 (軍令部作戦課長) メモ
Captain Tasuku Nakazawa, later Vice Admiral (43rd), Notes. Chief, Operations Bureau, General Staff.
(21) The Imperial Headquarters Government Liaison Conference was held regularly from the 25th of November 1940 to the 20th of July the following year and is named as the “Liaison Conference” and its decisions were named as “Liaison Conference Decisions”.
(22) 嶋田繁太郎大保管「書簡集」
Shimada Shigetaro: Great Repository, “Collection of Letters”.
(23) 「御前会議議事録 南方施策促進ニ関スル件」昭和十六年六月二十五日
(写し戦史室保管)
Proceedings of the Imperial Conference on the Promotion of Policies in the South, 25th of June of 1941 (on file with the War History Office).
(24) 「御前会議議事録 情勢ノ推移ニ伴フ帝国国策要綱」昭和十六年七月二日
(写し戦史室保管)
The Imperial Council's proceedings: "The Imperial Policy agenda", 2nd of July of 1941 (in the custody of the War Office).
(25) 「新見政一中将(第二遣支艦隊司令長官) 資料」、手記、戦後の回想
Rear Admiral Masaichi Niimi, Commander of the 2nd China Expeditionary Fleet: Memoirs, post-war recollections.
(26) 「御前会議議事録 帝国国策遂行要領」昭和十六年九月六日 (写し載史室保管)
"Imperial Council Proceedings", 6th of September 1941 (in the custody of the Historical Office).
(27) 富岡定俊大佐 (のち少将、軍令部作戦課長) 戦後の回想
Captain Sadatoshi Tomioka, later Rear Admiral: post-war recollections. Chief of 1st Section, Operations, Navy General Staff).
(28) 昭和十六年一月七日付及川古志郎海軍大臣あての山本聯合艦隊司令長官の書簡 (自筆の写し戦史室保管)
Letter from Commander of the Combined Fleet Admiral Yamamoto to Minister of the Navy Admiral Koshirō Oikawa, dated from the 7th of January of 1941 (handwritten copy in the custody of the War History Office).
(29) 黒島亀人大佐 (のち少将、聯合艦隊首席参謀) 戦後の回 想
Captain Kuroshima Kameto, later Rear Admiral: post-war recollections. Chief of Staff of the Combined Fleet.
(30) 佐薙 毅中佐 (のち大佐、軍令部作戦課部員) メモ、昭和十七年四月末、聯合艦隊研究会における山本長官の訓示
Commander Sanagi Takeshi, later Captain: Note from Commander Sanagi Takeshi delivered by Admiral Yamamoto at the Combined Fleet Study Group at the end of April 1942.
Member of the 1st Section, Operations Bureau of the Navy General Staff.
(31) 「田中新一陸軍少将 (のら中将、参謀本部作戦部長) の日誌に基づく戦後の手記」
Major General Shizuichi Tanaka, later Lieutenant General: Post-war memoir based on the diary of Major General Shizuichi Tanaka.
Chief of North American Bureau of the Army General Staff.
(32) 「大石保中佐 (第一航空艦隊首席参謀) 日誌」
Commander Oishi Tamotsu Diary (Chief of Staff of the 1st Air Fleet).
(33) 佐薙毅中佐 (軍令部作戦課部員) メモ
Commander Sanagi Takeshi Notes. Staff, Navy General Staff.
(34) 石井正美陸軍少将 (南方軍第一課高級参謀) 保管資料等
Major General Ishii Masami: Custodianship of data.
Senior Staff Officer, First Section, Southern Expeditionary Army.
(35) 柴田文三中佐 (第二十一航空戦隊首席参謀) メモ
Commander Shibata Bunzo: Notes. Senior Staff of the 21st Naval Air Flotilla.
(36) 藤田正路中佐 (のち大佐、第二艦隊参謀) 戦後の回想
Commander Fujita Masamichi, later Captain: post-war recollections. Staff, 2nd Fleet.
(37) 三代辰吉中佐 (のち就と改名、のち大佐、軍令部作戦課航空主務部員) 戦後の回想
Commander Miyo Tatsukichi (later changed to Kazunari), later Captain: post-war recollections.
Staff, Navy General Staff, Operations Division. Yokosuka Air Corps Deputy Commander and Instructor.
(38) 矢牧章大佐 (のち少将、第三艦隊首席参謀) 戦後の回想
Captain Yamaki Akira, later Rear Admiral: post-war recollections. Chief of Staff, 3rd Fleet.
(39) 高橋千隼大佐 (第十一航空艦隊首席参謀) 戦後の回想
Captain Takahashi Chihaya: Post-war recollections. Staff, 11th Air Fleet.
(40) 「海軍航空本部長申継書」 昭和十六年七月
"Letter from the Commander of the Naval Aviation Headquarters" July, 1941.
(41) 山本親雄大佐 (のち少将、航空本部総務部第一課長) 戦後の回想
Captain Yamamoto Chikao, later Rear Admiral: Post-war recollections.
Chief of the 1st Section of the General Affairs Department, Navy Aviation Headquarters.
(42) 澤本頼雄中将 ( 海軍次官 ) メモ
Vice Admiral Yorio Sawamoto: Memo. Navy Vice Minister.
(43) 「海軍航空本部戦時日誌」
"Naval Air Headquarters War Diary".
(44) 「昭和十六年九月十二日内令」
"Internal Order, September 12, 1941".
(45) 草鹿龍之介少将 (のち中将、第一航空艦隊参謀長) 戦後の回想
Rear Admiral Kusaka Ryunosuke, later Vice Admiral: post-war recollections. Chief of Staff, 1st Air Fleet.
(46) 松本眞實少佐 (第一航空隊飛行長) メモ
Lieutenant Commander Matsumoto Makoto: Notes.
1st Aircraft Carrier Division Flight Commander (Aircraft Carrier Kaga).
(47) 柴田武雄少佐 (のち大佐、第三航空隊飛行長) 戦後の回想
Lieutenant Commander Shibata Takeo, later Captain: post-war recollections. Flight Commander of the 3rd Aircraft Carrier Division.
(48) 源田實中佐 (のち大佐、第一航空艦隊航空参謀) 戦後の回想
Commander Minoru Genda, later Captain: post-war recollections. Staff, 1st Carrier Fleet.
(49) 渡辺安次中佐 (のち大佐、聯合艦隊参謀) 戦後の回想
Commander Watanabe Yasuji, later Captain: post-war recollections. Staff Officer at Combined Fleet.
(50) 鈴木栄二郎中佐 (のち大佐、第ニ航空戦隊航空参謀) 戦後の回想
Commander Suzuki Eijiro, later Captain: post-war recollections. Staff, 2nd Aircraft Carrier Division.
(51) 三重野 武少佐 (のち大佐、第五航空戦隊航空参謀) 戦後の回想
Lieutenant Commander Mieno Takeshi, later Captain: post-war recollections. Staff, 5th Aircraft Carrier Division.
(52) 「井本熊男陸軍中佐 (参謀本部作戦課部員) 業務日誌」
Lieutenant Colonel Imoto Kumao: Operations Diary.
Staff, Imperial Japanese Army General Staff, Operations Division.
(53) 「シンガポール」辻政信陸軍中佐 (のち大佐、第二十五軍参謀) 戦後の著書 (東西南北社刊)
“Singapore”, Lieutenant Colonel Tsuji Masanobu, later Colonel: Post War Book, published by Tōzai Nanbokusha, 1952.
25th Army General Staff.
(54) 小田切政徳中佐 (のち大佐、第四航空戦隊首席参謀 ) 戦後の回想
Commander Odagiri Masanori, later Captain: Post-war recollections. Chief of Staff, 4th Aircraft Division.
(55) 鮫島素直中佐 (のち大佐、第三航空戦隊首席参謀) 戦後の回想
Commander Samejima Sunao, later Captain: Post-war recollections. Staff, 3rd Aircraft Carrier Division.
(56) 小澤治三郎中将 (南遣艦隊司令長官) 手記及び戦後の回想
Vice Admiral Ozawa Jisaburo: Memoirs and post-war recollections. Commander of the Southern Fleet.
(57) 「御前会議議事録 帝国国策遂行要領」 昭和十六年十一月五日 (写し戦史室保管)
"Imperial Council Proceedings", 5th of November of 1941 (in the custody of the War History Office).
(58) 「戦藻録」宇垣編少将 (聯合艦隊参謀長) 日誌
Rear Admiral Ugaki: Diary.
Chief of Staff of the Combined Fleet.
(59) Imperial Navy Order is an imperial order issued in accordance with the Emperor's command and is a brief record of the order issued by the Chief of the General Staff.
(60) This is a simplified notation of the General Staff's instructions issued in accordance with the clause in the Imperial Naval Order, “In regard to details, the Chief of General Staff shall give instructions”, which usually means these instructions from the Chief of General Staff.
(61) 中島親孝少佐 (のち中佐、第二艦隊参謀) 戦後の回想
Lieutenant Commander Nakajima Chikataka, later Commander: Post-war recollections.
Staff, 2nd Fleet.
(62) 「機密聯合艦隊命令作第一号」マニラ湾で撃沈された「那智」から米軍が収容し、戦後わが国に返還されたもの
“Classified Combined Fleet Order nº 1”, taken by the US military from the sunken Heavy Cruiser Nachi in Manila Bay and returned to Japan after the war.
(63) 山中龍太郎中佐 (千歳航空隊副長) メモ
Commander Yamanaka Ryuutarou: Notes
Vice Commander of the CHITOSE Naval Air Group.
(64) 荒尾興功陸軍中佐 (南方軍参謀) 作戦日誌
Lieutenant Colonel Okikatsu Arao: War diary. Staff, Southern Army.
(65) Preparation for deployment is divided into Phase 1 and Phase 2 Readiness Operations. The Phase 1 was necessary for the initial activities of operational units, etc., and was to be completed by the time the wartime formation was issued. The work was divided into 4 Phases according to a slow and rapid order of deployment, and the number of days required was planned to be 160 days in total, 40 days for each phase. Once these preparations were in force, all relevant areas were placed in a wartime state, and materials stockpiled for wartime could be used, and procedures for the requisitioning of merchant ships were facilitated, thus facilitating the preparation for war.
(66) 「帝国海軍戦時編制」及び「戦時編制改訂綴」
“Imperial Navy War Formation” and “Revised War Formation Instructions”.
(67) 「第十二航空隊支那事変日誌」
12th Naval Air Group "Diary of Events in China".
(68) 「海軍現用機性能要目表」 航空本部第二部作製
"Summary of the Performance of Existing Aircraft in the Naval Service", produced by the 2nd Section of the Aviation Headquarters.
(69) 今里義光中佐 (第二根拠地隊参謀) 資料及び戦後の回想
Commander Imazato Yoshimitsu: Documents and post-war recollections. Staff, 2nd Base Force.
(70) 「辞令公報」及び「現役海軍士官名簿」
“Resignation Gazette” and “List of active naval officers”.
(71) 浮田信家中佐 (金剛砲術長) メモ
Commander Ukita Nobuie: Notes. Battleship Kongo Artillery Chief.
(72) Monthly list of Navy ships and their assignments at the beginning of the war, compiled by the Office of Military History.
(73) 「附属補給艦船要目表」第二艦隊司令部配布
“Auxiliary Supply Vessel List” by the 2nd Fleet Command.
(74) 「航空部隊編制及飛行機定数表」第二復員局作製
“Air Force Organization and Aircraft Number Table” Produced by the 2nd Demobilization Bureau.
(75) 「聯合艦隊訓示 昭和十六年十月九日」
“Combined Fleet Instructions,9th of October 1941”.
(76) 「機密聯合艦隊命令作第三号」
“Classified Combined Fleet Order nº 3”.
(77) 「第二水雷戦隊戦時日誌」
“'War Diary, 2nd Destroyer Squadron”.
(78) 「第五戦隊戦時日誌」
War Diary, 5th Cruiser Division”.
(79) 「第六艦隊戦時日誌」
"War Diary, 6th Fleet”.
(80) 藤吉直四郎大佐(のち少将、 鹿屋航空隊司令) 載後の回想、十一月三十日兵力部署変更の予令があった。
Captain Fujiyoshi Naoshirou, later Rear Admiral: Post-war recollections, on the 30th of November, there was a preliminary order for a change of force strength.
Commander of the KANOYA Naval Air Group.
(81) 松平永芳機関大尉 ( のち少佐、電 機関長) メモ
Engineer Lieutenant Matsudaira Nagayoshi, later Lieutenant Commander: Notes. Electricity Chief Engineer.
(82) 「艦船行動調書」海軍功績調査部作製
“Ship Action Report”, prepared by the Navy Department of Investigation of Achievements.
(83) 「大東亞戦争戦訓(航空) 海軍戦訓調査委員会(航空分科会)」
“War Lessons of the Great East Asian War (Aviation), Navy War Lessons Investigation Committee (Aviation Subcommittee)”.
(84) 「第一航空隊戦闘詳報」
“1st Air Force Combat Report”.
(85) 壱岐春記大尉 (のち少佐、鹿屋航空隊分隊長) 戦後の回想
Lieutenant Iki Haruki, later Lieutenant Commander: Post-war recollections. Flight Commander KANOYA Naval Air Group.
(86) 米原編明少佐 (のち中佐、東港航空隊飛行隊長) 日誌及び戦後の回想
Lieutenant Commander Yonehara Tsunaki, later Commander: Logbooks and post-war recollections.
Squadron Commander, TOKO Naval Air Group.
(87) 深水豊治機関少佐 (のち中佐、第二十一航空戦隊参謀) 戦後の回想
Engineer Lieutenant Commander Fukami Toyoharu,later Commander: Post-war recollections.
Staff, 21st Naval Air Flotilla.
(88) Not present on the Original.
(89) 松永貞市少将 (のち中綬、第二十二航空戦隊司令官) 戦後の回想
Rear Admiral Sadaichi Matsunaga, later Vice Admiral: Post-war recollections. Commander 22nd Naval Air Flotilla.
(90) 前田孝成中佐 (のち大佐、元山統空隊司令) 日誌及び戦後の回想
Commander Maeda Takanari, later Captain: Diary and post-war recollections. Commander GENZAN Naval Air Group.
(91) 薗川亀郎少佐 (のち大佐、元山航空隊飛行長)戦後の回想
Lieutenant Commander Sonokawa Kameo, later Captain: Post-war recollections. Flight Commander, GENZAN Naval Air Group.
(92)
今川福雄少佐
(のち大佐、美幌航空隊飛行長) 戦後の回想
Lieutenant Commander Imagawa Fukuo, later Captain: Post-war recollections. Flight Commander, MIHORO Naval Air Group.
(93) 「辻本毅少佐 (第五水雷戦隊参謀) 月誌」
Lieutenant Commander Tsujimoto Takeshi: Diary. Staff, 5th Destroyer Squadron.
(94) 渡部太助少佐 (のち中佐、第十一航空戦隊参謀) 日誌及び戦後の回想
Lieutenant Commander Watanabe Tasuke, later Commander: Diary and post-war recollections.
Staff, 11th Seaplane Tender Division.
(95) 井内四郎少佐 (のち中佐、第四潜水機隊参謀) 戦後の回想
Lieutenant Commander Inouchi Shirou, later Commander: post-war recollections. Staff, 4th Submarine Squadron.
(96) 高橋長十郎中佐 (のち大佐、第五潜水戦隊参謀) 戦後の回想
Commander Takahashi Choujuurou, later Captain: post-war recollections. Staff, 5th Submarine Squadron.
(97) 「特設艦船部隊令」 内令提要巻一
“Summary of the Order for the Auxiliary Fleet Forces”, Volume I.
(98) 「御前会議議事録 対来英蘭開戦ノ件」 (写し戦史室保管)
Proceedings of the Imperial Council, "The Opening of the War against the United Kingdom and the Netherlands" (on file with the Office of Military History).
(99) 「昭和十六年九月ー十二月 作戦関係重要書類綴其の一」 (写し戦史室保管)
Important documents relating to the operation, September-December 1941, nº 1" (on file with the War History Office).
(100) 「詳解比島事情」平本塚武、班目文雄共著 (非凡閣刊)
"A Detailed Explanation of the Philippines Affair", by Takeshi Hiratsuka and Fumio Madarame. Published by Hibonkaku.
(101) 「比島水路誌」(水路部発行)
“Philippines Hydrographic Bulletin”(published by the Hydrographic Department).
(102) 「作戦研究資料」海軍功績調査部が功績調査資料として作製したもの
“Operational Research Materials”, produced by the Naval Research and Studies. Department as an Operational Research Document.
(103) 「第五水雷戦隊戦闘詳報、戦時日誌」
“Battle Details, War Diary, 5th Destroyer Squadron”.
(104) 「軍艦愛宕戦時日誌」
“War Log of the Heavy Cruiser Atago”.
(105) 「遠山克己(new spelling 遠山安巳)中佐 (第二水雷戦隊首席参謀) 日誌」
“Commander Tooyama Yasumi: Diary.
Chief of Staff, 2nd Destroyer Squadron.
(106) 「第二水雷戦隊戦闘詳報」
"Combat Report, 2nd Destroyer Squadron"
(107) 藤吉直四郎大佐 (のち少将、鹿屋航空隊司令) 戦後の回想
Captain Fujiyoshi Naoshirou, later Rear Admiral: post-war recollections. Commander KANOYA Naval Air Group.
(108) 「第五戦隊戦闘詳報」
Combat report, 5th Cruiser Division.
(109) 「山田豊中佐 (第二十二航空戦隊司令部附、戦闘機隊指揮官) 日誌」
Commander Yamada Yutaka: Diary.
Fighter Squadron Commander, 22nd Naval Air Flotilla Headquarters.
(110) 島田航一少佐、おち中佐、第十一航空艦隊航空乙参謀)戦後の回想、手記
Lieutenant Commander, Shimada Kouichi, later Commander: Post-war recollections, memoirs.
Staff B, 11th Air Fleet.
(111) 角田求士少住 (のち中佐、横須賀航空隊教官、臨時第十一航空艦隊司令部附) 後の回想
Lieutenant Commander Tsunoda Hitoshi, later Commander: Recollections.
YOKOSUKA Naval Air Group Instructor, temporary attached to the 11th Air Fleet Headquarters.
(112) Not present on the Original.
(113) 山ノ上庄太郎中佐 (のち大佐、航空本部…船部部員) 戦後の回想
Commander Yamanoue Shoutarou, later Captain: Post-war recollections. Aviation Headquarters 731.
731I was not able to identify all the Kanji symbols and therefore translate in its entirety the total assigned position. I could only translate “Aviation Headquarters”, with makes sense as this source was also used for the initial supply problems of the Navy Land Based Air Force.
(114) 横山信義機関少佐 (のち中佐、 第二十三航空戦隊参謀)戦後の回想
Engineer Lieutenant Commander Yokoyama, later Commander: Post-war recollections.
Chief of Staff, 23rd Naval Air Flotilla.
(115) 「飛行機隊戦闘行動調書 」海軍功績調査部作製
“Air Squadron Combat Action Report”, by the Navy Department of Investigation of Achievements.
(116) 田中武克大尉 (のち少佐、鹿屋航空隊分隊長)戦後の回想
Lieutenant Tanaka Takekatsu, later lieutenant Commander: Post-war recollections. Squadron Lieder, KANOYA Naval Air Group.
(117) 「 第一空襲部隊戦闘概報」
“ 1st Air Assault Force Combat Summary”.
(118) 「比島航空作戦記録」第一復員局作製
“Record of Philippines Air Operations”, prepared by the 1st Demobilisation Bureau.
(119) The crew were either captured after crash landing or rescued during the occupation of Manila.
(120) This number of aircraft is based on a report in the “Detailed Battle Report of the 2nd Destroyer Squadron”. The number of aircraft in the General Staff's Report is 250.
(121) 「讃岐丸戦闘詳報」
Auxiliary Seaplane Carrier“ Sanuki Maru Battle Report”.
(122) 「第一号哨戒艇戦時日誌」
Patrol Boat PB-1 Wartime Logbook.
(123) 伊藤博大尉 (のち少佐、横三特副官) 戦後の回想
Lieutenant Hiroshi Itou, later Lieutenant Commander: Post-war recollections. 3rd Yokosuka SNLF.
(124) 由川周吉中佐 (のち大佐、第五水雷戦隊首席参謀) 戦後の回想
Commander Yukawa Shuukichi,later Captain: Post-war recollections. Chief of Staff, 5th Destroyer Division.
(125) 「第四水雷戦隊戦闘詳報」
Battle Report, 4th Destroyer Squadron.
(126) 「第四水雷戦隊戦時日誌」
War Diary, 4th Destroyer Squadron.
(127) 進撃水雷戦隊」五月雨乗組 須藤幸助が同艦公式記録を基礎として戦後著述したもの (鱒書房刊)
“Marching Destroyer Squadron” Written by Kosuke Sudo, a member of the Destroyer Samidare crew, after the war on the basis of the ship's official records. Trout Shobo, February 1956.
(128) 「下利治中尉 (夏潮航海長) 日誌」
“Lieutanent (jg) Yabushita Toshiharu: Diary”.
Navigator Officer of Destroyer Natsushio.
(129) 長井純隆中佐 (のち大佐、駆逐艦夏潮艦長) 戦後の回想
Commander Nagai Sumitaka, later Captain: Post-war recollections. Captain, Destroyer Natsushio.
(130) 藤田浩中佐 (のち大佐、第十七戦隊参謀) 戦後の回想
Lieutenant Commander Hiroshi Fujita, later Captain: Post-war recollections. Staff, 17th Minesweeper Division.
(131) 「第三十五号峭戒艇戦時日誌」
“Patrol Boat PB-35”: Wartime Logbook.
(132) 「歩兵第三十三聯隊戦闘詳報」
"Details of the Battle of the 33rd Infantry Regiment”.
(133) 「第一根拠地隊戦時日誌」
“1st Base Force Wartime Diary.”
(134) 「林利房大尉 (海風航海長) 日誌」
Lieutenant Hayashi Toshifusa: Diary.
Chief Navigator of the Destroyer Umikaze.
(135) 「南方部隊戦闘概報」
“Southern Army: Combat Summary”.
(136) 「山陽丸戦闘詳報」
Auxiliary Seaplane Carrier ”Sanyo Maru battle report in detail”.
(137) 「第二根拠地隊戦時日誌」
“2nd Base Force Wartime Diary”
(138) 「馬公警備府戦時日誌」
“Mako Guard District Wartime Diary”.
(139) "U.S. Submarine Operations in World War II” by Theodore Roscoe - U. S. Naval Institute.
(140) 「原為一中佐 (駆逐艦天津風艦長) 日誌」
Commander Hara Tameichi: Diary. Captain of the Destroyer Amatsukaze.
(141) 「第六潜水戦隊戦時日誌、戦闘詳報」
“War Diary of the 6th Submarine Squadron, combat details.”
(142) 「南方部隊潜水部隊戦闘詳報」
"Submarine Force of the Southern Force: Combat Detail.
(143) 「英領マレー」満鉄東亜経済研究室編
“British Malaya”, Manchuria East Asia Economic Research Office, ed.
(144) 「南支那海水路誌」 (水路部発行)
“South China Shipping Routes Journal” (published by the Hydrographic Department).
(145) 「南方気候論」 小笠原和夫著 (三省食刊)
“Southern Climate Theory” by Kazuo Ogasawara (Sansei Shokukan).
(146) 「戦時編制立案意見等綴」軍令部第一課
“Wartime Organization Planning Views, etc” Naval General Staff 1st Department.
(147) 「松前未曾雄陸軍中佐 (南方軍航空主任参謀) 日誌」
Lieutenant Colonel Misoo Matsumae: Diary. Chief of Staff, Southern Army Aviation.
(148) 「第三飛行集団機密作戦日誌」
Army “3rd Air Division Classified Operations Logbook”.
(149) 「第七戦隊戦時日誌、戦闘詳報」
“7th Cruiser Division War Diary: Detailed Battle Report”.
(150) 「南方軍関係電報綴」 (写し戦史室保管)
“Telegrams concerning the Southern Army” (on file with the War History Office).
(151) 「第三水雷戦隊戦闘詳報」
3rd Destroyer Squadron: Combat Report in detail.
(152) 「神川丸戦闘詳報」
Auxiliary Seaplane Carrier “Kamikawa Maru Battle Report in Detail”.
(153) 寺崎隆治中佐 (のち大佐、南遣艦隊参謀) 戦後の回想
Commander Terasaki Takaji, later Captain: Post-war recollections. Staff, Southern Expeditionary Fleet.
(154) 井口兼夫少佐 (のち中佐、南遣艦隊参謀、第三飛行集団派遣) 日誌、戦後の回想及び第三派遣通信隊記録
Lieutenant Commander Inoguchi Kaneo, later Commander: Diary, post-war recollections and records of the Dispatch 3rd Naval Communications Force.
Staff, Southern Fleet dispatched to the Army 3rd Air Division as the Liaison Officer.
(155) 「第三水雷戦隊戦時日誌」
3rd Destroyer Squadron: Wartime Diary.
(156) 高橋勝作大尉 (のち少佐、美愰航空隊分隊長) 戦後の回想
Lieutenant Takahashi Shousaku (Katsusaku), later Lieutenant Commander: Post-war recollections.
Squadron Leader, MIHORO Naval Air Group.
(157) 「相良丸戦闘詳報」
Auxiliary Seaplane Carrier “Sagara Maru: Battle Report Details”.
(158) 木村健二中佐 (のち大佐、第十二航空戦隊首席参謀) 戦後の回想
Commander Kimura Kenji, later Captain: Post-war recollections. Chief of Staff, 12th Seaplane Tender Division.
(159) 瀬戸山八郎少佐 (のち中佐、第十二航空戦隊参謀) 戦後の回想
Lieutenant Commander Setoyama Hachiro, later Commander: Post-war recollections. Staff, 12th Seaplane Tender Division.
(160) 「第九根拠地隊戦時日誌」
“9th Base Force Wartime Diary”.
(161) 柳川正男中佐 (のち大佐、第九根拠地隊首席参謀) 戦後の回誌
Commander Yanagawa Masao, later Captain: Post-war recollections.
Chief of Staff, 9th Base Force.
(162) 「第四潜水戦隊戦闘詳報」
4th Submarine Squadron: Battle Report Details”.
(163) 飯田久世少佐 (のち中佐、南遣艦隊司令部附、気象) 戦後の回想
Lieutenant Commander Iida Hisayo (Kuze), later Commander: Post-war recollections. Southern Expeditionary Fleet Headquarters, Weather.
(164) 山田盛重中佐 (のち大佐、第三水軍戦隊首席参謀) 戦後の回誌
Commander Yamada Seijuu (Morishige), later Captain: Post-war
recollections. Chief of Staff, 3rd Battleship Division.
(165) 「山田猛夫飛行兵曹長 (美保航空隊附) 日誌」
“Chief Flying Officer Yamada: Diary”. Attached to the Mihoro Naval Air Group.
(166) 「佗美支隊作戦記録」
“Takumi Detachment Operations Record”.
(167) 稲野菊一大尉 (のち少佐、第二十二航空戦隊司令部附戦闘機隊分隊長) 戦後の回想
Lieutenant Inano Kikuichi, later Lieutenant Commander: Post-war recollections. Fighter Squadron Commander, 22nd Naval Air Flotilla Headquarters.
(168) 山口史郎少佐 (のち中佐、第三水軍戦隊参謀) 戦後の回想
Lieutenant Commander Yamaguchi Shirou, later Commander: Post-war recollections. Staff, 3rd Battleship Division.
(169) 「字那木勁大尉 (磯波水軍長) 日誌」
Lieutenant Unagi Tsuyoshi (Takeshi): Diary. Chief Officer, Destroyer Isonami.
(170) 寺岡正雄大佐 (第三十潜水隊司令、伊六十五潜乗艦) 戦後の回想
Captain Teraoka Masao: Post-war recollections.
Commander 30th Submarine Division, on board Submarine I-65 (Flagship).
(171) 白石萬陸少将 (のち中将、第二艦隊参謀長) 戦後の回想
Rear Admiral Shiraishi Kazutaka, later Vice Admiral: Post-war recollections. Chief of Staff, 2nd Fleet.
(172) 「元山航空隊戦闘詳報」
“GENZAN Naval Air Group: Battle Report Detail”.
(173) 高馬正義中佐 (のち大佐、第二十二航空戦隊首席参謀) 戦後の回想
Commander Takame Masayoshi, later Captain: Post-war recollections. Chief of Staff, 22nd Naval Air Flotilla.
(174)
武田八郎大尉 (のち中佐、生子と改姓、美保航空隊分隊長)
戦後の回想
Lieutenant Hachiro Takeda, Lieutenant Commander: Post-war recollections. Squadron Leader, MIHORO Naval Air Group. Surname changed to Shouji.
(175) 「澁谷龍穉大佐資料」潜水艦専攻の同大佐が終戦直後に整理した潜水艦作戦記録
“The documents of Captain Sibuya Tatsuwaka”.
Submarine operations records organised by this submarine specialist just after the end of the war.
(176) 堤道三中佐 (のち大佐、第四潜水戦隊首席参篠) 戦後の回想
Commander Tsutsumi Michizou, later Captain: Post-war recollections. Chief of Staff, 4th Submarine Squadron.
(177) 宮内七三少佐 (のち中佐、鹿屋航空隊飛行隊長) 戦後の回想
Lieutenant Commander Miyauchi Shichizou, later Commander: Post-war recollections. Squadron Leader, KANOYA Naval Air Group.
(178) 北村惣七少佐 (伊五十八潜水艦長) 戦後の回想
Lieutenant Commander Kitamura Soushichi: Post-war recollections. Commander, Submarine I-58.
(179)
大平吉郎大尉
(のち少佐、美保航空隊分隊長) 戦後の回想
Lieutenant Ohira Yoshiro, later Lieutenant Commander: Post-war recollections.
Squadron Leader, Mihoro Naval Air Group.
(180) 「爆撃雷撃に関する研究資料 (横須賀航空隊)」
“Research material on bombing and torpedo strikes (YOKOSUKA Naval Air Group)”.
(181) “Jane’s Fighting Ships 1941” – Sampson Low, Marston and Co. Lta.
(182) 「第二次大戦回顧録 第十二巻」 ウインストン・チャーチル著 (毎日新聞社刊)
Memoirs of the Second World War, Volume XII, by Winston Churchill (Mainichi Shimbun).
(183) 「史観眞珠湾攻撃」輻留繁著 (自由アジア社刊)
History of the attack on Pearl Harbour. Written by Shigeru Fukudome Shigeru (published by Jiyu Asia).
(184) 佐々木彰中佐(のち大佐、聯合艦隊参謀) 戦後の回想
Commander Akira Sasaki, later Captain: Post-war recollections. Staff, Combined Fleet.
(185) Not present on the Original.
(186) 「浦波戦闘詳報」
Destroyer “Uranami Battle Report Detail”.
(187) 今井梅一中尉 (のち大尉、叢雲砲術長) 戦後の回想
Lieutanent (jg) Imai Umeichi, later Lieutenant: Post-war recollections. Chief Gunnery of the Destroyer Murakumo.
(188) 「設営隊行動調書」海軍功績調査部作製
" Naval Construction Group Action Report" , prepared by the Naval Achievement and Research Department.
(189) This carrier action is not found in Allied records.
(190) 「馬來作戦記録」国武輝人陸軍少佐(第二十五軍参謀) 編
“A Chronicle of the Malay War”732 by Major Teruhito Kunitake, Staff, 25th Army.
(191) 「第二十四戦隊戦時日誌」
“24th Squadron733 War Diary”.
(192) 「馬来航空作戦記録」 第一復員局作製
“Malayan Air Operations Record”, produced by the 1st Demobilisation Bureau”.
(193) 「第三十潜水隊戦聞詳報」
“30th Submarine Division Battle Report”.
732From what I could find this is the Japanese Monograph nº 54 - "Malay Operations Record (November 1941- March 1942)". That I’m aware there is no translation available online, only the original (馬来作戦記録: 第二十五軍- 国立国会図書館デジタルコレクション(ndl.go.jp)
733 I was not able to identify this “24th Squadron”.[24th Squadron was a unit of auxiliary cruisers, composed of CX AIKOKU MARU, HOKOKU MARY and KIYOZUMI MARU. – E.P.]
Chief of the General Staff:
Admiral735 Nagano Osami 永野修身 (28th Class).
Vice Chief of the General Staff:
Vice Admiral Ito Seiichi 伊藤整一 (39th Class).
Director of the 1st Department (Operations Bureau):
Rear Admiral Fukudome Shigeru 福留繁 (40th Class).
Chief of the 1st Section (Operations):
Captain Tomioka Sadatoshi 富岡定俊 (45th Class).
Staff:
Commander Kami Shigenori 神重徳 (48th Class).
Commander Sanagi Sadamu 佐薙毅 (50th Class).
Commander Yamamoto Yuji 山本祐二 (51st Class).
Commander Miyo Tatsukichi 三代辰吉 (51st Class).
Commander Uchida Shigeshi 内田成志 (52nd Class).
Lieutenant Commander Kacho Hironobu 華頂博信 (53rd Class).
734This table is almost identical to the one in the Senshi Sosho 26, pages 723-733. But, on the original, not all the forces have assigned commanding officers and I have used the TROMS at combinedfleet.com, the Naval Database (hush.gooside.com) and tokusetsukansen.jpn.org to try to fill the blank spaces. There are 2 types of Reserve Officers: Naval Reserve Officer, that have years of active duty, have retired and were recalled to active duty and have Etajima Academy Class numbers; and Reserve Officers that do not have active duty experience but attended the Naval Reserve Academy. Only a few times I was able to identify their class number.
Due to difficulty in translating Japanese names, and following the same procedure adopted on the translation of Senshi Sosho nº 26, I have left the original Kanji next to the translated names as there is a good chance that a few of those (especially the Naval Reserve Officers) were not well translated.
735On the 21st of June of 1943, Admiral Nagano receives the honorific title of Marshal Admiral of the Imperial Japanese Navy.
Commander in Chief:
Admiral Yamamoto Isoroku 山本五十六 (32nd Class).
Chief Of Staff:
Rear Admiral Ugaki Matome 宇垣纏 (40th Class).
Chief Engineer:
Captain Engineer Morita Kan’ichi 森田貫一(E 23rd Class).
Senior Staff:
Captain Kuroshima Kameto 黒島亀人 (44th Class).
Aviation Staff:
Commander Sasaki Akira 佐々木彰 (51st Class).
Communications Staff:
Commander Wada Yushiro 和田雄四郎 (51st Class).
Navigation Staff:
Commander Nagata Shigeru 永田茂 (51st Class).
Service Support Staff:
Commander Watanabe Yasuji 渡辺安次 (51st Class).
Torpedo Staff:
Commander Arima Takayasu 有馬髙泰 (52nd Class).
Engineer Staff:
Commander Engineer Ohashi Ken’ichi 大橋謙一 (E 30th Class).
Headquarters:
2nd Fleet Commander in Chief:
Vice Admiral Kondo Nobutake 近藤信竹 (35th Class).
Chief Of Staff:
Rear Admiral Shiraishi Kazutaka 白石万隆 (42nd Class).
Chief Engineer:
Captain Engineer Minagawa Takeyasu 美奈川武保 (E 24thClass ).
Staff:
Captain Yanagisawa Kuranosuke 柳沢蔵之助 (46th Class).
Captain Ishiharu Itsu 石原聿 (46th Class).
Commander Itagaki Kanenobu 板垣金信 (51st Class).
Commander Fujita Masamichi 藤田正路 (52nd Class).
Commander Kogure Hiroshi 木暮寛 (52nd Class).
Commander Engineer Tanaka Kazushiro 田中和四郎 (E 32nd Class).
Lieutenant Commander Nakajima Chikataka 中島親孝 (54th Class).
Lieutenant Commander Shikano Seinosuke 鹿野清之助 (54th Class).
Lieutenant Commander Ishiwata Hiroshi 石渡博 (55th Class).
Attached:
Lieutenant Commander Bando Masaaki 板東正明 (56th Class).
Operational Forces:
Commander: Vice Admiral Kondo Nobutake (35th Class).
4th Cruiser Division:
Heavy Cruiser ATAGO (Flagship of Vice Admiral Kondo Nobutake): Captain Ijuin Matsuji 伊集院松治 (43rd Class).
Heavy Cruiser TAKAO:
Captain Asakura Bunji 朝倉豊次 (44th Class).
Heavy Cruiser MAYA:
Captain Nabeshima Shunsaku 鍋島俊策(42nd Class).
3rd Battleship Division:
2nd Section
Battleship KONGO:
Captain Koyanagi Tomiji 小柳富次 (42nd Class).
Battleship HARUNA:
Captain Takama Tamotsu 高間完 (41st Class).
4th Destroyer Division:
Commander: Captain Aruga Kosaku 有賀幸作 (45th Class).
1st Section:
Destroyer ARASHI:
Commander Watanabe Yasumasa 渡辺保正 (49th Class).
Destroyer NOWAKI:
Commander Koga Magotaro 古閑孫太郎 (49th Class).
2nd Section:
Destroyer MAIKAZE:
Commander Nakasugi Seiji 中杉清治 (50th Class).
Destroyer HAGIKAZE:
Commander Inoue Yoshio 井上良雄 (48th Class).
6th Destroyer Division:
Commander: Captain Narita Shigeichi 成田茂一 (43rd Class).
1st Section:
Destroyer HIBIKI:
Lieutenant Commander Ishii Hagemi 石井 励(52nd Class).
Destroyer AKATSUKI:
Lieutenant Commander Aoki Kyuji 青木久治 (50th Class).
8th Destroyer Division:
Commander: Captain Abe Toshio 阿部俊雄 (46th Class).
1st Section:
Destroyer OSHIO:
Commander Kikkawa Kiyoshi 吉川 潔 (50th Class).
Destroyer ASASHIO:
Lieutenant Commander Yoshii Goro 吉井五郎 (50th Class).
2nd Section:
Destroyer MICHISHIO:
Lieutenant Commander Ogura Masami 小倉正身 (51st Class).
Destroyer ARASHIO:
Commander Kuboki Hideo 久保木 英雄 (51st Class).
Headquarters:
3rd Fleet Commander in Chief:
Vice Admiral Takahashi Ibo 高橋伊望 (36th Class).
Chief of Staff:
Rear Admiral Nakamura Toshihisa 中村俊久 (39th Class).
Chief Engineer:
Captain Engineer Hidaka Tamenori 日高為範 (E 25th Class).
Staff:
Captain Yamaki Akira 矢牧章 (46th Class).
Commander Wakatsuki Ryozo 若槻龍三 (50th Class).
Commander Yamauchi Eiichi 山内英一 (51st Class).
Commander Nakamura Kaoru 中村馨 (52nd Class).
Commander Ihara Mitsugu 庵原貢 (52nd Class).
Commander Ishiara Uichi 石原宇市 (50th Class).
Commander Koseki Akira 小関晟 (50th Class).
Commander Kanaoka Tomojiro 金岡知二郎 (48th Class).
Lieutenant Commander Engineer Imai Kazuo 今井和夫 (E 35th Class).
Lieutenant Commander Matsuura Goro 松浦五郎 (55th Class).
Operational Forces:
Commander: Vice
Admiral Takahashi Ibo
16th Cruiser Division:
Heavy Cruiser ASHIGARA (Flagship of Vice Admiral Takahashi Ibo):
Captain Ichimiya Yoshiyuki 一宮義之 (44th Class).
Light Cruiser KUMA:
Captain Shibuya Kiyomi 渋谷清見 (45th Class).
Light Cruiser NAGARA:
Captain Naoi Toshio 直井俊夫 (47th Class).
5th Cruiser Division:
Commander:
Rear Admiral Takagi Takeo 高木武雄 (39th Class).
Senior Staff:
Commander Nagasawa Ko 長沢浩 (49th Class).
Heavy Cruiser MYOKO:
Captain Yamazumi Teijiro 山澄貞次郎 (44th Class).
Heavy Cruiser HAGURO:
Captain Mori Tomokazu 森友一 (42nd Class).
Heavy Cruiser NACHI:
Captain Kiyota Takahiko 清田孝彦 (42nd Class).
2nd Destroyer Squadron:
Commander:
Rear Admiral Tanaka Raizo 田中頼三 (41st Class).
Senior Staff:
Commander Toyama Yasumi 遠山安巳 (51st Class).
Light Cruiser JINTSU:
Captain Kasai Torazo 河西虎三 (42nd Class).
Commander: Captain Sato Torajiro 佐藤寅治郎 (43rd Class).
1st Section:
Destroyer NATSUSHIO:
Commander Nagai Sumitaka 長井純隆 (50th Class).
Destroyer KUROSHIO:
Commander Ugaki Tamaki 宇垣 環 (50th Class).
2nd Section:
Destroyer HAYASHIO:
Commander Kaneda Kiyoshi 金田清之 (50th Class).
Destroyer OYASHIO:
Commander Arima Tokiyoshi 有馬時吉 (50th Class).
16th Destroyer Division:
Commander: Captain Shibuya Shiro 渋谷紫郎 (44th Class).
1st Section:
Destroyer YUKIKAZE:
Commander Tobita Kenjiro 飛田健二郎 (50th Class).
Destroyer TOKITSUKAZE:
Commander Nakahara Giichiro 中原義一郎 (48th Class).
2nd Section:
Destroyer AMATSUKAZE:
Commander Hara Tameichi 原 為一 (49th Class).
Destroyer HATSUKAZE:
Commander Takahashi Kameshiro 高橋亀四郎 (49th Class).
4th Destroyer Squadron:
Commander:
Rear Admiral Nichimura Shoji 西村祥治 (39th Class).
Senior Staff:
Commander Tanii Tamotsu 谷井保 (50th Class).
Light Cruiser NAKA:
Captain Tawara Yoshioki 田原吉輿 (43rd Class).
2nd Destroyer Division736:
Commander: Captain Tachibana Masao 橘正雄 (45th Class).
Destroyer SAMIDARE:
Commander Matsubara Takisaburo 松原滝三郎 (52nd Class).
Destroyer YUDACHI:
Lieutenant Commander Ishii Hisashi 石井 恒 (50th Class).
Destroyer HARUSAME:
Lieutenant Commander Tomita Sutezo 富田捨造 (51st Class).
Destroyer MURASAME:
Lieutenant Commander Suenaga Naoji 末永直二 (52nd Class).
9th Destroyer Division:
Commander: Captain Sato Yasuo 佐藤康夫 (44th Class).
1st Section:
Destroyer ASAGUMO:
Commander Iwahashi Tooru 岩橋 透 (51st Class).
Destroyer MINEGUMO:
Lieutenant Commander Suzuki Yasuatsu 鈴木保厚 (49th Class).
2nd Section:
Destroyer NATSUGUMO:
Commander Tsukamoto Shutaro 塚本守太郎 (50th Class).
Destroyer YAMAGUMO:
Commander Koga Yasuji 古賀弥周次 (50th Class).
24th Destroyer Division:
Commander: Captain Hirai Taiji 平井泰次 (43rd Class).
1st Section:
Destroyer KAWAKAZE:
Lieutenant Commander Wakabayashi Kazuo 若林一雄 (51st Class).
Destroyer UMIKAZE:
Lieutenant Commander Shimizu Itsuro 清水逸郎 (51st Class).
2nd Section:
Destroyer SUZUKAZE:
Lieutenant Commander Kamiyama Masao 神山昌雄 (51st Class).
Destroyer YAMAKAZE:
Lieutenant Commander Hamanaka Shuichi 浜中修一 (51st Class).
736I could not find any information about the position of each destroyer inside the Division with the exception of the Destroyer Harusame that belongs to the 2nd Section.
5th Destroyer Squadron:
Commander:
Rear Admiral Hara Kenzaburo 原顕三郎 (37th Class).
Senior Staff:
Commander Yoshikawa Shukichi 由川周吉 (51st Class).
Light Cruiser NATORI:
Captain Sasaki Seigo 佐々木静吾 (45th Class).
5th Destroyer Division:
Commander: Commander Nomaguchi Kanetomo 野間口兼知 (48th Class).
1st Section:
Destroyer HARUKAZE:
Lieutenant Commander Koeu Keiji 古要桂次 (57th Class).
Destroyer HATAKAZE:
Lieutenant Commander Nittono Atsuo 入戸野焉生 (55th Class).
2nd Section:
Destroyer ASAKAZE:
Lieutenant Commander Michiki Shozo 道木正三 (57th Class).
Destroyer MATSUKAZE:
Lieutenant Commander Kuwabara Shinbe 桑原新兵衛 (57th Class).
22nd Destroyer Division:
Commander: Commander Sugino Shuichi 杉野修一 (46th Class).
1st Section:
Destroyer FUMIZUKI:
Lieutenant Ebihara Taro 海老原太郎 (59th Class).
Destroyer SATSUKI:
Lieutenant Commander Ikeda Shunsaku 池田周作 (54th Class).
2nd Section:
Destroyer NAGASTSUKI:
Lieutenant Commander Shibayama Kazuo 柴山一雄 (52nd Class).
Destroyer MINAZUKI:
Lieutenant Commander Hirayama Toshio 平山敏男 (55th Class).
4th Aircraft Carrier Division:
Commander: Rear Admiral Kakuta Kakuji 角田覚治 (39th Class).
Senior Staff:
Commander Odagiri Masanori 小田切政徳 (52nd Class).
1st Section:
Aircraft Carrier RYUJO:
Captain Sugimoto Ushie 杉本丑衛 (44th Class).
3rd Destroyer Division:
Destroyer SHIOKAZE:
Lieutenant Commander Tanegashima Yoji 種子島洋二 (55th Class).
11th Seaplane Tender Division:
Commander:Rear Admiral Fujita Ruitaro 藤田類太郎 (38th Class).
Senior Staff:
Commander Ashina Saburo 葦名三郎 (49th Class).
Seaplane Carrier CHITOSE:
Captain Furukawa Tamotsu 古川保 (43rd Class).
Seaplane Carrier MIZUHO:
Captain Okuma Yuzuru 大熊譲 (44th Class).
17th Minelayer Division:
Commander:
Rear Admiral Kobayashi Tetsuri 小林徹理 (38th Class).
Senior Staff:
Commander Fujita Hiroshi 藤田浩 (50th Class).
Minelayer Itsukushima:
Captain Morikawa Matao 森川亦男 (44th Class).
Minelayer YAEYAMA:
Captain Soeda Hisayuki 副田久幸 (45th Class).
1st Base Force:
Commander:
Rear Admiral Kubo Kyuji 久保九次 (38th Class).
Senior Staff:
Commander Miki Takahide 三木高秀 (46th Class).
Minelayer / Netlayer SHIRATAKA:
Commander Hamano Motoichi 浜野元一 (47th Class).
Minelayer / Netlayer AOTAKA:
Commander Oyama Takeo 小山猛雄 (46th Class).
21st Minesweeper Division:
Commander Kitamura Masayuki (45th Class).
Minesweeper W-7:
Reserve Lieutenant Yukitaka Masugi 益滿行孝.
Minesweeper W-8:
Reserve Lieutenant Kawashima Noboru 川島信.
Minesweeper W-9:
Reserve Lieutenant Shuro Furuyama737古山修郎.
Minesweeper W-10:
Reserve Lieutenant Yasuyoshi Suzuki 鈴木康吉.
Minesweeper W-11:
Lieutenant Imamura Kiyoshi 今村清 (61st Class).
Minesweeper W-12:
Reserve Lieutenant Hanyuu Shuichi 羽生秀一.
737According with Minesweeper W-9 at combinedfleet.com its Reserve Lieutenant Yoshiyama Shukichi: This can be a different translation for the same person.
1st Subchaser Division:
Commander
Okawara Hajimu 大河原肇 (50th Class).
Subchaser CH-1:
Reserve Lieutenant Yoshida Komao 吉田駒雄.
Subchaser CH-2:
Reserve Lieutenant Ota Kou(Osamu) 太田耕.
Subchaser CH-3:
Reserve Lieutenant Mizutani Katsumi 水谷勝二.
2nd Subchaser Division:
Commander
Nakamura Toshio 中村敏雄 (50th Class).
Subchaser CH-13:
Reserve Lieutenant Kobayashi Yamato 小林日本.
Subchaser CH-14:
Reserve Lieutenant Minobe Muneshige 美濃部宗重.
Subchaser CH-15:
Lieutenant Otsuka Yoneji 大塚米治 (62nd Class).
1st Gunboat Division:
Captain Azukizawa Sei 小豆沢成 (42nd Class)
Auxiliary Gunboat KEIKO MARU (44743):
Captain Kawana Torao 川名彪雄 (34th Class)738.
Auxiliary Gunboat MYOKEN MARU (45197):
Reserve Lieutenant Commander Yagi Katsuji 八木勝治 (1st Class)
Auxiliary Gunboat KANKO MARU (44751):
Reserve Lieutenant Commander Tsuchiyama Tokichi 野口保一 (4th Class).
Auxiliary Gunboat BUSHO MARU (T454):
Lieutenant Commander Tsubogou Etsuma 坪郷悦馬 (41st Class).
738Captain Kawana Torao had retired from active duty in 1937 and was recalled in 1941 as the Commander of the Auxiliary Gunboat Keiko Maru (44743).
51st Subchaser Division:
Commander Abe Shinobu 阿部信夫 (42nd Division).
Auxiliary Subchaser KYO MARU Nº 12 (47659):
Reserve Lieutenant Junichiro Ishiwata 石渡俊一郎
Auxiliary Subchaser KYO MARU Nº 13 (47660):
Reserve Lieutanent (jg) Tsujikichi Shibuya 澁谷次吉
Auxiliary Netlayer TOKO MARU Nº 1 GO (44855)
Reserve Lieutanent (jg) Suzuki Susumu 鈴木壽勝
52nd Subchaser Division:
Commander Kitano Wataru 北野亘 (50th Class).
Auxiliary Subchaser TAKUNAN MARU Nº 5 (43629):
Reserve Lieutenant (jg) Kanji Shindo 進藤寛治.
Auxiliary Subchaser SHONAN MARU Nº 17 (47836):
Reserve Lieutenant (jg) Takeshi Mori 森 武.
Auxiliary Netlayer FUKUEI MARU Nº 15 (46382):
Reserve Lieutenant (jg) Tashiro Takaichi 田代鷹次.
1st Naval Communications Force:
Captain Toyama Katsuro 外山克郎 (44th Class).
1st Naval Defense Force:
Captain Akiyama Teruo 秋山輝男 (41st Class).
2nd Base Force:
Commander:
Rear Admiral Hirose Sueto 広瀬末人 (39th Class).
Senior Staff:
Commander Imazato Yoshimitsu 今里義光 (50th Class).
Minelayer / Netlayer WAKATAKA:
Captain Ueda Mitsuharu 上田光治 (45th Class).
Auxiliary Seaplane Carrier SANUKI MARU (45864):
Captain Tsuyuki (Nagamine) Senji739露木専治 (36th Class).
739On the 22nd of December 1936, Captain Tsuyuki (Nagamine) Senji passed to reserve duty and was brought back to active duty on the 5th of September 1941 to assume the command of the Auxiliary Seaplane Carrier SANUKI MARU (45864), registered in the Imperial Japanese Navy on the same day.
21st Torpedo Boat Division:
Commander Wakita Kiichiro 脇田喜一郎 (48th Class).
Torpedo Boat CHIDORI:
Lieutenant Mori Shinichi 森新一 (59th Class).
Torpedo Boat MANAZURU:
Lieutenant Aono Juurou 青野重郎 (59th Class).
Torpedo Boat TOMOZURU:
Lieutenant Commander Suga Akitsugu 菅明次 (56th Class).
Torpedo Boat HATSUKARI:
Lieutenant Nakao Kusuo 中尾九州男 (57th Class).
11th Minesweeper Division:
Commander Yamakuma Wakito 山隈和喜人 (48th Class).
Minesweeper W-13:
Lieutenant Miyake Tadayoshi 三宅忠義 (59th Class).
Minesweeper W-14:
Reserve Lieutenant Yoshimoto Yoshikuni 吉本義國.
Minesweeper W-15:
Reserve Lieutenant Sato Nagoshiro 佐藤長四郎.
Minesweeper W-16:
Lieutenant Watanabe Yoshiro 渡辺芳郎 (61st Class).
30th Minesweeper Division:
Commander Kanaoka Kunizo 金岡国三 (48th Class).
Minesweeper W-17:
Reserve Lieutenant Hideo Ando 安東英雄.
Minesweeper W-18:
Reserve Lieutenant Kawahara Masayoshi 河原政頼.
Minesweeper W-19:
Lieutenant Hagiwara Toshi 萩原旻四 (60th Class).
Minesweeper W-20:
Reserve Lieutenant Yasaburo Kita 北彌三郎.
21st Subchaser Division:
Commander Ota Haruo 大田春男 (49th Class).
Subchaser CH-4:
Reserve Lieutenant Akiji Fukuchi 福地秋二.
Subchaser CH-5:
Lieutenant Yamane Gon 山根権 (61st Class).
Subchaser CH-6:
Reserve Lieutenant Genzo Kawamoto 川本源藏.
Subchaser CH-16:
Lieutenant Yoneji Otsuka 大塚米治 (61st Class).
Subchaser CH-17:
Reserve Lieutenant Shigematsu Yoshioka 吉岡茂松.
Subchaser CH-18:
Reserve Lieutenant Myoui Mitsugu 名井貢.
31st Subchaser Division:
Commander Sawamura Seiji 沢村成二 (49th Class).
Subchaser CH-10:
Reserve Lieutenant Tsuda Saigo 津田象吾.
Subchaser CH-11:
Lieutenant Ishige Chifuyu 角野鐡男.
Subchaser CH-12:
Reserve Lieutenant Hiromi Shimokata 下方弘磨.
2nd Gunboat Division:
Captain Itakura Tokushi 板倉得止 (42nd Class).
Auxiliary Gunboat MANYO MARU (44235):
Reserve Lieutenant Commander Shinjiro Hirose
廣瀬信治郎.
Auxiliary Gunboat KAMITSU MARU (43455):
Reserve Lieutenant Commander Segawa Iwao 瀬川岩雄.
Auxiliary Gunboat OKUYO MARU (44396):
Reserve Lieutenant Mutsuo Ishikawa 石川六雄.
Auxiliary Gunboat TAIKO MARU (C2281):
Reserve Lieutenant Arima Kunio 有馬國夫.
3rd Gunboat Division:
Captain Yamamoto Rokuro 山本六郎 (40th Class).
Auxiliary Gunboat NAMPO MARU (46423):
Reserve Lieutenant Shouhei Torozuka 鳥塚壽平.
Auxiliary Gunboat KISO MARU (37489):
Reserve Lieutenant Hiraishi Kiyoshi 平石廉.
Auxiliary Gunboat ASO MARU (37491):
Reserve Lieutenant Kojima Junichi 小島琇一.
53rd Subchaser Division:
Captain Nishio Fujihiko 西尾不二彦 (40th Class).
Auxiliary Subchaser KYO MARU Nº 2 (45132):
Reserve Lieutenant (jg) Tsukagoshi Eijiro 塚越英次郎.
Auxiliary Subchaser KYO MARU Nº 11 (45199):
Reserve Lieutenant Kawakami Isamu 川上勇.
Auxiliary Netlayer KOREI MARU (45717):
Reserve Lieutenant Hirano Susumu 平野進.
54th Subchaser Division:
Commander Hamada Giichi 浜田義一 (38th Class).
Auxiliary Netlayer NAGARA MARU (46820):
Reserve Lieutenant (jg) Takezawa Teizo (竹澤定三.
Auxiliary Subchaser SHONAN MARU Nº 1 (45072):
Reserve Lieutenant (jg) Ninomiya Jinsaku 二宮仁作.
Auxiliary Subchaser SHONAN MARU Nº 2 (45073):
Reserve Lieutenant (jg) Iwata Fujiaki 岩田富士秋.
2nd Naval Communications Force:
Captain Seya Saburo 瀬谷三郎 (42nd Class).
2nd Naval Defense Force:
Captain Tezuka Goro 手束五郎 (40th Class).
32nd Special Base Force:
Commander: Rear Admiral Irifune Naosaburo 入船直三郎 (39th Class).
Minelayer / Netlayer TSUBAME:
Reserve Lieutenant Takeshi Satoyano 左谷野武雄.
Minelayer / Netlayer KAMOME:
Reserve Lieutenant Takeshi Oki 大木武雄.
1st Patrol Boat Division:
Captain Nishikawa Hayami 西川速水 (34th Class). Patrol Boat PB-1:
Reserve Lieutenant Shigeo Higashi 東實夫.
Patrol Boat PB-2:
Reserve Lieutenant Tokuji Senbongi 千本木德二.
Patrol Boat PB-34:
Reserve Lieutenant Yakamaki Tsunekichi 八巻循吉.
Patrol Boat PB-35:
Reserve Lieutenant Yoshitaro Kumai 熊井善太郎.
Patrol Boat PB-36:
Reserve Lieutenant Akihiko Akanuma 赤沼輝彦.
Patrol Boat PB-37:
Reserve Lieutenant Torao Ikeda 池田虎雄.
Patrol Boat PB-38:
Reserve Lieutenant Toshio Tane 種子壽美男.
Patrol Boat PB-39:
Reserve Lieutenant Kawano Masa 河野正.
1st Kure SNLF:
Commander Fujimura Masasuke 藤村正亮 (49th Class).
2nd Kure SNLF:
Commander Makiuchi Tadao 牧内忠雄 (50th Class).
1st Sasebo SNLF:
Commander Shiga Masanari 志賀正成 (48th Class).
2nd Sasebo SNLF:
Commander Hashimoto Uroku 橋本卯六 (50th Class).
Combined Sasebo SNLF:
Captain Mori Kunizo 森国造 (40th Class).
Headquarters:
11th Air Fleet Commander in Chief:
Vice Admiral Tsukahara Nishizo 塚原二四三 (36th Class).
Chief of Staff:
Rear Admiral Onishi Takiji 大西瀧治郎 (40th Class).
Chief Engineer
Captain Engineer Nishioka Kiichiro 西岡喜一郎 (E 24th Class).
Staff:
Captain Takahashi Chihaya 高橋千隼 (47th Class).
Commander Asada Masahiko 浅田昌彦 (52nd Class).
Commander Deguchi Shigeru 出口茂 (51st Class).
Lieutenant Commander Inoguchi Kaneo 井口兼夫 (54th Class)740.
Lieutenant Commander Shimada Koichi 島田航一 (55th Class).
Attached:
Lieutenant Commander Tsunoda Hitoshi 角田求士 (55th Class).
Captain Engineer Shinoda Tadanori 篠田忠敬 (E 24th Class).
Operational Forces
21st Naval Air Flotilla:
Commander:
Rear Admiral Tada Takeo 多田武雄 (40th Class).
Senior Staff:
Commander Shibata Bunzo 柴田文三 (50th Class).
KANOYA Naval Air Group Detachment:
Lieutenant Commander Irisa Toshiie 入佐俊家 (52nd Class).
1st Naval Air Group:
Captain Araki Keikichi 荒木敬吉 (45th Class).
21st Naval Air Flotilla Transport Group [Task force, not a permanent unt. – E.P.]:
Commander Hamada Takeo 浜田武夫 (48th Class).
TOKO Naval Air Group:
Captain Miura Kanzo 三浦艦三 (47th Class).
740The Lieutenant Commander Inoguchi was assigned to the 11th Air Fleet Headquarters and to the Staff of the Malaya Seizure Force Headquarters. During the Malayan Campaign he was assigned as the Liaison Officer to the Army 3rd Air Division.
23rd Naval Air Flotilla:
Commander:
Rear Admiral Takenaka Ryozo 竹中龍造 (39th Class).
Senior Staff:
Commander Yasunobu Takeo 安延多計夫 (51st Class).
TAKAO Naval Air Group:
Captain Ito Yoshiaki 伊藤良秋 (43rd Class).
TAINAN Naval Air Group:
Captain Saito Masahisa 齋藤正久 (47th Class).
3rd Naval Air Group:
Captain Kamei Yoshio 亀井凱夫 (46th Class).
34th Destroyer Division:
Captain Murakami Chonosuke 村上暢之助 (44th Class).
Destroyer AKIKAZE:
Lieutenant Commander Mori Takuji 森卓次 (56th Class).
Destroyer TACHIKAZE:
Lieutenant Commander Hirasata Yasumi 平佐田休 (53rd Class).
1st Yokosuka SNLF:
Commander Horyuchi Toyoaki 堀内豊秋 (50th Class).
3rd Yokosuka SNLF:
Lieutenant Commander Fukumi Koichi 福見幸一 (52nd Class).
6th Submarine Squadron:
Commander:
Rear Admiral Kawano Chimaki 河野千万城 (42nd Class).
Senior Staff:
Commander Ohira Masajiro 大平政二郎 (52nd Class).
Submarine Tender CHOGEI:
Captain Nagai Mitsuru 長井満 (45th Class).
9th Submarine Division:
Commander Endo Yukio 遠藤敬勇 (46th Class).
Submarine I-123:
Lieutenant Commander Ueno Toshitake 上野利武 (56th Class).
Submarine I-124:
Commander Endo Keiyu 遠藤敬勇 (46th Class).
Headquarters
Southern Expeditionary Fleet Commander in Chief:
Vice Admiral Ozawa Jisaburo 小沢治三郎 (37th Class).
Chief Of Staff:
Rear Admiral Sawada Torao 沢田虎夫 (41st Class).
Chief Engineer:
Captain Engineer Namba Kikuo 難波規矩男 (E 26th Class).
Staff:
Captain Tomari Mitsuyoshi 泊満義 (46th Class).
Commander Nagai Taro 永井太郎 (48th Class).
Commander Terasaki Takaji 寺崎隆治 (50th Class).
Commander Hanaoka Yuji 花岡雄二 (51st Class).
Commander Matsubayashi Motoya 松林元哉 (50th Class).
Commander Naito Takeshi 内藤雄 (52nd Class).
Commander Otaguro Yasuo 太田黒康雄 (52nd Class).
Commander Miyazaki Isao 宮崎勲 (52nd Class).
Lieutenant Commander Inoguchi Kaneo 井口兼夫 (54th Class).
Lieutenant Commander Engineer Kawamata Masanobu 川又政信 (E 36 Class).
Lieutenant Commander Engineer Matsuzaki Yoshimori 松崎義森 (E 38 Class).
Commander Sasaki Takanobu 佐佐木高信 (47th Class).
Lieutenant Commander Lida Hisayo 飯田久世 (55th Class).
Operational Forces
Heavy Cruiser CHOKAI:
Captain Watanabe Seishichi 渡辺清七 (42nd Class).
Training Cruiser KASHII:
Captain Kojima Hideo 小島秀雄 (44th Class).
Escort SHIMUSHU:
Commander Arimura Fuji 有村不二 (47th Class).
7th Cruiser Division:
Commander:
Rear Admiral Kurita Takeo 栗田健男 (38th Class).
Senior Staff:
Commander Suzuki Masakane 鈴木正金 (50th Class).
Heavy Cruiser KUMANO:
Captain Tanaka Kikumatsu 田中菊松 (43rd Class).
Heavy Cruiser SUZUYA:
Captain Kimura Masotomi 木村昌福 (41st Class).
Heavy Cruiser MIKUMA:
Captain Sakiyama Shakao 崎山釈夫 (42nd Class).
Heavy Cruiser MOGAMI:
Captain Sone Akira 曽爾章 (44th Class).
3rd Destroyer Squadron:
Commander:
Rear Admiral Hashimoto Shintaro 橋本信太郎 (41st Class).
Senior Staff:
Commander Yamada Seiju 山田盛重 (51st Class).
Light Cruiser SENDAI:
Captain Shimazaki Toshio 島崎利夫 (44th Class).
11th Destroyer Division:
Captain Shoji Kiichiro 荘司喜一郎 (45th Class).
1st Section:
Destroyer HATSUYUKI:
Lieutenant Commander Kamiura Junnari 神浦純也 (53rd Class).
Destroyer SHIRAYUKI:
2nd Section:
Lieutenant Commander Sugawara Rokuro 菅原六郎 (51st Class).
Destroyer FUBUKI:
Lieutenant Commander Yamashita Shizuo 山下鎮雄 (50th Class).
12th Destroyer Division741:
Commander Ogawa Nobuki 小川莚喜 (46th Class).
Destroyer SHIRAKUMO:
Commander Hitomi Toyoji 人見豊治 (50th Class).
Destroyer SHINONOME:
Lieutenant Commander Sasagawa Hiroshi 笹川博 (50th Class).
Destroyer MURAKUMO:
Lieutenant Commander Higashi Hideo 東日出雄 (52nd Class).
741I could not find any information about the position of each destroyer inside the Division.
19th Destroyer Division:
Captain Oe Ranji 大江覧治 (47th Class).
1st Section:
Destroyer AYANAMI:
Commander Sakuma Eisuke 作間英邇 (50th Class).
Destroyer ISONAMI:
Commander Sugama Ryokichi 菅間良吉 (50th Class).
2nd Section:
Destroyer SHIKINAMI:
Commander Iwagami Jiichi 岩上次一 (50th Class).
Destroyer URANAMI:
Lieutenant Commander Hagio Tsutomu 萩尾力 (52nd Class).
20th Destroyer Division:
Captain Yamada Yuji 山田雄二 (46th Class).
1st Section:
Destroyer YUGIRI:
Commander Motokura Masayoshi 本倉正義 (51st Class).
Destroyer AMAGIRI:
Commander Ashida Buichi 芦田部一 (51st Class).
2nd Section:
Destroyer SAGIRI:
Commander Sugioka Koshichi 杉岡幸七 (49th Class).
Destroyer ASAGIRI:
Commander Arai Yasuo 荒井靖夫 (53rd Class).
4th Submarine Squadron: Commander:
Rear Admiral Yoshitomi Setsuzo 吉富説三 (39th Class).
Senior Staff:
Commander Tsutsumi Michizo 堤道三 (48th Class).
Light Cruiser KINU:
Captain Kato Yoshiro 加藤与四郎 (43rd Class).
18th Submarine Division:
Captain Kijima Moriji 貴島盛次 (44th Class).
Submarine I-53:
Lieutenant Commander Nakamura Shozo 中村省三 (54th Class).
Submarine I-54:
Lieutenant Commander Kobayashi Shigeo 小林茂男 (56th Class).
Submarine I-55:
Lieutenant Commander Nakajima Seiji 中島清次 (54th Class).
19th Submarine Division:
Captain Ota Nobunosuke 太田信之輔 (47th Class).
Submarine I-56:
Lieutenant Commander Ohashi Katsuo 大橋勝夫 (53rd Class).
Submarine I-57:
Lieutenant Commander Nakajima Sakae 中島栄 (56th Class).
Submarine I-58:
Lieutenant Commander Kitamura Soshichi 北村惣七 (55th Class).
21st Submarine Division:
Captain Iwakami Eiju 岩上英寿 (46th Class).
Submarine RO-33:
Lieutenant Commander Sakamoto Eiichi 坂本栄一 (57th Class).
Submarine RO-34:
Lieutenant Commander Ota Takeshi 大田武 (55th Class).
5th Submarine Squadron:
Commander:
Rear Admiral Daigo Tadashige 醍醐忠重 (40th Class).
Senior Staff:
Commander Takahashi Chojuro 高橋長十郎 (49th Class).
Light Cruiser YURA:
Captain Miyoshi Teruhiko 三好輝彦 (43rd Class).
28th Submarine Division:
Captain Kato Yukio 加藤行雄 (47th Class).
Submarine I-59:
Commander Yoshimatsu Tamori 吉松田守 (55th Class).
Submarine I-60:
Lieutenant Commander Kono Masamichi 河野昌通 (52nd Class).
29th Submarine Division:
Captain Tamaki Tomejiro 玉木留次郎 (45th Class).
Submarine I-62:
Lieutenant Commander Kinashi Takakazu 木梨鷹一 (51st Class).
Submarine I-64:
Lieutenant Commander Ogawa Tsunayoshi 小川綱吉 (50th Class).
30th Submarine Division:
Captain Teraoka Masao 寺岡正雄 (46th Class).
Submarine I-65:
Lieutenant Commander Harada Hakue 原田毫衛 (52nd Class).
Submarine I-66:
Commander Yoshitomi Zenji 吉留善 (52nd Class).
6th Submarine Squadron:
13th Submarine Division742:
Captain Miyazaki Takeji 宮崎武治 (46th Class).
Submarine I-121:
Commander Endo Shinobu 遠藤忍 (52nd Class).
Submarine I-122:
Lieutenant Commander Utsuki Hidejiro 宇都木秀次郎 (52nd Class).
742The 13th Submarine Division was assigned to the Malaya Seizure Force Headquarters until the 15th of December 1941.
12th Seaplane Tender Division:
Commander:
Rear Admiral Imamura Osamu 今村脩 (40th Class).
Senior Staff:
Commander Kimura Kenji 木村健二 (49th Class).
Auxiliary Seaplane Carrier KAMIKAWA MARU (42936):
Captain Shinoda Tarohachi 篠田太郎八 (44th Class).
Auxiliary Seaplane Carrier SANYO MARU (36117):
Captain Fujisawa Kosei 藤沢孝政 (35th Class).
22nd Naval Air Flotilla:
Commander:
Rear Admiral Matsunaga Sadaichi 松永貞市 (41st Class).
Senior Staff:
Commander Koma Masayoshi 高馬正義 (49th Class).
GENZAN Naval Air Group:
Commander Maeda Kosei 前田孝成 (47th Class).
MIHORO Naval Air Group:
Captain Kondo Katsuji 近藤勝治 (46th Class).
YAMADA Naval Air Group [Task force, not a permanent unt. – E.P.]:
Commander Yamada Yutaka 山田豊 (49th Class).
34th Destroyer Division:743
Destroyer HAKAZE:
743I have left the Destroyer HAKAZE with the 22nd Naval Air Flotilla as it is in the Original, but to all my available sources, the Destroyer HAKAZE was only supporting the 22nd Naval Air Flotilla but assigned to the 11th Air Fleet with the rest of the 34th Destroyer Division.
21st Naval Air Flotilla:
Commander:
Lieutenant Commander Maekawa Nisaburo 前川二三郎 (53rd Class).
KANOYA Naval Air Group:
Captain Fujiyoshi Naoshiro 藤吉直四郎 (44th Class).
9th Base Force:
Commander:
Rear Admiral Hiraoka Kumeichi 平岡粂一 (39th Class).
Senior Staff:
Commander Yanagawa Masao 柳川正男 (48th Class).
Minelayer / Netlayer HATSUTAKA:
Commander Yoshikawa Tadaki 吉川唯喜 (46th Class).
Auxiliary Seaplane Carrier SAGARA MARU (47837):
Captain Kohashi Yoshisuke 小橋義亮 (37th Class).
1st Minesweeper Division:
Commander Fujita Tomozo 藤田友造 (46th Class).
Minesweeper W-1:
Reserve Lieutenant Suekichi Seto 瀬戸末吉.
Minesweeper W-2:
Lieutenant Ikunaga Kunio 生永邦雄 (60th Class).
Minesweeper W-3:
Reserve Lieutenant Izaburo Niki 仁木伊三郎.
Minesweeper W-4:
Reserve Lieutenant Tamesaburo Nagamine 長嶺為三郎.
Minesweeper W-5:
Reserve Lieutenant Saburo Konashi 小梨三郎.
Minesweeper W-6:
Lieutenant Tanaka Hirokuni 田中弘国 (60th Class).
11th Subchaser Division:
Commander Hayashi Risaku 林利作 (50th Class).
Subchaser CH-7:
Reserve Lieutenant Shiro Ichinose 一ノ瀬志朗.
Subchaser CH-8:
Lieutenant Shimoda Kiyozou744 島田喜與三 (61st Class).
Subchaser CH-9:
Reserve Lieutenant Toshiro Renko 仁科俊郎.
91st Subchaser Division:
Captain Takeuchi Takenao 竹内武直 (38th Class).
Auxiliary Subchaser SHONAN MARU Nº 7 (45143):
Reserve Lieutenant (jg) Suzuki Kanji 鈴木完爾.
Auxiliary Subchaser SHONAN MARU Nº 12 (46257):
Reserve Lieutenant (jg) Sasaki Kiichi 佐々木喜一.
Auxiliary Net Layer / Subchaser CHOKO MARU (46915):
Reserve Lieutenant (jg) Kutsuna Kageyoshi 沓名景義.
91st Naval Defense Force:
Captain Narahashi Norimoto 楢橋憲基 (39th Class).
91st Naval Communications Force:
Captain Kawasaki Harumi 川崎晴実 (46th Class).
11th Special Base Force:
Commander:
Vice admiral Togari Takamoto 戸苅隆始 (37th Class).
Senior Staff:
Captain Onishi Keiichi 大西敬一 (44th Class).
81st Naval Communications Force:
Captain Onishi Keiichi 大西敬一 (44th Class).
2nd Yokosuka SNLF:
Commander Tomonari Kiyoshi 友成潔 (49th Class).
744I have also found 島田喜与三 for Shimoda Kiyozou.
The following Table refers to the General Characteristics of the Imperial Japanese Navy vessels that were employed in the Philippines and Malaya Campaigns.
As it is in the Original, It displays several errors that don’t reflect the actual strength of the Imperial Japanese Navy Units deployed:
1.The data shown is the “official” or the “as commissioned” and does not reflect the specifications for December of 1941. For example the Aircraft Carrier RYUJO is shown with a Standard Displacement of 8000 Tons when it was 10.600 Tons or the Heavy Cruiser ATAGO with a Standard Displacement of 9.850 Tons when in fact she was displacing almost 15.000 Tons.
2.Many vessels, although in the same class, have different characteristics; same due to different Construction Yards others to different or a lack of modernizations.
3.There is no data for the Auxiliary Vessels.
Due to this I’m displaying the characteristics by individual ships and not by class as it is in the Original. This was the only way I found to display a more exact strength of the Southern Force Units involved in those two campaigns.



































This appendix is not in the original, but I found it to be pertinent as it gives the testimony of an event, portrayed in the Chapter II of the 3rd Part, but from “the other side”.
In the grand opening of hostilities, this was an uneventful event, but a very decisive one for the HAFTHOR crew, especially the ones that were made prisoners and were only released after the War ended.
The Japanese response must be framed with this previous events:
1 The Japanese warship is the Flagship of the 19th Destroyer Division, the Destroyer URANAMI. The HAFTHOR was very unlucky: 2 days before, on the 5th, the Destroyer URANAMI had also stopped the Norwegian ship SALLDOR but had allowed her to continue its voyage after the passage of the Japanese forces. This created serious concerns on the Commander of the 3rd Destroyer Squadron because the SALLDOR could later transmit the position of the Japanese Forces to the British. On the 7th when the Destroyer URANAMI spotted another “witness”, the response was completely different.
2 In the morning of the 7th, the Japanese forces thought that they had already been spotted by the British and had already take dawn a British flying boat. Not known to the Japanese, the British flying boat was not able to transmit the Japanese position.
Testimony of the events that led to the sinking of the merchant ship HAFTHOR, 07 December 1941 (Tokyo Time), by several members of her crew after the war.
![]() |
Departed from Singapore bound for Bangkok with General Cargo
![]() |
Appeared as the 1st witness, lvar Røsholdt, 1st Mate S/S "HAFTHOR". Mate Røsholdt presented a report, signed by himself and 2nd Engineer Jansen (other witness). Mate Røsholdt explained in connection with this report that he had heard nothing from the captain about what the Japanese intended to do with the ship. Røsholdt explained that it had been implied between the 3 lifeboats from S/S "HAFTHOR" that they were to sail in a south-south-easterly direction towards the nearest country, which would be British territory. After Mate Røsholdt's boat had reached land, they stopped themselves with the authorities in the various places below along the coast to Bagnara and likewise on their passage in Singora if there was news about the officers and crews from the other 2 lifeboats. There was, however, no news to take about these. Mate Røsholdt does not know if the captain had taken the ship's papers with him, but he had noticed that the captain had waved to him with some papers while he was on life support.
Another witness, 2nd Engineer Jansen, appeared and explained that he had nothing to add to the written report of the 29th of December 1941.
The Captain agrees in all parts with his explanation. He did not say the ship was sunk; but think that the Japanese possibly may have towed the ship at a later time. While he was in prison, he was asked several times by the Japanese about the ship's coal consumption, speed, building years and more details of the ship.
The Captain explained that the ship was either sunk or taken over by the Japanese the day the war was declared and therefore must be considered piracy. The cargo consisted of peace articles which were mostly put on board as ballast. The freight for the entire load was approx. I000 Singapore dollars. The ship had no war material on board and was not armed.
Lifeboat nº 1 and nº 3 with everyone on board arrived without loss of life; but the Captain has no knowledge of lifeboat nº 2 which was led by 1st Mate lvar Røsholdt. All officers from lifeboats nº 1and nº 3 are alive but suffering from various illnesses. The Chinese crew was released in Kuala Lumpur in August 1942. All officers from lifeboats nº 1 and nº 3 have now been repatriated to England. All officers have lost all their possessions and money.
1st witness appeared: 1st Engineer Birger Røstad The witness complied in all parts with the statement. He had nothing further to remark.
Report presented by 1st Mate Ivar Røsholdt
Friday, 5th of December 1941 at 0630 S/S "HAFTHOR" departed from Singapore destined for Bangkok with a partial load of general cargo. At 0730 the harbour pilot departed and the journey continued. The journey proceeded normally with a slight easterly breeze and rough seas. Sunday the 7th at 1445 at approx. 8o05' N and 1Oo32' O. 1st Mate Røsholdt, who was on watch on the bridge, saw a fleet of larger and smaller ships approx. 8 miles of about B.B. which steered in the opposite direction S.S.O. Using binoculars, he saw that there were 4 large cargo boats and 8 to 10 warships of various sizes. Røsholdt informed Captain Andersen, who came up on the bridge. When the fleet was across, the last warship suddenly headed straight for the "HAFTHOR". The Norwegian flag was raised aft and the identification signal amidships and hit "ready" in the engine. The warship soon turned out to be a Japanese destroyer. It had signals up not to use the wireless or "HAFTHOR" was fired upon. However, "HAFTHOR" does not have wireless. One hit "slowly" and "stop" in the machine. The destroyer came up astern of "HAFTHOR" and drew to port (S.B. side) with all guns aimed at "HAFTHOR". It came alongside and an officer and 7-8 men came aboard. The Chinese crew was ordered to line up on the aft deck and all officers (who are Norwegian) on the foredeck. The captain was on the bridge talking to the officer. After half an hour as time went on, the Japanese disembarked and the captain informed the crew that they had half an hour to board the boats. All 3 lifeboats were manned and put on the water and people rowed away from the ship, it was then approx. 4 p.m. The commander took some of his belongings with him, some of the Chinese had some clothes. The lifeboats rowed together in a S.E. direction towards the nearest land until dark, when they set sail. - The wind was E.S.E. light breeze with some sea. As long as you could see the "HAFTHOR" with the destroyer close by. Just before it got dark, a plane came from the west, directly above the boats. When it approached "HAFTHOR" it was fired upon by the destroyer and then turned south and disappeared.-
In the 1st lifeboat was Captain Andersen, 1st engineer Røstad and 2 Chinese. In the 3rd lifeboat, the 2nd mate was Fredheim, the 3rd engineer Log and the rest were Chinese. There were a total of 6 Norwegians and 48 Chinese. It was cloudy, no moon and very dark. During the night the boats came apart and in the morning we saw none of the others. We tried everything time to lie down approx. S.S.O. to reach into British Malaya. We had water and biscuits for a long time and hoped to reach land in 3 to 4 days. The wind gradually changed to a light breeze with constant rain showers and gusts of wind. We sailed all the time but used the oars occasionally. On the morning of the 9th, we got land in sight ahead and sailed towards it. The wind died down completely so we rowed most of the day. At nightfall we were almost ashore, but it was too dark to find a landing place and we heard the surf breaking strongly towards land. The wind freshened up and we cruised all night off the coast. At daylight the wind died down completely and we rowed towards land around one headland and entered choppier water. We saw some huts by the beach and rowed towards them to connect with people. There was a lot of surf on the sandy beach, but we managed to put the boat safely ashore. The cabins turned out to be empty of people. 2 men were put in charge of the boat and the other Chinese went into the country to find people and Røsholdt and Jansen walked along the beach. After an hour's walk we came to a Malay village. There we met 2 Thai policemen and we then learned that we were in Thai territory. We were then canoed up a larger river to the main police station. We then learned that the village was called Jamo745 and was 15 km. South of Pattani. We were received very kindly and immediately got food. The police inspector who spoke English was introduced to the situation and immediately sent people out to find the Chinese. Within an hour the entire crew was together. The police recorded a statement. We also found out that war had broken out between England, the U.S.A. and Japan and that Thailand was occupied by the Japanese. However, there were no Japanese in this district and the place was quiet. We were given permission to stay on the post office's covered veranda. The post office was closed and all connections with the rest of the country were cut off except by road by bicycle or on foot. We had enough money and were able to buy some food in the village, where the Chinese crew were given a house by a Chinese.
745I was not able to identify were Jamo stands, other that it’s 15 kilometres south of Pattani.
There was very little food at the site and there was a particular lack of rice, which was rationed. The day after our arrival, the lifeboat was recovered by the police with the help of approx. 10 Malays dragged over land and into the river by the village where it is now in police custody. Through the police we applied to the governor of Pattani for permission to go to Bangkok, but this proved impossible because of the war operations. On the 13th, we were asked by the police on the spot to continue to the town of Bang Nara 746, 85 km. further south. On the 14th in the morning, we started to walk the road to Bang Nara. We walked for 4 days and spent the night in the villages. On the 5th day we got a bus to Bang Nara where the police sent us out to the Bang Nara Rubber Estate. We were very hospitably received there by the manager, Mr. Gercke, who is a Danish subject. On Monday morning the 22nd, we were picked up by the police in a bus to be sent to Bangkok. 4 of the Chinese crew were then in Bang Nara and will be sent on to Bangkok later. We travelled by bus to Singora747 and from there by rail to Bangkok where we arrived on Thursday the 25th in the evening.
Bangkok, 29 December 1941
I. Røsholdt, 1st mate.
B. Jansen, 2nd machinist.
Excerpt above s/s. "HAFTHOR" of Drammen sinking on the 7th of December 1941. The explanation given from memory:
On Friday 5th December 1941 at 8:00, S/S departed. HAFTHOR belonging to Bruusgaard Kiøsterud D/S.A/S Drammen from Singapore destined for Bangkok with a small partial load of general cargo. Well manned and in seaworthy condition. The last instructions for the departure were obtained from The British Naval Control Office and the Norwegian Consul on the spot.
After getting rid of the pilot, the set course is steered out to Singapore Strait clear of all mine belts, once out of the strait the usual course was set North. The wind was calm with some sea, misty tufts with heavy rain showers that increased as you got north.
The journey went without incident until Sunday, the 7th of December at 14.40 when we approx. 120 miles S.W. by Pula Choy were summoned by a Japanese warship which by signals ordered us to stop the machine immediately and not to use our wireless station. We stopped and responded with signals that we had no station; the log was always up astern.
An officer and many armed guests came aboard from the warship, I was ordered to stay in the cabin. The officers were stationed on the foredeck and the Chinese crew on the aft deck, where we were constantly guarded by guests with their guns aimed at us.
746Bang Nara is a local name for the District Capital of Narathiwat.
747From the next testimony it’s possible to see that when this group arrived at Singora, the rest of the HAFTHOR
was already at Singora, but already arrested!
The officer informed me that the ship was to be examined, they then got away with this, went down into the engine with a large hammer which they brought with them, tore off the insulation from the top of the engine, took off the safety valves on the inner cylinder, and the rooms were examined.
In the cabins, they took part in ripping apart and smashing radio sets, smashed a large typewriter to pieces and marched forward brutally.
The Japanese Officer demanded and took with him the ship's record, the ship's Certificate of Nationality and manifest of the cargo. I asked for a receipt for what they took from me, also protested against this treatment and the sinking of the ship, but just laughed at the whole thing. Those who missed seemed to be finished, I was ordered that we had to go to the lifeboats and we were given 13 minutes to do it.
I with 1st engineer B. Røstad and 23 Chinese went in nº 1. 1st mate I. Røsholdt, 2nd engineer B. Jansen with 11 Chinese in nº2, 2nd mate H. Fredheim, 3rd engineer H. Log with 13 Chinese in nº 3 boat. We left the ship at the same time approx. at 4:30 p.m. Agreed to steer in the direction of the SS and kept company until dark but had separated during the night.
The warship and the boat with the Japanese on board stayed at "HAFTHOR" the whole time, later we heard cannon shots, but "HAFTHOR" was not sinking as long as we could see it, there was a lot of sea, cool from the NE with heavy rain.
We sailed towards Malay until Tuesday the 9th a.m. when we again at 1500 were stopped by 3 Japanese warships, they demanded me on board, and after a long cross-examination the others were also called on board, the boat was taken aboard. We were then approx. an 8-10 mile stretch of land.
In the evening they anchored at Singora harbour and we stayed on board overnight. Next day at 1000 I was told that we had to get back on board the boats and we were then towed 10 miles out to sea again, with a warning not to try to sail south, but to get north. Due to increasing wind and sea and heavy rain showers, we landed the same evening at approx. 1800 time, the boat was moored as well as possible.
We were now surrounded by Tai police who put us under arrest, then we were taken to Singora prison, from there Alar Star, Taiping, Kuala Lumpur, and after 20 months stay there, we were taken to Sime Road Camp, where we were for repatriation arrived on 15 September 1945.
On landing, various things were taken from me, including Str. $ approx. 900.00 belonging to the ship. Of private money, I was deprived of the U.S. $89.00 and Hong Kong $220.00 and L.3.10.0.
Conr. Andersen, Captain
Norwegian Crew
Position / Surname / First name / Hometown / Nationality / Fate Captain / Andersen / Conrad / - / Norway / Prisoner
1st Mate / Røsholdt / lvar / Holmestrand / Norway / Saved 2nd Mate / Fredheim / Henry / - / Norway / Prisoner
1st Engineer / Røstad / Birger / - /Norway / Prisoner
2nd Engineer / Jansen / Bjarne / Brunlanes / Norway / Saved 3rd Engineer / Log / Haakon / - / Norway / Prisoner





End.